Fabrication and Characterization of Poly(vinyl alcohol)-chitosan-capped Silver Nanoparticle Hybrid Membranes for Pervaporation Dehydration of Ethanol
Abstract
:1. Introduction
2. Results
2.1. Membrane Characterization
2.1.1. FTIR Studies
2.1.2. Wide-Angle X-ray Diffraction Studies (WAXD)
2.1.3. Thermogravimetric Analysis (TGA)
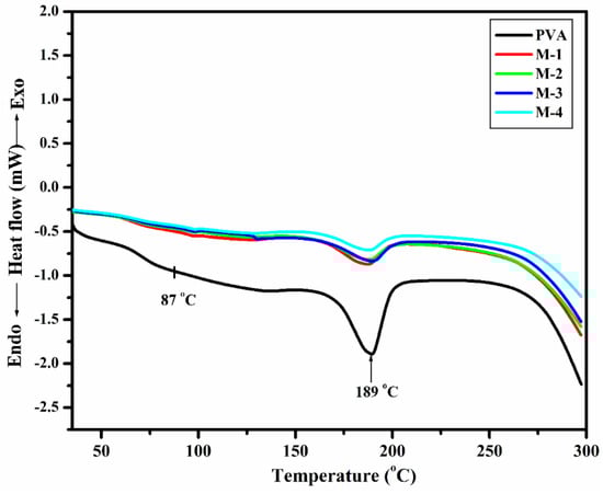
2.1.4. Differential Scanning Colorimetry (DSC)
2.1.5. Scanning Electron Microscopy (SEM)
2.1.6. Contact-Angle Analysis
2.2. Effect of Amount of CS-Capped AgNPs on Membrane Swelling
2.3. Effect of Amount of CS-Capped AgNPs on Pervaporation
2.4. Effect of CS-Capped AgNPs on the Pervaporation-Separation Index (PSI)
2.5. Effect of Temperature on Membrane Performance
3. Conclusions
4. Materials and Methods
4.1. Materials
4.2. Preparation of Chitosan-Capped Silver Nanoparticles
4.3. Membrane Preparation
4.4. Membrane Characterizations
4.5. Pervaporation Experiments
Author Contributions
Funding
Data Availability Statement
Acknowledgments
Conflicts of Interest
References
- Park, J.Y.; Lee, I.H.; Bea, G.N. Optimization of the electrospinning conditions for preparation of nanofibers from polyvinylacetate (PVAc) in ethanol solvent. J. Ind. Eng. Chem. 2008, 14, 707–713. [Google Scholar] [CrossRef]
- Ding, T.; Zhu, J.-J. Microwave heating synthesis of HgS and PbS nanocrystals in ethanol solvent. Mater. Sci. Eng. B 2003, 100, 307–313. [Google Scholar] [CrossRef]
- Lin, Y.; Tanaka, S. Ethanol fermentation from biomass resources: Current state and prospects. Appl. Microbiol. Biotechnol. 2005, 69, 627–642. [Google Scholar] [CrossRef] [PubMed]
- Najafpour, G.; Younesi, H.; Syahidah Ku Ismail, K. Ethanol fermentation in an immobilized cell reactor using Saccharomyces cerevisiae. Bioresour. Technol. 2004, 92, 251–260. [Google Scholar] [CrossRef] [PubMed] [Green Version]
- Yamakawa, C.K.; Rivera, E.C.; Kwon, H.; Agudelo, W.E.H.; Saad, M.B.W.; Leal, J.; Filho, R.M. Study of influence of yeast cells treatment on sugarcane ethanol fermentation: Operating conditions and kinetics. Biochem. Eng. J. 2019, 147, 1–10. [Google Scholar] [CrossRef]
- Sauerbrei, A. Bactericidal and virucidal activity of ethanol and povidone-iodine. Microbiol. Open 2020, 9, e1097. [Google Scholar] [CrossRef]
- Peng, P.; Lan, Y.; Liang, L.; Jia, K. Membranes for bioethanol production by pervaporation. Biotechnol. Biofuels 2021, 14, 10. [Google Scholar] [CrossRef]
- Vane, L.M. A review of pervaporation for product recovery from biomass fermentation processes. J. Chem. Technol. Biotechnol. 2005, 80, 603–629. [Google Scholar] [CrossRef]
- Boudreau, T.M.; Hill, G.A. Improved ethanol–water separation using fatty acids. Process Biochem. 2006, 41, 980–983. [Google Scholar] [CrossRef]
- Huang, H.-J.; Ramaswamy, S.; Tschirner, U.W.; Ramarao, B.V. Separation and purification processes for lignocellulose-to-bioalcohol production. In Bioalcohol Production; Woodhead Publishing: Sawston, UK, 2010; pp. 246–277. [Google Scholar] [CrossRef]
- Wijaya, Y.; Santoso, H.; Hartanto, Y. Process Control for Isopropanol-Water Separation via Azeotropic Distillation with Dividing Wall. In Proceedings of the 2019 6th International Conference on Instrumentation, Control, and Automation (ICA), Sanandaj, Iran, 30–31 October 2019. [Google Scholar] [CrossRef]
- Lakshmy, K.S.; Lal, D.; Nair, A.; Babu, A.; Das, H.; Govind, N.; Dmitrenko, M.; Kuzminova, A.; Korniak, A.; Penkova, A. Pervaporation as a Successful Tool in the Treatment of Industrial Liquid Mixtures. Polymers 2022, 14, 1604. [Google Scholar] [CrossRef]
- Adoor, S.G.; Bhat, S.D.; Dionysiou, D.D.; Nadagouda, M.N.; Aminabhavi, T.M. Pervaporation separation of water–isopropanol mixtures using silicotungstic acid loaded sulfonated poly(ether ether ketone) composite membranes. RSC Adv. 2014, 4, 52571–52582. [Google Scholar] [CrossRef]
- Ji, C.-H.; Xue, S.-M.; Xu, Z.-L. Novel Swelling-Resistant Sodium Alginate Membrane Branching Modified by Glycogen for Highly Aqueous Ethanol Solution Pervaporation. ACS Appl. Mater. Interfaces 2016, 8, 27243–27253. [Google Scholar] [CrossRef] [PubMed]
- Sajjan, A.M.; Premakshi, H.G.; Kariduraganavar, M.Y. Synthesis and characterization of polyelectrolyte complex membranes for the pervaporation separation of water isopropanol mixtures using sodium alginate and gelatin. Polym. Bull. 2016, 75, 851–875. [Google Scholar] [CrossRef]
- Kulkarni, A.S.; Sajjan, A.M.; Ashwini, M.; Banapurmath, N.R.; Ayachit, N.H.; Shirnalli, G.G. Novel fabrication of PSSAMA_Na capped silver nanoparticle embedded sodium alginate membranes for pervaporative dehydration of bioethanol. RSC Adv. 2020, 10, 22645–22655. [Google Scholar] [CrossRef] [PubMed]
- Peng, F.; Pan, F.; Sun, H.; Lu, L.; Jiang, Z. Novel nanocomposite pervaporation membranes composed of poly(vinyl alcohol) and chitosan-wrapped carbon nanotube. J. Membr. Sci. 2007, 300, 13–19. [Google Scholar] [CrossRef]
- Wang, M.; Xing, R.; Wu, H.; Pan, F.; Zhang, J.; Ding, H.; Jiang, Z. Nanocomposite membranes based on alginate matrix and high loading of pegylated POSS for pervaporation dehydration. J. Membr. Sci. 2017, 538, 86–95. [Google Scholar] [CrossRef]
- Dudek, G.; Turczyn, R. New type of alginate/chitosan microparticle membranes for highly efficient pervaporative dehydration of ethanol. RSC Adv. 2018, 8, 39567–39578. [Google Scholar] [CrossRef] [Green Version]
- Unlu, D.; Hilmioglu, N.D. Pervaporation catalytic membrane reactor application over functional chitosan membrane. J. Membr. Sci. 2018, 559, 138–147. [Google Scholar] [CrossRef]
- Gaaz, T.; Sulong, A.; Akhtar, M.; Kadhum, A.; Mohamad, A.; Al-Amiery, A. Properties and Applications of Polyvinyl Alcohol, Halloysite Nanotubes and Their Nanocomposites. Molecules 2015, 20, 22833–22847. [Google Scholar] [CrossRef] [Green Version]
- Abdullah, Z.W.; Dong, Y.; Davies, I.J.; Barbhuiya, S. PVA, PVA Blends, and Their Nanocomposites for Biodegradable Packaging Application. Polym.-Plast. Technol. Eng. 2017, 56, 1307–1344. [Google Scholar] [CrossRef] [Green Version]
- Acton, Q.A. Polyvinyls—Advances in Research and Application: 2013 Edition; Scholarly Editions™: Atlanta, GA, USA, 2013. [Google Scholar]
- Bolto, B.; Tran, T.; Hoang, M.; Xie, Z. Crosslinked poly(vinyl alcohol) membranes. Prog. Polym. Sci. 2009, 34, 969–981. [Google Scholar] [CrossRef]
- Peng, F.; Hu, C.; Jiang, Z. Novel ploy(vinyl alcohol)/carbon nanotube hybrid membranes for pervaporation separation of benzene/cyclohexane mixtures. J. Membr. Sci. 2007, 297, 236–242. [Google Scholar] [CrossRef]
- Sajjan, A.M.; Jeevan Kumar, B.K.; Kittur, A.A.; Kariduraganavar, M.Y. Novel approach for the development of pervaporation membranes using sodium alginate and chitosan-wrapped multiwalled carbon nanotubes for the dehydration of isopropanol. J. Membr. Sci. 2013, 425-426, 77–88. [Google Scholar] [CrossRef]
- Prasad, C.V.; Sudhakar, H.; Yerri Swamy, B.; Reddy, G.V.; Reddy, C.L.N.; Suryanarayana, C.; Rao, K.C. Miscibility studies of sodium carboxymethylcellulose/poly(vinyl alcohol) blend membranes for pervaporation dehydration of isopropyl alcohol. J. Appl. Polym. Sci. 2010, 120, 2271–2281. [Google Scholar] [CrossRef]
- Alghezawi, N.; Şanlı, O.; Aras, L.; Asman, G. Separation of acetic acid–water mixtures through acrylonitrile grafted poly(vinyl alcohol) membranes by pervaporation. Chem. Eng. Process. Process Intensif. 2005, 44, 51–58. [Google Scholar] [CrossRef]
- Shea, K.J.; Loy, D.A. Bridged Polysilsesquioxanes. Molecular-Engineered Hybrid Organic−Inorganic Materials. Chem. Mater. 2001, 13, 3306–3319. [Google Scholar] [CrossRef]
- Sanchez, C.; Julián, B.; Belleville, P.; Popall, M. Applications of hybrid organic–inorganic nanocomposites. J. Mater. Chem. 2005, 15, 3559. [Google Scholar] [CrossRef]
- Cot, L.; Ayral, A.; Durand, J.; Guizard, C.; Hovnanian, N.; Julbe, A.; Larbot, A. Inorganic membranes and solid state sciences. Solid State Sci. 2000, 2, 313–334. [Google Scholar] [CrossRef]
- Wang, J.; Li, M.; Zhou, S.; Xue, A.; Zhang, Y.; Zhao, Y.; Zhong, J. Controllable construction of polymer/inorganic interface for poly(vinyl alcohol)/graphitic carbon nitride hybrid pervaporation membranes. Chem. Eng. Sci. 2018, 181, 237–250. [Google Scholar] [CrossRef]
- Peng, F.; Lu, L.; Sun, H.; Pan, F.; Jiang, Z. Organic−Inorganic Hybrid Membranes with Simultaneously Enhanced Flux and Selectivity. Ind. Eng. Chem. Res. 2007, 46, 2544–2549. [Google Scholar] [CrossRef]
- Xia, L.L.; Li, C.L.; Wang, Y. In-situ crosslinked PVA/organosilica hybrid membranes for pervaporation separations. J. Membr. Sci. 2016, 498, 263–275. [Google Scholar] [CrossRef]
- Kalahal, P.B.; Kulkarni, A.S.; Sajjan, A.M.; Khan, T.M.Y.; Anjum Badruddin, I.; Kamangar, S.; Marakatti, V.S. Fabrication and Physicochemical Study of B2SA-Grafted Poly(vinyl Alcohol)–Graphene Hybrid Membranes for Dehydration of Bioethanol by Pervaporation. Membranes 2021, 11, 110. [Google Scholar] [CrossRef] [PubMed]
- Krajewska, B. Diffusion of metal ions through gel chitosan membranes. React. Funct. Polym. 2001, 47, 37–47. [Google Scholar] [CrossRef]
- Yi, Y.; Wang, Y.; Ye, F. Synthesis and properties of diethylene triamine derivative of chitosan. Colloids Surf. A Physicochem. Eng. Asp. 2006, 277, 69–74. [Google Scholar] [CrossRef]
- Donia, A.M.; Atia, A.A.; Elwakeel, K.Z. Recovery of gold(III) and silver(I) on a chemically modified chitosan with magnetic properties. Hydrometallurgy 2007, 87, 197–206. [Google Scholar] [CrossRef]
- Fan, L.; Luo, C.; Lv, Z.; Lu, F.; Qiu, H. Removal of Ag+ from water environment using a novel magnetic thiourea-chitosan imprinted Ag+. J. Hazard. Mater. 2011, 194, 193–201. [Google Scholar] [CrossRef]
- Guan, B.; Ni, W.; Wu, Z.; Lai, Y. Removal of Mn(II) and Zn(II) ions from flue gas desulfurization wastewater with water-soluble chitosan. Sep. Purif. Technol. 2009, 65, 269–274. [Google Scholar] [CrossRef]
- Murugesan, A.; Ravikumar, L.; SathyaSelvaBala, V.; SenthilKumar, P.; Vidhyadevi, T.; Kirupha, S.D.; Sivanesan, S. Removal of Pb(II), Cu(II) and Cd(II) ions from aqueous solution using polyazomethineamides: Equilibrium and kinetic approach. Desalination 2011, 271, 199–208. [Google Scholar] [CrossRef]
- Gurunathan, S.; Park, J.H.; Han, J.W.; Kim, J.-H. Comparative assessment of the apoptotic potential of silver nanoparticles synthesized by Bacillus tequilensis and Calocybe indica in MDA-MB-231 human breast cancer cells: Targeting p53 for anticancer therapy. Int. J. Nanomed. 2015, 10, 4203. [Google Scholar] [CrossRef] [Green Version]
- Li, W.-R.; Xie, X.-B.; Shi, Q.-S.; Zeng, H.-Y.; OU-Yang, Y.-S.; Chen, Y.-B. Antibacterial activity and mechanism of silver nanoparticles on Escherichia coli. Appl. Microbiol. Biotechnol. 2009, 85, 1115–1122. [Google Scholar] [CrossRef]
- Mukherjee, P.; Ahmad, A.; Mandal, D.; Senapati, S.; Sainkar, S.R.; Khan, M.I.; Sastry, M. Fungus-Mediated Synthesis of Silver Nanoparticles and Their Immobilization in the Mycelial Matrix: A Novel Biological Approach to Nanoparticle Synthesis. Nano Lett. 2001, 1, 515–519. [Google Scholar] [CrossRef]
- Yang, Z.; Guo, H.; Yao, Z.; Mei, Y.; Tang, C.Y. Hydrophilic Silver Nanoparticles Induce Selective Nanochannels in Thin Film Nanocomposite Polyamide Membranes. Environ. Sci. Technol. 2019, 53, 5301–5308. [Google Scholar] [CrossRef] [PubMed]
- Sajjan, A.M.; Kariduraganavar, M.Y. Development of novel membranes for PV separation of water–isopropanol mixtures using poly(vinyl alcohol) and gelatin. J. Membr. Sci. 2013, 438, 8–17. [Google Scholar] [CrossRef]
- Vimala, K.; Yallapu, M.M.; Varaprasad, K.; Reddy, N.N.; Ravindra, S.; Naidu, N.S.; Raju, K.M. Fabrication of Curcumin Encapsulated Chitosan-PVA Silver Nanocomposite Films for Improved Antimicrobial Activity. J. Biomater. Nanobiotechnol. 2011, 2, 55–64. [Google Scholar] [CrossRef] [Green Version]
- Sajjan, A.M.; Premakshi, H.G.; Kariduraganavar, M.Y. Synthesis and characterization of GTMAC grafted chitosan membranes for the dehydration of low water content isopropanol by pervaporation. J. Ind. Eng. Chem. 2015, 25, 151–161. [Google Scholar] [CrossRef]
- Cheng, P.-I.; Hong, P.-D.; Lee, K.-R.; Lai, J.-Y.; Tsai, Y.-L. High permselectivity of networked PVA/GA/CS-Ag+-membrane for dehydration of Isopropanol. J. Membr. Sci. 2018, 564, 926–934. [Google Scholar] [CrossRef]
- Binsu, V.V.; Nagarale, R.K.; Shahi, V.K.; Ghosh, P.K. Studies on N-methylene phosphonic chitosan/poly(vinyl alcohol) composite proton-exchange membrane. React. Funct. Polym. 2006, 66, 1619–1629. [Google Scholar] [CrossRef]
- Selim, A.; Valentínyi, N.; Nagy, T.; Toth, A.J.; Fozer, D.; Haaz, E.; Mizsey, P. Effect of silver-nanoparticles generated in poly(vinyl alcohol) membranes on ethanol dehydration via pervaporation. Chin. J. Chem. Eng. 2018, 27, 1595–1607. [Google Scholar] [CrossRef]
- Dudek, G.; Turczyn, R.; Konieczny, K. Robust poly(vinyl alcohol) membranes containing chitosan/chitosan derivatives microparticles for pervaporative dehydration of ethanol. Sep. Purif. Technol. 2020, 234, 116094. [Google Scholar] [CrossRef]
- Burshe, M.C.; Sawant, S.B.; Joshi, J.B.; Pangarkar, V.G. Sorption and permeation of binary water–alcohol systems through PVA membranes crosslinked with multifunctional crosslinking agents. Sep. Purif. Technol. 1997, 12, 145–156. [Google Scholar] [CrossRef]
- Namboodiri, V.V.; Ponangi, R.; Vane, L.M. A novel hydrophilic polymer membrane for the dehydration of organic solvents. Eur. Polym. J. 2006, 42, 3390–3393. [Google Scholar] [CrossRef]
- Krishna Rao, K.S.V.; Subha, M.C.; Sairam, M.; Mallikarjuna, N.N.; Aminabhavi, T.M. Blend membranes of chitosan and poly(vinyl alcohol) in pervaporation dehydration of isopropanol and tetrahydrofuran. J. Appl. Polym. Sci. 2007, 103, 1918–1926. [Google Scholar] [CrossRef]
- Kulkarni, A.S.; Sajjan, A.M.; Khan, T.M.Y.; Badruddin, I.A.; Kamangar, S.; Banapurmath, N.R.; Ayachit, N.H.; Ashwini, M.; Sharanappa, A. Development and Characterization of Biocompatible Membranes from Natural Chitosan and Gelatin for Pervaporative Separation of Water–Isopropanol Mixture. Polymers 2021, 13, 2868. [Google Scholar] [CrossRef] [PubMed]
- Baker, R.W.; Wijmans, J.G.; Huang, Y. Permeability, permeance and selectivity: A preferred way of reporting pervaporation performance data. J. Membr. Sci. 2010, 348, 346–352. [Google Scholar] [CrossRef]












| Membrane | Temperature (°C) | J (kg/m2 h) | αSep | Pi/l (GPU) |
|---|---|---|---|---|
| M | 30 | 0.0844 ± 0.0022 | 1557.67 ± 11.68 | 1688.00 |
| 40 | 0.0891 ± 0.0015 | 1412.00 ± 8.00 | 1781.33 | |
| 50 | 0.0922 + 0.0010 | 1378.67 + 6.11 | 1843.33 | |
| M-1 | 30 | 0.0949 ± 0.0008 | 2238.33 ± 7.64 | 1897.33 |
| 40 | 0.1030 ± 0.0010 | 2028.33 ± 6.51 | 2060.00 | |
| 50 | 0.1078 ± 0.0003 | 1912.00 ± 4.00 | 2155.33 | |
| M-2 | 30 | 0.1060 ± 0.0005 | 2425.67 ± 6.03 | 2077.28 |
| 40 | 0.1083 ± 0.0005 | 2192.00 ± 5.29 | 2123.53 | |
| 50 | 0.1134 ± 0.0004 | 2045.67 ± 6.03 | 2222.88 | |
| M-3 | 30 | 0.1152 ± 0.0004 | 2807.33 ± 6.43 | 2259.48 |
| 40 | 0.1211 ± 0.0005 | 2407.67 ± 7.64 | 2374.51 | |
| 50 | 0.1285 ± 0.0003 | 2258.00 ± 4.00 | 2519.61 | |
| M-4 | 30 | 0.1240 ± 0.0020 | 3612.33 ± 6.03 | 2384.62 |
| 40 | 0.1310 ± 0.0036 | 2937.00 ± 6.24 | 2519.23 | |
| 50 | 0.1333 ± 0.0050 | 2449.67 ± 7.09 | 2564.10 |
| Source of Variation | Degree of Freedom (df) | Sum of Squares (SS) | Mean Squares (MS) | F | p-Value | F Crit. |
|---|---|---|---|---|---|---|
| Total Permeation Flux | ||||||
| Type of Membrane (M) | 4 | 0.009358 | 0.002339 | 659.0334 | 9.29 × 10−29 | 2.689628 |
| Temperature(T) | 2 | 0.000773 | 0.000386 | 108.8769 | 1.76 × 10−14 | 3.31583 |
| Interaction (M × T) | 8 | 6.66 × 10−5 | 8.33 × 10−6 | 2.346156 | 0.043261 | 2.266163 |
| Error | 30 | 0.000106 | 3.55 × 10−6 | |||
| Selectivity | ||||||
| Type of Membrane (M) | 4 | 11,681,129 | 2,920,282 | 62,906.99 | 2.23 × 10−58 | 2.689628 |
| Temperature (T) | 2 | 2,077,327 | 1,038,663 | 22,374.27 | 2.46 × 10−48 | 3.31583 |
| Interaction (M × T) | 8 | 890,847.7 | 111,356 | 2398.764 | 6.46 × 10−40 | 2.266163 |
| Error | 30 | 1392.667 | 46.42222 | |||
Publisher’s Note: MDPI stays neutral with regard to jurisdictional claims in published maps and institutional affiliations. |
© 2022 by the authors. Licensee MDPI, Basel, Switzerland. This article is an open access article distributed under the terms and conditions of the Creative Commons Attribution (CC BY) license (https://creativecommons.org/licenses/by/4.0/).
Share and Cite
Naik, M.L.; Sajjan, A.M.; Yunus Khan, T.M.; M, A.; Achappa, S.; Banapurmath, N.R.; Ayachit, N.H.; Abdelmohimen, M.A.H. Fabrication and Characterization of Poly(vinyl alcohol)-chitosan-capped Silver Nanoparticle Hybrid Membranes for Pervaporation Dehydration of Ethanol. Gels 2022, 8, 401. https://doi.org/10.3390/gels8070401
Naik ML, Sajjan AM, Yunus Khan TM, M A, Achappa S, Banapurmath NR, Ayachit NH, Abdelmohimen MAH. Fabrication and Characterization of Poly(vinyl alcohol)-chitosan-capped Silver Nanoparticle Hybrid Membranes for Pervaporation Dehydration of Ethanol. Gels. 2022; 8(7):401. https://doi.org/10.3390/gels8070401
Chicago/Turabian StyleNaik, Manu L., Ashok M. Sajjan, T. M. Yunus Khan, Ashwini M, Sharanappa Achappa, Nagaraj R. Banapurmath, Narasimha H. Ayachit, and Mostafa A. H. Abdelmohimen. 2022. "Fabrication and Characterization of Poly(vinyl alcohol)-chitosan-capped Silver Nanoparticle Hybrid Membranes for Pervaporation Dehydration of Ethanol" Gels 8, no. 7: 401. https://doi.org/10.3390/gels8070401
APA StyleNaik, M. L., Sajjan, A. M., Yunus Khan, T. M., M, A., Achappa, S., Banapurmath, N. R., Ayachit, N. H., & Abdelmohimen, M. A. H. (2022). Fabrication and Characterization of Poly(vinyl alcohol)-chitosan-capped Silver Nanoparticle Hybrid Membranes for Pervaporation Dehydration of Ethanol. Gels, 8(7), 401. https://doi.org/10.3390/gels8070401

