Monolithic Solvers for Incompressible Two-Phase Flows at Large Density and Viscosity Ratios
Abstract
1. Introduction
2. Model and Numerical Methods
2.1. Penalized One-Fluid Model
2.2. Discretization Schemes and Solvers
3. Numerical Results
3.1. Free Fall of Dense Cylindre
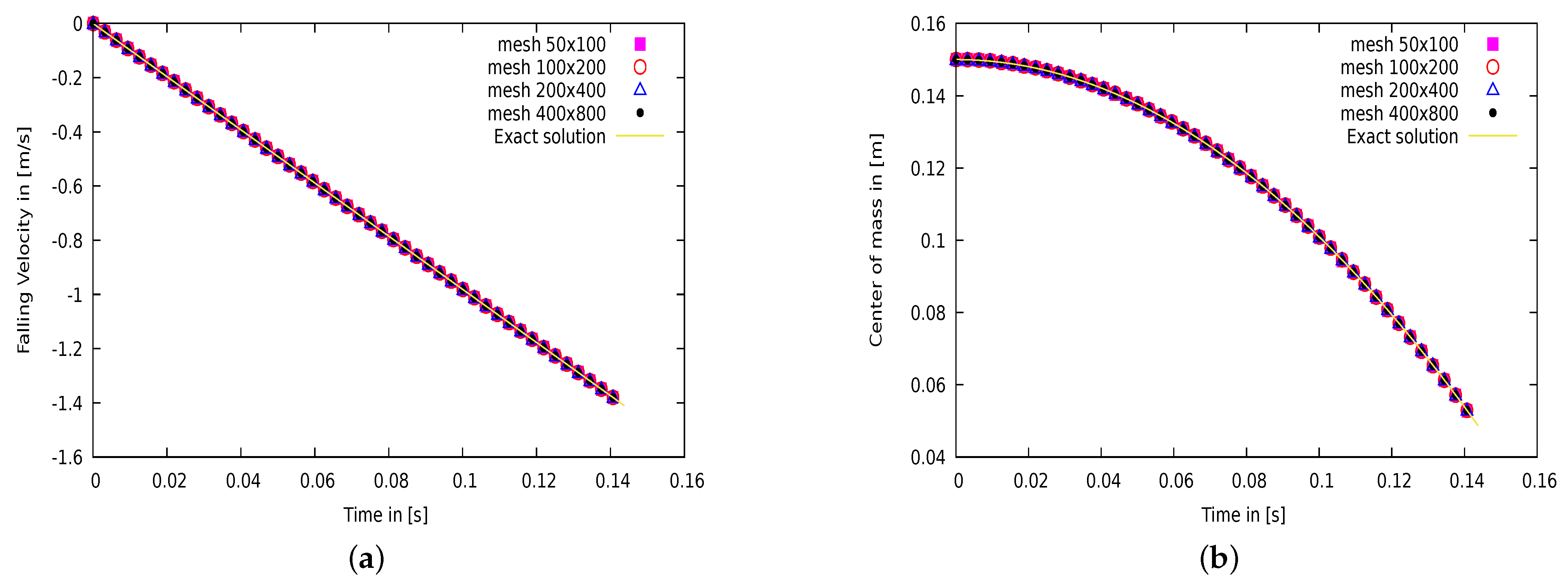
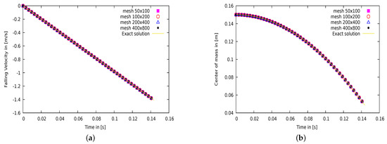
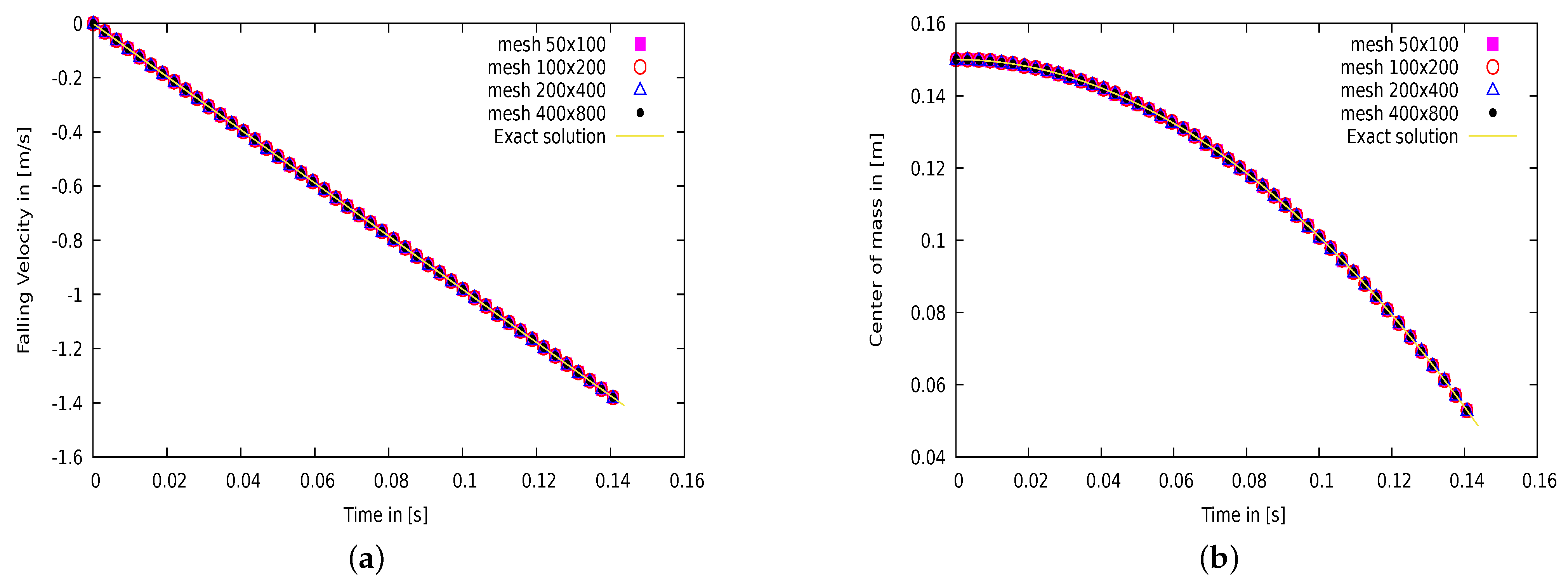
3.1.1. Comments on the Falling Velocity and Center of Mass
- Center of mass
- Vertical velocity
3.1.2. Comments on the Enstrophy
3.2. Liquid Sheet Atomisation
3.3. Simulation of 2D Viscous Jet Buckling
4. Conclusions
Author Contributions
Funding
Acknowledgments
Conflicts of Interest
References
- Nangia, N.; Griffith, B.E.; Patankar, N.A.; Bhalla, A.P.S. A robust incompressible Navier-Stokes solver for high density ratio multiphase flows. J. Comput. Phys. 2019, 390, 548–594. [Google Scholar] [CrossRef]
- Guermond, J.; Minev, P.; Shen, J. An overview of projection methods for incompressible flows. Comput. Methods Appl. Mech. Eng. 2006, 195, 6011–6045. [Google Scholar] [CrossRef]
- Mirjalili, S.; Jain, S.; Dodd, M. Interface-Capturing Methods for Two-Phase Flows: An Overview and Recent Developments; Annual Research Brief; Center for Turbulence Research: Stanford, CA, USA, 2017; pp. 117–135. [Google Scholar]
- Tryggvason, G.; Bunner, B.; Esmaeeli, A.; Juric, D.; Al-Rawahi, N.; Tauber, W.; Han, J.; Nas, S.; Jan, Y.J. A Front-Tracking Method for the Computations of Multiphase Flow. J. Comput. Phys. 2001, 169, 708–759. [Google Scholar] [CrossRef]
- Osher, S.; Sethian, J. Fronts propagating with curvature-dependent speed: Algorithms based on Hamilton-Jacobi formulations. J. Comput. Phys. 1988, 79, 12–49. [Google Scholar] [CrossRef]
- Bonito, A.; Nochetto, R.H. (Eds.) Chapter 6—A review of level set methods to model interfaces moving under complex physics: Recent challenges and advances. In Handbook of Numerical Analysis; Elsevier: Amsterdam, The Netherlands, 2020; Volume 21, pp. 509–554. [Google Scholar]
- Jiang, G.S.; Shu, C.W. Efficient Implementation of Weighted ENO Schemes. J. Comput. Phys. 1996, 126, 202–228. [Google Scholar] [CrossRef]
- Olsson, E.; Kreiss, G. A conservative level set method for two phase flow. J. Comput. Phys. 2005, 210, 225–246. [Google Scholar] [CrossRef]
- Olsson, E.; Kreiss, G.; Zahedi, S. A conservative level set method for two phase flow II. J. Comput. Phys. 2007, 225, 785–807. [Google Scholar] [CrossRef]
- Hirt, C.; Nichols, B. Volume of fluid (VOF) method for the dynamics of free boundaries. J. Comput. Phys. 1981, 39, 201–225. [Google Scholar] [CrossRef]
- Youngs, D. Time-Dependent Multi-material Flow with Large Fluid Distortion. Numer. Methods Fluid Dyn. 1982, 24, 273–285. [Google Scholar]
- Sussman, M.; Puckett, E.G. A Coupled Level Set and Volume-of-Fluid Method for Computing 3D and Axisymmetric Incompressible Two-Phase Flows. J. Comput. Phys. 2000, 162, 301–337. [Google Scholar] [CrossRef]
- Ahn, H.; Shashkov, M.; Christon, M. The Moment-of-Fluid Method in Action. APS 2007, 60, KB-003. [Google Scholar] [CrossRef]
- Ding, H.; Spelt, P.; Shu, C. Diffuse interface model for incompressible two-phase flows with large density ratios. J. Comput. Phys. 2007, 226, 2078–2095. [Google Scholar] [CrossRef]
- van der Waals, J.D. Thermodynamische Theorie der Kapillarität unter Voraussetzung stetiger Dichteänderung. Z. Phys. Chem. 1894, 13U, 657–725. [Google Scholar]
- Jamet, D.; Lebaigue, O.; Coutris, N.; Delhaye, J. The Second Gradient Method for the Direct Numerical Simulation of Liquid—Vapor Flows with Phase Change. J. Comput. Phys. 2001, 169, 624–651. [Google Scholar] [CrossRef]
- Mirjalili, S.; Ivey, C.B.; Mani, A. Comparison between the diffuse interface and volume of fluid methods for simulating two-phase flows. Int. J. Multiph. Flow 2019, 116, 221–238. [Google Scholar] [CrossRef]
- Sato, Y.; Ničeno, B. A conservative local interface sharpening scheme for the constrained interpolation profile method. Int. J. Numer. Methods Fluids 2012, 70, 441–467. [Google Scholar] [CrossRef]
- Pianet, G.; Vincent, S.; Leboi, J.; Caltagirone, J.P.; Anderhuber, M. Simulating compressible gas bubbles with a smooth volume tracking 1-Fluid method. Int. J. Multiph. Flow 2010, 36, 273–283. [Google Scholar] [CrossRef]
- Guillaument, R.; Vincent, S.; Caltagirone, J.P. An original algorithm for VOF based method to handle wetting effect in multiphase flow simulation. Mech. Res. Commun. 2015, 63, 26–32. [Google Scholar] [CrossRef]
- Brackbill, J.; Kothe, D.; Zemach, C. A continuum method for modeling surface tension. J. Comput. Phys. 1992, 100, 335–354. [Google Scholar] [CrossRef]
- Chorin, A.J. Numerical Solution of the Navier-Stokes Equations. Math. Comput. 1968, 22, 745–762. [Google Scholar] [CrossRef]
- Témam, R. Sur l’approximation de la solution des équations de Navier-Stokes par la méthode des pas fractionnaires (I). Arch. Ration. Mech. Anal. 1969, 32, 135–153. [Google Scholar] [CrossRef]
- Guermond, J.L. Remarques sur les méthodes de projection pour l’approximation des équations de Navier-Stokes. Numer. Math. 1994, 67, 465–473. [Google Scholar] [CrossRef]
- Fortin, M.; Glowinski, R. Augmented Lagrangian Methods: Applications to the Numerical Solution of Boundary-Value Problems. ZAMM J. Appl. Math. Mech. Z. Angew. Math. Mech. 1985, 65, 622. [Google Scholar]
- Vincent, S.; Caltagirone, J.P.; Lubin, P.; Randrianarivelo, T.N. An adaptative augmented Lagrangian method for three-dimensional multi-material flows. Comput. Fluids 2004, 33, 1273–1289. [Google Scholar] [CrossRef]
- Vincent, S.; Sarthou, A.; Caltagirone, J.; Sonilhac, F.; Février, P.; Mignot, C.; Pianet, G. Augmented Lagrangian and penalty methods for the simulation of two-phase flows interacting with moving solids. Application to hydroplaning flows interacting with real tire tread patterns. J. Comput. Phys. 2011, 230, 956–983. [Google Scholar] [CrossRef]
- Benzi, M.; Golub, G.H.; Liesen, J. Numerical solution of saddle point problems. Acta Numer. 2005, 14, 1–137. [Google Scholar] [CrossRef]
- Elman, H.C.; Silvester, D.J.; Wathen, A.J. Finite Elements and Fast Iterative Solvers: With Applications in Incompressible Fluid Dynamics; Oxford University Press: Oxford, UK, 2005. [Google Scholar]
- Bootland, N.; Bentley, A.; Kees, C.; Wathen, A. Preconditioners for Two-Phase Incompressible Navier–Stokes Flow. SIAM J. Sci. Comput. 2019, 41, B843–B869. [Google Scholar] [CrossRef]
- Cai, M.; Nonaka, A.J.; Bell, J.B.; Griffith, B.E.; Donev, A. Efficient Variable-Coefficient Finite-Volume Stokes Solvers. Commun. Comput. Phys. 2014, 16, 1263–1297. [Google Scholar] [CrossRef]
- Bussmann, M.; Kothe, D.B.; Sicilian, J.M. Modeling High Density Ratio Incompressible Interfacial Flows. Volume 1: Fora, Parts A and B; 2002; pp. 707–713. Available online: http://xxx.lanl.gov/abs/https://asmedigitalcollection.asme.org/FEDSM/proceedings-pdf/FEDSM2002/36150/707/4546310/707_1.pdf (accessed on 27 December 2020).
- Raessi, M.; Pitsch, H. Consistent mass and momentum transport for simulating incompressible interfacial flows with large density ratios using the level set method. Comput. Fluids 2012, 63, 70–81. [Google Scholar] [CrossRef]
- Le Chenadec, V.; Pitsch, H. A monotonicity preserving conservative sharp interface flow solver for high density ratio two-phase flows. J. Comput. Phys. 2013, 249, 185–203. [Google Scholar] [CrossRef]
- Desjardins, O.; Moureau, V.; Pitsch, H. An accurate conservative level set/ghost fluid method for simulating turbulent atomization. J. Comput. Phys. 2008, 227, 8395–8416. [Google Scholar] [CrossRef]
- Asuri Mukundan, A.; Ménard, T.; Herrmann, M.; Motta, J.; Berlemont, A. Analysis of dynamics of liquid jet injected into gaseous crossflow using proper orthogonal decomposition. In Proceedings of the AIAA SciTech 2020 Forum, Orlando, FL, USA, 6–10 January 2020. [Google Scholar] [CrossRef]
- Kataoka, I. Local instant formulation of two-phase flow. Int. J. Multiph. Flow 1986, 12, 745–758. [Google Scholar] [CrossRef]
- Angot, P.; Bruneau, C.H.; Fabrie, P. A penalization method to take into account obstacles in viscous flows. Numer. Math. 1999, 81, 497–520. [Google Scholar] [CrossRef]
- Caltagirone, J.P.; Vincent, V. Sur une méthode de pénalisation tensorielle pour la résolution des équations de Navier-Stokes. Comptes Rendus De L’Académie Des Sci. Ser. IIB Mech. 2001, 329, 607–613. [Google Scholar] [CrossRef]
- Benkenida, A.; Magnaudet, J. Une méthode de simulation d’écoulements diphasiques sans reconstruction d’interfaces. Comptes Rendus De L’Académie Des Sci. Ser. IIB Mech. Phys. 2000, 328, 25–32. [Google Scholar] [CrossRef]
- Vincent, S.; de Motta, J.C.B.; Sarthou, A.; Estivalezes, J.L.; Simonin, O.; Climent, E. A Lagrangian VOF tensorial penalty method for the DNS of resolved particle-laden flows. J. Comput. Phys. 2014, 256, 582–614. [Google Scholar] [CrossRef]
- Harlow, F.H.; Welch, J.E. Numerical Calculation of Time-Dependent Viscous Incompressible Flow of Fluid with Free Surface. Phys. Fluids 1965, 8, 2182–2189. [Google Scholar] [CrossRef]
- Dongarra, J.J.; Duff, I.S.; Sorensen, D.C.; Van der Vorst, H.A. Numerical Linear Algebra for High Performance Computers; Society for Industrial and Applied Mathematics: Philadelphia, PA, USA, 1998. [Google Scholar]
- Elouafa, M.; Vincent, S.; Le Chenadec, V. Navier-Stokes Solvers for Incompressible Single-and Two-Phase Flows. Working Paper Accepted in CiCP Journal. Available online: https://hal-upec-upem.archives-ouvertes.fr/hal-02892344/document (accessed on 27 December 2020).
- Mukundan, A.A.; Ménard, T.; de Motta, J.C.B.; Berlemont, A. A 3D Moment of Fluid method for simulating complex turbulent multiphase flows. Comput. Fluids 2020, 198, 104364. [Google Scholar] [CrossRef]
- Tomé, M.F.; Duffy, B.; McKee, S. A numerical technique for solving unsteady non-Newtonian free surface flows. J. Non-Newton. Fluid Mech. 1996, 62, 9–34. [Google Scholar]
- Vincent, S.; Caltagironel, J.P. Efficient solving method for unsteady incompressible interfacial flow problems. Int. J. Numer. Methods Fluids 1999, 30, 795–811. [Google Scholar] [CrossRef]
- Xu, X.; Ouyang, J.; Jiang, T.; Li, Q. Numerical simulation of 3D-unsteady viscoelastic free surface flows by improved smoothed particle hydrodynamics method. J. Non-Newton. Fluid Mech. 2012, 177–178, 109–120. [Google Scholar] [CrossRef]
- Oishi, C.; Martins, F.; Tomé, M.; Alves, M. Numerical simulation of drop impact and jet buckling problems using the eXtended Pom—Pom model. J. Non-Newton. Fluid Mech. 2012, 169–170, 91–103. [Google Scholar] [CrossRef]








| Test Case | [kg· m] | [kg· m] | |||||
|---|---|---|---|---|---|---|---|
| 1 | 1.1768 | −9.81 |
| Grid | |||
|---|---|---|---|
| Method | CPU Time in | ||
|---|---|---|---|
| FC with | 44,986 | ||
| AAL with | 101,933 | ||
| SP with | NC | NC | - |
| SP with | 486,941 |
| Test Case | |||||||||
|---|---|---|---|---|---|---|---|---|---|
| 1 | 1.1768 | 1800 | 500 | 1529 | |||||
| 2 | 1.1768 | 1800 | 300 | 10 | 1 | 1529 | |||
| 3 | 1.1768 | 1800 | 300 | 10 | 6 | 1529 |
Publisher’s Note: MDPI stays neutral with regard to jurisdictional claims in published maps and institutional affiliations. |
© 2021 by the authors. Licensee MDPI, Basel, Switzerland. This article is an open access article distributed under the terms and conditions of the Creative Commons Attribution (CC BY) license (http://creativecommons.org/licenses/by/4.0/).
Share and Cite
El Ouafa, M.; Vincent, S.; Le Chenadec, V. Monolithic Solvers for Incompressible Two-Phase Flows at Large Density and Viscosity Ratios. Fluids 2021, 6, 23. https://doi.org/10.3390/fluids6010023
El Ouafa M, Vincent S, Le Chenadec V. Monolithic Solvers for Incompressible Two-Phase Flows at Large Density and Viscosity Ratios. Fluids. 2021; 6(1):23. https://doi.org/10.3390/fluids6010023
Chicago/Turabian StyleEl Ouafa, Mohamed, Stephane Vincent, and Vincent Le Chenadec. 2021. "Monolithic Solvers for Incompressible Two-Phase Flows at Large Density and Viscosity Ratios" Fluids 6, no. 1: 23. https://doi.org/10.3390/fluids6010023
APA StyleEl Ouafa, M., Vincent, S., & Le Chenadec, V. (2021). Monolithic Solvers for Incompressible Two-Phase Flows at Large Density and Viscosity Ratios. Fluids, 6(1), 23. https://doi.org/10.3390/fluids6010023

