Next Article in Journal
A Performance Comparison of Three Amino Acid Additives in the Process of Photo-Fermentative Biohydrogen Production with Corn Straw
Previous Article in Journal
Effects of Rumen-Degradable Starch Levels on In Vitro Rumen Fermentation and Microbial Protein Synthesis in Alfalfa Silage
Previous Article in Special Issue
Intake of Condensed Tannins (Acacia mearnsii) by Lambs in Confinement and Its Impact on Growth Performance, Rumen Environment, and Meat
 
 
Font Type:
Arial Georgia Verdana
Font Size:
Aa Aa Aa
Line Spacing:
Column Width:
Background:
Article

Effects of Replacing Rice Straw with Corn Straw Silage Treated with Different Additives on Growth Performance, Blood Parameters, and Rumen Microorganisms of Fattening Cattle

by
Chunmei Zhang
,
Huawei Zou
,
Rui Hu
,
Quanhui Peng
,
Bai Xue
,
Lizhi Wang
,
Fali Wu
,
Yiping Tang
,
Zhisheng Wang
* and
Jianxin Xiao
*
Animal Nutrition Institute, Sichuan Agricultural University, Chengdu 611130, China
*
Authors to whom correspondence should be addressed.
These authors contributed equally to this work.
Fermentation 2025, 11(3), 107; https://doi.org/10.3390/fermentation11030107
Submission received: 29 December 2024 / Revised: 11 February 2025 / Accepted: 19 February 2025 / Published: 20 February 2025
(This article belongs to the Special Issue Fermentation Technologies for the Production of High-Quality Feed)

Abstract

This experiment aimed to evaluate the impact of various feed additive-treated silage corn straw on the growth performance, blood parameters, nutrient apparent digestibility, and rumen fermentation in Simmental cattle. Eighteen healthy Simmental bulls (275.64 ± 15.27 kg) were randomly assigned to three groups, each consisting of six bulls: a control group (CON) receiving a basal diet, an experimental group, (OS) wherein 20% of the rice straw in the control group’s diet was substituted with silage corn straw treated with organic acid, and another experimental group (MS) wherein 20% of the rice straw was replaced with silage corn straw mixed with corn flour, lactic acid bacteria, and organic acid. All cattle were fed at 08:30 and 16:30, twice each day, with unrestricted access to water throughout the study. The results indicated that silage had no effect on the growth and serum biochemical indexes of beef cattle among all groups. However, other parameters, mainly rumen fermentation parameters, nutrient digestibility, and rumen microorganisms, were affected by the silage. The MS group significantly increased the concentration of microbial protein (MCP) in the rumen of cattle compared to the CON group. The OS and MS groups had a similar apparent digestibility of ether extract and acid detergent fiber (ADF), but a higher digestibility of dry matter (DM) (p = 0.001) and crude protein (CP) (p < 0.001) compared to the CON group. The rumen bacterial community of the MS group had a lower abundance of Proteobacteria than the CON group (p = 0.016). The abundance of Firmicutes in the MS group was not significantly different from the CON group, but there was an increasing trend compared with the OS group (p = 0.054). A Spearman correlation analysis showed that the apparent digestibility of NDF and CP was negatively correlated with Succinivibrionaceae UCG-002 (r = −0.552, p = 0.018; r = −0.668, p = 0.002), Succinimonas (r = −0.774, p < 0.001; r = −0.513, p = 0.029), and Ruminobacter (r = −0.583, p = 0.011; r = −0.618, p = 0.006). The apparent digestibility of DM exhibited a negative correlation with Succinivibrionaceae UCG-002 (r = −0.538, p = 0.021) and Succinimonas (r = −0.642, p = 0.004). Overall, corn straw silage with mixed additives has more feeding value, which can improve rumen fermentation and regulate the rumen bacterial community. Straw silage can change the rumen microbial community structure to improve the apparent digestibility of nutrients.

1. Introduction

As an inevitable by-product of corn harvesting, the annual output of corn straw is very considerable in the world. The global production of corn straw is more than billions of tons, which can be used as an important roughage resource for ruminants [1]. However, due to its high fiber lignin content, low crude protein content, low digestibility, and other nutritional factors, the actual feed utilization rate is very low [2], resulting in the wastage of the fodder. Therefore, improving the feed utilization rate of corn straw has become a research hotspot in agriculture and animal husbandry.
Silage fermentation is an effective method to preserve green grass, which can not only prolong the preservation time of grass but also enhance the fermentation quality and palatability of grass. Silage additives are one of the major methods to improve the quality of silage. At present, the most commonly used microbial preparation in the world is lactic acid bacteria inoculum, which can effectively promote silage fermentation while inhibiting the growth of detrimental microorganisms and enhance the fermentation quality of silage [3,4]. However, some studies indicate that when the water-soluble carbohydrate (WSC) content in the feed substrate is insufficient, the addition of lactic acid bacteria alone is inadequate to enhance fermentation efficiency and upgrade the quality of silage fermentation. On the contrary, the higher WSC content in corn flour can provide sufficient nutrients for lactic acid bacteria fermentation, so as to improve the nutritional value of silage [5]. To minimize silage spoilage and nutrient loss during feed fermentation, acid preparations, alongside microbial preparations, are frequently employed. Organic acids, such as formic and propionate acids, can directly acidify the silage, lower the pH, impede the proliferation of deleterious microorganisms like molds, and enhance aerobic stability [6].
Silage has a high feeding value. Studies have shown that adding silage to lamb diets can reduce the levels of lymphocytes, neutrophils, and other cells in animals’ blood, decrease inflammatory responses, and enhance antioxidant capacity [7]. Furthermore, it was found that after feeding ruminants silage treated with additives, there was a trend of increased abundance of Firmicutes in the rumen, and the apparent digestibility of crude protein and acid detergent fiber also increased significantly [8]. At present, although many studies on silage additives have been conducted, few scholars have mixed these additives into silage, especially corn straw, and only a few reports are available on the effect of adding mixed additives to silage on the rumen microorganisms of beef cattle. By reviewing previous studies, we hypothesized that the combined treatment of silage corn straw with various types of additives might confer greater feeding value and increase production performance in cattle. Consequently, this experiment was designed to investigate the effects of corn straw fermented with different silage additives on the growth performance, serum physiology, rumen fermentation, nutrient digestibility, and rumen microbiota of beef cattle.

2. Materials and Methods

2.1. Production of Corn Straw Silage

Fresh corn straw was harvested during the dough stage in the experimental field of the Institute of Animal Nutrition at Sichuan Agricultural University (102° E, 29°58′ N, Ya’an, Sichuan, China). The stubble height ranged from 15 to 25 cm, and the straw was chopped to 2–3 cm in length by a grinder for subsequent use. Two treatments were applied to corn straw during silage: (1) OS group: this involved the addition of compound organic acid salts (Sichuan Aikexin Biotechnology Co., Ltd., Chengdu, China), with primary components comprising ammonium propionate ≥ 35%, formic acid ≥ 28%, and propionic acid ≥ 4%, at a concentration of 0.1% of the fresh weight of the corn straw. (2) MS group: this treatment included the addition of corn flour, Lactobacillus plantarum A1 (viable count ≥ 1 × 1011 CFU/g, Sichuan Aikexin Biotechnology Co., Ltd., Chengdu, China), and compound organic acid salts, at concentrations of 5% (FW, fresh weight), 1 g/t (FW, fresh weight), and 0.1% (FW, fresh weight), respectively. The processed corn straw was vacuum-sealed in polyethylene silo bags and subjected to a 60 day silage period before the bags were opened. Each bag weighed 65 kg, and 2 tons of silage from each treatment were produced. The fermentation quality and nutritional contents of the two silage corn straws are presented in Table 1.

2.2. Experimental Animals and Design

This animal experiment was conducted in accordance with the guidelines approved by the Animal Welfare and Ethics Committee of the Laboratory Animal Center at Sichuan Agricultural University (No. SCAUAC202303-1). The trial was performed at the Ya’an Experimental Base of the Animal Nutrition Institute, Sichuan Agricultural University in February 2023. Eighteen healthy Simmental crossbred bulls were used in this study. The selected bulls (BW = 275.64 ± 15.27 kg, age = 10 months) were randomly assigned to three groups, six cattle in each group: (1) CON group, fed with basal diet; (2) OS group, in which 20% of the rice straw from the control group’s diet was replaced with silage corn straw treated with organic acid; and (3) MS group, where 20% of the rice straw in the control group diet was replaced by silage corn straw treated with lactic acid bacteria, corn flour, and organic acid. The experiment included a 10-day pre-feeding period and a 30-day main experimental period. All cattle were housed in 18 pens with 1 animal in each pen (2 m × 4 m). The cattle were fed a mixture of concentrate, distiller’s grains, rice straw, and silage corn straw according to dietary proportions to ensure balanced feeding. Feeding was conducted at 8:30 and 16:30 daily, with unrestricted access to water. Before the experiment, each beef cow was numbered for deworming, and the cowshed was regularly cleaned and disinfected. The basic diet of the experiment was designed according to the nutritional requirements of 300 kg body weight and 1 kg daily weight gain in American beef cattle NASEM (2016). The control and experimental groups had the same concentrate supplement in the diet, with corn, wheat bran, soybean meal, and rapeseed meal as the main raw materials. In the experimental group, 20% of the rice straw was replaced with fermented corn straw, and the proportion of concentrate to roughage was 50:50. The composition and nutritional level of each group is shown in Table 2.

2.3. Sample Collection and Analysis

After opening the silage bags, 10 g of the sample was taken, sealed with 90 mL of distilled water, and extracted at 4 °C for 24 h. The extract was then filtered through four layers of gauze to collect the filtrate for fermentation quality analysis. A pH meter (Anscitech Co., Ltd., Wuhan, China) was used to measure the pH of the extract. The content of acetate (AA) and propionate (PA) was determined by gas chromatography (Agilent8890, Agilent Technology Co., Ltd., Beijing, China). The content of WSC and starch (ST) was measured by anthrone–sulfuric acid colorimetry [9].
Samples were dried in an oven at 65 °C for 48 h in order to measure their dry matter (DM) content. After grinding, they were sieved through a 0.40 mm mesh for nutrient analysis. The content of crude protein (CP) was determined by the Kjeldahl method. Van Soest’s procedure was employed to determine the levels of neutral detergent fiber (NDF), acid detergent fiber (ADF), and crude fiber (CF) [10]. The content of crude ash (Ash) and ether extract (EE) in silage was determined according to the method described by Dou [11].
In the animal experiment, the initial and final body weights of the cattle in each group were measured before feeding on the morning of the first day and thirtieth day of the formal experiment. The daily feed intake during the experiment was recorded, and the average daily gain (ADG), dry matter intake (DMI), and the feed conversion ratio (F/G = DMI/ADG) of each group were determined. Before feeding in the morning, venous blood samples of Simmental cattle in each group were collected by vacuum blood collection tubes containing anticoagulant, and blood routine indexes, such as red blood cell count (RBC), white blood cell count (WBC), hemoglobin concentration (HGB), hematocrit (HCT), mean corpuscular volume (MCV), mean corpuscular hemoglobin (MCH), mean corpuscular hemoglobin concentration (MCHC), blood platelets (PLTs), neutrophil (Neu), lymphocyte (Lym), monocyte (Mon), and eosinophil (Eos), were measured by an automatic blood analyzer (DH-800CS, Dymind Biotechnology Co., Ltd., Shenzhen, China). Jugular vein blood samples were collected using a vacuum blood collection tube without anticoagulants, and then centrifuged at 3000× g and 4 °C for 15 min to separate the serum and stored at −20 °C until analysis. On the morning of the 30th day, each cow’s rumen fluid sample was collected with a soft esophagus tube (Anscitech Co., Ltd., Wuhan, China), and the first 150 mL of rumen fluid was discarded to ensure that the remaining fluid was not contaminated by animal saliva [12]. The remaining rumen fluid samples were sub-packed in two 15 mL sterile centrifuge tubes. One tube was stored in liquid nitrogen and immediately sent to Chengdu Luoning Microbial Co., Ltd. (Chengdu, China) for microbial sequencing, and the other tube was stored at −20 °C for subsequent chemical analysis. After collection of the rumen fluid, we immediately determined the pH of the remaining rumen fluid of each cow using a portable pH meter (Anscitech Co., Ltd., Wuhan, China).
From day 28, defecation was induced by stimulating the rectum, and fecal samples were collected every 6 h for 3 consecutive days. At the same time, fresh basal diet and orts were collected every day, and the daily collected diets, feces, and orts samples were frozen at −20 °C. After sampling, the diets, feces, and orts were mixed, respectively for each cattle, and dried at 65 °C for 48 h to constant weight for the analysis of nutrient digestibility. We analyzed the content of DM, EE, and CP in feces and diets according to AOAC procedures [13]. In addition, the content of NDF and ADF was measured using the method described by Van Soest et al. [10]. The apparent digestibility of nutrients was analyzed by the acid-insoluble ash (AIA) method. The content of AIA in feces (Af, %) and diets (Ad, %) was determined by Van Keulen and Young’s method [14]. According to the content of nutrients in feces (Nf, %) and diets (Nd, %), nutrient apparent digestibility was calculated by this formula: nutrient apparent digestibility (%) = [1 − (Ad × Nf)/(Af × Nd)] × 100.
We completely thawed and fully mixed the serum samples before conducting the chemical analysis. Total protein (TP), glucose (GLU), globulin (GLB), albumin (ALB), urea nitrogen (UN), triglyceride (TG), aspartate aminotransferase (AST), alanine aminotransferase (ALT), and alkaline phosphatase (ALP) were analyzed by an automatic biochemical analyzer (3100, Hitachi High-Tech Co., Ltd., Shanghai, China). The rumen fluid samples underwent centrifugation at 15,000× g for 10 min at 4 °C after thawing, and the rumen fermentation parameters of the supernatant were analyzed, including volatile fatty acids (VFAs) [15], NH3-N [16] and microbial protein (MCP) [17].
The DNA samples of rumen microbial solution were directly purified by a Zymo Research BIOMICS DNA Microprep Kit (Cat # D4301). The 16S rDNA V4 region was amplified by PCR using primers 515F (5′-GTGYCAGCMGCCGCGGTAA-3′) and 806R (5′-GGACTACHVGGGTWTCTAAT-3′). The total volume of the reaction mixture was 50 μL, including 2 μL template DNA, 1 μL DNA polymerase (1 U/μL, TOYOBO, Shanghai, China), 5 μL 10X PCR Buffer (TOYOBO, Shanghai, China), 5 μL dNTPS (2 mM), 3 μL primer mixture, 3 μL MgSO4 (25 mM), and 31 μL H2O. The PCR procedure was as follows: pre-denaturation at 94 °C for 1 min, 1 cycle; denaturation 94 °C 20 s, annealing 54 °C 30 s and extension 72 °C 30 s, 25–30 cycles; 72 °C 5 min, 1 cycle; heat preservation at 4 °C. Each sample was tested three times by PCR technology, and the PCR products in the linear phase were mixed in equal amount for subsequent library construction. The NEBNext Ultra II DNA Library Prep Kit for Illumina (NEB # E7645L) from NEW ENGLAND BioLabs (Beijing, China) was used to establish the library. The PE250 sequencing method was used for sequencing, and the sequencing kit was NovaSeq 6000 SP Reagent Kit V1.5 of Illumina company (San Diego, CA, USA).

2.4. Statistical Analysis

All data were sorted in Excel 2016 software, and data were analyzed using SPSS software (version 27.0; IBM Corp., Armonk, NY, USA) through one-way ANOVA. Multiple comparisons were performed using Duncan’s method. The data were shown as mean and standard error mean (SEM). p < 0.05 indicated statistical significance. All graphs were created using Origin software (version 2021; OriginLab, Northampton, MA, USA).

3. Results

3.1. Growth Performance

The effects of replacing rice straw with silage corn straw feed on the growth performance in Simmental cattle are shown in Table 3. There were no statistically significant differences in the initial and final body weights among the CON, OS, and MS groups (p > 0.05). Furthermore, substituting silage for rice straw did not have a statistically significant impact on the DMI and ADG of the beef cattle when compared to the CON group (p > 0.05). However, the ADG of the MS group was significantly higher than the OS group (p = 0.018). In addition, the FCR of the MS group was significantly lower than the OS group (p = 0.045), while the FCR of the MS group was also lower compared to the CON group, but without reaching statistical significance between these two groups.

3.2. Blood Parameters

The effects of the treatments on the blood indices of Simmental cattle are presented in Table 4. The results indicate no significant differences in the white blood cell count (WBC), mean corpuscular volume (MCV), mean corpuscular hemoglobin (MCH), monocyte percentage, and eosinophil percentage among all the groups (p > 0.05). The red blood cell (RBC) count (p = 0.022), hemoglobin (HGB) concentration (p = 0.028), and hematocrit (HCT) (p = 0.033) in the OS group significantly decreased compared to the CON group. The mean corpuscular hemoglobin concentration (MCHC) in the OS group was significantly higher than in the CON group (p = 0.040). The platelet (PLT) content in the MS group was notably lower than in the CON group (p = 0.036). The percentage of neutrophils (Neu%) in the OS group was significantly lower than in the CON group (p = 0.020). Conversely, the percentage of lymphocytes (Lym%) in the OS and MS groups was significantly increased (p = 0.029).
The results of the serum biochemical indexes are presented in Table 5. The levels of serum biochemical indexes (GLU, TG, TP, GLB, ALB, UN, ALT, AST. and ALP) among all groups were similar, with no significant difference (p > 0.05).

3.3. Rumen Fermentation Parameters

The effects of treatments on rumen fermentation of Simmental cattle are shown in Table 6. The MS group had a higher MCP concentration compared to the CON group (p = 0.032). Replacing rice straw with silage had no influence on other rumen fermentation parameters (p > 0.05), including the pH, NH3-N concentration, propionate, butyrate, valerate, VFA concentrations, and acetate–propionate ratio.

3.4. Nutrient Digestibility

The apparent digestibility of DM (p = 0.001) and CP (p < 0.001) in the OS and MS groups was significantly increased compared to the CON group (Table 7). The digestibility of NDF in the OS group was significantly higher than in the CON group (p = 0.020). The apparent digestibility of EE and ADF did not differ in all treatments (p > 0.05).

3.5. Microbial Community

3.5.1. Bacterial Alpha and Beta Diversity Analysis

The effects of silage replacing rice straw in beef cattle diets on rumen alpha diversity are shown in Table 8. There was no significant difference in the Shannon index, Simpson index, Ace index, and Chao index among all groups (p > 0.05).
As shown in Figure 1, based on the principal coordinate PCoA analysis of Bray–Curtis, we assessed the similarity of community structures among different samples. The results showed that the rumen microbial communities of each group were clustered in different regions, indicating that there were significant differences in the structure of rumen microbial flora in the CON, OS, and MS groups. The sample communities of the OS and the MS groups had clear spacing distances on the PCo1 axis and the PCo2 axis, indicating that the community samples among the groups were different in the first and second principal coordinate dimensions. PCo1 explained about 21.3% of the differences among the samples, while PCo2 explained about 14.3% of the differences among the samples.

3.5.2. Composition of Rumen Bacterial Community

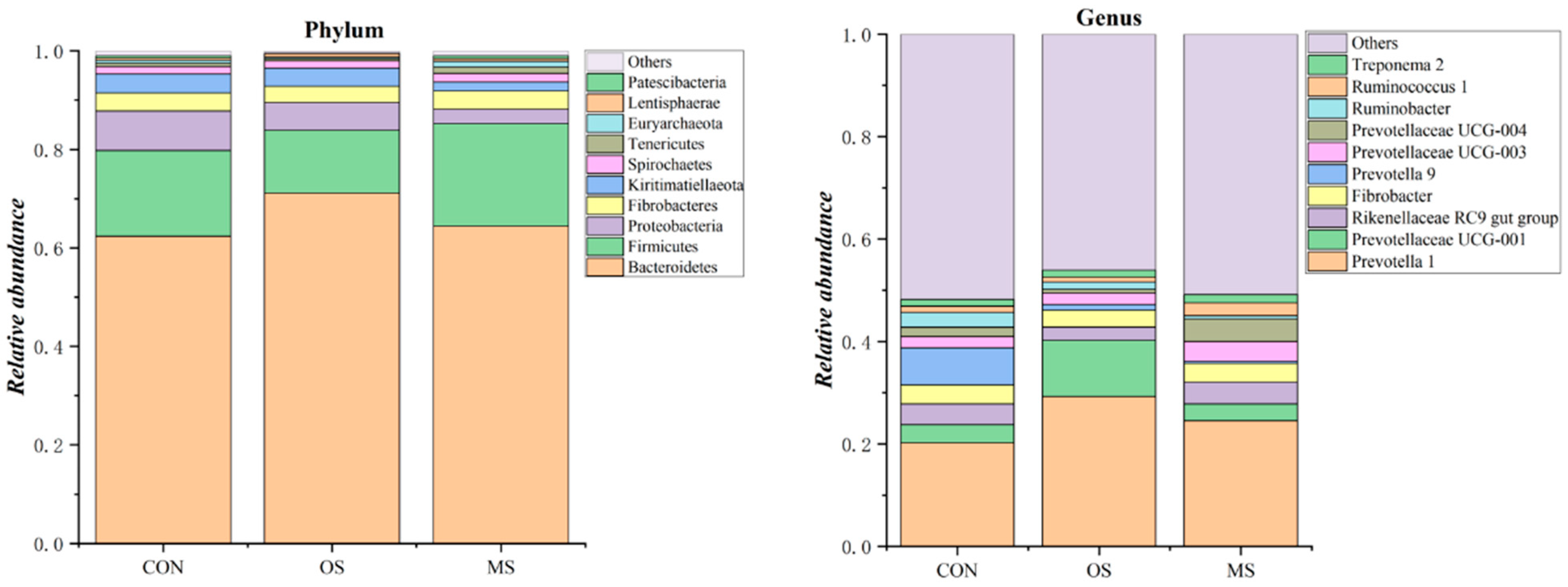
In the rumen, a total of 27 phyla were found, of which the dominant phyla were Bacteroidetes (CON = 62.34%, OS = 71.13%, MS = 64.37%), Firmicutes (CON = 17.45%, OS = 12.74%, MS = 20.84%), and Proteobacteria (CON = 8.00%, OS = 5.62%, MS = 2.96%). The relative abundance of Firmicutes in the MS group was slightly higher than in the OS group (p = 0.054), while the abundance of Proteobacteria was significantly reduced compared to the CON group (p = 0.016) (Figure 2; Table S1).
About 375 bacterial groups were found at the genus level; the top 10 genera with relatively high abundance are shown in Figure 2. Prevotella 1 was the main abundant genus in the rumen, with abundances of 20.20%, 29.25%, and 24.50% in the CON, OS, and MS groups, respectively, followed by Prevotellaceae UCG-001 (CON = 3.53%, OS = 10.96%, and MS = 3.30%), and Rikenellaceae RC9 gut group (CON = 4.08%, OS = 2.60%, and MS = 4.26%). Compared with the CON and MS groups, the abundance of Prevotellaceae UCG_001 in the OS group was significantly increased (p = 0.009). The relative abundance of Prevotella 1 in the CON group was significantly lower than in the OS group (p = 0.029).
In addition, we also analyzed the ratio of Firmicutes to Bacteroidetes in the rumen of beef cattle (Figure 3). Compared with the CON group, the ratio of FirmicutesBacteroidetes had no significant difference between the OS and the MS groups (p > 0.05). However, the FirmicutesBacteroidetes ratio in the MS group was significantly higher than in the OS group (p = 0.032).

3.5.3. Analysis of Rumen Differential Microorganisms

We used the LEfSe test in linear discriminant analysis (LDA) to analyze the differences in the bacterial community structure at the genus level of different treatment groups (Figure 4). The histogram of LDA values shows the species with LDA scores greater than the set threshold of three, which are the biomarkers with a statistical difference among the groups. The length of the column in the figure can represent the influence of the different species. Seven specific microbial genera were found, among which two genera were significantly enriched in the CON group, including Succinivibrionaceae_UCG_002 and Succinimonas, three genera were enriched in the MS group, such as Prevotellaceae_UCG_004, Anaeroplasma, and Alloprevotella, and two genera showed an increased abundance in the OS group, including Prevotella 1 and Prevotellaceae_UCG_001.
We also identified 12 genera as different bacteria based on the Kruskal–Wallis rank sum test (Figure 5), in which, the abundance of Prevotellaceae_UCG_001 in the OS group was significantly higher compared to the CON and MS groups (p = 0.003), while the relative abundance of Ruminococcus 2 (p = 0.017) and Rikenellaceae RC9 gut group (p = 0.024) showed the opposite trend. Ruminococcus 1 (p = 0.031), Methanobrevibacter (p = 0.013), Anaeroplasma (p = 0.030), Lachnospiraceae AC2044 group (p = 0.032), and Prevotellaceae_UCG_004 (p = 0.005) were significantly enriched in the MS group.

3.6. Correlation Analysis

The Spearman correlation analysis between the nutrient digestibility, rumen fermentation parameters, and rumen microorganisms is shown in Figure 6. In detail, Prevotellaceae UCG_001 was positively correlated with butyrate (r = 0.570, p = 0.013), valerate (r = 0.477, p = 0.045), isobutyrate (r = 0.473, p = 0.047), and isovalerate (r = 0.487, p = 0.041). Succinivibrionaceae UCG_002 was negatively correlated with DM apparent digestibility (r = −0.538, p = 0.021), NDF apparent digestibility (r = −0.552, p = 0.018), and CP apparent digestibility (r = −0.668, p = 0.002). Succinimonas was negatively correlated with DM apparent digestibility (r = −0.642, p = 0.004), NDF apparent digestibility (r = −0.774, p < 0.001), and CP apparent digestibility (r = −0.513, p = 0.029), and positively correlated with acetate (r = 0.495, p = 0.037). Ruminobacter was negatively correlated with NDF apparent digestibility (r = −0.583, p = 0.011) and CP apparent digestibility (r = −0.618, p = 0.006).

4. Discussion

4.1. Growth Performance

In this study, there was no significant difference in the DMI and ADG of beef cattle after feeding silage corn straw compared with the CON group, consistent with the results reported by Nair [18], but the feeding effect of silage corn straw treated with different additives was not the same. The ADG of beef cattle in the MS group was significantly higher than that of the OS group, suggesting that the feeding value of corn straw silage fermented with lactic acid bacteria additive, corn flour, and organic acid was higher than silage fermented with organic acid alone. This may be because the mixed fermentation agent improves the nutritional value of corn straw and increases the feed palatability. In addition, we also found that feeding silage fermented with mixed additives improved the feed utilization rate of beef cattle.
Blood routine indicators can reflect the physiological functions of the animal body and are of great significance for disease diagnosis. RBCs are the largest number of blood cells in the blood, HGB is an important component of red blood cells, mainly involved in the transport of oxygen and carbon dioxide, and is a special protein. HCT is the proportion of red blood cells in the total blood volume, which is an important indicator for the diagnosis of anemia. In addition, MCV, MCH, and MCHC are usually used as an important basis for the identification of anemia [19]. In this experiment, although the RBC, HGB, and HCT levels in the OS group were significantly decreased compared to the CON group, all these values remained within the normal range, 4.47–9.35 × 1012 /L, 7.4–12.8 g/dL, and 22.5–39.9%, respectively [20]. Compared with the CON and OS groups, there was no significant difference in RBC, HGB, HCT, MCV, MCH, and MCHC levels in the MS group, indicating that feeding silage corn straw feed did not cause anemia in beef cattle.
Platelets are mainly involved in coagulation in the body. When the number of platelets increases, the production of active substances involved in coagulation in the body increases, resulting in slower blood circulation and more energy consumption. The results of this experiment showed that there was no significant difference in platelets between the two treatment groups fed silage. However, when compared with the CON group, the PLTs in the MS group were significantly lower, but still within the normal range. This indicated that after feeding the mixed silage, the number of platelets decreased slightly, the blood fluidity increased, and the decrease in the platelet metabolism resulted in less energy consumption. The reason for the decrease in the platelet count observed in the beef cattle fed with silage corn straw in this study may be attributed to the fact that our experimental animals have been fed with rice straw as roughage for a long time and have never consumed silage corn straw. The transition in dietary roughage imposed significant physiological stress on them, indirectly affecting the platelet count.
Immune cells play an important role in the process of the immune response, including lymphocytes, granulocytes, and so on. Among them, the number of lymphocytes is higher, accounting for about 45% of the number of white blood cells in peripheral blood. The number of lymphocytes can reflect the level of animal immunity, and its increased levels mean that the body’s resistance to pathogenic bacteria is enhanced. The results of this study revealed that the percentage of lymphocytes in beef cattle in the OS and MS groups increased significantly, but were still within the normal range [21], indicating that the immunity of animals was improved after feeding silage. This effect may be attributed to the higher antioxidant content in additive-treated silage, which helps enhance the antioxidant capacity and immune function of beef cattle, potentially promoting the production and proliferation of lymphocytes [22,23].
Blood biochemical indicators can reflect the level of metabolism in animals and are associated with their nutritional status. The concentration of GLU in serum is an important indicator of the level of glucose metabolism in the body, which can directly reflect the energy metabolism of the body. Under normal circumstances, its content is relatively stable. TG is a crucial biochemical indicator for assessing lipid metabolism in the body, and is also an important energy supply and energy storage substance in the body. The lower the content of TG in serum, the higher the utilization rate of fat in the body. When fat metabolism is impaired, the content of TG in the body is significantly increased. TP, ALB, and GLB are used to reflect the level of protein metabolism in animals. The content of UN can reflect the balance between protein metabolism and dietary amino acid levels. The lower the concentration, the higher the utilization rate of nitrogen-containing substances, and the higher the efficiency of liver protein synthesis. In addition, there are three important transaminases in the process of protein metabolism, namely ALT, AST, and ALP, which are important indicators for evaluating liver function and are of great significance for the diagnosis of liver diseases [24]. In this study, no significant difference was observed in serum biochemical parameters among the CON, OS, and MS groups, indicating that the beef cattle fed silage were in normal condition.

4.2. Rumen Fermentation Parameters

The pH of rumen fluid is an important indicator that reflects the internal environment and health status of the rumen. It indirectly affects rumen development by affecting the growth and reproduction of microorganisms in the rumen, and its normal range is between 6 and 7 [25]. In this research, the pH values of rumen fluid in all groups were within the normal range, which indicated that there was no negative impact on rumen microbial fermentation after feeding silage corn straw.
In rumen fluid, the NH3-N is the final product of the decomposition of dietary protein and non-protein nitrogen substances, and is also the substrate for the synthesis of MCP. MCP in the rumen constitutes the primary nitrogen source for ruminants, and its content can reflect the ability of rumen microorganisms to utilize NH3-N. In this experiment, there was no significant difference in NH3-N concentration in all groups, but the rumen MCP content of beef cattle fed silage increased, indicating that silage corn straw provided more available nitrogen sources for rumen microorganisms, and promoted the growth of related microbial communities to a certain extent, thereby improving the utilization rate of NH3-N and the efficiency of MCP synthesis [26].
Microorganisms in the rumen can decompose soluble carbohydrates in the diet to produce VFAs. VFAs, which mainly consist of acetic acid, propionic acid, and butyric acid, are an important energy source for ruminants, accounting for 70–80% of the energy required by the body [27]. There are some differences in the metabolic pathways of different types of VFAs. Fatty acids are mostly synthesized by acetic and butyric acids. Propionic acid plays a crucial role as a precursor in the synthesis of glucose in ruminants [28]. Therefore, acetate–propionate determines the rumen fermentation mode and energy utilization pathway. In this study, compared with feeding rice straw, although the use of silage corn straw in the diet reduced the molar concentration of acetate in the rumen of beef cattle, it had no significant effect on the remaining VFA concentration. Additionally, the proportion of acetate to propionate did not change. This shows that feeding silage corn straw feed did not change the rumen fermentation mode of beef cattle and kept the rumen environment stable.

4.3. Nutrient Digestibility

Diet composition and rumen microbial species can affect the digestibility of ruminants [29]. Our study found that the OS and MS groups showed a higher apparent digestibility of DM and CP than the CON group. The positive effects of the OS and MS groups on digestibility may be related to microorganisms, which increase digestibility by increasing the quantity of fiber-degrading bacteria in the rumen. The rumen contains a variety of strains that degrade nutrients such as fiber. Our analysis of the rumen microbial population also found that the OS and the MS groups increased the proportion of Firmicutes and Bacteroidetes. Additionally, microorganisms in the rumen can decompose feed to produce MCP and some small peptides that are easily absorbed by the body to achieve the purpose of improving nutrient digestibility [30]. Our rumen fermentation results also showed that the content of MCP in the OS and MS groups increased.

4.4. Microbial Community

There are many kinds of gastrointestinal microorganisms in ruminants. A large number of studies have shown that the types and structures of rumen microorganisms can be affected by changing the composition of diets or using additives [31]. In our research, we performed a comprehensive classification of the bacterial community composition in the rumen.
Many studies have found that the dominant bacteria in the rumen are Bacteroidetes and Firmicutes, involved in protein and carbohydrate degradation [25], aligning with the findings of this experiment. In addition, studies by Kim [32] and Kong [33] also showed that Bacteroidetes and Firmicutes are two important bacteria in the digestive tract of ruminants and play crucial roles in rumen fermentation. It has been stated that Firmicutes contains a large number of bacteria related to fiber catabolism, which produce short-chain fatty acids by degrading structural polysaccharides in the rumen to provide energy for ruminants [34]. In this study, compared with the CON group, there was no significant difference in the abundance of Firmicutes between the OS group and the MS group. However, the MS group showed a significantly greater abundance of Firmicutes compared to the OS group, indicating that feeding mixed silage increased the number of fiber-degrading bacteria in the rumen, and promoted the decomposition and energy absorption of rumen fiber. Studies have confirmed that the abundance of Firmicutes in silage significantly increases after adding Lactobacillus plantarum or corn flour [35,36]. Li et al. [37] added organic acids to silage and found that the abundance of Firmicutes decreased. We speculate that the lactic acid bacteria and corn flour in the mixed additives provide a suitable acidic environment and abundant nutrients for Firmicutes in silage, which favors its growth. Therefore, the MS group of silage materials has a higher level of Firmicutes, leading to a higher abundance of Firmicutes in the rumen compared to other treatments. Proteobacteria contain a variety of pathogenic bacteria, such as Salmonella, Escherichia coli, etc. The increase in the number of such flora may lead to the inflammation of the digestive tract and affect the physiological function of animals [38]. In this research, the relative abundance of Proteobacteria decreased significantly after replacing rice straw with silage in the diet of the experimental beef cattle, indicating that feeding mixed fermented silage corn straw can effectively inhibit the reproduction of harmful microorganisms in the rumen. We speculate that the reproduction of this type of microorganism is inhibited for two reasons. Firstly, compared to rice straw, silage has a richer microbial diversity, leading to the competition for nutrients and living space with other bacteria in the rumen, thereby suppressing their growth. Secondly, the metabolites produced by the microorganisms in silage may have inhibitory effects on these bacteria in the rumen, which warrants further in-depth research.
At the genus level, many studies have shown that Prevotella 1 is the most prevalent bacterial genus in the rumen [39,40], which is consistent with our findings. Our study found that the top two genera in the rumen are Prevotella 1 and Prevotellaceae UCG-001, both of which belong to Prevotellaceae. Such bacteria play an extremely important role in the degradation of proteins, hemicelluloses, and non-cellulose plant polysaccharides in ruminant diets [41]. Our results showed that the relative abundance of Prevotella 1 and Prevotellaceae UCG_001 in the OS group was significantly higher than that in the CON group, suggesting that the ruminant’s ability to decompose roughage protein and fiber may be improved after feeding silage corn stalk feed, which needs further verification.
In addition, we also analyzed the ratio of Firmicutes to Bacteroidetes in the rumen of beef cattle. Studies have confirmed that the ratio of Firmicutes to Bacteroidetes affects the body’s energy absorption and is related to fat deposition [42]. Myer [43] reported that the increase in the abundance of Firmicutes in the rumen increased the FirmicutesBacteroidetes ratio, which played a crucial role in enhancing feed utilization. Our study showed that compared with the OS group, the MS group had a greater relative abundance of Firmicutes in the FirmicutesBacteroidetes ratio, indicating that beef cattle fed mixed silage corn straw had higher feed utilization and energy utilization.
The difference analysis of the rumen bacterial community indicated that Succinivibrionaceae UCG_002 and Succinimonas were significantly enriched in the CON group; both bacteria belong to the Succinivibrionaceae family. Succinivibrionaceae tends to use non-fiber carbohydrates in the rumen to degrade these nutrients into succinate and further convert them into propionate [44]. The significant difference bacteria in the OS group were mainly Prevotella 1 and Prevotellaceae UCG_001, and Prevotella was mainly involved in the degradation of protein and polysaccharide [45]. The increase in the abundance of such bacteria may be related to dietary changes. Compared with rice straw in the CON group, the nutrients of silage in the OS group were more easily decomposed and utilized by Prevotella, which in turn promoted the growth and reproduction of this microorganism. The significantly enriched differential groups in the MS group were mainly Prevotellaceae UCG_004, Alloprevotella, and Ruminococcus 1. Prevotellaceae UCG_004 and Alloprevotella belong to Bacteroidetes. Prevotellaceae UCG_004 is involved in polysaccharide degradation and SCFA production [46]. Currently, there remains insufficient research on the function of Alloprevotella in the rumen. Ruminococcus 1 is a cellulose-decomposing bacterium, indicating that feeding silage increases the number of rumen fiber-decomposing bacteria and promotes the decomposition of fiber substances.
In order to forecast the microbiota involved in changing the nutrient digestibility and rumen fermentation characteristics, a correlation analysis was conducted. Prevotellaceae UCG_001 was found to be positively correlated with VFAs, such as butyrate, valerate, and isobutyrate, in the rumen, indicating that these bacteria play an important role in the synthesis of VFAs, which is consistent with previous research on the Prevotellaceae family promoting rumen butyric acid production in high ADG goats [47]. The rumen microbiota has a certain influence on the digestion and utilization of feed nutrients [44]. Succinivibrionaceae UCG_002 and Succinimonas were negatively correlated with DM apparent digestibility, NDF apparent digestibility, and CP apparent digestibility.
In this study, the CON group mainly enriched Succinivibrionaceae, which can utilize non-fiber carbohydrates. Compared with the OS and MS groups fed silage, the relative abundance of Prevotellaceae, which is more capable of degrading protein and fiber, is lower. This can explain why the apparent digestibility of DM, NDF, and CP in the CON group is lower, which is consistent with the conclusions of Cui et al. [48]. Ruminobacter is a kind of anaerobic bacteria in rumen, which mainly degrades soluble carbohydrates such as starch into acetate and propionate [49,50,51]. In this research, Ruminobacter was negatively correlated with NDF apparent digestibility and CP apparent digestibility, probably because Ruminobacter in the rumen was more inclined to use starch substances in the feed, and less inclined to use fiber and protein substances, which requires further in-depth study.

5. Conclusions

In this study, when cattle were fed with the microbial fermented silages (OS and MS), the growth of beef cattle was not affected, and the apparent digestibility of DM and CP in the treatment groups was significantly higher than the CON group. The rumen fermentation performance in the MS group was enhanced compared to the CON group. Moreover, the OS and MS groups also had a significant effect on the composition of rumen bacteria, increasing the abundance of beneficial bacteria, indicating that feeding silage corn straw had no adverse effect on beef cattle. The correlation analysis indicated that nutrient digestibility decreased as Succinivibrionaceae UCG_002, Succinimonas, and Ruminobacter increased. In conclusion, the current study showed that silage corn straw has more feeding value compared with rice straw, and the combined treatment of silage corn straw with various types of additives has more advantages in growth performance.

Supplementary Materials

The following supporting information can be downloaded at: https://www.mdpi.com/article/10.3390/fermentation11030107/s1, Table S1: bacterial composition at the phylum and genus levels.

Author Contributions

Conceptualization, Z.W. and H.Z.; methodology, Z.W., C.Z. and H.Z.; software, C.Z. and Q.P.; validation, C.Z. and J.X.; formal analysis, F.W. and Y.T.; resources, Z.W., B.X. and H.Z.; writing—original draft preparation, C.Z.; writing—review and editing, C.Z. and J.X.; visualization, C.Z. and R.H.; supervision, Z.W. and L.W.; project administration, H.Z.; funding acquisition, H.Z. All authors have read and agreed to the published version of the manuscript.

Funding

This study was supported by the National Key R&D Program of China (Grant Number: 2022YFD1601606) and Ya’an City School Cooperation Project (24CGZH0003).

Institutional Review Board Statement

The animal study protocol was approved by the Animal Care and Use Committee of the Laboratory Animal Center at Sichuan Agricultural University (No. SCAUAC202303-1; date: 1 March 2023).

Informed Consent Statement

Not applicable.

Data Availability Statement

The original contributions presented in this study are included in the article, further inquiries can be directed to the corresponding authors.

Acknowledgments

We thank the laboratory members for their help throughout the experimental process and manuscript writing.

Conflicts of Interest

The authors declare no conflicts of interest.

References

  1. Zhao, G.; Wu, H.; Li, Y.; Li, L.; He, J.; Yang, X.; Xie, X. Fermentation characteristics and microbial community composition of wet brewer’s grains and corn stover mixed silage prepared with cellulase and lactic acid bacteria supplementation. Anim. Biosci. 2024, 37, 84–94. [Google Scholar] [CrossRef] [PubMed]
  2. Zhang, G.; Li, Y.; Fang, X.; Cai, Y.; Zhang, Y. Lactation performance, nitrogen utilization, and profitability in dairy cows fed fermented total mixed ration containing wet corn gluten feed and corn stover in combination replacing a portion of alfalfa hay. Anim. Feed Sci. Technol. 2020, 269, 114687. [Google Scholar] [CrossRef]
  3. Xu, Z.; He, H.; Zhang, S.; Kong, J. Effects of inoculants Lactobacillus brevis and Lactobacillus parafarraginis on the fermentation characteristics and microbial communities of corn stover silage. Sci. Rep. 2017, 7, 13614. [Google Scholar] [CrossRef] [PubMed]
  4. Guo, G.; Shen, C.; Liu, Q.; Zhang, S.; Shao, T.; Wang, C.; Wang, Y.; Xu, Q.; Huo, W.J. The effect of lactic acid bacteria inoculums on in vitro rumen fermentation, methane production, ruminal cellulolytic bacteria populations and cellulase activities of corn stover silage. J. Integr. Agric. 2020, 19, 838–847. [Google Scholar] [CrossRef]
  5. Cai, Y.; Du, Z.; Yamasaki, S.; Nguluve, D.; Tinga, B.; Macome, F.; Oya, T. Community of natural lactic acid bacteria and silage fermentation of corn stover and sugarcane tops in Africa. Asian-Australas. J. Anim. Sci. 2020, 33, 1252–1264. [Google Scholar] [CrossRef] [PubMed]
  6. Muck, R.E.; Nadeau, E.M.G.; McAllister, T.A.; Contreras-Govea, F.E.; Santos, M.C.; Kung, L., Jr. Silage review: Recent advances and future uses of silage additives. J. Dairy Sci. 2018, 101, 3980–4000. [Google Scholar] [CrossRef] [PubMed]
  7. Zheng, X.; Wang, Y.; Li, S.; Sun, Y.; Hou, G.; Huang, R.; Zhang, F. The Effect of Broussonetia papyrifera Silage on the Growth Performance, Blood Physiological Parameters, Serum Biochemical Parameters, Immune Response, Antioxidant Capacity, and Rumen Bacteria of Kazakh Lamb. Anim. Open Access J. 2025, 15, 78. [Google Scholar] [CrossRef] [PubMed]
  8. Tang, Q.; He, R.; Huang, F.; Liang, Q.; Zhou, Z.; Zhou, J.; Wang, Q.; Zou, C.; Gu, Q. Effects of ensiling sugarcane tops with bacteria-enzyme inoculants on growth performance, nutrient digestibility, and the associated rumen microbiome in beef cattle. J. Anim. Sci. 2023, 101, skad326. [Google Scholar] [CrossRef]
  9. Owens, V.N.; Albrecht, K.A.; Muck, R.E.; Duke, S.H. Protein Degradation and Fermentation Characteristics of Red Clover and Alfalfa Silage Harvested with Varying Levels of Total Nonstructural Carbohydrates. Crop Sci. 1999, 39, 1873–1880. [Google Scholar] [CrossRef]
  10. Van Soest, P.J.; Robertson, J.B.; Lewis, B.A. Methods for dietary fiber, neutral detergent fiber, and nonstarch polysaccharides in relation to animal nutrition. J. Dairy Sci. 1991, 74, 3583–3597. [Google Scholar] [CrossRef]
  11. Dou, Q.; Luo, B.; Dai, X.; Wang, P.; Guo, C.; Zhao, L.; Tang, Y.; Yang, X.; Zhou, S. Effects of Additives and Planting Density on Silage Performance and Bacterial Community of Novel Sorghum bicolor × S. propinquum Hybrids. Fermentation 2024, 10, 434. [Google Scholar] [CrossRef]
  12. Shen, J.S.; Chai, Z.; Song, L.J.; Liu, J.X.; Wu, Y.M. Insertion depth of oral stomach tubes may affect the fermentation parameters of ruminal fluid collected in dairy cows. J. Dairy Sci. 2012, 95, 5978–5984. [Google Scholar] [CrossRef] [PubMed]
  13. Latimer, G.W., Jr. Official Methods of Analysis, 18th ed.; AOAC: Gaithersburgs, MD, USA, 2006. [Google Scholar]
  14. Van Keulen, J.; Young, B.A. Evaluation of Acid-Insoluble Ash as a Natural Marker in Ruminant Digestibility Studies. J. Anim. Sci. 1977, 44, 282–287. [Google Scholar] [CrossRef]
  15. Erwin, E.S.; Marco, G.J.; Emery, E.M. Volatile Fatty Acid Analyses of Blood and Rumen Fluid by Gas Chromatography. J. Dairy Sci. 1961, 44, 1768–1771. [Google Scholar] [CrossRef]
  16. Broderick, G.A.; Kang, J.H. Automated simultaneous determination of ammonia and total amino acids in ruminal fluid and in vitro media. J. Dairy Sci. 1980, 63, 64–75. [Google Scholar] [CrossRef] [PubMed]
  17. Makkar, H.P. Simple determination of microbial protein in rumen liquor. J. Dairy Sci. 1982, 65, 2170–2173. [Google Scholar] [CrossRef] [PubMed]
  18. Nair, J.; Xu, S.; Smiley, B.; Yang, H.E.; McAllister, T.A.; Wang, Y. Effects of inoculation of corn silage with Lactobacillus spp. or Saccharomyces cerevisiae alone or in combination on silage fermentation characteristics, nutrient digestibility, and growth performance of growing beef cattle. J. Anim. Sci. 2019, 97, 4974–4986. [Google Scholar] [CrossRef] [PubMed]
  19. Okunade, S.A.; Isah, O.A.; Oyekunle, M.A.; Olafadehan, O.A.; Makinde, O.J. Effects of supplementation of threshed sorghum top with selected browse plant foliage on haematology and serum biochemical parameters of Red Sokoto goats. Trop. Anim. Health Prod. 2016, 48, 979–984. [Google Scholar] [CrossRef]
  20. Giuliotti, L.; Benvenuti, M.N.; Martini, A.; Accorsi, P.A.; Lotti, C.; Cappucci, A.; Conte, G. Assessment of blood and productive parameters in mid-lactation dairy cows fed different diets: Replacement of corn silage with triticale silage. Arch. Anim. Breed. 2022, 65, 223–229. [Google Scholar] [CrossRef] [PubMed]
  21. Gunun, N.; Kaewpila, C.; Khota, W.; Phlaetita, W.; Gunun, P. The Effects of Indigo Waste Silage Prepared with Additives on Feed Availability, Rumen Fermentation Patterns, Blood Metabolites, and Hematological Indices in Beef Cattle. Vet. Sci. 2024, 11, 588. [Google Scholar] [CrossRef] [PubMed]
  22. Zhang, Y.; Usman, S.; Li, Q.; Li, F.; Zhang, X.; Nussio, L.G.; Guo, X. Effects of antioxidant-rich Lactiplantibacillus plantarum inoculated alfalfa silage on rumen fermentation, antioxidant and immunity status, and mammary gland gene expression in dairy goats. J. Anim. Sci. Biotechnol. 2024, 15, 9. [Google Scholar] [CrossRef]
  23. Zhang, Y.X.; Ke, W.C.; Bai, J.; Li, F.H.; Xu, D.M.; Ding, Z.T.; Guo, X.S. The effect of Pediococcus acidilactici J17 with high-antioxidant activity on antioxidant, α-tocopherol, β-carotene, fatty acids, and fermentation profiles of alfalfa silage ensiled at two different dry matter contents. Anim. Feed Sci. Technol. 2020, 268, 114614. [Google Scholar] [CrossRef]
  24. Vranković, L.; Aladrović, J.; Ljubić, B.B.; Pipal, I.; Prvanović-Babić, N.; Mašek, T.; Stojević, Z. Blood biochemical parameters of bone metabolism in cows and calves kept in a beef suckler system during the early postpartum period. Livest. Sci. 2018, 211, 8–13. [Google Scholar] [CrossRef]
  25. Han, H.; Zhang, L.; Shang, Y.; Wang, M.; Phillips, C.J.C.; Wang, Y.; Su, C.; Lian, H.; Fu, T.; Gao, T. Replacement of Maize Silage and Soyabean Meal with Mulberry Silage in the Diet of Hu Lambs on Growth, Gastrointestinal Tissue Morphology, Rumen Fermentation Parameters and Microbial Diversity. Anim. Open Access J. 2022, 12, 1406. [Google Scholar] [CrossRef] [PubMed]
  26. Gao, X.; Hou, M.J.; Fu, X.Y.; Wang, H.C.; Shang, Z.H.; Zhu, H.D. Effect of replacing corn straw by sweet sorghum silage or whole plant corn silage in sheep diets on rumen fermentation and bacterial flora. Animal 2023, 17, 100906. [Google Scholar] [CrossRef] [PubMed]
  27. Liang, H.; Xu, L.; Zhao, X.; Bai, J.; Chen, Z.; Zhou, S.; Song, X.; Ouyang, K.; Pan, K.; Liu, C.; et al. Effect of daidzein on fermentation parameters and bacterial community of finishing Xianan cattle. Ital. J. Anim. Sci. 2018, 17, 950–958. [Google Scholar] [CrossRef]
  28. Allen, M.S. Drives and limits to feed intake in ruminants. Anim. Prod. Sci. 2014, 54, 1513–1524. [Google Scholar] [CrossRef]
  29. Dschaak, C.M.; Noviandi, C.T.; Eun, J.S.; Fellner, V.; Young, A.J.; ZoBell, D.R.; Israelsen, C.E. Ruminal fermentation, milk fatty acid profiles, and productive performance of Holstein dairy cows fed 2 different safflower seeds1. J. Dairy Sci. 2011, 94, 5138–5150. [Google Scholar] [CrossRef]
  30. Hao, X.; Diao, X.; Yu, S.; Ding, N.; Mu, C.; Zhao, J.; Zhang, J. Nutrient digestibility, rumen microbial protein synthesis, and growth performance in sheep consuming rations containing sea buckthorn pomace. J. Anim. Sci. 2018, 96, 3412–3419. [Google Scholar] [CrossRef] [PubMed]
  31. Vaidya, J.D.; van Gastelen, S.; Smidt, H.; Plugge, C.M.; Edwards, J.E. Characterization of dairy cow rumen bacterial and archaeal communities associated with grass silage and maize silage based diets. PLoS ONE 2020, 15, e0229887. [Google Scholar] [CrossRef] [PubMed]
  32. Kim, M.; Morrison, M.; Yu, Z. Status of the phylogenetic diversity census of ruminal microbiomes. FEMS Microbiol. Ecol. 2011, 76, 49–63. [Google Scholar] [CrossRef]
  33. Kong, Y.; Teather, R.; Forster, R. Composition, spatial distribution, and diversity of the bacterial communities in the rumen of cows fed different forages. FEMS Microbiol. Ecol. 2010, 74, 612–622. [Google Scholar] [CrossRef] [PubMed]
  34. Mao, S.; Zhang, M.; Liu, J.; Zhu, W. Characterising the bacterial microbiota across the gastrointestinal tracts of dairy cattle: Membership and potential function. Sci. Rep. 2015, 5, 16116. [Google Scholar] [CrossRef] [PubMed]
  35. Wu, C.; Sun, W.; Huang, Y.; Dai, S.; Peng, C.; Zheng, Y.; Chen, C.; Hao, J. Effects of different additives on the bacterial community and fermentation mode of whole-plant paper mulberry silage. Front. Microbiol. 2022, 13. [Google Scholar] [CrossRef] [PubMed]
  36. Yang, L.; Yuan, X.; Li, J.; Dong, Z.; Shao, T. Dynamics of microbial community and fermentation quality during ensiling of sterile and nonsterile alfalfa with or without Lactobacillus plantarum inoculant. Bioresour. Technol. 2019, 275, 280–287. [Google Scholar] [CrossRef] [PubMed]
  37. Li, M.; Fan, X.; Cheng, Q.; Chen, Y.; Long, J.; Lei, Y.; Li, P.; Chen, C. Effect of Amomum villosum essential oil as an additive on the chemical composition, fermentation quality, and bacterial community of paper mulberry silage. Front. Microbiol. 2022, 13, 951958. [Google Scholar] [CrossRef] [PubMed]
  38. Shin, N.R.; Whon, T.W.; Bae, J.W. Proteobacteria: Microbial signature of dysbiosis in gut microbiota. Trends Biotechnol. 2015, 33, 496–503. [Google Scholar] [CrossRef]
  39. Jami, E.; Mizrahi, I. Composition and similarity of bovine rumen microbiota across individual animals. PLoS ONE 2012, 7, e33306. [Google Scholar] [CrossRef] [PubMed]
  40. Dai, Q.; Ma, J.; Cao, G.; Hu, R.; Zhu, Y.; Li, G.; Zou, H.; Wang, Z.; Peng, Q.; Xue, B.; et al. Comparative study of growth performance, nutrient digestibility, and ruminal and fecal bacterial community between yaks and cattle-yaks raised by stall-feeding. AMB Express 2021, 11, 98. [Google Scholar] [CrossRef]
  41. Rubino, F.; Carberry, C.; Waters, S.M.; Kenny, D.; McCabe, M.S.; Creevey, C.J. Divergent functional isoforms drive niche specialisation for nutrient acquisition and use in rumen microbiome. ISME J. 2017, 11, 932–944. [Google Scholar] [CrossRef]
  42. Jami, E.; White, B.A.; Mizrahi, I. Potential Role of the Bovine Rumen Microbiome in Modulating Milk Composition and Feed Efficiency. PLoS ONE 2014, 9, e0085423. [Google Scholar] [CrossRef] [PubMed]
  43. Myer, P.R.; Smith, T.P.; Wells, J.E.; Kuehn, L.A.; Freetly, H.C. Rumen microbiome from steers differing in feed efficiency. PLoS ONE 2015, 10, e0129174. [Google Scholar] [CrossRef] [PubMed]
  44. Henderson, G.; Cox, F.; Ganesh, S.; Jonker, A.; Young, W.; Janssen, P.H. Rumen microbial community composition varies with diet and host, but a core microbiome is found across a wide geographical range. Sci. Rep. 2015, 5, 14567. [Google Scholar] [CrossRef] [PubMed]
  45. Jami, E.; Israel, A.; Kotser, A.; Mizrahi, I. Exploring the bovine rumen bacterial community from birth to adulthood. ISME J. 2013, 7, 1069–1079. [Google Scholar] [CrossRef] [PubMed]
  46. Heinritz, S.N.; Weiss, E.; Eklund, M.; Aumiller, T.; Louis, S.; Rings, A.; Messner, S.; Camarinha-Silva, A.; Seifert, J.; Bischoff, S.C.; et al. Intestinal Microbiota and Microbial Metabolites Are Changed in a Pig Model Fed a High-Fat/Low-Fiber or a Low-Fat/High-Fiber Diet. PLoS ONE 2016, 11, e0154329. [Google Scholar] [CrossRef] [PubMed]
  47. Wang, D.; Chen, L.; Tang, G.; Yu, J.; Chen, J.; Li, Z.; Cao, Y.; Lei, X.; Deng, L.; Wu, S.; et al. Multi-omics revealed the long-term effect of ruminal keystone bacteria and the microbial metabolome on lactation performance in adult dairy goats. Microbiome 2023, 11, 215. [Google Scholar] [CrossRef] [PubMed]
  48. Cui, Y.; Liu, H.; Gao, Z.; Xu, J.; Liu, B.; Guo, M.; Yang, X.; Niu, J.; Zhu, X.; Ma, S.; et al. Whole-plant corn silage improves rumen fermentation and growth performance of beef cattle by altering rumen microbiota. Appl. Microbiol. Biotechnol. 2022, 106, 4187–4198. [Google Scholar] [CrossRef]
  49. Hamlin, L.J.; Hungate, R.E. Culture and physiology of a starch-digesting bacterium (Bacteroides amylophilus n. sp.) from the bovine rumen. J. Bacteriol. 1956, 72, 548–554. [Google Scholar] [CrossRef] [PubMed]
  50. Gao, K.; Geng, C. Alterations in the rumen bacterial communities and metabolites of finishing bulls fed high-concentrate diets supplemented with active dry yeast and yeast culture. Front. Microbiol. 2022, 13, 908244. [Google Scholar] [CrossRef]
  51. Anderson, K.L. Biochemical analysis of starch degradation by Ruminobacter amylophilus 70. Appl. Environ. Microbiol. 1995, 61, 1488–1491. [Google Scholar] [CrossRef] [PubMed]
Figure 1. Principal coordinates analysis of bacterial communities in the rumen based on the Bray–Curtis distance. CON, control group; OS, replacing 20% rice straw from the CON group’s diet with silage treated with organic acid; MS, replacing 20% rice straw from the CON group’s diet with mixed silage treated with lactic acid bacteria, corn flour, and organic acid.
Figure 1. Principal coordinates analysis of bacterial communities in the rumen based on the Bray–Curtis distance. CON, control group; OS, replacing 20% rice straw from the CON group’s diet with silage treated with organic acid; MS, replacing 20% rice straw from the CON group’s diet with mixed silage treated with lactic acid bacteria, corn flour, and organic acid.
Fermentation 11 00107 g001
Figure 2. Bacterial composition at the phylum levels and genus levels in the rumen of CON, OS, and MS groups. CON, control group; OS, replacing 20% rice straw from the CON group’s diet with silage treated with organic acid; MS, replacing 20% rice straw from the CON group’s diet with mixed silage treated with lactic acid bacteria, corn flour, and organic acid.
Figure 2. Bacterial composition at the phylum levels and genus levels in the rumen of CON, OS, and MS groups. CON, control group; OS, replacing 20% rice straw from the CON group’s diet with silage treated with organic acid; MS, replacing 20% rice straw from the CON group’s diet with mixed silage treated with lactic acid bacteria, corn flour, and organic acid.
Fermentation 11 00107 g002
Figure 3. The difference in the FirmicutesBacteroidetes ratio in the rumen of CON, OS, and MS groups. Different small letters mean significant difference (p < 0.05). CON, control group; OS, replacing 20% rice straw from the CON group’s diet with silage treated with organic acid; MS, replacing 20% rice straw from the CON group’s diet with mixed silage treated with lactic acid bacteria, corn flour, and organic acid.
Figure 3. The difference in the FirmicutesBacteroidetes ratio in the rumen of CON, OS, and MS groups. Different small letters mean significant difference (p < 0.05). CON, control group; OS, replacing 20% rice straw from the CON group’s diet with silage treated with organic acid; MS, replacing 20% rice straw from the CON group’s diet with mixed silage treated with lactic acid bacteria, corn flour, and organic acid.
Fermentation 11 00107 g003
Figure 4. LDA analysis of rumen microbial abundance (genus level). CON, control group; OS, replacing 20% rice straw from the CON group’s diet with silage treated with organic acid; MS, replacing 20% rice straw from the CON group’s diet with mixed silage treated with lactic acid bacteria, corn flour, and organic acid.
Figure 4. LDA analysis of rumen microbial abundance (genus level). CON, control group; OS, replacing 20% rice straw from the CON group’s diet with silage treated with organic acid; MS, replacing 20% rice straw from the CON group’s diet with mixed silage treated with lactic acid bacteria, corn flour, and organic acid.
Fermentation 11 00107 g004
Figure 5. Significantly different genus bacteria in different treatments were tested by the Kruskal–Wallis rank sum test with a p-value of <0.05. CON, control group; OS, replacing 20% rice straw from the CON group’s diet with silage treated with organic acid; MS, replacing 20% rice straw from the CON group’s diet with mixed silage treated with lactic acid bacteria, corn flour, and organic acid.
Figure 5. Significantly different genus bacteria in different treatments were tested by the Kruskal–Wallis rank sum test with a p-value of <0.05. CON, control group; OS, replacing 20% rice straw from the CON group’s diet with silage treated with organic acid; MS, replacing 20% rice straw from the CON group’s diet with mixed silage treated with lactic acid bacteria, corn flour, and organic acid.
Fermentation 11 00107 g005
Figure 6. Correlations between nutrient apparent digestibility, rumen fermentation parameters, and rumen microbiome in beef cattle. * Is significant at the p < 0.05 level. ** Is significant at the p < 0.01 level.
Figure 6. Correlations between nutrient apparent digestibility, rumen fermentation parameters, and rumen microbiome in beef cattle. * Is significant at the p < 0.05 level. ** Is significant at the p < 0.01 level.
Fermentation 11 00107 g006
Table 1. Fermentation quality and nutritional components of corn silage (% DM, except where otherwise stated).
Table 1. Fermentation quality and nutritional components of corn silage (% DM, except where otherwise stated).
ItemsTreatments
OSMS
Fermentation parameters
pH3.813.74
Lactate8.1910.23
Acetate6.495.88
Propionate5.131.23
Nutritive values
DM(%FM)31.1031.48
Ash6.487.10
CP6.427.26
EE2.782.87
WSC1.401.18
ST5.946.01
CF28.4027.53
NDF59.1661.98
ADF32.0832.01
OS, silage supplementation with compound organic acid salts; MS, mixed silage supplementation with corn flour, lactic acid bacteria, and compound organic acid salts; DM, dry matter; FM, fresh material; CP, crude protein; EE, ether extract; WSC, water soluble carbohydrates; ST, starch; CF, crude fiber; NDF, neutral detergent fiber; ADF, acid detergent fiber.
Table 2. Ingredients and nutrient levels of basal diets (%, dry matter basis).
Table 2. Ingredients and nutrient levels of basal diets (%, dry matter basis).
ItemsTreatments
CONOSMS
Ingredients
Distiller’s grains252525
Rice straw2555
Corn straw silage/2020
Maize313131
Wheat bran7.17.17.1
Soybean meal3.53.53.5
Rapeseed meal5.55.55.5
Sodium bicarbonate0.350.350.35
Active dry yeast0.050.050.05
Premix 12.52.52.5
Total100100100
Nutrient levels
Neg 2, MJ/kg4.024.084.08
Crude protein, CP/%11.4812.2212.44
Neutral detergent fiber, NDF/%38.7836.6136.16
Acid detergent fiber, ADF/%23.1920.9620.00
Calcium, Ca/%0.760.800.89
Phosphorus, P/%0.440.460.47
1 The premix provided the following per kg of the diets: NaCl 0.6%, Sodium bicarbonate 0.25%, Cu 10 mg, Fe 50 mg, Mn 20 mg, I 0.5 mg, Zn 30 mg, Se 0.15 mg, Co 0.1 mg, VA 4400 IU, VE 180 IU, and VD3 550 IU. 2 NEg, net energy for gain, was calculated, and the other nutrients were measured values. CON, control group; OS, replacing 20% rice straw from the CON group’s diet with silage treated with organic acid; MS, replacing 20% rice straw from the CON group’s diet with mixed silage treated with lactic acid bacteria, corn flour, and organic acid.
Table 3. Effects of different treatments on growth performance.
Table 3. Effects of different treatments on growth performance.
ItemTreatmentsSEMp-Value
CONOSMS
Initial body weight (kg)273.83281.00272.083.600.592
Final body weight (kg)317.58321.58321.923.820.888
ADG (kg/d)1.46 ab1.35 b1.66 a0.050.018
DMI (kg/d)9.058.948.970.020.080
FCR6.22 ab6.60 a5.42 b0.240.045
CON, control group; OS, replacing 20% rice straw from the CON group’s diet with silage treated with organic acid; MS, replacing 20% rice straw from the CON group’s diet with mixed silage treated with lactic acid bacteria, corn flour, and organic acid; ADG, average daily gain; DMI, dry matter intake; FCR, feed conversion ratio, DMI/ADG; SEM, standard error of the mean. Different superscript letters in a row indicate significant differences (p < 0.05).
Table 4. Effects of different treatments on blood routine indexes.
Table 4. Effects of different treatments on blood routine indexes.
ItemTreatmentsSEMp-Value
CONOSMS
WBC (×109/L)8.577.529.030.270.051
RBC (×1012/L)8.02 a7.05 b7.62 ab0.150.022
HGB (g/L)126.00 a110.50 b117.00 ab2.580.028
HCT %33.80 a30.80 b32.65 ab0.510.033
MCV (fL)44.0042.2543.230.400.221
MCH (pg)15.2017.6314.750.610.143
MCHC (g/L)344.00 b357.83 a347.33 ab2.420.040
PLT (×109/L)500.00 a487.00 ab360.25 b28.240.036
Neu %52.88 a44.13 b48.10 ab1.580.020
Lym %41.30 b49.33 a52.18 a1.880.029
Mon %0.581.061.040.140.586
Eos %5.885.355.130.700.944
CON, control group; OS, replacing 20% rice straw from the CON group’s diet with silage treated with organic acid; MS, replacing 20% rice straw from the CON group’s diet with mixed silage treated with lactic acid bacteria, corn flour, and organic acid; WBC, white blood cell; RBC, red blood cell; HGB, hemoglobin; HCT, hematocrit; MCV, mean corpuscular volume; MCH, mean corpuscular hemoglobin; MCHC, mean corpuscular hemoglobin concentration; PLT, blood platelet; Neu, neutrophil; Lym, lymphocyte; Mon, monocyte; Eos, eosinophil; SEM, standard error of the mean. Different superscript letters in a row indicate significant differences (p < 0.05).
Table 5. Effects of different treatments on serum biochemical indexes.
Table 5. Effects of different treatments on serum biochemical indexes.
ItemTreatmentsSEMp-Value
CONOSMS
GLU (mmol/L)4.674.564.720.100.557
TG (mmol/L)0.160.130.150.010.128
TP (g/L)61.6260.9361.360.810.761
GLB (g/L)31.8331.1932.770.630.613
ALB (g/L)29.7929.7328.590.360.215
UN (mmol/L)2.031.961.750.090.225
ALT (U/L)30.5634.0733.331.270.518
AST (U/L)58.7260.7162.341.420.611
ALP (U/L)150.50163.17156.007.470.542
CON, control group; OS, replacing 20% rice straw from the CON group’s diet with silage treated with organic acid; MS, replacing 20% rice straw from the CON group’s diet with mixed silage treated with lactic acid bacteria, corn flour, and organic acid; GLU, glucose; TG, triglyceride; TP, total protein; GLB, globulin; ALB, albumin; UN, urea nitrogen; ALT, alanine transaminase; AST, aspartate transaminase; ALP, alkaline phosphatase; SEM, standard error of the mean.
Table 6. Effects of different treatments on rumen fermentation characteristics.
Table 6. Effects of different treatments on rumen fermentation characteristics.
ItemTreatmentsSEMp-Value
CONOSMS
pH6.806.866.890.030.441
NH3-N (mg/dL)32.7830.6228.253.390.632
MCP (mg/mL)1.49 b1.89 ab1.96 a0.090.032
Acetate (mmol/L)68.4564.7155.372.480.077
Propionate (mmol/L)20.4019.0516.780.850.220
Butyrate (mmol/L)3.994.713.550.240.146
Valerate (mmol/L)0.310.350.270.020.181
Total VFAs (mmol/L)94.5590.6277.363.500.055
Acetate–propionate ratio3.373.413.370.070.846
CON, control group; OS, replacing 20% rice straw from the CON group’s diet with silage treated with organic acid; MS, replacing 20% rice straw from the CON group’s diet with mixed silage treated with lactic acid bacteria, corn flour, and organic acid; MCP, microbial protein; VFAs, volatile fatty acids; SEM, standard error of the mean. Different superscript letters in a row indicate significant differences (p < 0.05).
Table 7. Effects of different treatments on nutrient apparent digestibility (%).
Table 7. Effects of different treatments on nutrient apparent digestibility (%).
ItemTreatmentsSEMp-Value
CONOSMS
DM67.85 b70.71 a71.12 a0.460.001
CP60.42 b66.82 a66.97 a0.83<0.001
EE73.4374.6673.140.650.628
NDF57.11 b59.73 a58.59 ab0.410.020
ADF55.4353.8555.650.470.247
CON, control group; OS, replacing 20% rice straw from the CON group’s diet with silage treated with organic acid; MS, replacing 20% rice straw from the CON group’s diet with mixed silage treated with lactic acid bacteria, corn flour, and organic acid; DM, dry matter; CP, crude protein; EE, ether extract; NDF, neutral detergent fiber; ADF, acid detergent fiber; SEM, standard error of the mean. Different superscript letters in a row indicate significant differences (p < 0.05).
Table 8. Bacterial alpha diversity of rumen microflora.
Table 8. Bacterial alpha diversity of rumen microflora.
ItemTreatmentsSEMp-Value
CONOSMS
Shannon5.245.025.520.110.181
Simpson0.020.020.010.0040.486
Chao695.17705.35822.9940.910.389
Ace695.08702.87823.0441.080.385
Coverage0.9990.9980.9980.00020.132
CON, control group; OS, replacing 20% rice straw from the CON group’s diet with silage treated with organic acid; MS, replacing 20% rice straw from the CON group’s diet with mixed silage treated with lactic acid bacteria, corn flour, and organic acid; SEM, standard error of mean.
Disclaimer/Publisher’s Note: The statements, opinions and data contained in all publications are solely those of the individual author(s) and contributor(s) and not of MDPI and/or the editor(s). MDPI and/or the editor(s) disclaim responsibility for any injury to people or property resulting from any ideas, methods, instructions or products referred to in the content.

Share and Cite

MDPI and ACS Style

Zhang, C.; Zou, H.; Hu, R.; Peng, Q.; Xue, B.; Wang, L.; Wu, F.; Tang, Y.; Wang, Z.; Xiao, J. Effects of Replacing Rice Straw with Corn Straw Silage Treated with Different Additives on Growth Performance, Blood Parameters, and Rumen Microorganisms of Fattening Cattle. Fermentation 2025, 11, 107. https://doi.org/10.3390/fermentation11030107

AMA Style

Zhang C, Zou H, Hu R, Peng Q, Xue B, Wang L, Wu F, Tang Y, Wang Z, Xiao J. Effects of Replacing Rice Straw with Corn Straw Silage Treated with Different Additives on Growth Performance, Blood Parameters, and Rumen Microorganisms of Fattening Cattle. Fermentation. 2025; 11(3):107. https://doi.org/10.3390/fermentation11030107

Chicago/Turabian Style

Zhang, Chunmei, Huawei Zou, Rui Hu, Quanhui Peng, Bai Xue, Lizhi Wang, Fali Wu, Yiping Tang, Zhisheng Wang, and Jianxin Xiao. 2025. "Effects of Replacing Rice Straw with Corn Straw Silage Treated with Different Additives on Growth Performance, Blood Parameters, and Rumen Microorganisms of Fattening Cattle" Fermentation 11, no. 3: 107. https://doi.org/10.3390/fermentation11030107

APA Style

Zhang, C., Zou, H., Hu, R., Peng, Q., Xue, B., Wang, L., Wu, F., Tang, Y., Wang, Z., & Xiao, J. (2025). Effects of Replacing Rice Straw with Corn Straw Silage Treated with Different Additives on Growth Performance, Blood Parameters, and Rumen Microorganisms of Fattening Cattle. Fermentation, 11(3), 107. https://doi.org/10.3390/fermentation11030107

Note that from the first issue of 2016, this journal uses article numbers instead of page numbers. See further details here.

Article Metrics

Back to TopTop