FTIR Spectroscopy, a New Approach to Evaluating Caseinolytic Activity of Probiotic Lactic Acid Bacteria During Goat Milk Fermentation and Storage
Abstract
1. Introduction
2. Materials and Methods
2.1. Source of Strain and Culture Conditions
2.2. Qualitative Evaluation of Proteolytic Activity
2.3. Quantitative Evaluation of Caseinolytic Activity by LAB
2.3.1. Determination of the Protein Concentration
2.3.2. Determination of the Free Amino Acid Concentration
2.3.3. Evaluation of the Caseinolytic Activity by FTIR
2.4. Goat Milk Fermentation: Evaluation of the Fermentative Capacity of Strains with Proteolytic Activity
Refrigerated Shelf Life of Fermented Milks
2.5. Statistical Analyses
3. Results and Discussion
3.1. Qualitative Proteolytic Activity of LAB
3.2. Quantitative Measurement of Caseinolytical Activity by LAB Strains
3.3. Caseinolytical Activity Studied by ATR-FTIR Spectroscopy
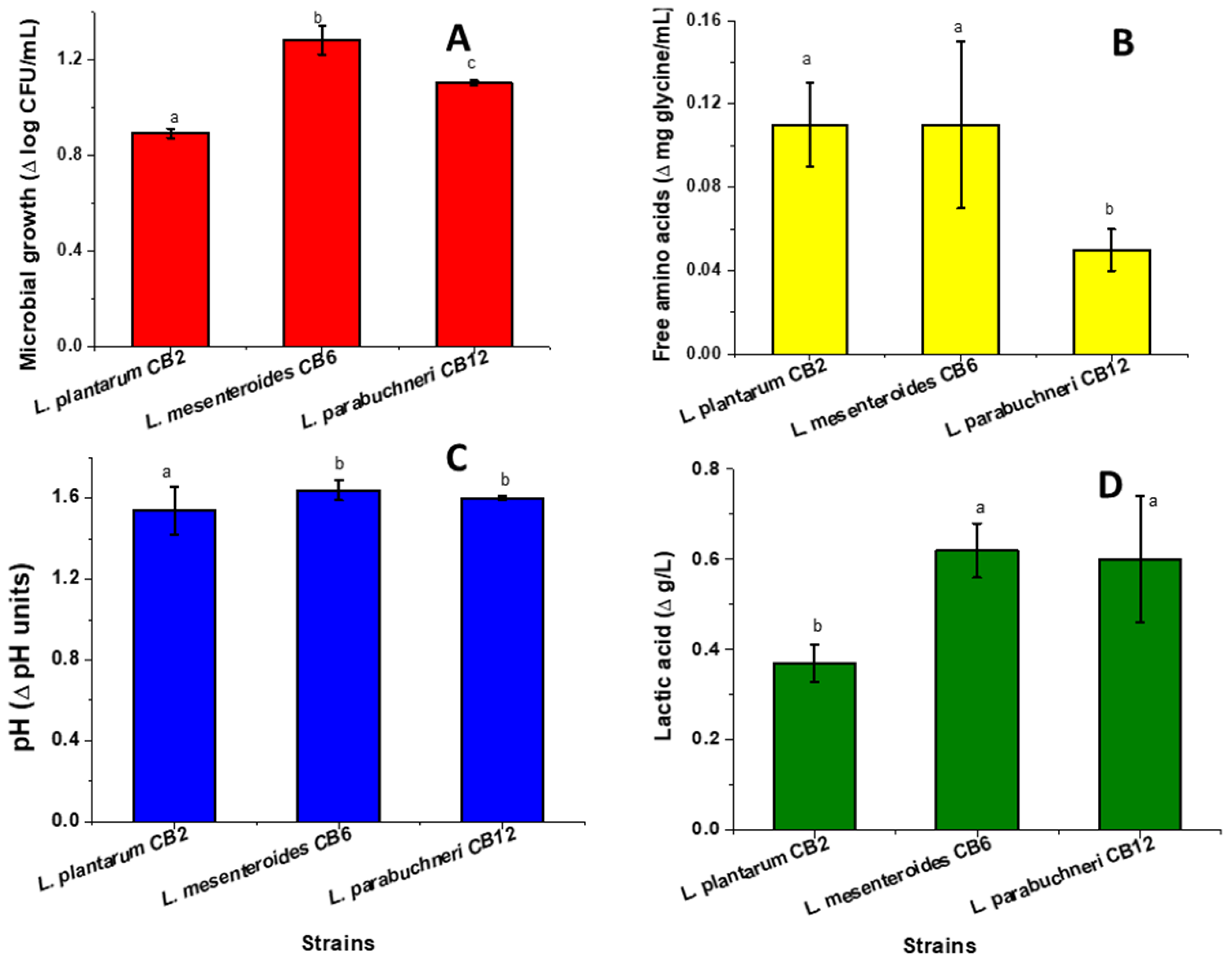
3.4. Fermentation of Goat Milk by LAB Strains
3.5. Structural Changes in Lactic Acid, Carbohydrates, Proteins, and Lipids During Milk Fermentation
3.6. Refrigerated Storage of Goat Milk Fermented by Selected LAB: Study of the Viability of the Strain, pH, Titratable Acidity, and Main Components of Milk
4. Conclusions
Supplementary Materials
Author Contributions
Funding
Institutional Review Board Statement
Informed Consent Statement
Data Availability Statement
Conflicts of Interest
References
- Ter, Z.; Chang, L.; Babji, A.; Zaini, N.; Fazry, S.; Sarbini, S.; Peterbauer, C.; Lim, S. A review on proteolytic fermentation of dietary protein using lactic acid bacteria for the development of novel proteolytically fermented foods. Int. J. Food Sci. Technol. 2024, 59, 1213–1236. [Google Scholar] [CrossRef]
- Mahmoudi, S.; Barrocas, C.; Manhita, A.; Boutoumi, H.; Charif, R. Formulation of goat’s milk yogurt with fig powder: Aromatic profile, physicochemical and microbiological characteristics. Food Sci. Technol. Int. 2021, 202, 712–725. [Google Scholar] [CrossRef] [PubMed]
- Martín, A.; Janer, C.; Peláez, C.; Requena, T. Development of a fermented goat’s milk containing probiotic bacteria. Int. Dairy J. 2003, 13, 827–833. [Google Scholar] [CrossRef]
- Chen, Q.; Yin, Q.; Xie, Q.; Etareri, S.; Zhao, X.; Li, B.; Huo, G. Elucidating the physicochemical properties and surface composition of goat milk-based infant formula powders. Food Chem. 2022, 377, 131936. [Google Scholar] [CrossRef] [PubMed]
- Roy, D.; Ye, A.; Moughan, P.J.; Singh, H. Composition, structure, and digestive dynamics of milk from different species—A review. Front. Nutr. 2020, 7, 577759. [Google Scholar] [CrossRef]
- Duan, C.; Ma, L.; Cai, L.; Li, X.; Ma, F.; Chen, J.; Li, D. Comparison of allergenicity among cow, goat, and horse milks using a murine model of atopy. Food Funct. 2021, 12, 5417–5428. [Google Scholar] [CrossRef]
- Dhasmana, S.; Das, S.; Shrivastava, S. Potential nutraceuticals from the casein fraction of goat’s milk. J. Food Biochem. 2021, 46, e13982. [Google Scholar] [CrossRef] [PubMed]
- Mituniewicz–Małek, A.; Zielińska, D.; Ziarno, M. Probiotic monocultures in fermented goat milk beverages–sensory quality of final product. Int. J. Dairy Technol. 2019, 72, 240–247. [Google Scholar] [CrossRef]
- Muelas, R.; de Olives, A.M.; Romero, G.; Díaz, J.R.; Sayas-Barberá, M.E.; Sendra, E. Evaluation of individual lactic acid bacteria for the fermentation of goat milk: Quality parameters. LWT 2018, 98, 506–514. [Google Scholar] [CrossRef]
- Huang, Z.; Huang, L.; Xing, G.; Xu, X.; Tu, C.; Dong, M. Effect of co-fermentation with lactic acid bacteria and K. marxianus on physicochemical and sensory properties of goat milk. Foods 2020, 9, 299. [Google Scholar] [CrossRef]
- Padilla, J.; Zambrano, J. Structure, properties and genetic of milk caseins: A review. Rev. Med. Vet. Zoot. 2021, 16, 62–95. [Google Scholar]
- De Kruif, C.; Holt, C. Casein micelle structure, functions and interactions. In Advances Dairy Chemistry—Proteins; Fox, P.F., McSweeney, P.L.H., Eds.; Springer: Boston, MA, USA, 2003; Volume 1, pp. 233–276. [Google Scholar]
- Shu, G.; Huang, J.; Chen, L.; Lei, N.; Chen, H. Characterization of goat milk hydrolyzed by cell envelope proteinases from Lactobacillus plantarum LP69: Proteolytic system optimization, bioactivity, and storage stability evaluation. Molecules 2018, 23, 1317. [Google Scholar] [CrossRef]
- Dan, T.; Chen, H.; Li, T.; Tian, J.; Ren, W.; Zhang, H.; Sun, T. Influence of Lactobacillus plantarum P-8 on fermented milk flavor and storage stability. Front. Microbiol. 2019, 9, 3133–3147. [Google Scholar] [CrossRef]
- Yulyana, A.; Rohman, A.; Arifah, M.F.; Windarsih, A.; Nisa, K. Authentication analysis of goat milk from cow milk using Fourier Transform Infrared spectroscopy and chemometrics. Food Res. 2024, 8, 459–466. [Google Scholar] [CrossRef]
- Papadopoulou, O.S.; Argyri, A.A.; Kounani, V.; Tassou, C.C.; Chorianopoulos, N. Use of Fourier Transform Infrared Spectroscopy for Monitoring the Shelf Life and Safety of Yogurts Supplemented with a Lactobacillus plantarum Strain with Probiotic Potential. Front. Microbiol. 2021, 12, 678356. [Google Scholar] [CrossRef] [PubMed]
- Sesín, A.A.; Paz, J.J.C.; Ledesma, A.E.; Taranto, M.P.; Bustos, A.Y. Probiotic characterization of lactic acid bacteria from artisanal goat cheese for functional dairy products development. Braz. J. Food Technol. 2023, 26, e2023024. [Google Scholar] [CrossRef]
- Matti, A.; Utami, T.; Hidayat, C.; Rahayu, E.S. Isolation, Screening, and Identification of Proteolytic Lactic Acid Bacteria from Indigenous Chao Product. J. Aquat. Food Prod. Technol. 2019, 28, 781–793. [Google Scholar] [CrossRef]
- Bradford, M. A rapid and sensitive method for the quantitation of microgram quantities of protein utilizing the principle of protein-dye binding. Anal. Biochem. 1976, 72, 248–254. [Google Scholar] [CrossRef]
- Cruz-Casas, D.E.; Aguilar, C.N.; Ascacio-Valdés, J.A.; Rodríguez-Herrera, R.; Chávez-González, M.L.; Flores-Gallegos, A.C. Bioactive protein hydrolysates obtained from amaranth by fermentation with lactic acid bacteria and Bacillus species. Heliyon 2023, 9, e13491. [Google Scholar] [CrossRef]
- Biadata, A.; Szablewski, T.; Lasik, M.; Cegielska, R. Antimicrobial activity of goat’s milk fermented by single strain of kefir grain microflora. Eur. Res. Technol. 2020, 246, 1231–1239. [Google Scholar] [CrossRef]
- Vukotić, G.; Strahinić, I.; Begović, J.; Lukić, J.; Kojić, M.; Fira, D. Survey on proteolytic activity and diversity of proteinase genes in mesophilic lactobacilli. Microbiology 2016, 85, 33–41. [Google Scholar] [CrossRef]
- Ren, X.; Pan, D.; Wu, Z.; Zeng, X.; Sun, Y.; Cao, J.; Guo, Y. Limited hydrolysis of β-casein by cell wall proteinase and its effect on hydrolysates’s conformational and structural properties. Int. J. Food Sci. Technol. 2015, 50, 55–61. [Google Scholar] [CrossRef]
- Vorob’ev, M.M.; Açıkgöz, B.D.; Güler, G.; Golovanov, A.V.; Sinitsyna, O.V. Proteolysis of Micellar Casein by Trypsin: Secondary Structure Characterization and Kinetic Modeling at Different Enzyme Concentrations. Int. J. Mol. Sci. 2023, 24, 3874. [Google Scholar] [CrossRef]
- Nayik, G.A.; Jagdale, Y.D.; Gaikwad, S.A.; Devkatte, A.N.; Dar, A.H.; Ansari, M.J. Nutritional Profile, Processing and Potential Products: A Comparative Review of Goat Milk. Dairy 2022, 3, 622–647. [Google Scholar] [CrossRef]
- Izquierdo, J.; Amil, F.; Zazzu, S.; Sánchez, R.; Fuentes, C.; Rodríguez, M. Proteomic análisis of goat milk kéfir: Profiling the fermentation-time dependent protein digestion and identification of potential peptides with biological activity. Food Chem. 2019, 295, 456–465. [Google Scholar] [CrossRef]
- Mangia, N.; Carta, S.; Murgia, M.; Montanari, L.; Nudda, A. Fermentend milk produced with goat milk enriched with PUFA Omega-3 by supplementation of diet with extruded linseed. Fermentation 2023, 9, 522. [Google Scholar] [CrossRef]
- Purwaningsih, P.; Ashidiqie, M.W.; Arkan, A.; Djafar, T.F.; Rahayu, E.S.; Suroto, D.A. Development of Fermented Etawa Goat Milk Containing Gamma-Aminobutyric Acid (GABA) by Indigenous Lactiplantibacillus plantarum subsp. plantarum T-3. Trends Sci. 2025, 22, 9067. [Google Scholar] [CrossRef]
- Yang, J.; Lu, J.; Zhu, Q.; Tao, Y.; Zhu, Q.; Guo, C.; Fang, Y.; Chen, L.; Koyande, A.K.; Wang, S.; et al. Isolation and characterization of a novel Lactobacillus plantarum MMB-07 from traditional Suanyu for Acanthogobius hasta fermentation. J. Biosci. Bioeng. 2021, 132, 161–166. [Google Scholar] [CrossRef]
- Albayrak, C.; Duran, M. Isolation and characterization of aroma producing lactic acid bacteria from artisanal White cheese for multifunctional properties. LWT 2021, 150, 112053. [Google Scholar] [CrossRef]
- Mohammed, S.; Con, A. Isolation and characterization of potential probiotic lactic acid bacteria from traditional cheese. LWT 2021, 152, 112319. [Google Scholar] [CrossRef]
- Valdiviezo, J.; Arana, N.; Vega, E.; Ruiz, L.; Tamariz, C.; Olivera, P.; Rosales, M.; Espinoza, L. Technological potential native lactic acid bacteria isolated from Swiss-type artisanal cheese (Ancahs, Peru) for their application in food. Front. Sustain. Food Syst. 2023, 7, 1212229. [Google Scholar]
- Dimitriou, L.; Koureas, M.; Pappas, C.; Manouras, A.; Kantas, D.; Malissiova, E. Rapid Classification of Cow, Goat, and Sheep Milk Using ATR-FTIR and Multivariate Analysis. Sci 2025, 7, 87. [Google Scholar] [CrossRef]
- Widyastuti, R.; Febrisiantosa, A. The Role of Lactic Acid Bacteria in Milk Fermentation. Food Nutr. Sci. 2014, 5, 435–442. [Google Scholar] [CrossRef]
- Kök Taş, T.; Duran, F.E.; Özdemir, N.; Çubuk Demiralay, E. Functional Component Production Capabilities in Milk Fermentation of Some Featured Lactic Acid Bacteria Species for Use in Different Food Processes. Fermentation 2025, 11, 165. [Google Scholar] [CrossRef]
- Greulich, O.; Duedahl-Olesen, L.; Mikkelsen, M.S.; Smedsgaard, J.; Bang-Berthelsen, C.H. Fourier Transform Infrared Spectroscopy Tracking of Fermentation of Oat and Pea Bases for Yoghurt-Type Products. Fermentation 2024, 10, 189. [Google Scholar] [CrossRef]
- Abarquero, D.; Renes, E.; Combarros, P.; Fresno, J.; Tornadijo, M. Evaluation of technological properties and selection of wild lactic acid bacteria for starter culture development. LWT 2022, 171, 114121. [Google Scholar] [CrossRef]
- Zarour, K.; Benmechernene, Z.; Hadadji, M.; Moussa, B.; Henni, D.; Kihal, M. Bioprospecting of Leuconostoc mesenteroides strains isolated from Algerian raw camel and goat milk for technological properties useful as adjunct starters. Afr. J. Microbiol. Res. 2012, 6, 3192–3201. [Google Scholar]
- Gobbetti, M.; Lanciotti, R.; De Angelis, M.; Corbo, M.R.; Massini, R.; Fox, P.F. Study of the effects of temperature, pH and NaCl on the peptidase activities of non-starter lactic acid bacteria (NSLAB) by quadratic response surface methodology. Int. Dairy J. 1999, 9, 865–875. [Google Scholar] [CrossRef]
- Zotta, T.; Ricciardi, A.; Parente, E. Enzymatic activities of lactic acid bacteria isolated from Cornetto di Matera sourdoughs. Int. J. Food. Microbiol. 2007, 115, 165–172. [Google Scholar] [CrossRef] [PubMed]
- Păucean, A.; Vodnar, D.; Socaciu, C.; Man, S. Monitoring the Evolution of Major Chemical Compound in Dairy Products During Shelf-Life by FTIR. Bull. UASVM Food Sci. Technol. 2014, 71, 2. [Google Scholar] [CrossRef]








Disclaimer/Publisher’s Note: The statements, opinions and data contained in all publications are solely those of the individual author(s) and contributor(s) and not of MDPI and/or the editor(s). MDPI and/or the editor(s) disclaim responsibility for any injury to people or property resulting from any ideas, methods, instructions or products referred to in the content. |
© 2025 by the authors. Licensee MDPI, Basel, Switzerland. This article is an open access article distributed under the terms and conditions of the Creative Commons Attribution (CC BY) license (https://creativecommons.org/licenses/by/4.0/).
Share and Cite
Carol Paz, J.J.; Bustos, A.Y.; Ledesma, A.E. FTIR Spectroscopy, a New Approach to Evaluating Caseinolytic Activity of Probiotic Lactic Acid Bacteria During Goat Milk Fermentation and Storage. Fermentation 2025, 11, 699. https://doi.org/10.3390/fermentation11120699
Carol Paz JJ, Bustos AY, Ledesma AE. FTIR Spectroscopy, a New Approach to Evaluating Caseinolytic Activity of Probiotic Lactic Acid Bacteria During Goat Milk Fermentation and Storage. Fermentation. 2025; 11(12):699. https://doi.org/10.3390/fermentation11120699
Chicago/Turabian StyleCarol Paz, Juan José, Ana Yanina Bustos, and Ana Estela Ledesma. 2025. "FTIR Spectroscopy, a New Approach to Evaluating Caseinolytic Activity of Probiotic Lactic Acid Bacteria During Goat Milk Fermentation and Storage" Fermentation 11, no. 12: 699. https://doi.org/10.3390/fermentation11120699
APA StyleCarol Paz, J. J., Bustos, A. Y., & Ledesma, A. E. (2025). FTIR Spectroscopy, a New Approach to Evaluating Caseinolytic Activity of Probiotic Lactic Acid Bacteria During Goat Milk Fermentation and Storage. Fermentation, 11(12), 699. https://doi.org/10.3390/fermentation11120699

