Abstract
Currently, a large number of scientific articles can be found in the research literature in the field focusing on the use of oleogels for food formulation to improve their nutritional properties. The present review focuses on the most representative food-grade oleogels, highlighting current trends in terms of the most suitable methods of analysis and characterization, as well as trends in their application as substitutes for saturated and trans fats in foods. For this purpose, the physicochemical properties, structure, and composition of some oleogelators are primarily discussed, along with the adequacy of oleogel incorporation for use in edible products. Analysis and characterization of oleogels by different methods are important in the formulation of innovative foods, and therefore, this review discusses the most recent published results regarding their microstructure, rheological and textural properties, and oxidative stability. Last but not least, issues related to the sensory properties of oleogel-based foods are discussed, highlighting also the consumer acceptability of some of them.
1. Introduction
Oleogelation is a relatively new and innovative technology that has attracted attention in the food industry due to its ability to convert liquid oils into semi-solid gels without the need for chemical modifications or additives [].
Oleogels are unique semi-solid materials consisting of a network of structuring molecules that entrap liquid oil, resulting in a gel-like texture. They have gained increasing interest in the food industry due to their ability to mimic the functionality of fats and deliver bioactive compounds, offering potential solutions to various challenges and opportunities for the creation of innovative food products []. Recently, research in the field of oleogels has focused on investigating new molecules or combinations of molecules that can act as structuring agents, as well as developing new methods for gelation. This includes exploring different types of structuring agents, such as waxes [,,,,,,,] and polymers [,], and investigating their properties and interactions with liquid oils to create stable and functional oleogels [,]. Scientists are also investigating the use of new techniques, such as micro- and nano-structuring [,,,,,,,,,], to modulate oleogel properties and create novel structures with specific functionality [,,,,].
From a technological perspective, oleogels are being explored as a way to overcome challenges in food product development. For example, they can be used in food products as a replacement or for the reduction of solid fats, such as trans fats or hydrogenated fats, to create healthier options without compromising their texture, mouthfeel, and stability [,,,,,,,,]. Oleogels can also be used to encapsulate and deliver bioactive compounds, such as antioxidants or flavors, in food products, providing enhanced stability and controlled-release properties [,,,,,,,,]. Additionally, oleogels can offer new possibilities for product innovation by creating unique textures, structures, and sensory experiences in food products [].
One of the advantages of food-grade oleogels is their ability to reduce or eliminate trans fats, which are known to be harmful to health, while maintaining desirable functional properties of fats, such as mouthfeel, creaminess, and stability. Oleogels can also be formulated to have specific melting properties, which can be beneficial in various food applications, such as controlling the release of flavors or preventing oil migration.
The relationship between dietary fats and health, particularly cardiovascular health, has been a topic of ongoing research and debate. While there is evidence from clinical trials suggesting that replacing saturated fats with polyunsaturated fats and essential fatty acids may reduce the risk of coronary heart disease, recent studies have questioned the simple explanation of the relationship between dietary saturated fats and cardiovascular disease [,]. As a result, current recommendations emphasize the importance of critically evaluating the scientific understanding of dietary fats and health [].
Given these concerns about saturated fats and trans fats in the diet, there has been increasing interest among manufacturers and scientists in finding alternative ways to modify or structure liquid oils to mimic the functionality of fats in food products without changing the nutritional profile of the oil. This has led to the exploration of oleogels as a potential solution, as they offer a unique approach to structuring liquid oils without the use of saturated or trans fats [,,].
Recent food applications of oleogels have shown promise in the area of bioactive delivery, where oleogels can be used as carriers for bioactive compounds such as vitamins, antioxidants, and nutraceuticals [,,,]. Oleogels can protect bioactive compounds from degradation, control their release, and enhance their bioavailability, making them suitable for functional food applications. Oleogels as a promising class of structured edible oils with unique properties and versatile applications in the food industry have also found applications in confectionery, bakery, spreads, margarines, and meat products, due to their ability to improve texture, reduce saturated fat content, and provide clean-label options.
Oleogels can be formulated using structuring agents that are Generally Recognized as Safe (GRAS) and can help replace solid fats in food products without compromising their sensory properties or functionality. This aligns with the current recommendations to limit saturated fat intake and remove trans fats from the diet while still providing functional and palatable food products to consumers.
The present review discusses the most used oleogelators for the preparation of food-grade oleogels, along with specific analyses that can be used for the characterization of food oleogels and their behavior as food components. These analyses can provide insights into the physical, chemical, rheological, and structural properties of oleogels, which are important for understanding their performance in food applications [,,,,,,,,,,,,,,,].
Overall, the food industry is increasingly exploring the use of oleogels in various food products to improve their texture, stability, sensory attributes, and nutritional profile. The unique functional properties of oleogels make them attractive for a wide range of applications in the food industry, offering opportunities for innovation and the development of healthier and more desirable food products.
2. Oleogelators
Oleogelators are substances that are used to create gels or semi-solid systems in oil-based formulations. They have an important role in changing the viscosity or thickness of the oil phase, resulting in a gel-like consistency. Various types of oleogelators can be used in different applications, as shown in Figure 1.
Figure 1.
The most used oleogelators for food-grade oleogels.
The properties and performance of oleogelators can vary depending on their chemical structure, concentration, and formulation conditions, and they are often chosen based on the specific requirements of the intended application.
The growing number of compounds used for structuring vegetable oils calls for their categorization. Thus, two large categories are identified: low-molecular-weight oil and polymeric or high-molecular-weight oil gelators (Table 1).
Table 1.
The structure or composition of oleogelators.
2.1. Low-Molecular-Weight Oleogelators
Low-molecular-weight oil gelators include components present in waxes from natural sources (i.e., long-chain esters, fatty acids, fatty alcohols, hydrocarbons), which build three-dimensional crystal networks, and components present in phytosterols (i.e., sterols and sterol esters) that develop self-assembled fibrillary networks [].
2.1.1. Waxes
Waxes are biosynthesized crystalline solids obtained from plants (e.g., carnauba wax, candelilla wax) or animal sources (e.g., beeswax) [] with one particular lipidic composition. In general, waxes are mixtures of medium- or long-chain fatty acids and long-chain fatty alcohols in free or esterified form (wax esters). They can also contain hydrocarbons, ketones, and sterols. Only beeswax and candelilla wax have a higher hydrocarbon content. Sunflower wax and rice bran wax can be considered single-component waxes because almost 90% of their composition represents wax esters []. Being from natural sources, the chemical composition of waxes can vary across their origins [,]. When the crystalline network of waxes traps the liquid oils, oleogels are formed []. The wax esters lead to strong but brittle oleogels, and the free fatty acids and hydrocarbons lead to consistent and stable gels. Free fatty alcohols have also an important role in oil structuring [].
Beeswax
Beeswax is one crystalline solid with a characteristic honey odor, produced by the Apis mellifera, Apis cerana, Apis florae, and other bee species for honeycomb construction [,,]. Two types of waxes are obtained from Apis mellifera bees: yellow beeswax and white beeswax. The first type is a yellow or yellow-brown solid that becomes pliable at about 35 °C. The second type is a white or yellowish-white solid, which in a thin layer is translucent and is obtained by bleaching yellow beeswax. Beeswax is insoluble in water, weak-soluble in alcohol, and very soluble in chloroform and ether. Its melting range is between 62 and 65 °C, and its specific gravity is about 0.96 [,,,]. In the USA, beeswax has GRAS (Generally Recognized as Safe) grade, and in the EU, it is an approved food additive (E number E901) [,,].
The composition of beeswaxes may vary depending on the honeybee species, the geographical origin, and the age of the wax [,]. Thus, the reported values have fairly wide ranges. Chemically, beeswax is a complex mixture of fatty acid esters (mono-, hydroxy mono-, and di-esters) (58–71%), hydrocarbons (alkanes and alkenes) (12–26%), free fatty acids (9–15%), free fatty alcohols (1–6%), and other minor compounds [,,,,]. Hydrocarbons have long chains with odd carbon numbers, within the range of 27–33. Esters consist of long-chain alcohols and diols with even carbon numbers (24–32), and long-chain fatty acids and hydroxy acids have even carbon numbers (16–24) [].
Due to its composition and low cost, beeswax is one of the most studied oil-structuring agents [,,,,,,,].
Carnauba Wax
Carnauba wax (named also palm wax or Brazilian wax) is produced by the leaf buds and leaves of the carnauba wax palm, Copernicia cerifera Martius, from Brazil. The marketed product is a purified wax. It occurs as light brown to yellowish flakes or hard and brittle solids. It has a weakly aromatic odor at room temperature and a characteristic hay smell in the molten state []. Carnauba wax is one of the hardest and highest-melting-point natural waxes with a melting range between 82 and 86 °C and specific gravity of about 0.997. It is insoluble in water, weak-soluble in alcohol, and soluble in chloroform and ether [,]. The EU approved it as a food additive (E number E903), and the USA gave GRAS grade to it [,].
Chemically, carnauba wax is a complex mixture of fatty esters (62–85%), free fatty alcohols (10–30%), free fatty acids (3–6%), hydrocarbons (paraffins), and triterpene diols. The esters of carnauba wax are mainly aliphatic esters and diesters of cinnamic acid. The free acids are aliphatic, aromatic, and ω-hydroxycarboxylic types [,,]. Due to its high content of fatty esters and its inert and stable components, carnauba wax is widely used for oil structuring [,,,,,,,].
Sunflower Wax
Sunflower wax is a crystalline solid extracted from the seeds and seed hull of sunflower (Helianthus annuus) [,]. The marketed sunflower wax is a hard and light yellow solid [], with a melting range between 70 and 80 °C [,]. Above 40 °C, sunflower wax is lipophilic. When cooled to below 40 °C, it acquires weak hydrophilic characteristics and crystallizes []. More than 95% of the composition is esters, and it can be considered a single-component wax []. It also contains approx. 3% free fatty acids, 0.3% free fatty alcohol, and 0.17% hydrocarbons []. The esters of sunflower wax consist predominantly of chains with 44–50 carbons, and their major free fatty acids have chains with 16–24 carbons. Sunflower wax is declared the best wax-type oil gelling agent, and sunflower wax oleogels are accepted as the gold standard for plant wax-type oleogels []. Thus, Yilmaz E. et al. reported that the C* (%) of sunflower wax in sunflower oil is 1% []. The oleogels formed with sunflower wax have been much studied [,,,,].
Rice Bran Wax
Rice bran wax is a yellow, hard, crystalline solid obtained as a by-product from rice bran oil derived from the bran, which is a by-product of rice (Oryza sativa) milling [,,]. Rice bran contains 10–12% lipidic compounds [] and is a rich source of phytosterols and tocopherols []. Rice bran wax has a high melting range between 77 and 81 °C []. Almost 93% of its composition is high-molecular-weight C48-C64 monoesters. Rice bran wax is also named a one-component wax, similar to sunflower wax []. The other components are free fatty acids, less than 1% free fatty alcohols, and hydrocarbons. It is also a rich source of oryzanols []. Rice bran wax can form oleogel at the addition of less than 1% to the oil. In oils, rice bran wax forms long, thin needle-like crystals [].
2.1.2. Phytosterols and Phytosterol Esters
Phytosterols or plant sterols are a large group of steroid-type alcohols that exist in free or esterified forms, named ester phytosterols or conjugate phytosterols. Phytosterols and their esters are biosynthesized exclusively by plants []. The core of this compound is one tetracyclic skeleton consisting of three cyclohexanes and one cyclopentane ring, with one aliphatic side chain. Commercially, phytosterols and their esters are extracted from the unsaponifiable fraction of lipid-rich plant oils such as soy, canola (rapeseed), corn, sunflower, cotton seed, flax seed, pumpkin seed, peanut, olive, etc. [,,], or cereal by-products such as corn fiber, wheat germ, wheat bran, rice bran, oat bran, or oat hull. Tall oil, a by-product of wood pulps, is a phytosterol source too []. The major compounds of phytosterols are β-sitosterol (3β)-Stigmast-5-en-3-ol, stigmasterol (3β)-Stigmasta-5,22-dien-3-ol, brassica sterol (3β)-Ergosta-5,22-dien-3-ol, and campesterol (3β)-Ergost-5-en-3-ol []. Oryzanol is a sterol ester that occurs naturally mainly in rice bran oil []. Apart from the biosynthesized ones, phytosterol esters can also be obtained through the interesterification of phytosterols such as sitosterol, with fatty acids from vegetable oils such as canola or rapeseed []. Phytosterol extracts and phytosterol ester extracts are available as nutritional supplements marketed as dietary supplements []. In the USA, in the Chemical and Technical Assessment reported in 2012 by JECFA [], phytosterols, phytostanols, and their esters are Generally Recognized as Safe (GRAS). In the EU, stigmasterol-rich plant sterols are included in the food additive list, with E number E499. Stigmasterol-rich plant sterols must contain over 85% stigmasterol and other sterols. Mixtures of phytosterols (e.g., β-sitosterol, stigmasterol) and their esters (γ-oryzanol) have the oil-structuring ability. They form hazy transparent oleogels [,].
β-Sitosterol
β-sitosterol C29H50O, with a molecular weight of 414.72 g/mol, is one abundant representative of phytosterols [], and its molecule is bioactive []. β-sitosterol is a white to off-white waxy powder, with a characteristic odor and melting range between 136 and 142 °C [,]. Above 110 °C, β-sitosterol is completely dissolved in water. When cooling down, up to 80 °C, it crystallizes in anhydrous form, between 45 and 80 °C, it crystallizes as a hemihydrate, and below 45 °C, it is a monohydrate. β-sitosterol crystals are organized in bilayers of approximately 3.8 nm thickness. Side-products of vegetable oils extracted from soybeans, peanuts, avocadoes, rice bran, wheat germ, corn, rapeseed [,,], or tall oil [,] are rich sources of β-sitosterol. Finally, microalgal species (diatome, chlorophyte, and haptophytes) were studied too as alternative sources of β-sitosterol []. β-sitosterol is one of the components of the approved food additive (E number E499) []. Recently, in addition to its beneficial effects on health, β-sitosterol has also been studied as a gelling agent for vegetable oils. Mixtures of β-sitosterol with γ-oryzanol were used for the gelation of different vegetable oils. Arjen Bot et al. reported that these two compounds, used alone, do not have oil-structuring ability [].
γ-Oryzanol
γ-oryzanol is a blend of sterol esters that naturally occur in cereals and plant oils. It is obtained from the unsaponifiable fraction of rice bran oil (Oryza sativa) []. Values within 0.9–2.9% have been reported [,]. The concentrations of γ-oryzanol depend significantly on the type of oils and genetic and environmental factors. It has also been shown in barley []. γ-Oryzanol is a white or slightly yellowish tasteless crystalline powder with little or no odor and has a melting point of 135.7–138.5 °C []. It is hardly soluble in water, slightly soluble in diethyl ether and n-heptane, practically soluble in chloroform [], and highly soluble in vegetable oils []. γ-oryzanol is obtained from Oryza sativa Japonica (rice bran and germ) as a refined, dried, white, or light yellowish extract. γ-Oryzanol is a mixture of ferulic acid esters of phytosterols and triterpenoids. About 80% of γ-oryzanol is represented by cycloartenyl ferulate, 24-methylenecycloartanyl ferulate, and campesteryl ferulate [,,]. In a mixture with sterols (especially β-sitosterol), γ-oryzanol is used as an oil-structuring agent []. Dissolved in plant oils, the molecules of the mixture of γ-oryzanol and β-sitosterol, in a 60%:40% w/w (1:1 mol/mol) ratio, can stack and form self-assembled fibrils by hydrogen bonds. These fibrils form three-dimensional ribbon-like tubules with a 7.2 nm diameter. The wall thickness of ribbons is 0.8 nm. This thickness corresponds to the size of the sterane core of β-sitosterol and γ-oryzanol [,]. A transparent, firm gel occurs when the oil is trapped in the network formed by the aggregation of these tubes. The formed gels are clear and slightly cloudy []. The literature on the conditions of formation and stability of this type of oleogels is rich [,,,,].
2.1.3. Fatty Acids and Monoglycerides
Free fatty acids (stearic acid, palmitic acid, oleic acid) and monoglycerides (monostearin, monopalmitin, glycerol monolaurate, glycerol monobehenate) represent two groups of oleogelators that can be used to create stable gels in lipid-based systems [,,]. Due to the different chemical groups and structures, they form different molecular arrangements and architectures, leading to various textural or mechanical properties of oleogels.
The advantages of monoglycerides as oleogelators are that they can crystallize and form strong networks even at low concentrations (3%) []. As shown in numerous studies, the crystallization mechanism of monoacylglycerols consists of the formation and growth of a laminar crystal network, and some of the oleogel properties (thermal stability, mechanical properties) can be controlled by the chain length, molecular weight, and concentration of monoacylglycerols [,,,,].
2.2. High-Molecular-Weight Oleogelators
High-molecular-weight oleogelators include proteins and polysaccharides. They can be used separately or in different combinations to form a three-dimensional network stabilized by hydrogen bonds, electrostatic interactions, and hydrophobic interactions between molecules, where liquid oils are entrapped []. These two classes of polymers have drawn increasing attention since they are food-grade, inexpensive, and readily available as by-products of different food industry branches [].
2.2.1. Proteins
Based on their shape, protein oleogelators may be divided into two classes: globular and fibrous. Globular proteins can form a gel-like structure due to their ability to create cross-links or aggregates [,]. The gelation process typically involves heating a solution of globular proteins, which causes them to denature and unfold. As the proteins unfold, amino acids begin to interact with each other, forming aggregates and cross-links that create a three-dimensional network. This network traps water and other molecules, forming a gel-like substance [,,]. On the other hand, fibrous proteins, such as gelatin, can form a gel when they are heated and then cooled. The gelation mechanism involves the reversible unfolding and refolding of protein chains, as well as the formation of physical cross-links between protein molecules []. In the last years, several studies on protein-based oleogels have been performed.
Soy Protein
Soy protein is considered a good option for use in the production of vegetable protein, due to its excellent gelation properties. It has been widely used since 1990 as an excellent animal protein substitute. Furthermore, soy protein is a high-quality protein that contains all the essential amino acids and can reduce cholesterol levels and the risk of cardiovascular diseases [].
A protein oleogel system was fabricated using linseed oil and soy protein isolate with different concentrations of highland barley β-glucan by using the emulsion-templated approach []. It was found that linseed oil soy-based oleogels formed a strong 3D network with a reduced lipid oxidation rate. Furthermore, with the addition of highland barley β-glucan, the oil droplets became smaller and more uniformly distributed in the network.
Whey Protein
Whey protein is a type of protein that is derived from milk as a by-product of the cheese-making process. It is a complete protein, which means that it contains all nine essential amino acids []. Whey protein isolate is a purified form of whey protein that contains a higher percentage of protein and small amounts of other substances such as fat and carbohydrates []. Meissner et al. [] obtained a stable oleogel system using safflower oil gelated with whey protein by the solvent-exchange method. The results also showed that the presence of protein promoted the decomposition of lipid oxidation products in the prepared oleogels.
Zein
Zein is a plant protein that is commonly found in corn. It is a type of prolamin protein, which is a storage protein found in the seeds of cereal crops. The amino acid profile of zein is made of glutamic acid (20%), leucine (19%), alanine (12%), proline (10%), and reduced amounts of essential amino acids (lysine and tryptophan) []. Although the nutritional value of zein is significantly lower than the proteins of animal origin, it has some desirable properties that make it a promising ingredient for various applications. Zein is often used in food and industrial applications due to its unique properties, such as its high hydrophobicity and film-forming ability. Furthermore, zein is considered to be a safe and non-toxic ingredient for human consumption [,]. Protein oleogels were obtained using the emulsion template method by Wang et al. [] with the aggregation of zein, which gelated different oils (olive oil, corn oil, and linseed oil). They showed that zein-stabilized oleogels have thermo-reversible properties while the oil phase had no significant influence on the oleogels’ thermal decomposition and crystalline structure.
Gelatin
Gelatin is a type of protein that is derived from collagen, which is the main structural protein of the connective tissues of animals. Gelatin is a mixture of peptides and amino acids produced through the hydrolysis of collagen of animal origin []. Gelatin is soluble in hot water, and when it cools, it forms a gel that can trap water and other substances. The strength and elasticity of the gelatin gel can be influenced by factors such as the concentration of gelatin, the pH of the solution, and the presence of other substances such as sugars or salts. This property makes it useful as a thickener, stabilizer, and gelling agent in a variety of food products [,]. An interesting application of oleogels is that they can be a good matrix for lipophilic bioactive molecules. Kavimughil et al. [] found that the oleogel system formulated with gelatin, gellan gum, and medium-chain triglyceride (MCT) oil can be a delivery system for synergistic bioactive compounds, curcumin, and resveratrol. Furthermore, they observed that the two nutraceuticals were protected under oral and gastric conditions.
2.2.2. Polysaccharides
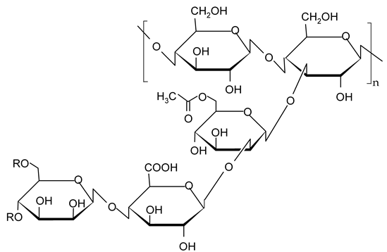
Polysaccharides are some of the most abundant macromolecular polymers in nature that can be obtained from different sources such as algae, plants, animals, and microorganisms []. Their diverse extraction sources make them a good choice for use in various industries, including food, medicine, cosmetics, energy, paper, textiles, and fibers []. The use of polysaccharides in food processing is an attractive research field due to their multiple advantages: they come from renewable sources and are non-toxic, inexpensive, and positively perceived by consumers []. Due to their diversity, polysaccharides possess different physicochemical properties affecting their functionality and usage in various food products. For example, hydrophilic polysaccharides can be successfully used for formulating emulsion-based foods, such as oleogels [,].
The most commonly used polysaccharides as oleogelators are presented below.
Agar
Agar is a polysaccharide extracted from the cell walls of some species of red seaweeds such as Gracilaria, Gelidiaceae, Pterocladiella capillacea, and Pterocladia lucida [,]. It is a heterogeneous mixture made up of two polymers, agarose and agaropectin. Agarose, the major fraction of agar (70%), is a linear polymer containing two monosaccharides: β-d-galactose and 3,6-anhydro-α-l-galactose, linked by glycosidic bonds. The galactose residues can be substituted with sulfate groups but only below 0.15% [,]. The agaropectin molecule (30% of agar fraction) contains the units of agarose but also D-glucuronic acid and a small amount of pyruvic acid. Furthermore, a fraction between 3% and 10% of 3,6-anhydro-α-l-galactose residues is substituted by sulfate, pyruvate, or gluconorate residues, affecting negatively their gelling properties []. Agar is insoluble in cold water but dissolves readily in boiling water. By cooling it below 35–45 °C, a firm gel is formed even at concentrations as low as 0.1%. Agar gel is thermoreversible and, at a temperature higher than 80–85 °C, becomes liquid again []. It is a Generally Recognized as Safe (GRAS) food additive (E number E402), used as a gelling and thickening agent for jams, jellies, milk products, salads, dressings, or bakery products. In the last few years, some articles reported on agar usage as an oil structurant. Kodela et al. [] describe in their study the synthesis of novel bigels prepared by mixing different proportions of stearyl alcohol oleogel with agar hydrogel. Microscopic evaluation showed the formation of biphasic or bicontinuous bigels, depending on the ratio between the two phases. The structural distribution of the components also influences the mechanical, viscoelastic, and electrical properties of the bigel system.
Xanthan Gum
Xanthan gum is an extracellular heteropolysaccharide produced by the microorganism Xanthomonas campestris during aerobic fermentation processes []. The xanthan molecule consists of repeated D-glucose, D-mannose, and D-glucuronic acid units in a molecular ratio of 2:2:1 and different proportions of acetyl and pyruvyl residues [,]. Xanthan gum has good solubility both in cold and hot water. Dissolved in cold water, even at low concentrations, it produces high-viscosity solutions (from 100 to millions of mPa·s) [] with a weak gel character, stability over a wide range of temperatures, and pH 3–10 [,]. Due to these properties, it is used in the food industry as a thickener or suspending agent in dressings, sauces, instant desserts, dairy and bakery products, and fruit juices. Xanthan gum is accepted as a safe food additive in Europe (E number E415), the USA, and many other countries. Like other polysaccharides, Xanthan gum was also tested to obtain oleogels. Patel et al. [] showed that the addition of xanthan gum stabilizes the polymeric network of a sunflower oil and gelatin oleogel obtained by the emulsion method. They proved that xanthan gum and gelatin interact with each other through hydrophobic and electrostatic interaction, confer higher stability of the oleogel, and prevent oil separation. In another study, Vélez-Erazo et al. [] obtained structured sunflower oil by the emulsion method by using a two-component system: pea protein as an emulsifier and different polysaccharides (xanthan gum, carrageenan, gum Arabic, pectin, gellan gum, locust bean gum, sodium alginate, and tara gum) as stabilizers. The results showed that the oleogel stabilized by xanthan gum was one of the suitable systems in terms of the rheological behavior of emulsions, viscosity, and stability during storage.
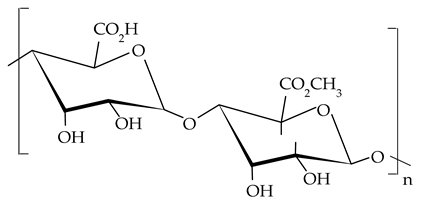
Pectins
Pectins are structural polysaccharides present in the cell walls of most plants and have different functional properties. The term includes a group of substances differentiated by molecular weight, chemical configuration, and contents of neutral sugars []. Pectins are composed mainly of α-1,4-d-galacturonic acid residue linked by an alpha-1,4-glycosidic bond, with the following main structural domains: a linear chain of homogalacturonan and two types of highly branched rhamnogalacturonans (RGI and RG2). The pectin family also includes other classes of polysaccharides, such as xylogalacturonan, arabinan, galactan, arabinogalactan, and apiogalacturonan [,]. Usually, pectins are extracted from citrus fruit peels and albedo, apple pomace, banana peels, or sugar beet pulp [,]. Due to their lack of toxicity and their unique properties, pectins have valuable applications, especially in the food industry, where they are widely used as gelling agents, thickeners, emulsifiers, and stabilizers []. In the last years, polysaccharides have been successfully used as oleogelators to form structured oils. Luo et al. [] obtained stable oleogels through the emulsion template approach using camellia oil, tea polyphenol-palmitate (2.5%), and citrus pectin at different concentrations (1.5, 2.5, 3.5, and 4.5%). They showed that the increase in citrus pectin concentration improved the stability and viscoelasticity of the emulsions and also the oil-binding capacity and gel strength of the oleogels. Furthermore, the addition of tea polyphenol conferred to oleogel good heat stability and high anti-oxidative activity.
Chitin and Chitosan
Chitin is a long-chain polymer that is a primary component of the exoskeletons of arthropods such as crustaceans, some mollusks, and insects, and also of the cell walls of fungi. Chitin is composed of units of N-acety-D-lglucosamine, which are linked together by β-1,4 glycosidic bonds to form a strong and resistant material [].
Due to its biodegradability and less-toxic nature, chitin is an attractive material for various applications, including the food industry, where it is used as a food additive or to obtain chitosan, a partially deacetylated counterpart of chitin []. Chitosan is used as a food preservative, antioxidant, thickener, stabilizer, and clarifying agent [,]. As good emulsifiers to stabilize heterogeneous oil-in-water systems, some application areas for chitin and chitosan include also oleogel formulation [,]. Baraki et al. [] prepared sunflower oil oleogels structured by regenerated chitin by the emulsion templating method (approach). The resulting chitin-based oleogel showed high gel strength and good structural stability for a prolonged time. In another study, Brito et al. [] obtained a stable oleogel using chitosan and canola oil with high thermostability and moderate oil-binding capacity. In the same work, chitosan was chemically modified by crosslinking with vanillin. The addition of vanillin (1%) improved the affinity of chitosan in oil and the mechanical properties of the chitosan-based oleogels.
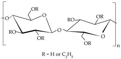
Ethylcellulose
Ethylcellulose, is modified cellulose, which has one linear biopolymer built from anhydroglucose units, connected by glycosidic bonds. The hydrogen from the hydroxyl groups of these units is replaced with ethyl groups []. Being etherified, this biopolymer is also named cellulose ethyl ether, or ethyl ether of cellulose []. Ethylcellulose is a free-flowing, slightly hygroscopic white to off-white, odorless, and tasteless powder, with a density of 1.09–1.17 g/cm3, semicrystalline structure, and hydrophobic character [,]. It is a non-digestible and water-insoluble polymer []. Ethylcellulose is prepared from cotton linter or wood pulp by ethylation [,]. It is produced at different degrees of substitution values (DS) of ethoxyl groups. DS is one important parameter that quantifies the average number of derivatized hydroxyls, and it is used for the characterization of the product (e.g. solubility or average molecular weight) []. Thus, ethylcelluloses with DS 1–1.5 are soluble in water, while those with DS 2.4–2.5 are soluble in organic solvents []. It is a positive correlation between the DS, average MW, chain length, and viscosity of the polymer []. Several types of ethylcelluloses with average molecular weights in the range of 65,000–215,000 Da are sold, being characterized by the manufacturers by the viscosity value []. Ethylcellulose is accepted for use as a food additive. In the USA, it has a GRAS grade, and the EU included it in the official list of additives with E number 462. The hydrophobic nature and semi-crystalline structure of ethylcellulose explain its use as a gelling agent of plant oils by direct dispersion [,,,].
3. Food-Grade Oleogels: Analysis and Characterization
Different oils or liquid hydrocarbons can be used as the base material for oleogels, depending on the desired properties and their further application. Some common oils used for oleogel formulations are presented in Figure 2.
Figure 2.
Different oils used for the preparation of food-grade oleogels.
The choice of oil for oleogel formulations depends on the desired characteristics of the final product, such as the desired texture, viscosity, stability, and functionality. When selecting the appropriate oil for oleogel formulations, the deciding factors are the cost, availability, regulatory requirements, and intended application, as well as a careful evaluation of the compatibility and stability of the chosen oil with other ingredients and additives in the formulation to ensure a stable and effective oleogel product.
The analysis and characterization of oleogels involve a multi-faceted approach that includes compositional, structural, rheological, thermal, and microstructural analysis. These techniques provide insights into the properties, behavior, and performance of oleogels and can be used to optimize their formulation, processing, and utilization in various applications, including food, pharmaceuticals, and personal care products. Considering the food-grade oleogels analysis, laboratory studies should further consider comprehensive characterization referring to their sensory properties, shelf life, nutritional composition, processing behavior, compatibility, and microbiological safety. Figure 3 presents the most frequently used analysis methods in the case of edible oleogels. For this purpose, several databases were searched for the word “oleogel” and the considered analysis method. Thereafter, the graph was constructed considering the number of obtained hits for each search result.
Figure 3.
The most used methods of analysis for food-grade oleogels.
3.1. Microstructure
The characterization of the structured lipidic systems in terms of their structure and interactions between the building blocks is a tremendous chore. Recent literature shows that some of the hypotheses on the microstructure of oleogels [,,,,] and binary gels [,] can be considered rigorously defined. For the examination of the oleogel microstructure, the most often used method is polarized light microscopy due to the birefringence of the fat crystals. Although it is a very often used method for the identification of the formation of networks in oleogels, the inconvenience lies in micrometric measurements.
Table 2 presents the microstructure of several prepared food-grade oleogels, and it can be observed that waxes are often used and are efficient as crystalline oleogelators. However, it has to be pointed out that their oleogelation behavior is influenced by their surface area, the presence of solvents and their interaction with these, solvent polarity, oil components, oxidation reactions, etc. [,]. The registered photographs of the oleogels formulated with olive oil and monoglycerides show that the liquid phase of olive oil has a dark appearance, while the monoglycerides are identified as bright needle-like crystals []. The darkness is because olive oil is optically isotropic. Monoglycerides, as oleogelators, can grow over time and lead to the formation of multi-branched centers that might have different morphologies that will influence the mechanical, textural, and macroscopic properties of the formed oleogel [,,]. Figure 4 presents the crystal size distribution in a monoglyceride oleogel stored for 8 weeks [].
Table 2.
Microstructural characteristics of oleogels.
Figure 4.
Polarized light microscopy (PLM) images of the monoglyceride oleogels stored at 5 °C over different storage times (t = weeks). PLM images were taken at 25× magnification. Taken from [] with 2023 Copyright Clearance Center, Inc., license.
In general, for all of the considered systems presented in Table 1, the structure of the formed crystals is considerably influenced by the type of oleogelator and its purity, the used oil, and the conditions for the preparation of the oleogel, such as temperature and/or cooling rate, the presence of other additives, and shear application [].
3.2. Rheological Properties
Rheological measurements can provide important insights into the properties and behavior of oleogels, which are important for numerous applications, especially for the food industry for the design of healthier and sustainable food products []. Moreover, the results from rheological measurements help in understanding the physical properties of food-grade oleogels and in optimizing their formulation. The oleogels’ rheological behavior can be investigated by employing oscillatory shear rheology and steady shear rheology. The first method is based on the application of sinusoidal stress or strain to the oleogel and measuring the resulting deformation response. This can provide information on the structure and mechanical properties of the oleogel, such as its storage modulus (elasticity) and loss modulus (viscosity). The steady shear rheology uses a constant stress or strain on the oleogel and registration of the resulting flow behavior that will contribute to the understanding of the viscosity and shear-thinning behavior of the oleogel. It has to be pointed out that the inconvenience of the rheological tests that are macroscopically performed is that they damage the samples. Figure 5 presents the effect of water on the rheological behavior of an oleogel [].
Figure 5.
Rheological behavior of oleogels with different oil-to-water ratios. (a) Amplitude sweep, (b) frequency sweep, and (c) flow measurement curves. Taken from [] with 2023 Copyright Clearance Center, Inc., license.
Colloidal gels are made up of small, dispersed particles that interact with each other to create a network. The properties of a gel are largely determined by the strength of these interactions and how large and how numerous the dispersed particles are. It is difficult to control the aggregation of these particles, but this is important for a variety of applications, such as food, personal care products, pharmaceuticals, paints, or ink. In nonpolar solvents, the interactions between the particles are mainly led by steric and hydrogen bonding. When mineral oil and carbon black particles are combined, they form networks at a specific concentration of interaction energy [,]. This space-spanning network is endowed with elastic qualities as a result of hydrogen bond formation between individual particles. Adding a small amount of a secondary solvent can control the interaction between colloidal particles, resulting in fluid suspensions that can become elastic gels with a high yield stress. Wet granular media, where a wetting fluid increases inter-particle strength, are widely recognized. Wetting processes cause a liquid “bridge” between two particles to develop. Wetting and non-wetting fluids may create pendular or capillary gels, respectively. This method may change oil-based suspension viscosity in food applications []. The selection of a gelator is not easy to predict, as the final oleogel structure depends on complex interactions between network structure and oil chemical characteristics. Rheological analysis results of oleogels suggest that different types of oleogelators and oils can be used to find the best combination to apply in food-grade applications [,,,,,,,,]. In recent scientific articles, different types of oleogels are analyzed by the rheological method to identify their properties (Table 3).
Table 3.
Rheological results for different used oleogelators and oils.
3.3. Oxidative Stability
Most of the preparation methods of oleogels are based on the mixing of an organogelator with an oil under continuous stirring and at high temperatures. Unfortunately, the high temperatures have a negative impact on the oxidation of the used oils. Therefore, one important consideration when using oleogels in food applications is their oxidative stability. Oxidative stability refers to the ability of a system to resist degradation due to the reaction of oxygen with the components that are in the system. When oils are exposed to oxygen, they can undergo a series of chemical reactions that lead to the formation of free radicals and other reactive species that can cause off-flavors, odors, and potential health concerns.
The oxidative stability of oleogels is influenced by several factors, including the type and amount of the structuring agent used, the type of oil used, and the processing conditions (Figure 6).
Figure 6.
Factors affecting oxidative stability.
For example, the use of unsaturated oils, such as soybean or sunflower oil, can lead to lower oxidative stability due to the presence of double bonds that are susceptible to oxidation. In contrast, the use of saturated oils, such as coconut or palm oil, can lead to higher oxidative stability. In a study published by Yilmaz et al., it was shown that oleogels formulated with beeswax and hazelnut oil showed higher peroxide values when kept at room temperature in comparison to those stored in a refrigerator []. Moreover, in the case of ethylcellulose, an often used organogelator, it was shown that its concentration and temperature and time of treatment play an important role in oxidative stability []. To improve the oxidative stability of oleogels, various approaches can be used, such as the addition of antioxidants or the use of processing conditions that minimize exposure to oxygen. Additionally, the choice of a structuring agent can have a significant impact on the oxidative stability of oleogels (Table 4). For example, waxes with high melting points tend to provide better oxidative stability than those with lower melting points. Overall, the oxidative stability of oleogels is an important consideration when using these systems in food applications, and careful selection of ingredients and processing conditions can help to improve this characteristic.
Table 4.
Oxidative stability of some oleogels.
3.4. Textural Properties
The texture properties of a polycrystalline material refer to the distribution of crystallographic orientations in the sample. If the crystallographic orientations are not random but have some preferred orientation, the texture is weak, moderate, or strong.
The optimal textural properties of an edible oleogel depend on the application and desired sensory experience. For example, an oleogel used as a spread or filling may require a smooth and spreadable texture with low adhesiveness, while an oleogel used in baking or frying may require a firmer texture with a higher melting point.
Overall, the textural properties of edible oleogels can be tailored by carefully selecting the type and amount of structuring agents and controlling the processing conditions to achieve the desired functionality and sensory attributes [].
To determine texture properties, different texture equipment can be used, for example, texture analyzers and X-ray diffraction, and microscopes are used for qualitative analysis.
The main purpose of oleogel production is to replace solid fats in food products. To do this, oleogels need to have the same texture and stability as fat molecules. Oleogelators are essential for creating products with the desired texture, and new trends in the field of oleogelation involve combining these technologies to get the best results [].
Oleogel characterization is important to create oleogels with better structuring capability, and the textural analysis determines the hardness, firmness, resistance, adhesiveness, cohesiveness, gumminess, and stickiness of gel stored under different conditions to choose the best oleogel that can replace the fatty acids for food product applications []. Sarkisyan et al. showed in their recent study the importance of an optimal combination of the fractions for obtaining oleogels with the desired firmness (Figure 7).
Figure 7.
Firmness of oleogels structured with beeswax fractions. A, hydrocarbons > 99%; B, wax monoesters > 95%; C, 66% wax di- and triesters, >29% free fatty acids, and <5% free fatty alcohols. Taken from [] with 2023 Copyright Clearance Center, Inc., license.
Recent scientific studies have shown that oleogels can be effectively used in food applications. The textural analysis of oleogels shows that different types of oleogelators and oils can be used to create the best texture for food-grade applications. For example, in Table 5 are shown different oleogelators and oils used to form oleogels.
Table 5.
Textural results for different used oleogelators and oils.
4. Applicability of Oleogels in Food
The literature review shows that oleogels have a wide range of potential applications in the food industry, including fat replacement, texture modification, shelf-life extension, nutrient delivery, reduced-calorie foods, clean-label and natural foods, and functional foods. Further research and development in this area are expected to unlock more opportunities for utilizing oleogels in food formulations. Figure 8 presents the application of oleogels in foodstuffs by grouping them according to their intended purpose in the design of novel products.
Figure 8.
Application of oleogels in food in accordance with the intended purpose. Several studied and discussed products.
4.1. Oleogels Used as Animal Fat Replacers
4.1.1. Meat Products
As a result of worldwide demand, there is now a real interest in research and industry to produce healthier meat products with a low saturated fat content and an improved fatty acid profile. Vegetable oils, rich in polyunsaturated fats, possess a liquid consistency that can lead to oil drain or undesirable texture if incorporated directly into foods in the technological process []. However, their advantage is the ability to be structured by edible oleogelators to obtain a solid-like structure suitable for incorporation as animal fat replacers in meat products, such as burgers, sausages, patés, patties, etc. [].
The application of oleogels in meat products has been extensively studied in the past decade. A wide range of meat products has been investigated in terms of various oleogel incorporation and the results published in recent scientific literature: frankfurters and sausages [,,,,,,], burgers [,,,], meat batters [], patties [,], and patés [,].
Our research group has recently published an extensive overview on the use of oleogels in meat products as a technological solution for their nutritional improvement. The latest research and results on this topic are described in detail, highlighting the positive as well as the undesirable effects of formulating meat products with some newly developed oleogels. A relatively wide range of oils has been shown to be suitable for incorporation into meat products, such as soybean and high-oleic soybean oils, sunflower and high-oleic sunflower oils, olive oil, canola oil, rapeseed oil, linseed oil, sesame oil, rice bran oil, flaxseed oil, and mixtures. For their structuring, different oleogelators and obtaining methods were investigated. Thus, when the direct dispersion method was applied, oleogelators such as beeswax (BW), carnauba wax (CW), rice bran wax (RBW), sunflower wax (SW), ethylcellulose (EC), monoglycerides (MG), glycerol monostearate (GM), γ-oryzanol, β-sitosterol, and mixtures were dispersed, while hydroxypropyl methylcellulose (HPMC) was used when the indirect structuring method was applied. Fat replacement in meat products with the investigated oleogels also ranged from partial to total substitution. As an overall conclusion, although an improved fatty acid profile was obtained by the incorporation of oleogels into meat products, several negative effects of their use in terms of sensory and technical parameters were also observed. Therefore, further research in this area is needed to enhance sensory acceptance by consumers and to improve the technical functionality of oleogel-formulated products [].
The design of oleogels should also consider investigating GRAS oleogelators and oil oleogelator formulation in terms of compatibility with meat products, as well as the addition of natural antioxidants to improve their oxidative stability and extend shelf life [].
4.1.2. Dairy Products
Ice Cream
One of the most studied dairy products in terms of oleogel incorporation is ice cream. Using oleogels as milk cream replacers in ice creams has resulted in lower saturated fat and healthier products. In addition, oleogels are innovative and promising solutions as ingredients in ice cream to achieve insignificant textural and rheological differences compared to conventional products, such as viscosity, hardness, and elasticity [].
Maria Eletta Moriano et al. [] evaluated the effects of milk cream substitution with sunflower oil oleogel on the properties of artisanal ice cream. The oil structuring was produced with a mixture of gelators, as follows: phytosterol complex concentrate:g-oryzanol in a ratio of 40:60 wt%. In terms of quality characteristics, comparable with traditional ice creams and even superior results were registered for the overrun and melting start time when an oleogel containing 12 g gelators/100 g oil was used. Moreover, the novel products were declared suitable for lowering blood cholesterol levels due to the presence of phytosterols in the composition [].
Another recent study revealed the fact that carnauba wax oleogel, obtained on a soybean oil basis, can constitute an efficient replacer of saturated fat and a suitable ingredient in ice cream. Thus, soybean oil oleogel with 6% carnauba wax was used in the ice cream formulation by replacing 50% and 100% of the milk cream traditionally used as an ingredient. The results showed, in both substitution cases, a reduction in the melting rate of ice cream but also negative overrun aspects. However, after performing a sensory evaluation, the 50% oleogel formulation proved a similar level of acceptance with the control sample, with no significant differences in sensory characteristics [].
An interesting study was performed by Sybilla Nazarewicz et al. [], who presented opportunities for using tomato seed oil as a fat alternative in ice cream formulation, due to its excellent nutritional properties in terms of highly unsaturated fatty acid content. Moreover, an HPMC (hydroxypropyl methylcellulose) oleogel consisting of 60% cold-extracted tomato seed oil and 40% aqueous phase (2% HPMC solution) exhibited relatively high stability, with an impact on ice cream properties. Ice cream samples with different proportions of oleogel (5%, 6%, 7%) were studied in terms of several properties, such as fat, carbohydrate, and freezable water contents, which increased as the amount of oleogel became higher, and viscosity, hardness, and overrun, which decreased under the same conditions. The authors also analyzed the changes that appeared in the physicochemical properties of oleogel-formulated ice creams when ultrasound pasteurization was used instead of conventional pasteurization. The results showed that ultrasound technology, which uses a lower temperature, induced superior hardness and freezable water content to the products but inferior viscosity and overrun fat and carbohydrate contents. The authors concluded that this procedure can constitute a suitable alternative to classical pasteurization, with a similar effect, but further studies regarding the interaction of the time–temperature–ultrasound amplitude working parameters on the properties of oleogel-formulated ice creams are still needed [].
Vegan Creams
There is also a real interest in obtaining vegan creams as an alternative to conventional dairy creams. In this regard, one recent research study tested the suitability of making vegan soy creams based on an organic soy drink, taking oleogel as an ingredient. Three different cream samples were analyzed, in which the fat phase consisted of milk fat (clarified butter), palm oil, and the oleogel obtained by structuring a mixture of rapeseed oil—linseed oil with 3% w/w candelilla wax. The designed oleogel showed better physical stability than milk fat, while the oxidative damage of the oil contained in the oleogel was limited. The vegan cream containing oleogel proved more resistant than the cream containing palm oil, making oleogel suitable as a substitute for conventional solid fats. The overall conclusion of this research indicates the possibility of achieving a vegan cream with similar physical characteristics to commercial UHT dairy cream [].
Imitation Cheese
Currently, there is a tendency of formulating dairy-free imitation cheese, which is more and more used as an ingredient in foods. Its health benefits can be improved by reducing the fat amount in the composition. A study that aimed to produce an imitation cheese with a lower saturated fat content was conducted by Kyungwon Moon et al. [], who studied the influence of palm oil substitution with oleogels on a dairy-free imitation cheese to achieve a lower level of saturated fat in the final product. Oleogels were prepared by structuring canola oil with different amounts of carnauba wax (3%, 6%, 9%) and then used as palm oil substitutes in the composition. The results showed that the level of saturated fats in the imitation cheese formulated with oleogels was significantly reduced from 45.7% to 5.2% and importantly enriched in unsaturated fats, with a saturated: unsaturated fat ratio decreasing from 0.84 to 0.06. Moreover, the textural properties of oleogel-formulated products were enhanced in terms of elasticity, hardness, and cohesion [].
4.2. Oleogels Used as Shortening Replacers
4.2.1. Baked Products
In baked products, fats play an important role in terms of their sensory properties such as texture, color, taste, and flavor, whose interaction influences the overall consumer acceptance. Bakery and pastry products require large quantities and different types of fat as ingredients, especially shortenings and baking margarine or butter, to obtain a wide range of bakery products such as cakes, pastries, cookies, biscuits, bread, etc. Because of the high consumption of these types of foods, it is of utmost importance to find solutions for the development of fat-reduced baked products. This is a real challenge today, as conventional fats confer certain textural, rheological, and sensory properties that need to be preserved even when using fat substitutes. Structured oils, such as oleogels, are alternatives to maintain the solid-like properties of products, and they also possess a healthier fatty acid profile. Thus, in recent years, researchers in this field have paid particular attention to exploiting oleogels to obtain nutritionally improved and low-fat bakery products [,,].
Baked products have been largely explored in terms of incorporating oleogels, aiming to replace the hydrogenated shortenings or animal fats, reduce the trans and saturated fats, and improve their nutritional profile. Quite a few studies have been published, with a focus on cakes [,,,,], cookies [,,], biscuits [,], buns [], and muffins []. Sunflower, rice bran, beeswax, candelilla, shellac, and carnauba waxes were the prevalent oleogelators used for structuring mainly vegetable oils such as olive, soybean, canola, sunflower, rapeseed, and hazelnut. In addition, only a few studies have designed oleogels for baked products using hydroxypropyl methylcellulose, methylcellulose, ethylcellulose, and monoglycerides as gelation agents.
An extremely interesting and unique study was conducted by Doyoung Kim et al. [], who obtained an oil rich in unsaturated fatty acids from the larvae of an edible insect, Tenebrio molitor, which stands out as a possible protein supplement or future food material. So far, few studies have been carried out on the food use of this type of oil, extracted at a low temperature by compression. After investigating the antioxidant activity and fatty acid composition, the extracted oil was used to obtain oleogels with different waxes, such as candelilla, carnauba, and beeswax. Through oleogelling, the oxidative stability of the oil during storage was improved. By replacing the conventional shortening in the cookies with the designed oleogels, desirable properties in terms of spread factor and texture were obtained. The hardness recorded in the oleogel cookies with beeswax and candelilla wax was lower compared to that of the classical cookies, while the spread factor and textural attributes in the samples with carnauba wax oleogel were insignificantly different. As a general conclusion, the use of Tenebrio molitor larvae oil in the form of oleogels proved to be a suitable alternative for the replacement of solid saturated fats in cookies and for their nutritional enrichment by improving the fatty acid profile, but further studies are needed regarding the incorporation of these types of oleogels in other food systems [].
4.2.2. Chocolate and Chocolate Spreads
Several published studies on the application of oleogels in chocolate and chocolate spreads have explored the development of heat-resistant chocolate, the replacement of oil binder in chocolate paste, the substitution of palm oil in the fillings or cocoa butter in composition, and the control of fat bloom induced by oil migration. A reduction in saturated fats in chocolate and chocolate spreads and an improvement in their fatty acid profile have been reported in a few recent studies that proceeded to the incorporation of oleogels as replacements for conventional fats [,].
M. Espert et al. [] developed an oleogel based on sunflower oil and hydroxypropyl methylcellulose (HPMC), obtained by the emulsion template method and subsequently partially replacing the cocoa butter in the chocolate composition. Various concentrations of HPMC (0.5%, 1%, 1.5%, and 2%) were investigated, while the cocoa butter replaced in chocolate was 50%. The results showed that HPMC-structured sunflower oil is a suitable alternative to cocoa butter in chocolate, while the optimal concentration of HPMC within the oleogel was considered to be 0.5% and 1%. Thus, the sensory attributes such as texture and flavor were very similar to the control chocolate produced with cocoa butter [].
Likewise, to reduce saturated fats and produce healthier chocolate with an improved fatty acid profile, Behraad Tirgarian et al. [] designed a low-fat chocolate spread using water-in-oleogel emulsions. Corn oil was used as the base and glycerol monostearate (20% wt%) as the oleogelator, while the emulsion was prepared in various weight ratios, as follows: 0:100, 45:55, 50:50, and 55:45 (water:oleogel). Physical, rheological, and sensory characteristics of the developed chocolate spreads with 44% water-in-oleogel emulsion content were analyzed. The chocolate spread sample with 45% oleogel water replacement was found to be the most similar to traditional cocoa butter in terms of mouthfeel. Sensory scores and acceptability were comparable to the control. Some textural properties, such as firmness and spreadability, still require further testing for optimization, as well as the water activity that needs to be reduced for inhibiting microbial growth [].
4.2.3. Filling Creams
Some applications of oleogels as shortening substitutes in filling creams can be noticed in a few recent studies, as follows: Minhyo Kim et al. [] tested the efficiency of a binary mixture of oleogelators in obtaining oleogels suitable for low-saturated fat filling creams. In this regard, candelilla wax (CDW) and glycerol monostearate (GMS) were used as gelation agents, in varied proportions, to achieve canola-oil-based oleogels. The CDW: GMS 60:40 ratio provided an oleogel with convenient properties in terms of hardness and melting point for the intended purpose. The oleogel-containing filling creams were found to possess similar textural properties as the shortening-containing ones, with direct consequences on the avoidance of oil mitigation in products. At the same time, the saturated fat content in the creams designed with oleogel significantly decreased from 36.2% to 10.3%. The authors recommend the binary combination of gelators in achieving suitable oleogels for filling creams to limit the disadvantages of the usual utilization of a single oleogelator [].
Providing spreadable oleogels as ingredients for various foods is a challenge, to obtain suitable products in accordance with the aimed purpose. Three spreadable oleogels with functional properties were developed by Heba H. Salama et al. [] for further use as a healthy and nutritious ingredient in candy gummies. A basic oleogel was obtained by structuring canola oil with 10% stearic acid as an oleogelator and three other spreadable oleogels with functional properties by enriching it with some nutritive polymers such as casein, starch, whey protein, and maltodextrin. Doum fruit was a source of polyphenols and flavonoids for one oleogel sample, while carrot juice enhanced the other oleogel’s content with β-carotene. Nutritionally improved candy gummies were obtained on the base of developed spreadable oleogels and showed high acceptance in sensory evaluation, constituting a functional product with a high content of unsaturated fats and antioxidants [].
4.3. Oleogels Used in Breakfast Spread Developing
Spreads and Margarines
In the past decade, several studies have been conducted on the use of oleogels in the formulation of breakfast spreads. Thus, Patel et al. [] evaluated shellac oleogels in various edible applications, including spreads, meaning structured water-in-oil emulsions with 60% wt% water and no emulsifier due to the integration of shellac oleogels as the continuous oil phase. They showed good stability for more than four months, and the authors concluded that shellac oleogels are suitable for such food systems []. The use of shellac wax as an oleogelator was recently studied by Andreea Pușcaș et al. [] for identifying the optimal formulation for a low-fat spread designed with sunflower oil. Rheological, textural, colorimetric, and stability determinations were performed on shellac wax-based water-in-oil emulsion oleogels with various water proportions (20–60% w/w) and different shellac wax concentrations ranging from 3% to 7% w/w. The results provided some conclusions, including that adequate functionality occurs when the water content is up to 40–60% w/w and the properties are similar to those of margarine. Stable emulsions can be obtained even with 3% w/w shellac wax when the water content is up to 60% w/w. The formula provided by the multidimensional statistical analysis for shellac wax emulsion oleogel for the development of an optimal low-fat alternative margarine was found to be 4.29% w/w shellac wax and 24.13% w/w water [].
A microbial oil wax-based oleogel was developed by Aikaterini Papadak et al. []. As oleogelators were used bio-based wax esters derived from microbial oil produced by the oleaginous yeast Rhodosporidium toruloides by enzymatic conversion with lipases. The obtained cetyl ester wax was then used for structuring olive oil to develop an oleogel that was further analyzed in terms of rheological and thermal properties. The results led to the conclusion that this oleogel is proper for application in spreadable fat products, due to its low melting behavior and firmness which was found to be similar to the breakfast margarines on the market [].
A great potential of oleogels is to be a suitable and feasible alternative to commercial margarines obtained by the traditional hydrogenation method, due to their low content of saturated fats and lack of trans fatty acids. In this respect, one recent study has evaluated oleogel-based margarines. Xiuhang Chai et al. [] first developed an oleogel based on high-oleic sunflower oil with beeswax incorporated as an oleogelator in various concentrations (4%, 6%, 8%, 10% wt5), which was subsequently used for preparing the oil phase which was then mixed with the water phase in a ratio of 80:20 (w/w). Rheological and textural properties and microscopic morphology were analyzed and compared with those of classical margarine. The hardness of oleogel-based margarine increased with beeswax concentration, but negative mouth melting was observed at its highest concentration. An important observation revealed that a fast-cooling process imparted higher hardness and superior spreadability to the products compared with the slow-cooling method. In addition, enhanced physical properties were achieved when using a binary blend of oleogelators, meaning China lacquer wax (ZLW) and beeswax (BW) 50:50. The overall conclusion of this research was that the best replacement potential for conventional margarine, in terms of appearance, mouth melting, and mechanical properties, was exhibited by oleogel-based margarine when 5% BW50:ZLW50 was used for oil structuring and the fast-cooling method was applied [].
4.4. Supplementary Uses of Oleogels in Foods
4.4.1. Edible Coatings
Yi Chen et al. [] studied the influence of treating bread crust with several edible oleogel-based coatings, applied to minimize its water loss during storage at ambient temperature. A comparative study was carried out in terms of water migration and bread staling when various treatments were applied to the bread crust, such as gum-based, protein-based, starch-based, ethylcellulose oleogel, wax-based oleogel, and HPMC (hydroxypropyl methylcellulose) oleogel. In all cases, it could be noticed that weight loss and crumb firmness were significantly lower compared to untreated bread. However, the sunflower-oil–oleogel coatings with 20% candelilla or 20% beeswax proved to be the most efficient, due to their low water affinity and permeability to water vapors. Effective results were also obtained when HPMC oleogel coating was applied, probably due to its high oil concentration and very compact structure. The overall conclusion is that the named wax-based oleogels are suitable for use as a water barrier in some other foods with high water content, while cellulose derivatives may constitute viable alternatives [].
For extending shelf life and reducing packaging requirements, some edible coatings in the form of hydrogels (H), oleogels (O), and bigels (BG) were evaluated by Aikaterini Kanelaki et al. [] as regards oxidation delay and microbial spoilage in fresh sardine fillets. In addition, one group of gel (H, O, and BG) coatings was enhanced with rosemary extract (RE) as an antioxidant agent. The reported results demonstrated that the use of gel coatings inhibited lipid oxidation, while the incorporation of RE significantly retarded oxidation processes in this fish product. However, the addition of RE into the gel coatings did not show any changes in the growth of microorganisms during storage. The embedding of RE in the oleogel as part of the bigel proved to be the most suitable coating option for sardine fillets in terms of quality maintenance under refrigeration storage conditions and good potential in bioactive compound delivery [].
4.4.2. Delivery Systems of Bioactive Compounds
One of the most interesting applications of oleogels consists in the delivery of bioactive molecules, as they are studied to be efficient delivery systems for functional compounds in the human body. Although most studies focus on exploring the incorporation mechanism, behavior, and bioaccessibility of oil-soluble bioactive compounds, there are several studies that address also the integration of water-soluble compounds into such systems, such as emulgels or bigels. Thus, there is a real perspective in exploring lipophilic and hydrophilic functional molecules as components in oleogels and oleogel-based systems, in terms of their production, characterization, degradation mechanism, and absorption during digestion. Moreover, their further applicability in food products is also a challenge to develop innovative foods with additional functional properties [,].
Various functional compounds and their incorporation into oleogels and subsequently into various food products have been studied, and the results are disseminated in recent scientific literature. Sohui Jeong et al. [] tested an antioxidant-fortified oleogel obtained by structuring sunflower oil with candelilla wax enriched with glycerol monostearate (GMS) at a ratio of 1:3 and adding β-carotene (0.02%) (OGB). The fortifying of candelilla wax with GMS led to improved rheological properties of oleogels, such as strength and viscoelasticity, while the addition of β-carotene as an antioxidant resulted in the highest oxidative stability of the designed olegogels. The volume and porosity of OGB-oleogel-formulated muffins that were further developed revealed insignificant differences compared to shortening traditional muffins but a harder texture and the highest oxidative stability [].
Another antioxidant used in the formulation of oleogels is vitamin C, which was studied as an ingredient in margarine production by Xing Wang et al. []. Thus, a vitamin-C-loaded oleogel (VCOG) was developed on a base of corn oil, structured by using monoglyceride stearate as an oleogelator (12% w/w) and further incorporated into margarine as a replacer of its total lipid phase. As regards the oxidative stability of the oleogels, the registered peroxide and p-anisidine values in VCOG were significantly lower than in the oleogel without added vitamin C (p > 0.05). Four commercially available butters were used as controls to evaluate the physical and sensory properties of VCOG. The results reported the lowest levels of solid fats and trans fatty acids, as well as the lowest firmness in VCOG, while unsaturated fatty acid content and stickiness showed the highest levels. The overall impression, together with the scores for texture, appearance, taste, and some textural properties, such as elasticity, cohesiveness, and gumminess, registered similar values to some/all commercial butter (p > 0.05) [].
The loading of oleogels with curcumin, a natural polyphenolic compound with biological properties, has been tested in several studies in terms of oral delivery and release rate. Anashwara Babu et al. [] prepared and characterized new oleogels based on wheat germ oil with jasmine floral wax used as an oleogelator and curcumin loaded and analyzed its oral delivery and release by ex vivo intestinal permeation studies. The results indicated that the designed oleogels achieved the necessary characteristics to modulate curcumin delivery, with potential applications in food and pharmaceutical products []. Moreover, in this regard, Yuanyuan Xu et al. [] developed walnut oil oleogels with different proportions of methylcellulose, prepared by the emulsion method, some of which were loaded with curcumin (0.5 wt%) to serve as delivery systems. Some polysaccharides, such as κ-carrageenan, sodium alginate, and xanthan gum were added as thickening agents. The digestive properties of the curcumin-loaded oleogels were evaluated by in vitro tests. The results showed that the highest encapsulation rate of curcumin (38.06%) was recorded in κ-carrageenan oleogel, which presented a higher inhibitory effect. As an overall conclusion, this study provided suitable systems for the delivery of lipophilic bioactive compounds, namely biopolymer-based walnut oil oleogels, and a new concept of the functional alternative to solid fats [].
Few recent studies have also been conducted regarding the design of different food-grade oleogels as delivery systems for astaxanthin, an agent used as a nutritional supplement primarily due to the unusual antioxidant activity it possesses. The reported results are promising as regards the efficacy of oleogels as delivery materials of astaxanthin, by enhancing its stability and bioaccessibility, but further studies are needed for testing their performance in real food matrices [,].
4.4.3. Culinary Applications
Oleogels have also been tested as a frying medium. For this purpose, the fat absorption behavior of several foods and some resulting sensory characteristics were evaluated. For example, Kelvin Adrah et al. [] studied the oleogel (OG) obtained by structuring canola oil with carnauba wax (5%, 10% w/w), which was subsequently used for deep frying chicken breast for 3–4 min at 177.7 °C. Comparing the fat absorption of chicken breast samples fried in canola oil (15.10%) with the fat absorption of the samples fried in canola-oil-based oleogels, the results registered lower values: 8.53% for OG 5% and 9.15% for OG 10%. The protein and ash contents were not influenced by the frying medium, but the water content was significantly higher in samples fried in oleogel. However, differences were observed in the appearance of all crust-fried samples, such as pore size and fissures, as well as a color variation, probably not detectable by consumers. The textural properties of the samples were not negatively affected by the oleogel frying. Although the results of using oleogels for this purpose are promising, further sensory evaluation of the resulting products is recommended [].
A traditional Indian snack, mathri, has also been studied in terms of deep frying in oleogel to reduce fat uptake and obtain a low-fat product. Thus, as a frying medium were used soybean-oil-based oleogels (OGs) structured with carnauba wax (5%, 10%, and 15%) and soybean refined oil (SO) as control. Fat absorption was lower in the samples deep-fried in oleogel by 27.7% for OG 5%, 22% for OG 10%, and 19.3% for OG 15% than in the control sample deep-fried in soybean oil. At the same time, moisture retention, color, and texture were better in the oleogel-fried samples, while crispiness was similar between the samples fried in OG 15% and the control. The overall conclusion of the study was that deep frying using oleogels in mathri resulted in reduced fat and calorie content, with an emphasis on health benefits. However, further studies are recommended to evaluate different formulations of oleogels in the context of frying conditions [].
Some other applications of frying in oleogels have been reported by Buket Aydeniz-Guneser et al. [], who tested sunflower-oil-based oleogel as an alternative medium for onion ring frying in refined sunflower oil, and Paramee Noonim et al. [], who evaluated the effects of frying instant noodles fortified with salted duck egg white in palm-oil–carnauba wax oleogel compared with the same product traditionally deep-fried in palm oil.
In the first study, sunflower oil was structured with 3% and 8% polyglycerol stearate and further used for deep frying onion rings, which were finally tested in terms of sensorial and textural properties, and the results were compared with those of the control samples. The recorded fat uptake was lower in onion rings fried in oleogels by about 33–37% than in control samples, which generated a reduction also in the energy value of the product with positive consequences in weight gain. Moreover, the textural profile and overall acceptability score were higher than in the control samples [,]. Paramee Noonim et al. [] carried out their study by first elaborating on palm-oil-based oleogels with carnauba wax in different concentrations (5%, 10% w/w), some of which were processed by ultrasonication. These were subsequently tested as a frying medium for instant noodles fortified with salted duck egg white. The consequences of the frying process in various mediums on their physicochemical properties were evaluated and compared with the control. Significant positive effects on the physical and chemical properties of the product were reported when the palm oil oleogel with the highest concentration of carnauba wax and ultrasonicated was used. The cooking yield, cooking time, and textural profile (hardness, firmness, elasticity, tensile strength, and chewability) were improved, while the oil absorption was lowered by using oleogels. Better results were reported for the samples deep-fried in ultrasonication-assisted oleogels, in terms of surface appearance. Finally, the oxidative stability proved to be much higher in noodles fried in oleogels than in oil-fried samples. By corroborating all the results, the general conclusion was that the designed oleogels are suitable alternatives to conventional oil used for deep frying instant noodles fortified with salted duck egg white [].
5. Conclusions and Future Perspectives
Oleogelators are the main components of the oleogelation process. Depending on their structure, concentration, and formulation conditions, the oleogelation mechanism will occur, and properties such as microstructure, oil-binding capacity, and sensorial, rheological, and textural properties will be influenced. Furthermore, the final properties of oleogels can be improved by mixing more oleogelators with synergistic effects or by using nongelling additives together with the oleogelator. However, the choice of a gelator cannot be easily predicted, since the final structure of the oleogel depends on complex interactions between the network structure and the chemical characteristics of the oil.
Oleogels are a promising ingredient for the food industry due to their ability to create structured networks in liquid oils, leading to improved textural and functional properties in food products. However, there are several challenges in developing oleogels for food applications, including the finding of the structuring agents that are Generally Recognized as Safe (GRAS), ensuring that the final food products are safe for consumption without any health risks and exhibit economic viability, palatability, application versatility, and shelf-life stability. Despite these challenges, oleogels have shown great potential for various food applications, and ongoing research and development efforts are being made to unlock the full potential of oleogels in the food industry.
The structuring of edible oils has registered considerable progress in recent years, and the interest in developing suitable oleogels for various products and application in real food matrices is constantly growing. Considering all the aspects discussed in this review, it is obvious that oleogels are a promising alternative to saturated fats in various investigated food products, and other potential foods should be further investigated in this regard. Particular attention should be paid to the sensory properties of oleogel-formulated products so that no significant changes compared to traditional products occur. Moreover, the palatability of the designed products, and therefore the overall consumer acceptance, should not be negatively influenced.
In conclusion, based on the results of several extensive and varied studies, oleogels have shown potential for usage in various food products, including bakery goods, breakfast spreads, margarines, chocolates, and some meat products, due to their ability to improve texture, reduce saturated fat content, enhance shelf stability, and offer flexibility in formulation. However, challenges such as cost considerations, processing challenges, limited applications, and potential sensory changes should be carefully considered when formulating products with oleogels. Further research and development efforts are needed to optimize oleogel formulations and expand their applications in the food industry.
Author Contributions
Conceptualization and writing Abstract, Section 1, Section 4, and Section 5, S.P.-C.; writing Section 2, C.-Ș.U. and I.T.; writing Section 3, B.-D.C.; writing Abstract, Section 1, Section 3, and Section 5, reviewing, editing, and supervision, F.-D.M.; project administration, S.P.-C. All authors have read and agreed to the published version of the manuscript.
Funding
This work was supported by a grant from the Ministry of Research, Innovation and Digitization, CCCDI—UEFISCDI, project number PN-III-P2-2.1-PED-2021-3240, within PNCDI III.
Institutional Review Board Statement
Not applicable.
Informed Consent Statement
Not applicable.
Data Availability Statement
Not applicable.
Conflicts of Interest
The authors declare no conflict of interest.
References
- Jeong, S.; Lee, S.; Oh, I. Development of Antioxidant-Fortified Oleogel and Its Application as a Solid Fat Replacer to Muffin. Foods 2021, 10, 3059. [Google Scholar] [CrossRef] [PubMed]
- Pinto, T.C.; Martins, A.J.; Pastrana, L.; Pereira, M.C.; Cerqueira, M.A. Oleogel-Based Systems for the Delivery of Bioactive Compounds in Foods. Gels 2021, 7, 86. [Google Scholar] [CrossRef] [PubMed]
- Alizadeh, L.; Abdolmaleki, K.; Nayebzadeh, K.; Bahmaei, M. Characterization of sodium caseinate/Hydroxypropyl methylcellulose concentrated emulsions: Effect of mixing ratio, concentration and wax addition. Int. J. Biol. Macromol. 2019, 128, 796–803. [Google Scholar] [CrossRef] [PubMed]
- Brykczynski, H.; Hetzer, B.; Floter, E. An Attempt to Relate Oleogel Properties to Wax Ester Chemical Structures. Gels 2022, 8, 579. [Google Scholar] [CrossRef]
- Buitimea-Cantua, G.V.; Serna-Saldivar, S.O.; Perez-Carrillo, E.; Silva, T.J.; Barrera-Arellano, D.; Buitimea-Cantua, N.E. Effect of quality of carnauba wax (Copernica cerifera) on microstructure, textural, and rheological properties of soybean oil-based organogels. LWT Food Sci. Technol. 2021, 136, 110267. [Google Scholar] [CrossRef]
- De Freitas, C.A.S.; de Sousa, P.H.M.; Soares, D.J.; da Silva, J.Y.G.; Benjamin, S.R.; Guedes, M.I.F. Carnauba wax uses in food—A review. Food Chem. 2019, 291, 38–48. [Google Scholar] [CrossRef]
- Holey, S.A.; Sekhar, K.P.C.; Mishra, S.S.; Kanjilal, S.; Nayak, R.R. Effect of oil unsaturation and wax composition on stability, properties and food applicability of oleogels. J. Am. Oil Chem. Soc. 2021, 98, 1189–1203. [Google Scholar] [CrossRef]
- Mattice, K.D.; Marangoni, A.G. New Insights into Wax Crystal Networks in Oleogels. In Edible Oil Structuring: Concepts, Methods and Applications; Patel, A.R., Ed.; The Royal Society of Chemistry: Cambridge, UK, 2017. [Google Scholar] [CrossRef]
- Noonim, P.; Rajasekaran, B.; Venkatachalam, K. Effect of Palm Oil-Carnauba Wax Oleogel That Processed with Ultrasonication on the Physicochemical Properties of Salted Duck Egg White Fortified Instant Noodles. Gels 2022, 8, 487. [Google Scholar] [CrossRef]
- Zhang, R.F.; Zhang, T.; Hu, M.Y.; Xue, Y.; Xue, C.H. Effects of oleogels prepared with fish oil and beeswax on the gelation behaviors of protein recovered from Alaska Pollock. LWT Food Sci. Technol. 2021, 137, 110423. [Google Scholar] [CrossRef]
- Patel, A.R.; Cludts, N.; Bin Sintang, M.D.; Lesaffer, A.; Dewettinck, K. Edible oleogels based on water soluble food polymers: Preparation, characterization and potential application. Food Funct. 2014, 5, 2833–2841. [Google Scholar] [CrossRef]
- Piekarska, K.; Sikora, M.; Owczarek, M.; Jozwik-Pruska, J.; Wisniewska-Wrona, M. Chitin and Chitosan as Polymers of the Future-Obtaining, Modification, Life Cycle Assessment and Main Directions of Application. Polymers 2023, 15, 793. [Google Scholar] [CrossRef] [PubMed]
- Chen, H.Y.; Zhou, P.W.; Song, C.F.; Jin, G.Y.; Wei, L.J. An approach to manufacturing heat-stable and bloom-resistant chocolate by the combination of oleogel and sweeteners. J. Food Eng. 2022, 330, 111064. [Google Scholar] [CrossRef]
- Wang, X.; Wang, S.; Nan, Y.; Liu, G. Production of Margarines Rich in Unsaturated Fatty Acids Using Oxidative-stable Vitamin C-Loaded Oleogel. J. Oleo Sci. 2021, 70, 1059–1068. [Google Scholar] [CrossRef] [PubMed]
- Contreras-Ramirez, J.I.; Acosta-Gurrola, E.; Rosas-Flores, W.; Gallegos-Infante, J.A.; Toro-Vazquez, J.F. Microstructuring process in oleogels formulated with vegetable oils and monoglycerides: A comparison of non-isothermal nucleation kinetics by spectrophotometric and DSC analysis. J. Am. Oil Chem. Soc. 2023, 12685. [Google Scholar] [CrossRef]
- Contreras-Ramirez, J.I.; Patel, A.R.; Gallegos-Infante, J.A.; Toro-Vazquez, J.F.; Perez-Martinez, J.D.; Rosas-Flores, W.; Gonzalez-Laredo, R.F. Organogel-Based Emulsified Systems, Food Applications, Microstructural and Rheological Features—A Review. Biointerface Res. Appl. Chem. 2022, 12, 1601–1627. [Google Scholar] [CrossRef]
- Du, L.Y.; Jiang, Q.B.; Li, S.Y.; Zhou, Q.; Tan, Y.Q.; Meng, Z. Microstructure evolution and partial coalescence in the whipping process of oleofoams stabilized by monoglycerides. Food Hydrocoll. 2021, 112, 106245. [Google Scholar] [CrossRef]
- Giacintucci, V.; Di Mattia, C.D.; Sacchetti, G.; Flamminii, F.; Gravelle, A.J.; Baylis, B.; Dutcher, J.R.; Marangoni, A.G.; Pittia, P. Ethylcellulose oleogels with extra virgin olive oil: The role of oil minor components on microstructure and mechanical strength. Food Hydrocoll. 2018, 84, 508–514. [Google Scholar] [CrossRef]
- Gu, X.Y.; Du, L.Y.; Meng, Z. Comparative study of natural wax-based W/O emulsion gels: Microstructure and macroscopic properties. Food Res. Int. 2023, 165, 112509. [Google Scholar] [CrossRef]
- Martin-Alfonso, J.E.; Franco, J.M. Influence of polymer reprocessing cycles on the microstructure and rheological behavior of polypropylene/mineral oil oleogels. Polym. Test. 2015, 45, 12–19. [Google Scholar] [CrossRef]
- Matheson, A.B.; Koutsos, V.; Dalkas, G.; Euston, S.; Clegg, P. The microstructure of β-sitosterol: γ-oryzanol edible organogels. Langmuir 2017, 33, 4537–4542. [Google Scholar] [CrossRef]
- Saffold, A.C.; Acevedo, N.C. Development of Novel Rice Bran Wax/Gelatin-Based Biphasic Edible Gels and Characterization of their Microstructural, Thermal, and Mechanical Properties. Food Bioprocess Technol. 2021, 14, 2219–2230. [Google Scholar] [CrossRef]
- Tavernier, I.; Doan, C.D.; Van der Meeren, P.; Heyman, B.; Dewettinck, K. The Potential of Waxes to Alter the Microstructural Properties of Emulsion-Templated Oleogels. Eur. J. Lipid Sci. Technol. 2018, 120, 1700393. [Google Scholar] [CrossRef]
- Wijarnprecha, K.; de Vries, A.; Santiwattana, P.; Sonwai, S.; Rousseau, D. Microstructure and rheology of oleogel-stabilized water-in-oil emulsions containing crystal-stabilized droplets as active fillers. LWT Food Sci. Technol. 2019, 115, 108058. [Google Scholar] [CrossRef]
- De Godoi, K.R.R.; Basso, R.C.; Ming, C.C.; da Selva, A.A.; Cardoso, L.P.; Ribeiro, A.P.B. Crystallization, microstructure and polymorphic properties of soybean oil organogels in a hybrid structuring system. Food Res. Int. 2020, 137, 109460. [Google Scholar] [CrossRef] [PubMed]
- Doan, C.D.; Van de Walle, D.; Dewettinck, K.; Patel, A.R. Evaluating the Oil-Gelling Properties of Natural Waxes in Rice Bran Oil: Rheological, Thermal, and Microstructural Study. J. Am. Oil Chem. Soc. 2015, 92, 801–811. [Google Scholar] [CrossRef]
- Gomez-Mascaraque, L.G.; Tran, C.; O’Callaghan, T.; Hogan, S.A. Use of confocal Raman imaging to understand the microstructure of anhydrous milk fat-based oleogels. Food Struct. 2021, 30, 100228. [Google Scholar] [CrossRef]
- Valoppi, F.; Salmi, A.; Ratilainen, M.; Puranen, T.; Tommiska, O.; Hyvonen, J.; Heikkila, J.; Haeggstrom, E. Ultrasonic standing wave chamber for engineering microstructures of water- and lipid-based materials. Eng. Res. Express 2021, 3, 016002. [Google Scholar] [CrossRef]
- Airoldi, R.; da Silva, T.L.T.; Ract, J.N.R.; Foguel, A.; Colleran, H.L.; Ibrahim, S.A.; da Silva, R.C. Potential use of carnauba wax oleogel to replace saturated fat in ice cream. J. Am. Oil Chem. Soc. 2022, 99, 1085–1099. [Google Scholar] [CrossRef]
- Espert, M.; Wang, Q.; Sanz, T.; Salvador, A. Sunflower Oil-based Oleogel as Fat Replacer in Croissants: Textural and Sensory Characterisation. Food Bioprocess Technol. 2023. [Google Scholar] [CrossRef]
- Franco, D.; Martins, A.J.; Lopez-Pedrouso, M.; Cerqueira, M.A.; Purrinos, L.; Pastrana, L.M.; Vicente, A.A.; Zapata, C.; Lorenzo, J.M. Evaluation of linseed oil oleogels to partially replace pork backfat in fermented sausages. J. Sci. Food Agric. 2020, 100, 218–224. [Google Scholar] [CrossRef]
- Gao, Y.; Li, M.; Zhang, L.; Wang, Z.; Yu, Q.; Han, L. Preparation of rapeseed oil oleogels based on beeswax and its application in beef heart patties to replace animal fat. LWT 2021, 149, 111986. [Google Scholar] [CrossRef]
- Gómez-Estaca, J.; Herrero, A.M.; Herranz, B.; Álvarez, M.D.; Jiménez-Colmenero, F.; Cofrades, S. Characterization of ethyl cellulose and beeswax oleogels and their suitability as fat replacers in healthier lipid pâtés development. Food Hydrocoll. 2019, 87, 960–969. [Google Scholar] [CrossRef]
- Li, Q.N.; Zhang, J.Y.; Zhang, G.J.; Xu, B.C. L-Lysine-Based Gelators for the Formation of Oleogels in Four Vegetable Oils. Molecules 2022, 27, 1369. [Google Scholar] [CrossRef] [PubMed]
- Siraj, N.; Shabbir, M.A.; Ahmad, T.; Sajjad, A.; Khan, M.R.; Khan, M.I.; Butt, M.S. Organogelators as a Saturated Fat Replacer for Structuring Edible Oils. Int. J. Food Prop. 2015, 18, 1973–1989. [Google Scholar] [CrossRef]
- Wolfer, T.L.; Acevedo, N.C.; Prusa, K.J.; Sebranek, J.G.; Tarte, R. Replacement of pork fat in frankfurter-type sausages by soybean oil oleogels structured with rice bran wax. Meat Sci. 2018, 145, 352–362. [Google Scholar] [CrossRef] [PubMed]
- Babu, A.; Sivakumar, G.; Das, A.; Bharti, D.; Qureshi, D.; Habibullah, S.K.; Satheesan, A.; Mohanty, B.; Pal, K.; Maji, S. Preparation and Characterization of Novel Oleogels Using Jasmine Floral Wax and Wheat Germ Oil for Oral Delivery of Curcumin. ACS Omega 2022, 7, 30125–30136. [Google Scholar] [CrossRef]
- Behera, B.; Singh, V.K.; Kulanthaivel, S.; Bhattacharya, M.K.; Paramanik, K.; Banerjee, I.; Pal, K. Physical and mechanical properties of sunflower oil and synthetic polymers based bigels for the delivery of nitroimidazole antibiotic—A therapeutic approach for controlled drug delivery. Eur. Polym. J. 2015, 64, 253–264. [Google Scholar] [CrossRef]
- Kanelaki, A.; Zampouni, K.; Mourtzinos, I.; Katsanidis, E. Hydrogels, Oleogels and Bigels as Edible Coatings of Sardine Fillets and Delivery Systems of Rosemary Extract. Gels 2022, 8, 660. [Google Scholar] [CrossRef]
- Kavimughil, M.; Leena, M.M.; Moses, J.A.; Anandharamakrishnan, C. 3D printed MCT oleogel as a co-delivery carrier for curcumin and resveratrol. Biomaterials 2022, 287, 121616. [Google Scholar] [CrossRef]
- Kodela, S.P.; Pandey, P.M.; Nayak, S.K.; Uvanesh, K.; Anis, A.; Pal, K. Novel agar–stearyl alcohol oleogel-based bigels as structured delivery vehicles. Int. J. Polym. Mater. Polym. Biomater. 2017, 66, 669–678. [Google Scholar] [CrossRef]
- Lupi, F.R.; Gabriele, D.; Baldino, N.; Mijovic, P.; Parisi, O.I.; Puoci, F. Olive oil/policosanol organogels for nutraceutical and drug delivery purposes. Food Funct. 2013, 4, 1512–1520. [Google Scholar] [CrossRef] [PubMed]
- Xu, Y.; Sun, H.; Lv, J.; Wang, Y.; Zhang, Y.; Wang, F. Effects of polysaccharide thickening agent on the preparation of walnut oil oleogels based on methylcellulose: Characterization and delivery of curcumin. Int. J. Biol. Macromol. 2023, 232, 123291. [Google Scholar] [CrossRef]
- Zhao, W.; Wei, Z.; Xue, C.; Meng, Y. Development of food-grade oleogel via the aerogel-templated method: Oxidation stability, astaxanthin delivery and emulsifying application. Food Hydrocoll. 2023, 134, 108058. [Google Scholar] [CrossRef]
- Issara, U. Improvement of Thai Sweet Sausage (Goon Chiang) Properties by Oleogel Made of Rice Bran Wax and Rice Bran Oil: A Textural, Sensorial, and Nutritional Aspect. In Proceedings of the Sriwijaya Conference on Sustainable Environment, Agriculture and Farming System, Palembang, Indonesia, 29 September 2021; IOP: Bristol, UK, 2022; Volume 995. [Google Scholar] [CrossRef]
- Fattore, E.; Massa, E. Dietary fats and cardiovascular health: A summary of the scientific evidence and current debate. Int. J. Food Sci. Nutr. 2018, 69, 916–927. [Google Scholar] [CrossRef] [PubMed]
- Teicholz, N. A short history of saturated fat: The making and unmaking of a scientific consensus. Curr. Opin. Endocrinol. Diabetes Obes. 2023, 30, 65–71. [Google Scholar] [CrossRef] [PubMed]
- Demirkesen, I.; Mert, B. Recent developments of oleogel utilizations in bakery products. Crit. Rev. Food Sci. Nutr. 2020, 60, 2460–2479. [Google Scholar] [CrossRef]
- Moon, K.; Choi, K.O.; Jeong, S.; Kim, Y.W.; Lee, S. Solid Fat Replacement with Canola Oil-Carnauba Wax Oleogels for Dairy-Free Imitation Cheese Low in Saturated Fat. Foods 2021, 10, 1351. [Google Scholar] [CrossRef] [PubMed]
- Yilmaz, E.; Toksoz, B. Flaxseed oil-wax oleogels replacement for tallowfat in sucuk samples provided higher concentrations of polyunsaturated fatty acids and aromatic volatiles. Meat Sci. 2022, 192, 108875. [Google Scholar] [CrossRef]
- Liu, J.; Willför, S.; Xu, C. A review of bioactive plant polysaccharides: Biological activities, functionalization, and biomedical applications. Bioact. Carbohydr. Diet. Fibre 2015, 5, 31–61. [Google Scholar] [CrossRef]
- Nieri, P.; Carpi, S.; Esposito, R.; Costantini, M.; Zupo, V. Bioactive Molecules from Marine Diatoms and Their Value for the Nutraceutical Industry. Nutrients 2023, 15, 464. [Google Scholar] [CrossRef]
- Wang, S.; Chen, K.; Liu, G. Monoglyceride oleogels for lipophilic bioactive delivery—Influence of self-assembled structures on stability and in vitro bioaccessibility of astaxanthin. Food Chem. 2022, 375, 131880. [Google Scholar] [CrossRef] [PubMed]
- Aliasl Khiabani, A.; Tabibiazar, M.; Roufegarinejad, L.; Hamishehkar, H.; Alizadeh, A. Preparation and characterization of carnauba wax/adipic acid oleogel: A new reinforced oleogel for application in cake and beef burger. Food Chem. 2020, 333, 127446. [Google Scholar] [CrossRef] [PubMed]
- Brito, G.B.; Peixoto, V.O.D.; Martins, M.T.; Rosario, D.K.A.; Ract, J.N.; Conte, C.A.; Torres, A.G.; Castelo-Branco, V.N. Development of chitosan-based oleogels via crosslinking with vanillin using an emulsion templated approach: Structural characterization and their application as fat-replacer. Food Struct. 2022, 32, 100264. [Google Scholar] [CrossRef]
- Ghorghi, Z.B.; Yeganehzad, S.; Hesarinejad, M.A.; Faezian, A.; Kutsenkova, V.; Gao, Z.; Nishinari, K.; Nepovinnykh, N. Fabrication of novel hybrid gel based on beeswax oleogel: Application in the compound chocolate formulation. Food Hydrocolloids 2023, 140, 108599. [Google Scholar] [CrossRef]
- Choi, K.O.; Hwang, H.S.; Jeong, S.; Kim, S.; Lee, S. The thermal, rheological, and structural characterization of grapeseed oil oleogels structured with binary blends of oleogelator. Food Sci. 2020, 85, 3432–3441. [Google Scholar] [CrossRef]
- Davidovich-Pinhas, M.; Barbut, S.; Marangoni, A.G. Development, Characterization, and Utilization of Food-Grade Polymer Oleogels. Annu. Rev. Food Sci. Technol. 2016, 7, 65–91. [Google Scholar] [CrossRef]
- Garcia-Ortega, M.L.; Toro-Vazquez, J.F.; Ghosh, S. Development and characterization of structured water-in-oil emulsions with ethyl cellulose oleogels. Food Res. Int. 2021, 150, 15. [Google Scholar] [CrossRef]
- Li, J.X.; Guo, R.H.; Wang, M.X.; Bi, Y.L.; Zhang, H.; Xu, X.B. Development and Characterization of Compound Oleogels Based on Monoglycerides and Edible Waxes. ACS Food Sci. Technol. 2022, 2, 302–314. [Google Scholar] [CrossRef]
- Luo, S.Z.; Hu, X.F.; Jia, Y.J.; Pan, L.H.; Zheng, Z.; Zhao, Y.Y.; Mu, D.D.; Zhong, X.Y.; Jiang, S.T. Camellia oil-based oleogels structuring with tea polyphenol-palmitate particles and citrus pectin by emulsion-templated method: Preparation, characterization and potential application. Food Hydrocoll. 2019, 95, 76–87. [Google Scholar] [CrossRef]
- Martin-Alfonso, J.; Franco, J.M. Formulation and characterization of oleogels based on high-oleic sunflower oil and ethylene vinyl acetate copolymer/polypropylene blends. Polym. Eng. Sci. 2015, 55, 1429–1440. [Google Scholar] [CrossRef]
- Patel, A.R.; Schatteman, D.; De Vos, W.H.; Lesaffer, A.; Dewettinck, K. Preparation and rheological characterization of shellac oleogels and oleogel-based emulsions. J. Colloid Interface Sci. 2013, 411, 114–121. [Google Scholar] [CrossRef] [PubMed]
- Sun, H.; Xu, J.; Lu, X.Z.; Xu, Y.Y.; Regenstein, J.M.; Zhang, Y.; Wang, F.J. Development and characterization of monoglyceride oleogels prepared with crude and refined walnut oil. LWT-Food Sci. Technol. 2022, 154, 112769. [Google Scholar] [CrossRef]
- Sun, P.; Xia, B.; Ni, Z.J.; Wang, Y.; Elam, E.; Thakur, K.; Ma, Y.L.; Wei, Z.J. Characterization of functional chocolate formulated using oleogels derived from beta-sitosterol with gamma-oryzanol/lecithin/stearic acid. Food Chem. 2021, 360, 130017. [Google Scholar] [CrossRef]
- Tsung, K.L.; Ilavsky, J.; Padua, G.W. Formation and Characterization of Zein-Based Oleogels. J. Agric. Food Chem. 2020, 68, 13276–13281. [Google Scholar] [CrossRef]
- Uslu, E.K.; Yilmaz, E. Preparation and characterization of oleogels with tallow and partially hydrolyzed tallow as organogelators. Grasas Aceites 2021, 72, 1192. [Google Scholar] [CrossRef]
- Doan, C.D.; To, C.M.; De Vrieze, M.; Lynen, F.; Danthine, S.; Brown, A.; Dewettinck, K.; Patel, A.R. Chemical profiling of the major components in natural waxes to elucidate their role in liquid oil structuring. Food Chem. 2017, 214, 717–725. [Google Scholar] [CrossRef]
- Gupta, G.; Anjali, K. Environmentally Friendly Beeswax: Properties, Composition, Adulteration, and its Therapeutic Benefits. In Proceedings of the International Conference on Advance Earth Sciences & Foundation Engineering, Mohali, India, 23–24 June 2022; IOP: Bristol, UK, 2023; Volume 1110. [Google Scholar] [CrossRef]
- Mandu, C.C.; Barrera-Arellano, D.; Santana, M.H.A.; Fernandes, G.D. Waxes used as structuring agents for food organogels: A Review. Grasas Aceites 2020, 71, 918. [Google Scholar] [CrossRef]
- Sarkisyan, V.; Frolova, Y.; Sobolev, R.; Kochetkova, A. On the Role of Beeswax Components in the Regulation of Sunflower Oil Oleogel Properties. Food Biophys. 2022. [Google Scholar] [CrossRef]
- Silva, P.M.; Martins, A.J.; Fasolin, L.H.; Vicente, A.A. Modulation and Characterization of Wax-Based Olive Oil Organogels in View of Their Application in the Food Industry. Gels 2021, 7, 12. [Google Scholar] [CrossRef]
- Medic, J.; Atkinson, C.; Hurburgh, C.R. Current Knowledge in Soybean Composition. J. Am. Oil Chem. Soc. 2014, 91, 363–384. [Google Scholar] [CrossRef]
- Hammond, E.G.; Johnson, L.A.; Murphy, P.A. Soybean | Grading and Marketing. In Reference Module in Food Science; Elsevier: Amsterdam, The Netherlands, 2016. [Google Scholar] [CrossRef]
- Madureira, A.R.; Pereira, C.I.; Gomes, A.M.P.; Pintado, M.E.; Xavier Malcata, F. Bovine whey proteins—Overview on their main biological properties. Food Res. Int. 2007, 40, 1197–1211. [Google Scholar] [CrossRef]
- Rabiey, L.; Britten, M. Effect of protein composition on the rheological properties of acid-induced whey protein gels. Food Hydrocoll. 2009, 23, 973–979. [Google Scholar] [CrossRef]
- Marshall, K. Therapeutic applications of whey protein. Altern. Med. Rev. 2004, 9, 136–156. [Google Scholar] [PubMed]
- Giteru, S.G.; Ali, M.A.; Oey, I. Recent progress in understanding fundamental interactions and applications of zein. Food Hydrocoll. 2021, 120, 106948. [Google Scholar] [CrossRef]
- Reineccius, G.; Meng, Y. Chapter 20—Gelatin and other proteins for microencapsulation. In Microencapsulation in the Food Industry, 2nd ed.; Sobel, R., Ed.; Academic Press: Cambridge, MA, USA, 2022; pp. 293–308. [Google Scholar] [CrossRef]
- Mikhailov, O.V. Molecular structure design and soft template synthesis of aza-, oxaaza- and thiaazamacrocyclic metal chelates in the gelatin matrix. Arab. J. Chem. 2017, 10, 47–67. [Google Scholar] [CrossRef]
- Rather, J.A.; Akhter, N.; Ashraf, Q.S.; Mir, S.A.; Makroo, H.A.; Majid, D.; Barba, F.J.; Khaneghah, A.M.; Dar, B.N. A comprehensive review on gelatin: Understanding impact of the sources, extraction methods, and modifications on potential packaging applications. Food Packag. Shelf Life 2022, 34, 100945. [Google Scholar] [CrossRef]
- Wang, Z.; Chandrapala, J.; Truong, T.; Farahnaky, A. Oleogels prepared with low molecular weight gelators: Texture, rheology and sensory properties, a review. Crit. Rev. Food Sci. Nutr. 2022, 1–45. [Google Scholar] [CrossRef]
- Yilmaz, E.; Keskin Uslu, E.; Öz, C. Oleogels of Some Plant Waxes: Characterization and Comparison with Sunflower Wax Oleogel. J. Am. Oil Chem. Soc. 2021, 98, 643–655. [Google Scholar] [CrossRef]
- Tinto, W.F.; Elufioye, T.O.; Roach, J. Waxes. In Pharmacognosy; Badal, S., Delgoda, R., Eds.; Elsevier: Amsterdam, The Netherlands, 2017; pp. 443–455. [Google Scholar] [CrossRef]
- EFSA Panel on Food Additives and Nutrient Sources added to Food (ANS). Scientific Opinion on the re-evaluation of carnauba wax (E 903) as a food additive. EFSA J. 2012, 10, 2880. [Google Scholar] [CrossRef]
- Revised Compendium of Food Additive Specifications Addendum 13. In Proceedings of the Joint FAO/WHO Expert Committee on Food Additives (JECFA) 65th Meeting, Geneva, Switzerland, 7–16 June 2005; ISBN 92-5-105355-3.
- EFSA. Beeswax (E 901) as a glazing agent and as carrier for flavours—Scientific Opinion of the Panel on Food additives, Flavourings, Processing aids and Materials in Contact with Food (AFC). EFSA J. 2007, 5, 615. [Google Scholar] [CrossRef]
- Council, E.P.A.O.T. Regulation (EC) no 1333/2008 of the European Parliament and of the Council. 2008. Available online: https://www.legislation.gov.uk/eur/2008/1333/contents (accessed on 31 March 2023).
- Sarkisyan, V.; Sobolev, R.; Frolova, Y.; Vorobiova, I.; Kochetkova, A. A Study of the Quantitative Relationship between Yield Strength and Crystal Size Distribution of Beeswax Oleogels. Gels 2022, 8, 39. [Google Scholar] [CrossRef] [PubMed]
- Gómez-Estaca, J.; Pintado, T.; Jiménez-Colmenero, F.; Cofrades, S. Assessment of a healthy oil combination structured in ethyl cellulose and beeswax oleogels as animal fat replacers in low-fat, PUFA-enriched pork burgers. Food Bioprocess Technol. 2019, 12, 1068–1081. [Google Scholar] [CrossRef]
- Mohd Hassim, N.A. Characteristics of Sunflower Wax, Carnauba Wax and Beeswax in Palm Superolein Blended Oil. J. Oil Palm Res. 2022, 55. [Google Scholar] [CrossRef]
- Yi, B.; Kim, M.J.; Lee, S.Y.; Lee, J. Physicochemical properties and oxidative stability of oleogels made of carnauba wax with canola oil or beeswax with grapeseed oil. Food Sci. Biotechnol. 2017, 26, 79–87. [Google Scholar] [CrossRef]
- Qiu, H.; Qu, K.; Eun, J.B.; Zhang, H. Analysis of thermal oxidation of different multi-element oleogels based on carnauba wax, beta-sitosterol/lecithin, and ethyl cellulose by classical oxidation determination method combined with the electronic nose. Food Chem. 2023, 405, 134970. [Google Scholar] [CrossRef] [PubMed]
- Martini, S.; An, M.C. Determination of Wax Concentration in Sunflower Seed Oil. J. Am. Oil Chem. Soc. 2000, 77, 1087–1093. [Google Scholar] [CrossRef]
- Doan, C.D.; Tavernier, I.; Sintang, M.D.B.; Danthine, S.; Van de Walle, D.; Rimaux, T.; Dewettinck, K. Crystallization and Gelation Behavior of Low- and High Melting Waxes in Rice Bran Oil: A Case-Study on Berry Wax and Sunflower Wax. Food Biophys. 2016, 12, 97–108. [Google Scholar] [CrossRef]
- Scharfe, M.; Niksch, J.; Floter, E. Influence of Minor Oil Components on Sunflower, Rice Bran, Candelilla, and Beeswax Oleogels. Eur. J. Lipid Sci. Technol. 2022, 124, 2100068. [Google Scholar] [CrossRef]
- Winkler-Moser, J.K.; Anderson, J.; Felker, F.C.; Hwang, H.S. Physical Properties of Beeswax, Sunflower Wax, and Candelilla Wax Mixtures and Oleogels. J. Am. Oil Chem. Soc. 2019, 96, 1125–1142. [Google Scholar] [CrossRef]
- Dassanayake, L.S.K.; Kodali, D.R.; Ueno, S.; Sato, K. Physical Properties of Rice Bran Wax in Bulk and Organogels. J. Am. Oil Chem. Soc. 2009, 86, 1163. [Google Scholar] [CrossRef]
- Marangoni, A.G. Organogels: An Alternative Edible Oil-Structuring Method. J. Am. Oil Chem. Soc. 2012, 89, 749–780. [Google Scholar] [CrossRef]
- Srikaeo, K. Organic Rice Bran Oils in Health. In Wheat and Rice in Disease Prevention and Health; Watson, R.R., Preedy, V.R., Zibadi, S., Eds.; Elsevier: Amsterdam, The Netherlands, 2014; pp. 453–465. [Google Scholar] [CrossRef]
- Ito, J.; Sawada, K.; Ogura, Y.; Xinyi, F.; Rahmania, H.; Mohri, T.; Kohyama, N.; Kwon, E.; Eitsuka, T.; Hashimoto, H.; et al. Definitive evidence of the presence of 24-methylenecycloartanyl ferulate and 24-methylenecycloartanyl caffeate in barley. Sci. Rep. 2019, 9, 12572. [Google Scholar] [CrossRef] [PubMed]
- Chanioti, S.; Katsouli, M.; Tzia, C. β-Sitosterol as a functional bioactive. In A Centum of Valuable Plant Bioactives; Mushtaq, M., Anwar, F., Eds.; Elsevier: Amsterdam, The Netherlands, 2021; pp. 193–212. [Google Scholar] [CrossRef]
- Babu, S.; Jayaraman, S. An update on beta-sitosterol: A potential herbal nutraceutical for diabetic management. Biomed. Pharmacother. 2020, 131, 110702. [Google Scholar] [CrossRef] [PubMed]
- Yang, R.; Xue, L.; Zhang, L.; Wang, X.; Qi, X.; Jiang, J.; Yu, L.; Wang, X.; Zhang, W.; Zhang, Q.; et al. Phytosterol Contents of Edible Oils and Their Contributions to Estimated Phytosterol Intake in the Chinese Diet. Foods 2019, 8, 334. [Google Scholar] [CrossRef]
- Lerma-García, M.J.; Herrero-Martínez, J.M.; Simó-Alfonso, E.F.; Mendonça, C.R.B.; Ramis-Ramos, G. Composition, industrial processing and applications of rice bran γ-oryzanol. Food Chem. 2009, 115, 389–404. [Google Scholar] [CrossRef]
- Bot, A.; Flöter, E. Edible Oil Oleogels Based on Self-assembled β-Sitosterol + γ-Oryzanol Tubules. In Edible Oleogels; Marangoni, A.G., Garti, N., Eds.; Elsevier: Amsterdam, The Netherlands, 2018; pp. 31–63. [Google Scholar] [CrossRef]
- Cantrill, R. Phytosterols, Phytostanols and Their Esters. Chemical and Technical Assessment. In Proceedings of the 69th Joint FAO/WHO Expert Committee on Food Additives (JECFA) Meeting—Chemical and Technical Assessment (CTA), Rome, Italy, 17–26 June 2008. [Google Scholar]
- Bot, A.; Agterof, W.G.M. Structuring of Edible Oils by Mixtures of γ-Oryzanol with β-Sitosterol or Related Phytosterols. J. Am. Oil Chem. Soc. 2006, 83, 513–521. [Google Scholar] [CrossRef]
- Bin Sayeed, M.S.; Karim, S.M.R.; Sharmin, T.; Morshed, M.M. Critical Analysis on Characterization, Systemic Effect, and Therapeutic Potential of Beta-Sitosterol: A Plant-Derived Orphan Phytosterol. Medicines 2016, 3, 29. [Google Scholar] [CrossRef]
- Sawalha, H.; den Adel, R.; Venema, P.; Bot, A.; Floter, E.; van der Linden, E. Organogel-emulsions with mixtures of beta-sitosterol and gamma-oryzanol: Influence of water activity and type of oil phase on gelling capability. J. Agric. Food Chem. 2012, 60, 3462–3470. [Google Scholar] [CrossRef]
- Scharfe, M.; Flöter, E. Oleogelation: From Scientific Feasibility to Applicability in Food Products. Eur. J. Lipid Sci. Technol. 2020, 122, 2000213. [Google Scholar] [CrossRef]
- European Food Safety Authority. Scientific Opinion on the safety of stigmasterol-rich plant sterols as food additive. EFSA J. 2012, 10, 2659. [Google Scholar] [CrossRef]
- Bot, A. Phytosterols. In Encyclopedia of Food Chemistry; Melton, L., Shahidi, F., Varelis, P., Eds.; Academic Press: Oxford, UK, 2019; pp. 225–228. [Google Scholar]
- Patel, M.; Naik, S.N. Gamma-oryzanol from rice bran oil—A review. J. Sci. Ind. Res. 2004, 63, 569–578. [Google Scholar]
- Den Adel, R.; Heussen, P.C.M.; Bot, A. Effect of water on self-assembled tubules in β-sitosterol + γ-oryzanol-based organogels. In Proceedings of the XIV International Conference on Small-Angle Scattering (SAS09), Oxford, UK, 13–18 September 2009; IOP: Bristol, UK, 2010; Volume 247. [Google Scholar] [CrossRef]
- Martins, A.J.; Cerqueira, F.; Vicente, A.A.; Cunha, R.L.; Pastrana, L.M.; Cerqueira, M.A. Gelation Behavior and Stability of Multicomponent Sterol-Based Oleogels. Gels 2022, 8, 37. [Google Scholar] [CrossRef] [PubMed]
- Rosen-Kligvasser, J.; Davidovich-Pinhas, M. The role of hydrogen bonds in TAG derivative-based oleogel structure and properties. Food Chem. 2021, 334, 127585. [Google Scholar] [CrossRef] [PubMed]
- Sagiri, S.S.; Singh, V.K.; Pal, K.; Banerjee, I.; Basak, P. Stearic acid based oleogels: A study on the molecular, thermal and mechanical properties. Mater. Sci. Eng. C Mater. Biol. Appl. 2015, 48, 688–699. [Google Scholar] [CrossRef]
- Sivakanthan, S.; Fawzia, S.; Madhujith, T.; Karim, A. Synergistic effects of oleogelators in tailoring the properties of oleogels: A review. Compr. Rev. Food. Sci. Food Saf. 2022, 21, 3507–3539. [Google Scholar] [CrossRef]
- Feichtinger, A.; Nibbelink, D.G.; Poppe, S.; Bozzo, L.; Landman, J.; Scholten, E. Protein oleogels prepared by solvent transfer method with varying protein sources. Food Hydrocoll. 2022, 132, 107821. [Google Scholar] [CrossRef]
- Tang, C.-H. Globular proteins as soft particles for stabilizing emulsions: Concepts and strategies. Food Hydrocoll. 2020, 103, 105664. [Google Scholar] [CrossRef]
- Li, Y.; Zou, Y.; Que, F.; Zhang, H. Recent advances in fabrication of edible polymer oleogels for food applications. Curr. Opin. Food Sci. 2022, 43, 114–119. [Google Scholar] [CrossRef]
- Nicolai, T. Gelation of food protein-protein mixtures. Adv. Colloid Interface Sci. 2019, 270, 147–164. [Google Scholar] [CrossRef]
- Alipal, J.; Mohd Pu’ad, N.A.S.; Lee, T.C.; Nayan, N.H.M.; Sahari, N.; Basri, H.; Idris, M.I.; Abdullah, H.Z. A review of gelatin: Properties, sources, process, applications, and commercialisation. Mater. Today Proc. 2021, 42, 240–250. [Google Scholar] [CrossRef]
- Zhang, T.; Dou, W.; Zhang, X.; Zhao, Y.; Zhang, Y.; Jiang, L.; Sui, X. The development history and recent updates on soy protein-based meat alternatives. Trends Food Sci. Technol. 2021, 109, 702–710. [Google Scholar] [CrossRef]
- Ma, Y.; Ye, F.; Chen, J.; Ming, J.; Zhou, C.; Zhao, G.; Lei, L. The microstructure and gel properties of linseed oil and soy protein isolate based-oleogel constructed with highland barley β-glucan and its application in luncheon meat. Food Hydrocoll. 2023, 140, 108666. [Google Scholar] [CrossRef]
- Minj, S.; Anand, S. Whey Proteins and Its Derivatives: Bioactivity, Functionality, and Current Applications. Dairy 2020, 1, 233–258. [Google Scholar] [CrossRef]
- Ganju, S.; Gogate, P.R. A review on approaches for efficient recovery of whey proteins from dairy industry effluents. J. Food Eng. 2017, 215, 84–96. [Google Scholar] [CrossRef]
- Meissner, P.M.; Keppler, J.K.; Stockmann, H.; Schwarz, K. Cooxidation of proteins and lipids in whey protein oleogels with different water amounts. Food Chem. 2020, 328, 127123. [Google Scholar] [CrossRef]
- Wang, G.S.; Chen, H.Y.; Wang, L.J.; Zou, Y.; Wan, Z.L.; Yang, X.Q. Formation of protein oleogels via capillary attraction of engineered protein particles. Food Hydrocoll. 2022, 133, 107912. [Google Scholar] [CrossRef]
- Lv, L.-C.; Huang, Q.-Y.; Ding, W.; Xiao, X.-H.; Zhang, H.-Y.; Xiong, L.-X. Fish gelatin: The novel potential applications. J. Funct. Foods 2019, 63, 103581. [Google Scholar] [CrossRef]
- Labowska, M.B.; Cierluk, K.; Jankowska, A.M.; Kulbacka, J.; Detyna, J.; Michalak, I. A Review on the Adaption of Alginate-Gelatin Hydrogels for 3D Cultures and Bioprinting. Materials 2021, 14, 858. [Google Scholar] [CrossRef]
- Shao, P.; Feng, J.; Sun, P.; Xiang, N.; Lu, B.; Qiu, D. Recent advances in improving stability of food emulsion by plant polysaccharides. Food Res. Int. 2020, 137, 109376. [Google Scholar] [CrossRef]
- Ullah, S.; Khalil, A.A.; Shaukat, F.; Song, Y. Sources, Extraction and Biomedical Properties of Polysaccharides. Foods 2019, 8, 304. [Google Scholar] [CrossRef]
- Davidovich-Pinhas, M. Oil structuring using polysaccharides. Curr. Opin. Food Sci. 2019, 27, 29–35. [Google Scholar] [CrossRef]
- Vélez-Erazo, E.M.; Bosqui, K.; Rabelo, R.S.; Kurozawa, L.E.; Hubinger, M.D. High internal phase emulsions (HIPE) using pea protein and different polysaccharides as stabilizers. Food Hydrocoll. 2020, 105, 105775. [Google Scholar] [CrossRef]
- Yang, X.; Li, A.; Li, X.; Sun, L.; Guo, Y. An overview of classifications, properties of food polysaccharides and their links to applications in improving food textures. Trends Food Sci. Technol. 2020, 102, 1–15. [Google Scholar] [CrossRef]
- Nishinari, K.; Fang, Y. Relation between structure and rheological/thermal properties of agar. A mini-review on the effect of alkali treatment and the role of agaropectin. Food Struct. 2017, 13, 24–34. [Google Scholar] [CrossRef]
- Sousa, A.M.M.; Rocha, C.M.R.; Gonçalves, M.P. Chapter 24—Agar. In Handbook of Hydrocolloids, 3rd ed.; Phillips, G.O., Williams, P.A., Eds.; Woodhead Publishing: Sawston, UK, 2021; pp. 731–765. [Google Scholar] [CrossRef]
- BeMiller, J.N. 6—Starches: Molecular and Granular Structures and Properties. In Carbohydrate Chemistry for Food Scientists, 3rd ed.; BeMiller, J.N., Ed.; AACC International Press: Washington, DC, USA, 2019; pp. 159–189. [Google Scholar] [CrossRef]
- Zucca, P.; Fernandez-Lafuente, R.; Sanjust, E. Agarose and Its Derivatives as Supports for Enzyme Immobilization. Molecules 2016, 21, 1577. [Google Scholar] [CrossRef]
- Banas, K.; Harasym, J. Natural Gums as Oleogelators. Int. J. Mol. Sci. 2021, 22, 12977. [Google Scholar] [CrossRef]
- Habibi, H.; Khosravi-Darani, K. Effective variables on production and structure of xanthan gum and its food applications: A review. Biocatal. Agric. Biotechnol. 2017, 10, 130–140. [Google Scholar] [CrossRef]
- Kang, Y.; Li, P.; Zeng, X.; Chen, X.; Xie, Y.; Zeng, Y.; Zhang, Y.; Xie, T. Biosynthesis, structure and antioxidant activities of xanthan gum from Xanthomonas campestris with additional furfural. Carbohydr. Polym. 2019, 216, 369–375. [Google Scholar] [CrossRef]
- Riaz, T.; Iqbal, M.W.; Jiang, B.; Chen, J. A review of the enzymatic, physical, and chemical modification techniques of xanthan gum. Int. J. Biol. Macromol. 2021, 186, 472–489. [Google Scholar] [CrossRef]
- Nsengiyumva, E.M.; Alexandridis, P. Xanthan gum in aqueous solutions: Fundamentals and applications. Int. J. Biol. Macromol. 2022, 216, 583–604. [Google Scholar] [CrossRef]
- Berninger, T.; Dietz, N.; Gonzalez Lopez, O. Water-soluble polymers in agriculture: Xanthan gum as eco-friendly alternative to synthetics. Microb. Biotechnol. 2021, 14, 1881–1896. [Google Scholar] [CrossRef] [PubMed]
- Patel, J.; Maji, B.; Moorthy, N.; Maiti, S. Xanthan gum derivatives: Review of synthesis, properties and diverse applications. RSC Adv. 2020, 10, 27103–27136. [Google Scholar] [CrossRef] [PubMed]
- Patel, A.R.; Rajarethinem, P.S.; Cludts, N.; Lewille, B.; De Vos, W.H.; Lesaffer, A.; Dewettinck, K. Biopolymer-Based Structuring of Liquid Oil into Soft Solids and Oleogels Using Water-Continuous Emulsions as Templates. Langmuir 2015, 31, 2065–2073. [Google Scholar] [CrossRef]
- Gawkowska, D.; Cybulska, J.; Zdunek, A. Structure-Related Gelling of Pectins and Linking with Other Natural Compounds: A Review. Polymers 2018, 10, 762. [Google Scholar] [CrossRef] [PubMed]
- Lara-Espinoza, C.; Carvajal-Millan, E.; Balandran-Quintana, R.; Lopez-Franco, Y.; Rascon-Chu, A. Pectin and Pectin-Based Composite Materials: Beyond Food Texture. Molecules 2018, 23, 942. [Google Scholar] [CrossRef] [PubMed]
- Khamsucharit, P.; Laohaphatanalert, K.; Gavinlertvatana, P.; Sriroth, K.; Sangseethong, K. Characterization of pectin extracted from banana peels of different varieties. Food Sci. Biotechnol. 2018, 27, 623–629. [Google Scholar] [CrossRef]
- Mellinas, C.; Ramos, M.; Jimenez, A.; Garrigos, M.C. Recent Trends in the Use of Pectin from Agro-Waste Residues as a Natural-Based Biopolymer for Food Packaging Applications. Materials 2020, 13, 673. [Google Scholar] [CrossRef]
- Freitas, C.M.P.; Coimbra, J.S.R.; Souza, V.G.L.; Sousa, R.C.S. Structure and Applications of Pectin in Food, Biomedical, and Pharmaceutical Industry: A Review. Coatings 2021, 11, 922. [Google Scholar] [CrossRef]
- Thambiliyagodage, C.; Jayanetti, M.; Mendis, A.; Ekanayake, G.; Liyanaarachchi, H.; Vigneswaran, S. Recent Advances in Chitosan-Based Applications-A Review. Materials 2023, 16, 2073. [Google Scholar] [CrossRef]
- Hu, Z.; Ganzle, M.G. Challenges and opportunities related to the use of chitosan as a food preservative. J. Appl. Microbiol. 2019, 126, 1318–1331. [Google Scholar] [CrossRef]
- Rocha, M.A.M.; Coimbra, M.A.; Nunes, C. Applications of chitosan and their derivatives in beverages: A critical review. Curr. Opin. Food Sci. 2017, 15, 61–69. [Google Scholar] [CrossRef]
- Aranaz, I.; Alcantara, A.R.; Civera, M.C.; Arias, C.; Elorza, B.; Heras Caballero, A.; Acosta, N. Chitosan: An Overview of Its Properties and Applications. Polymers 2021, 13, 3256. [Google Scholar] [CrossRef] [PubMed]
- Kabanov, V.L.; Novinyuk, L.V. Chitosan Application in Food Technology: A Review of Rescent Advances. Food Syst. 2020, 3, 10–15. [Google Scholar] [CrossRef]
- Baraki, S.Y.; Jiang, Y.; Li, X.; Debeli, D.K.; Wang, B.; Feng, X.; Mao, Z.; Sui, X. Stable sunflower oil oleogel from oil/water pickering emulsion with regenerated chitin. LWT 2021, 146, 111483. [Google Scholar] [CrossRef]
- Puscas, A.; Muresan, V.; Muste, S. Application of Analytical Methods for the Comprehensive Analysis of Oleogels—A Review. Polymers 2021, 13, 1934. [Google Scholar] [CrossRef] [PubMed]
- Kim, J.Y.; Yi, B.; Kim, M.-J.; Lee, J. Oxidative stability of solid fats containing ethylcellulose determined based on the headspace oxygen content. Food Sci. Biotechnol. 2014, 23, 1779–1784. [Google Scholar] [CrossRef]
- Opinion of the Scientific Panel on Food Additives, Flavourings, Processing Aids and Materials in Contact with Food (AFC) on a request from the Commission related to Ethyl Cellulose as a food additive. EFSA J. 2004, 2, 35. [CrossRef]
- Ahmadi, P.; Jahanban-Esfahlan, A.; Ahmadi, A.; Tabibiazar, M.; Mohammadifar, M. Development of Ethyl Cellulose-based Formulations: A Perspective on the Novel Technical Methods. Food Rev. Int. 2020, 38, 685–732. [Google Scholar] [CrossRef]
- Wasilewska, K.; Winnicka, K. Ethylcellulose-A Pharmaceutical Excipient with Multidirectional Application in Drug Dosage Forms Development. Materials 2019, 12, 3386. [Google Scholar] [CrossRef]
- Davidovich-Pinhas, M.; Barbut, S.; Marangoni, A.G. Physical structure and thermal behavior of ethylcellulose. Cellulose 2014, 21, 3243–3255. [Google Scholar] [CrossRef]
- Rogers, M.A.; Strober, T.; Bot, A.; Toro-Vazquez, J.F.; Stortz, T.; Marangoni, A.G. Edible oleogels in molecular gastronomy. Int. J. Gastron. Food Sci. 2014, 2, 22–31. [Google Scholar] [CrossRef]
- Fu, H.; Lo, Y.M.; Yan, M.; Li, P.; Cao, Y. Characterization of thermo-oxidative behavior of ethylcellulose oleogels. Food Chem. 2020, 305, 125470. [Google Scholar] [CrossRef] [PubMed]
- Perta-Crisan, S.; Ursachi, C.S.; Chereji, B.D.; Munteanu, F.D. Oleogels-Innovative Technological Solution for the Nutritional Improvement of Meat Products. Foods 2022, 12, 131. [Google Scholar] [CrossRef] [PubMed]
- Zetzl, A.K.; Marangoni, A.G.; Barbut, S. Mechanical properties of ethylcellulose oleogels and their potential for saturated fat reduction in frankfurters. Food Funct. 2012, 3, 327–337. [Google Scholar] [CrossRef]
- Scharfe, M.; Prange, D.; Floter, E. The composition of edible oils modifies beta-sitosterol/gamma-oryzanol oleogels. Part I: Stripped triglyceride oils. J. Am. Oil Chem. Soc. 2022, 99, 43–56. [Google Scholar] [CrossRef]
- Scharfe, M.; Prange, D.; Floter, E. The composition of edible oils modifies beta-sitosterol/gamma-oryzanol oleogels. Part II: Addition of selected minor oil components. J. Am. Oil Chem. Soc. 2022, 99, 57–77. [Google Scholar] [CrossRef]
- Li, F.; Gunenc, A.; Hosseinian, F. Developing emulsion gels by incorporating Jerusalem artichoke inulin and investigating their lipid oxidative stability. Food Prod. Process. Nutr. 2020, 2, 2. [Google Scholar] [CrossRef]
- Zampouni, K.; Soniadis, A.; Moschakis, T.; Biliaderis, C.G.; Lazaridou, A.; Katsanidis, E. Crystalline microstructure and physicochemical properties of olive oil oleogels formulated with monoglycerides and phytosterols. LWT 2022, 154, 112815. [Google Scholar] [CrossRef]
- Kesselman, E.; Shimoni, E. Imaging of Oil/Monoglyceride Networks by Polarizing Near-Field Scanning Optical Microscopy. Food Biophys. 2007, 2, 117–123. [Google Scholar] [CrossRef]
- Chen, C.H.; Van Damme, I.; Terentjev, E.M. Phase behavior of C18 monoglyceride in hydrophobic solutions. Soft Matter 2009, 5, 432–439. [Google Scholar] [CrossRef]
- Giacomozzi, A.S.; Carrín, M.E.; Palla, C.A. Storage Stability of Oleogels Made from Monoglycerides and High Oleic Sunflower Oil. Food Biophys. 2021, 16, 306–316. [Google Scholar] [CrossRef]
- Pang, M.; Shi, Z.; Lei, Z.; Ge, Y.; Jiang, S.; Cao, L. Structure and thermal properties of beeswax-based oleogels with different types of vegetable oil. Grasas Aceites 2020, 71, 11. [Google Scholar] [CrossRef]
- Öğütcü, M.; Arifoğlu, N.; Yılmaz, E. Preparation and Characterization of Virgin Olive Oil-Beeswax Oleogel Emulsion Products. J. Am. Oil Chem. Soc. 2015, 92, 459–471. [Google Scholar] [CrossRef]
- Frolova, Y.; Sarkisyan, V.; Sobolev, R.; Makarenko, M.; Semin, M.; Kochetkova, A. The Influence of Edible Oils’ Composition on the Properties of Beeswax-Based Oleogels. Gels 2022, 8, 48. [Google Scholar] [CrossRef] [PubMed]
- Da Silva, T.L.T.; Arellano, D.B.; Martini, S. Effect of Water Addition on Physical Properties of Emulsion Gels. Food Biophys. 2019, 14, 30–40. [Google Scholar] [CrossRef]
- Liao, Z.Y.; Guo, S.L.; Lu, M.W.; Xiao, J.; Cao, Y.; Lan, Y.Q. Tailoring Water-Induced Multi-Component (Ceramide and Lecithin) Oleogels: Influence of Solute Added in Water. Food Biophys. 2022, 17, 84–92. [Google Scholar] [CrossRef]
- Papadaki, A.; Cipolatti, E.P.; Aguieiras, E.C.G.; Cerqueira Pinto, M.C.; Kopsahelis, N.; Freire, D.M.G.; Mandala, I.; Koutinas, A.A. Development of Microbial Oil Wax-Based Oleogel with Potential Application in Food Formulations. Food Bioprocess Technol. 2019, 12, 899–909. [Google Scholar] [CrossRef]
- Fayaz, G.; Calligaris, S.; Nicoli, M.C. Comparative Study on the Ability of Different Oleogelators to Structure Sunflower Oil. Food Biophys. 2019, 15, 42–49. [Google Scholar] [CrossRef]
- Jiang, Z.B.; Bai, X.P. Effects of Polysaccharide Concentrations on the Formation and Physical Properties of Emulsion-Templated Oleogels. Molecules 2022, 27, 5391. [Google Scholar] [CrossRef]
- Yao, Y.P.; Zhou, H.; Liu, W.T.; Li, C.M.; Wang, S. The Effect of Cooling Rate on the Microstructure and Macroscopic Properties of Rice Bran Wax Oleogels. J. Oleo Sci. 2021, 70, 135–143. [Google Scholar] [CrossRef]
- Liu, W.T.; Liu, D.; Yao, Y.P.; Li, C.M. Effects of Low-melting-point Fractions of Cocoa Butter on Rice Bran Wax-corn Oil Mixtures: Thermal, Crystallization and Rheological Properties. J. Oleo Sci. 2021, 70, 491–502. [Google Scholar] [CrossRef] [PubMed]
- Patel, A.R.; Babaahmadi, M.; Lesaffer, A.; Dewettinck, K. Rheological Profiling of Organogels Prepared at Critical Gelling Concentrations of Natural Waxes in a Triacylglycerol Solvent. J. Agric. Food Chem. 2015, 63, 4862–4869. [Google Scholar] [CrossRef] [PubMed]
- Floter, E.; Wettlaufer, T.; Conty, V.; Scharfe, M. Oleogels-Their Applicability and Methods of Characterization. Molecules 2021, 26, 1673. [Google Scholar] [CrossRef] [PubMed]
- Plazzotta, S.; Jung, I.; Schroeter, B.; Subrahmanyam, R.P.; Smirnova, I.; Calligaris, S.; Gurikov, P.; Manzocco, L. Conversion of Whey Protein Aerogel Particles into Oleogels: Effect of Oil Type on Structural Features. Polymers 2021, 13, 4063. [Google Scholar] [CrossRef]
- Park, C.; Jimenez-Flores, R.; Maleky, F. Quantifications of Oleocolloid Matrices Made of Whey Protein and Oleogels. Foods 2020, 9, 1697. [Google Scholar] [CrossRef]
- Kupiec, M.; Zbikowska, A.; Marciniak-Lukasiak, K.; Kowalska, M. Rapeseed Oil in New Application: Assessment of Structure of Oleogels Based on their Physicochemical Properties and Microscopic Observations. Agriculture 2020, 10, 211. [Google Scholar] [CrossRef]
- Li, J.; Yu, H.; Yang, Y.; Drummond, C.J.; Conn, C.E. Effect of Crystallization State on the Gel Properties of Oleogels Based on β-sitosterol. Food Biophys. 2020, 16, 48–57. [Google Scholar] [CrossRef]
- Yang, S.; Zhu, M.P.; Wang, N.; Cui, X.T.; Xu, Q.; Saleh, A.S.M.; Duan, Y.M.; Xiao, Z.G. Influence of Oil Type on Characteristics of -Sitosterol and Stearic Acid Based Oleogel. Food Biophys. 2018, 13, 362–373. [Google Scholar] [CrossRef]
- Wang, Y.; Selomulya, C. Food rheology applications of large amplitude oscillation shear (LAOS). Trends Food Sci. Technol. 2022, 127, 221–244. [Google Scholar] [CrossRef]
- Wang, L.; Wen, Y.; Su, C.; Gao, Y.; Li, Q.; Du, S.; Yu, X. Effect of water content on the physical properties and structure of walnut oleogels. RSC Adv. 2022, 12, 8987–8995. [Google Scholar] [CrossRef]
- Toro-Vazquez, J.F.; Bello-Santillan, M.F.; De la Pena-Gil, A.; Aguilar-Zarate, M.; Charo-Alonso, M.A. Vegetable and mineral oil oleogels developed at different monoglyceride to lecithin molar ratios. J. Am. Oil Chem. Soc. 2022, 99, 951–969. [Google Scholar] [CrossRef]
- De Vries, A.; Jansen, D.; van der Linden, E.; Scholten, E. Tuning the rheological properties of protein-based oleogels by water addition and heat treatment. Food Hydrocoll. 2018, 79, 100–109. [Google Scholar] [CrossRef]
- Bin Sintang, M.D.; Rimaux, T.; Van de Walle, D.; Dewettinck, K.; Patel, A.R. Oil structuring properties of monoglycerides and phytosterols mixtures. Eur. J. Lipid Sci. Technol. 2017, 119, 1500517. [Google Scholar] [CrossRef]
- Doan, C.D.; Patel, A.R.; Tavernier, I.; De Clercq, N.; Van Raemdonck, K.; Van de Walle, D.; Delbaere, C.; Dewettinck, K. The feasibility of wax-based oleogel as a potential co-structurant with palm oil in low-saturated fat confectionery fillings. Eur. J. Lipid Sci. Technol. 2016, 118, 1903–1914. [Google Scholar] [CrossRef]
- Guo, S.L.; Song, M.Y.; Gao, X.Y.; Dong, L.L.; Hou, T.; Lin, X.K.; Tan, W.J.; Cao, Y.; Rogers, M.; Lan, Y.Q. Assembly pattern of multicomponent supramolecular oleogel composed of ceramide and lecithin in sunflower oil: Self-assembly or self-sorting? Food Funct. 2020, 11, 7651–7660. [Google Scholar] [CrossRef]
- Han, L.J.; Li, L.; Zhao, L.; Li, B.; Liu, G.Q.; Liu, X.Q.; Wang, X.D. Rheological properties of organogels developed by sitosterol and lecithin. Food Res. Int. 2013, 53, 42–48. [Google Scholar] [CrossRef]
- Heymans, R.; Tavernier, I.; Danthine, S.; Rimaux, T.; Van der Meeren, P.; Dewettinck, K. Food-grade monoglyceride oil foams: The effect of tempering on foamability, foam stability and rheological properties. Food Funct. 2018, 9, 3143–3154. [Google Scholar] [CrossRef]
- Li, S.Y.; Zhu, L.; Wu, G.C.; Jin, Q.Z.; Wang, X.G.; Zhang, H. Relationship between the microstructure and physical properties of emulsifier based oleogels and cookies quality. Food Chem. 2022, 377, 131966. [Google Scholar] [CrossRef]
- Naktiniene, M.; Eisinaite, V.; Kersiene, M.; Jasutiene, I.; Leskauskaite, D. Emulsification and gelation as a tool for iron encapsulation in food-grade systems. LWT Food Sci. Technol. 2021, 149, 111895. [Google Scholar] [CrossRef]
- Plazzotta, S.; Calligaris, S.; Manzocco, L. Structure of oleogels from kappa-carrageenan templates as affected by supercritical-CO2-drying, freeze-drying and lettuce-filler addition. Food Hydrocoll. 2019, 96, 1–10. [Google Scholar] [CrossRef]
- Trujillo-Ramirez, D.; Lobato-Calleros, C.; Vernon-Carter, E.J.; Alvarez-Ramirez, J. Cooling rate, sorbitan and glyceryl monostearate gelators elicit different microstructural, viscoelastic and textural properties in chia seed oleogels. Food Res. Int. 2019, 119, 829–838. [Google Scholar] [CrossRef] [PubMed]
- Fayaz, G.; Polenghi, O.; Giardina, A.; Cerne, V.; Calligaris, S. Structural and rheological properties of medium-chain triacylglyceride oleogels. Int. J. Food Sci. Technol. 2021, 56, 1040–1047. [Google Scholar] [CrossRef]
- Lim, J.; Hwang, H.-S.; Lee, S. Oil-structuring characterization of natural waxes in canola oil oleogels: Rheological, thermal, and oxidative properties. Appl. Biol. Chem. 2016, 60, 17–22. [Google Scholar] [CrossRef]
- Qiu, C.; Huang, Y.; Li, A.; Ma, D.; Wang, Y. Fabrication and Characterization of Oleogel Stabilized by Gelatin-Polyphenol-Polysaccharides Nanocomplexes. J. Agric. Food Chem. 2018, 66, 13243–13252. [Google Scholar] [CrossRef] [PubMed]
- Espert, M.; Hernandez, M.J.; Sanz, T.; Salvador, A. Rheological properties of emulsion templated oleogels based on xanthan gum and different structuring agents. Curr. Res. Food Sci. 2022, 5, 564–570. [Google Scholar] [CrossRef]
- Yılmaz, E.; Öğütcü, M. Properties and Stability of Hazelnut Oil Organogels with Beeswax and Monoglyceride. J. Am. Oil Chem. Soc. 2014, 91, 1007–1017. [Google Scholar] [CrossRef]
- Moradabbasi, M.; Goli, S.A.H.; Fayaz, G. Effect of biopolymers concentration and drying methods on physicochemical properties of emulsion-templated oleogel. J. Food Sci. Technol. 2022, 59, 1994–2003. [Google Scholar] [CrossRef]
- Ghan, S.Y.; Siow, L.F.; Tan, C.P.; Cheong, K.W.; Thoo, Y.Y. Influence of Soya Lecithin, Sorbitan and Glyceryl Monostearate on Physicochemical Properties of Organogels. Food Biophys. 2020, 15, 386–395. [Google Scholar] [CrossRef]
- Parmar, V.; Sharma, R.; Sharma, S.; Singh, B. Recent advances in fabrication of food grade oleogels: Structuring methods, functional properties and technical feasibility in food products. J. Food Meas. Charact. 2022, 16, 4687–4702. [Google Scholar] [CrossRef]
- López-Pedrouso, M.; Lorenzo, J.M.; Gullón, B.; Campagnol, P.C.B.; Franco, D. Novel strategy for developing healthy meat products replacing saturated fat with oleogels. Curr. Opin. Food Sci. 2021, 40, 40–45. [Google Scholar] [CrossRef]
- Ferro, A.C.; de Souza Paglarini, C.; Rodrigues Pollonio, M.A.; Lopes Cunha, R. Glyceryl monostearate-based oleogels as a new fat substitute in meat emulsion. Meat Sci. 2021, 174, 108424. [Google Scholar] [CrossRef] [PubMed]
- Tarté, R.; Paulus, J.S.; Acevedo, N.C.; Prusa, K.J.; Lee, S.-L. High-oleic and conventional soybean oil oleogels structured with rice bran wax as alternatives to pork fat in mechanically separated chicken-based bologna sausage. LWT 2020, 131, 109659. [Google Scholar] [CrossRef]
- Zampouni, K.; Soniadis, A.; Dimakopoulou-Papazoglou, D.; Moschakis, T.; Biliaderis, C.G.; Katsanidis, E. Modified fermented sausages with olive oil oleogel and NaCl–KCl substitution for improved nutritional quality. LWT 2022, 158, 113172. [Google Scholar] [CrossRef]
- Gómez-Estaca, J.; Pintado, T.; Jiménez-Colmenero, F.; Cofrades, S. The effect of household storage and cooking practices on quality attributes of pork burgers formulated with PUFA- and curcumin-loaded oleogels as healthy fat substitutes. LWT 2020, 119, 108909. [Google Scholar] [CrossRef]
- Lopes, R.; Costa, V.; Costa, M.; Paiva-Martins, F. Olive oil oleogels as strategy to confer nutritional advantages to burgers. Food Chem. 2022, 397, 133724. [Google Scholar] [CrossRef] [PubMed]
- Moghtadaei, M.; Soltanizadeh, N.; Goli, S.A.H. Production of sesame oil oleogels based on beeswax and application as partial substitutes of animal fat in beef burger. Food Res. Int. 2018, 108, 368–377. [Google Scholar] [CrossRef]
- Ferrer-González, B.M.; García-Martínez, I.; Totosaus, A. Textural properties, sensory acceptance and fatty acid profile of cooked meat batters employing pumpkin seed paste or soybean oil oleogel as fat replacers. Grasas Aceites 2019, 70, 5182. [Google Scholar] [CrossRef]
- Oh, I.; Lee, J.; Lee, H.G.; Lee, S. Feasibility of hydroxypropyl methylcellulose oleogel as an animal fat replacer for meat patties. Food Res. Int. 2019, 122, 566–572. [Google Scholar] [CrossRef]
- Martins, A.J.; Lorenzo, J.M.; Franco, D.; Pateiro, M.; Dominguez, R.; Munekata, P.E.S.; Pastrana, L.M.; Vicente, A.A.; Cunha, R.L.; Cerqueira, M.A. Characterization of Enriched Meat-Based Pate Manufactured with Oleogels as Fat Substitutes. Gels 2020, 6, 17. [Google Scholar] [CrossRef]
- Manzoor, S.; Masoodi, F.A.; Rashid, R.; Naqash, F.; Ahmad, M. Oleogels for the development of healthy meat products: A review. Appl. Food Res. 2022, 2, 100212. [Google Scholar] [CrossRef]
- Silva-Avellaneda, E.; Bauer-Estrada, K.; Prieto-Correa, R.E.; Quintanilla-Carvajal, M.X. The effect of composition, microfluidization and process parameters on formation of oleogels for ice cream applications. Sci. Rep. 2021, 11, 7161. [Google Scholar] [CrossRef] [PubMed]
- Moriano, M.E.; Alamprese, C. Organogels as novel ingredients for low saturated fat ice creams. LWT 2017, 86, 371–376. [Google Scholar] [CrossRef]
- Nazarewicz, S.; Kozłowicz, K.; Kobus, Z.; Gładyszewska, B.; Matwijczuk, A.; Ślusarczyk, L.; Skrzypek, T.; Sujka, M.; Kozłowicz, N. The Use of Ultrasound in Shaping the Properties of Ice Cream with Oleogel Based on Oil Extracted from Tomato Seeds. Appl. Sci. 2022, 12, 9165. [Google Scholar] [CrossRef]
- Szymanska, I.; Zbikowska, A.; Kowalska, M.; Golec, K. Application of Oleogel and Conventional Fats for Ultrasound-assisted Obtaining of Vegan Creams. J. Oleo Sci. 2021, 70, 1495–1507. [Google Scholar] [CrossRef] [PubMed]
- Colla, K.; Costanzo, A.; Gamlath, S. Fat Replacers in Baked Food Products. Foods 2018, 7, 192. [Google Scholar] [CrossRef] [PubMed]
- Patel, A.R.; Rajarethinem, P.S.; Gredowska, A.; Turhan, O.; Lesaffer, A.; De Vos, W.H.; Van de Walle, D.; Dewettinck, K. Edible applications of shellac oleogels: Spreads, chocolate paste and cakes. Food Funct. 2014, 5, 645–652. [Google Scholar] [CrossRef] [PubMed]
- Bharti, D.; Banerjee, I.; Makowska, A.; Jarzębski, M.; Kowalczewski, P.Ł.; Pal, K. Evaluation of the Effect of Stearyl Alcohol and Span-60 Tuned Sunflower Wax/Sunflower Oil Oleogel on Butter Replacement in Whole Wheat Cake. Appl. Sci. 2023, 13, 1063. [Google Scholar] [CrossRef]
- Malvano, F.; Laudisio, M.; Albanese, D.; d’Amore, M.; Marra, F. Olive Oil-Based Oleogel as Fat Replacer in a Sponge Cake: A Comparative Study and Optimization. Foods 2022, 11, 2643. [Google Scholar] [CrossRef]
- Sim, S.Y.J.; Wong, K.X.; Henry, C.J. Healthier pineapple tart pastry using oleogel-based solid fat replacement. Malays. J. Nutr. 2021, 27, 327–333. [Google Scholar] [CrossRef]
- Wettlaufer, T.; Floter, E. Wax based oleogels and their application in sponge cakes. Food Funct. 2022, 13, 9419–9433. [Google Scholar] [CrossRef]
- Kim, D.; Oh, I. The Characteristic of Insect Oil for a Potential Component of Oleogel and Its Application as a Solid Fat Replacer in Cookies. Gels 2022, 8, 355. [Google Scholar] [CrossRef] [PubMed]
- Li, S.Y.; Wu, G.C.; Li, X.J.; Jin, Q.Z.; Wang, X.G.; Zhang, H. Roles of gelator type and gelation technology on texture and sensory properties of cookies prepared with oleogels. Food Chem. 2021, 356, 129667. [Google Scholar] [CrossRef] [PubMed]
- Jiamjariyatam, R. Rice bran wax shortening process for application in biscuit sticks. Int. Food Res. J. 2022, 29, 814–827. [Google Scholar] [CrossRef]
- Tanislav, A.E.; Pușcaș, A.; Păucean, A.; Mureșan, A.E.; Semeniuc, C.A.; Mureșan, V.; Mudura, E. Evaluation of Structural Behavior in the Process Dynamics of Oleogel-Based Tender Dough Products. Gels 2022, 8, 317. [Google Scholar] [CrossRef]
- Bascuas, S.; Morell, P.; Quiles, A.; Salvador, A.; Hernando, I. Use of Oleogels to Replace Margarine in Steamed and Baked Buns. Foods 2021, 10, 1781. [Google Scholar] [CrossRef] [PubMed]
- Bascuas, S.; Espert, M.; Llorca, E.; Quiles, A.; Salvador, A.; Hernando, I. Structural and sensory studies on chocolate spreads with hydrocolloid-based oleogels as a fat alternative. LWT 2021, 135, 110228. [Google Scholar] [CrossRef]
- Puscas, A.; Tanislav, A.E.; Muresan, A.E.; Farcas, A.C.; Muresan, V. Walnut Oil Oleogels as Milk Fat Replacing System for Commercially Available Chocolate Butter. Gels 2022, 8, 613. [Google Scholar] [CrossRef]
- Espert, M.; Hernández, M.J.; Sanz, T.; Salvador, A. Reduction of saturated fat in chocolate by using sunflower oil-hydroxypropyl methylcellulose based oleogels. Food Hydrocoll. 2021, 120, 106917. [Google Scholar] [CrossRef]
- Tirgarian, B.; Yadegari, H.; Bagheri, A.; Neshagaran, E.; Mardani, M.; Farmani, J. Reduced-fat chocolate spreads developed by water-in-oleogel emulsions. J. Food Eng. 2023, 337, 111233. [Google Scholar] [CrossRef]
- Kim, M.; Hwang, H.S.; Jeong, S.; Lee, S. Utilization of oleogels with binary oleogelator blends for filling creams low in saturated fat. LWT Food Sci. Technol. 2022, 155, 112972. [Google Scholar] [CrossRef]
- Salama, H.H.; Hashim, A.F. A functional spreadable canola and milk proteins oleogels as a healthy system for candy gummies. Sci. Rep. 2022, 12, 12619. [Google Scholar] [CrossRef] [PubMed]
- Puscas, A.; Muresan, V. The Feasibility of Shellac Wax Emulsion Oleogels as Low-Fat Spreads Analyzed by Means of Multidimensional Statistical Analysis. Gels 2022, 8, 749. [Google Scholar] [CrossRef] [PubMed]
- Chai, X.; Zhang, Y.; Shi, Y.; Liu, Y. Crystallization and Structural Properties of Oleogel-Based Margarine. Molecules 2022, 27, 8952. [Google Scholar] [CrossRef] [PubMed]
- Chen, Y.; Gavaliatsis, T.; Kuster, S.; Stadeli, C.; Fischer, P.; Windhab, E.J. Crust treatments to reduce bread staling. Curr. Res. Food Sci. 2021, 4, 182–190. [Google Scholar] [CrossRef] [PubMed]
- Cerqueira, M.A.; Valoppi, F.; Pal, K. Oleogels and Organogels: A Promising Tool for New Functionalities. Gels 2022, 8, 349. [Google Scholar] [CrossRef] [PubMed]
- Adrah, K.; Adegoke, S.C.; Nowlin, K.; Tahergorabi, R. Study of oleogel as a frying medium for deep-fried chicken. J. Food Meas. Charact. 2021, 16, 1114–1123. [Google Scholar] [CrossRef]
- Chauhan, D.S.; Khare, A.; Lal, A.B.; Bebartta, R.P. Utilising oleogel as a frying medium for deep fried Indian traditional product (Mathri) to reduce oil uptake. J. Indian Chem. Soc. 2022, 99, 100378. [Google Scholar] [CrossRef]
- Aydeniz-Guneser, B.; Yilmaz, E. Sunflower Oil-Polyglycerol Stearate Oleogels: Alternative Deep-fat Frying Media for Onion Rings. J. Oleo Sci. 2022, 71, 651–662. [Google Scholar] [CrossRef]
Disclaimer/Publisher’s Note: The statements, opinions and data contained in all publications are solely those of the individual author(s) and contributor(s) and not of MDPI and/or the editor(s). MDPI and/or the editor(s) disclaim responsibility for any injury to people or property resulting from any ideas, methods, instructions or products referred to in the content. |
© 2023 by the authors. Licensee MDPI, Basel, Switzerland. This article is an open access article distributed under the terms and conditions of the Creative Commons Attribution (CC BY) license (https://creativecommons.org/licenses/by/4.0/).











