Co-Cultivations of Beauveria bassiana, Metarhizium anisopliae, and Trichoderma harzianum to Produce Bioactive Compounds for Application in Agriculture
Abstract
1. Introduction
2. Materials and Methods
2.1. Sample Acquisition and Preparation
2.2. Cultivations and Co-Cultivations
2.3. Insecticidal Effect Against Euschistus heros
2.4. Fungicidal Effect Against Sclerotinia sclerotiorum, Macrophomina phaseolina, Colletotrichum truncatum, and Colletotrichum gloesporioides
3. Results
3.1. Conidia and Dry Biomass of Broths
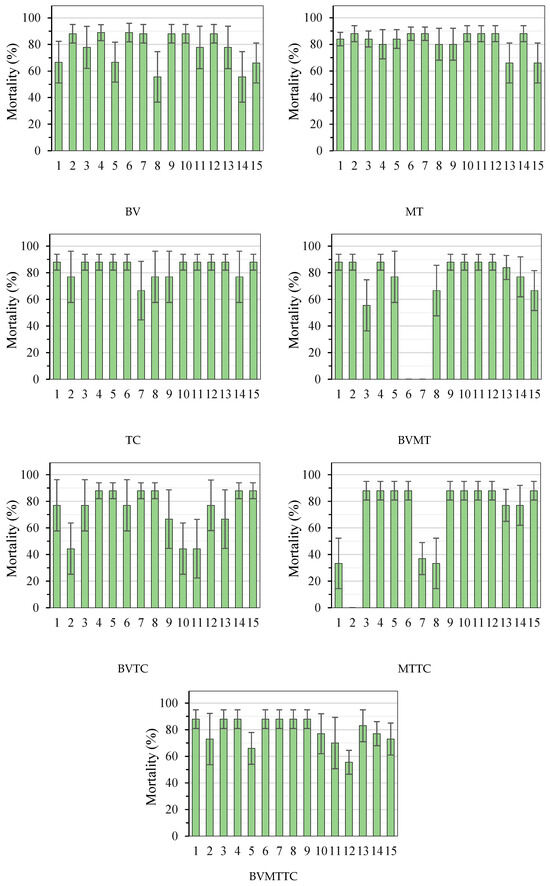
3.2. Insecticidal Effects of Cultivations and Co-Cultivations
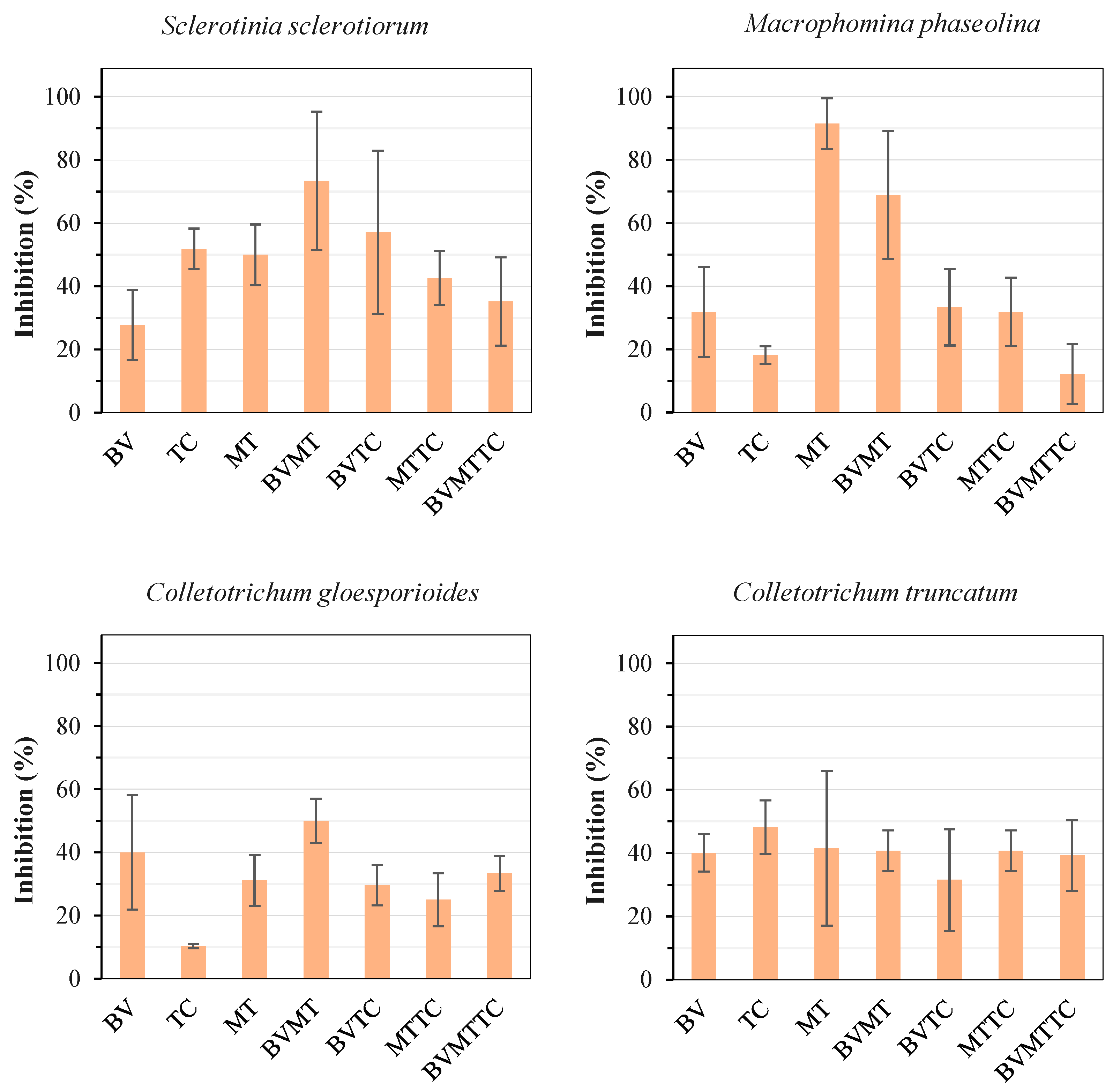
3.3. Fungicidal Effects of Paired Cultivation
4. Discussion
5. Conclusions
Supplementary Materials
Author Contributions
Funding
Institutional Review Board Statement
Informed Consent Statement
Data Availability Statement
Acknowledgments
Conflicts of Interest
References
- Moreira, R.P.; Palharini, R.B.; Massoli, G.S.; Diniz, L.H.M.; Godoy, D.N.; Warpechowski, L.F.; Steinhaus, E.A.; Stürmer, G.R.; Bernardi, O. Geographic and interspecific variation in susceptibility of Euschistus heros and Diceraeus furcatus (Hemiptera: Pentatomidae) to selected insecticides in southern Brazil. Crop Prot. 2024, 179, 106625. [Google Scholar] [CrossRef]
- Danielson, G.A.; Nelson, B.D.; Helms, T.C. Effect of Sclerotinia stem rot on yield of soybean inoculated at different growth stages. Plant Dis. 2004, 88, 297–300. [Google Scholar] [CrossRef] [PubMed]
- Bosmaia, T.C.; Agarwal, P.; Dangariya, M.; Khedia, J.; Doddabhimappa, R.G.; Agarwal, P.K. Transcriptomic analysis towards identification of defence-responsive genes and pathways upon application of Sargassum seaweed extract on tomato plants infected with Macrophomina phaseolina. 3 Biotech 2023, 13, 179. [Google Scholar] [CrossRef] [PubMed]
- Bitancourt, A.A. A new bean disease. Biological 1935, 1, 41. [Google Scholar]
- Almeida, A.M.R.; Torres, E.; Farias, J.R.B.; Benato, L.C.; Pinto, M.C.; Marin, S.R.R. Macrophomina phaseolina in Soybean: Sowing System, Survival in Crop Residues and Genetic Diversity; Embrapa: Londrina, Brazil, 2014. [Google Scholar]
- Rogério, F.; Oosterhout, C.V.; Ciampi-Guillardi, M.; Correr, F.H.; Hosaka, G.K.; Cross-Arteil, S.; Margarido, G.R.A.; Massola Júnior, N.S.; Gladieux, P. Means, motive and opportunity for biological invasions: Genetic introgression in a fungal pathogen. Mol. Ecol. 2023, 32, 2428–2442. [Google Scholar] [CrossRef] [PubMed]
- Brun, T.; Rabuske, J.E.; Confortin, T.C.; Luft, L.; Todero, I.; Fischer, M.; Zabot, G.L.; Mazutti, M.A. Weed control by metabolites produced from Diaporthe schini. Environ. Technol. 2022, 43, 139–148. [Google Scholar] [CrossRef]
- Nguyen, T.H.; Phung, K.Y.; Thai, N.D.; Nguyen, T.D.; Do, A.D. Insecticidal activity of isolated Purpureocillium lilacinum PL1 against whitefly, Bemisia tabaci Gennadius (Hemiptera: Aleyrodidae) on cassava plantations in southern Viet Nam. Egypt. J. Biol. Pest Control 2023, 33, 44. [Google Scholar] [CrossRef]
- Nithya, P.R.; Manimegalai, S.; Nakkeeran, S.; Mohankumar, S. Comparative study of the ditrophic interaction between Beauveria bassiana and Plutella xylostella. 3 Biotech 2021, 11, 223. [Google Scholar] [CrossRef]
- Schmaltz, S.; Aita, B.C.; Alves, E.A.; Fochi, A.; Bolson, V.F.; Navarro-Díaz, H.J.; Kuhn, R.C.; Mazutti, M.A. Ultrasound-assisted fermentation for production of β-1,3-glucanase and chitinase by Beauveria bassiana. J. Chem. Technol. Biotechnol. 2020, 96, 88–98. [Google Scholar] [CrossRef]
- Aita, B.C.; Spannemberg, S.S.; Schmaltz, S.; Zabot, G.L.; Tres, M.V.; Kuhn, R.C.; Mazutti, M.A. Production of cell-wall degrading enzymes by solid-state fermentation using agroindustrial residues as substrates. J. Environ. Chem. Eng. 2019, 7, 103193. [Google Scholar] [CrossRef]
- Todero, I.; Confortin, T.C.; Luft, L.; Brun, T.; Ugalde, G.A.; Almeida, T.C.; Arnemann, J.A.; Zabot, G.L.; Mazutti, M.A. Formulation of a bioherbicide with metabolites from Phoma sp. Sci. Hortic. 2018, 241, 285–292. [Google Scholar] [CrossRef]
- Nora, D.D.; Piovesan, B.C.; Bellé, C.; Stacke, R.S.; Balardin, R.R.; Guedes, J.V.C.; Michaud, J.P.; Jacques, R.J.S. Isolation and evaluation of entomopathogenic fungi against the neotropical brown stink bug Euschistus heros (F.) (Hemiptera: Pentatomidae) under laboratory conditions. Biocontrol Sci. Technol. 2021, 31, 22–34. [Google Scholar] [CrossRef]
- Lou, H.; Luo, Q.; Guo, Q.; Su, R.; Liu, J.; He, H.; Cheng, Y. Optimization of the Culture Medium of Beauveria bassiana and Spore Yield Using Response Surface Methodology. Fermentation 2024, 10, 587. [Google Scholar] [CrossRef]
- Li, Y.; Peng, X.; Chen, H. Comparative characterization of proteins secreted by Neurospora sitophila in solid-state and submerged fermentation. J. Biosci. Bioeng. 2013, 116, 493–498. [Google Scholar] [CrossRef]
- Mascarin, G.M.; Jaronski, S.T. The production and uses of Beauveria bassiana as a microbial insecticide. World J. Microbiol. Biotechnol. 2016, 32, 177. [Google Scholar] [CrossRef] [PubMed]
- Qu, S.; Wang, S. Interaction of entomopathogenic fungi with the host immune system. Dev. Comp. Immunol. 2018, 83, 96–103. [Google Scholar] [CrossRef]
- Wang, C.; Wang, S. Insect pathogenic fungi. Genomics, molecular interactions, and genetic improvements. Annu. Rev. Entomol. 2017, 62, 73–90. [Google Scholar] [CrossRef] [PubMed]
- Vega, F.E.; Dowd, P.F.; Lacey, L.A.; Pell, J.K.; Jackson, D.M.; Klein, M.G. Dissemination of beneficial microbial agents by insects. In Field Manual of Techniques in Invertebrate Pathology; Lacey, L.K., Kaya, H.K., Eds.; Springer: Dordrecht, The Netherlands, 2000. [Google Scholar]
- Sala, A.; Artola, A.; Barrena, R.; Sánchez, A. Harnessing Packed-Bed Bioreactors’ Potential in Solid-State Fermentation: The Case of Beauveria bassiana Conidia Production. Fermentation 2024, 10, 481. [Google Scholar] [CrossRef]
- Barreto, A.A. Efficiency of Trichoderma asperellum in the Soybean Crop in the Municipality of Formoso do Araguaia; UFT: Curupi, Brazil, 2019. [Google Scholar]
- Groth, M.; Son, R.; Soares, V.; Bernardi, D. Pathogenicity of Metarhizium anisopliae isolates on Nezara viridula and Dichelops melacanthus in wheat crop. Arch. Biol. Inst. 2017, 84, 1–8. [Google Scholar] [CrossRef][Green Version]
- Dara, S.K. Preliminary Report on the Potential of Beauveria bassiana and Metarhizium anisopliae s.l. in Antagonizing the Charcoal Rot Causing Fungus Macrophomina phaseolina in Strawberry. 2016. Available online: https://ucanr.edu/blogs/strawberries-vegetables/index.cfm?start=17 (accessed on 2 October 2024).
- Souza, P.B. Evaluation of Paired Cultivation of Trichoderma spp. in the Biological Control of White Mold (Sclerotinia sclerotiorum); Carmelita Foundation Mario Palmerio: Monte Carmelo, Brazil, 2018. [Google Scholar]
- Sharma, A.; Sharma, I.M.; Sharma, M.; Sharma, K.; Sharma, A. Effectiveness of fungal, bacterial and yeast antagonists for management of mango anthracnose (Colletotrichum gloeosporioides). Egypt. J. Biol. Pest Control 2021, 31, 135. [Google Scholar] [CrossRef]
- Cruz-Quiroz, R.; Roussos, S.; Rodríguez-Herrera, R.; Hernandez-Castillo, D.; Aguilar, C.N. Growth inhibition of Colletotrichum gloeosporioides and Phytophthora capsici by native Mexican Trichoderma Strains. Karbala Int. J. Mod. Sci. 2018, 4, 237–243. [Google Scholar] [CrossRef]
- Ghosh, S.K.; Chakraborty, N. In vitro biological control of Colletotrichum gloeosporioides, causal organism of anthracnose of sarpagandha (Roulvolfia serpentina). Agric. Biol. J. North Am. 2012, 3, 306–310. [Google Scholar] [CrossRef]
- Chagas, L.F.B.; Chagas Junior, A.F.; Godoy, V.H.S.; Santos, G.R.; Miller, L.O.; Carvalho Filho, M.R. Bioprospecting for Trichoderma spp. on the mycelial growth of Colletotrichum cliviae and C. truncatum. Braz. J. Biosci. 2016, 14, 238–242. [Google Scholar]
- Farias, O.R.; Cruz, J.M.F.L.; Duarte, I.G. Controle in vitro de Colletotrichum truncatum do Feijão Fava (Phaseolus lunatus) por Trichoderma spp. Agrar. Sci. J. 2020, 12, 1–6. [Google Scholar] [CrossRef]





| Assay | Glucose (g L−1) | Sucrose (g L−1) | HAP (g L−1) | SMH (g L−1) | HF (g L−1) |
|---|---|---|---|---|---|
| 1 | 30 (1) | 5 (−1) | 10 (1) | 0 (−1) | 0 (−1) |
| 2 | 30 (1) | 15 (1) | 5 (−1) | 5 (1) | 0 (−1) |
| 3 | 10 (−1) | 15 (1) | 10 (1) | 0 (−1) | 5 (1) |
| 4 | 30 (1) | 5 (−1) | 10 (1) | 5 (1) | 0 (−1) |
| 5 | 30 (1) | 15 (1) | 5 (−1) | 5 (1) | 5 (1) |
| 6 | 30 (1) | 15 (1) | 10 (1) | 0 (−1) | 5 (1) |
| 7 | 10 (−1) | 15 (1) | 10 (1) | 5 (1) | 0 (−1) |
| 8 | 10 (−1) | 5 (−1) | 10 (1) | 5 (1) | 5 (1) |
| 9 | 10 (−1) | 5 (−1) | 5 (−1) | 5 (1) | 5 (1) |
| 10 | 30 (1) | 5 (−1) | 5 (−1) | 0 (−1) | 5 (1) |
| 11 | 10 (−1) | 15 (1) | 5 (−1) | 0 (−1) | 0 (−1) |
| 12 | 10 (−1) | 5 (−1) | 5 (−1) | 0 (−1) | 0 (−1) |
| 13 | 20 (0) | 10 (0) | 7.5 (0) | 2.5 (0) | 2.5 (0) |
| 14 | 20 (0) | 10 (0) | 7.5 (0) | 2.5 (0) | 2.5 (0) |
| 15 | 20 (0) | 10 (0) | 7.5 (0) | 2.5 (0) | 2.5 (0) |
| Fcontrol | S. sclerotiorum * | M. phaseolina * | C. gloesporioides * | C. truncatum * |
|---|---|---|---|---|
| BVMT | 73.3 A | 68.9 AB | 50.0 A | 40.7 A |
| MT | 50.0 AB | 91.5 A | 31.1 B | 41.5 A |
| BVTC | 57.0 AB | 33.3 BC | 29.6 B | 31.5 A |
| BV | 27.8 AB | 31.9 BC | 40.0 AB | 40.0 A |
| MTTC | 42.6 AB | 31.9 BC | 25.0 B | 40.7 A |
| BVMTTC | 35.2 AB | 11.9 C | 33.3 B | 39.3 A |
| TC | 51.9 AB | 15.2 C | 10.4 C | 48.1 A |
Disclaimer/Publisher’s Note: The statements, opinions and data contained in all publications are solely those of the individual author(s) and contributor(s) and not of MDPI and/or the editor(s). MDPI and/or the editor(s) disclaim responsibility for any injury to people or property resulting from any ideas, methods, instructions or products referred to in the content. |
© 2025 by the authors. Licensee MDPI, Basel, Switzerland. This article is an open access article distributed under the terms and conditions of the Creative Commons Attribution (CC BY) license (https://creativecommons.org/licenses/by/4.0/).
Share and Cite
da Silva, P.F.; dos Santos, M.S.N.; Araújo, B.d.A.; Kerber, B.D.; de Oliveira, H.A.P.; Guedes, J.V.C.; Mazutti, M.A.; Tres, M.V.; Zabot, G.L. Co-Cultivations of Beauveria bassiana, Metarhizium anisopliae, and Trichoderma harzianum to Produce Bioactive Compounds for Application in Agriculture. Fermentation 2025, 11, 30. https://doi.org/10.3390/fermentation11010030
da Silva PF, dos Santos MSN, Araújo BdA, Kerber BD, de Oliveira HAP, Guedes JVC, Mazutti MA, Tres MV, Zabot GL. Co-Cultivations of Beauveria bassiana, Metarhizium anisopliae, and Trichoderma harzianum to Produce Bioactive Compounds for Application in Agriculture. Fermentation. 2025; 11(1):30. https://doi.org/10.3390/fermentation11010030
Chicago/Turabian Styleda Silva, Pauline Flores, Maicon Sérgio Nascimento dos Santos, Beatriz de Andrade Araújo, Bruno Douglas Kerber, Heloisa Alves Pinto de Oliveira, Jerson Vanderlei Carús Guedes, Marcio Antonio Mazutti, Marcus Vinícius Tres, and Giovani Leone Zabot. 2025. "Co-Cultivations of Beauveria bassiana, Metarhizium anisopliae, and Trichoderma harzianum to Produce Bioactive Compounds for Application in Agriculture" Fermentation 11, no. 1: 30. https://doi.org/10.3390/fermentation11010030
APA Styleda Silva, P. F., dos Santos, M. S. N., Araújo, B. d. A., Kerber, B. D., de Oliveira, H. A. P., Guedes, J. V. C., Mazutti, M. A., Tres, M. V., & Zabot, G. L. (2025). Co-Cultivations of Beauveria bassiana, Metarhizium anisopliae, and Trichoderma harzianum to Produce Bioactive Compounds for Application in Agriculture. Fermentation, 11(1), 30. https://doi.org/10.3390/fermentation11010030

