Influence of Composition and Network Formation Sequence on the Responsive Behavior of Double-Network Hydrogels
Abstract
1. Introduction
2. Results and Discussion
2.1. Hydrogels Composition
2.2. Temperature-Sensitive Behavior
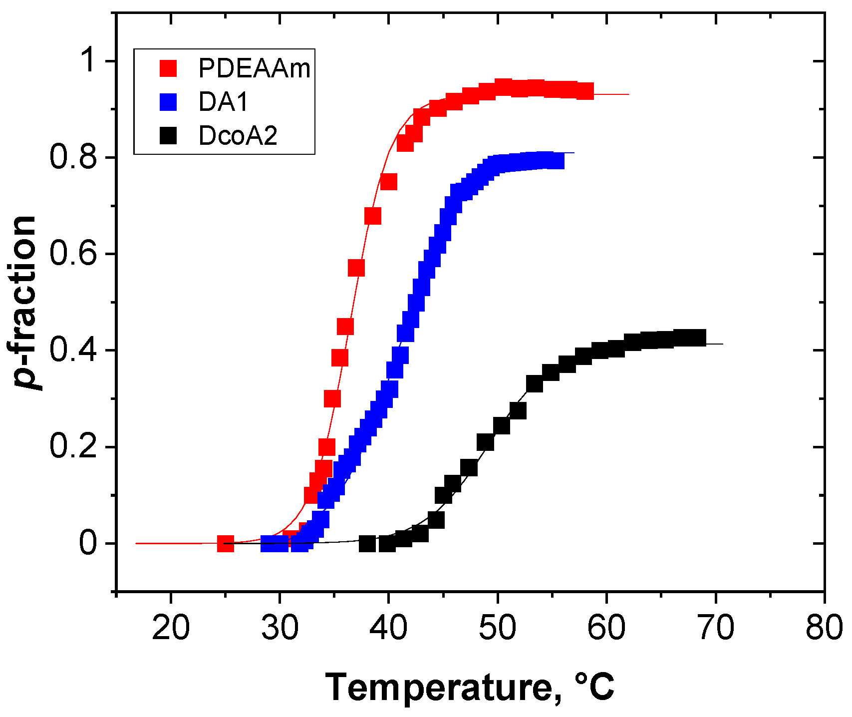
2.2.1. 1H NMR Spectroscopy
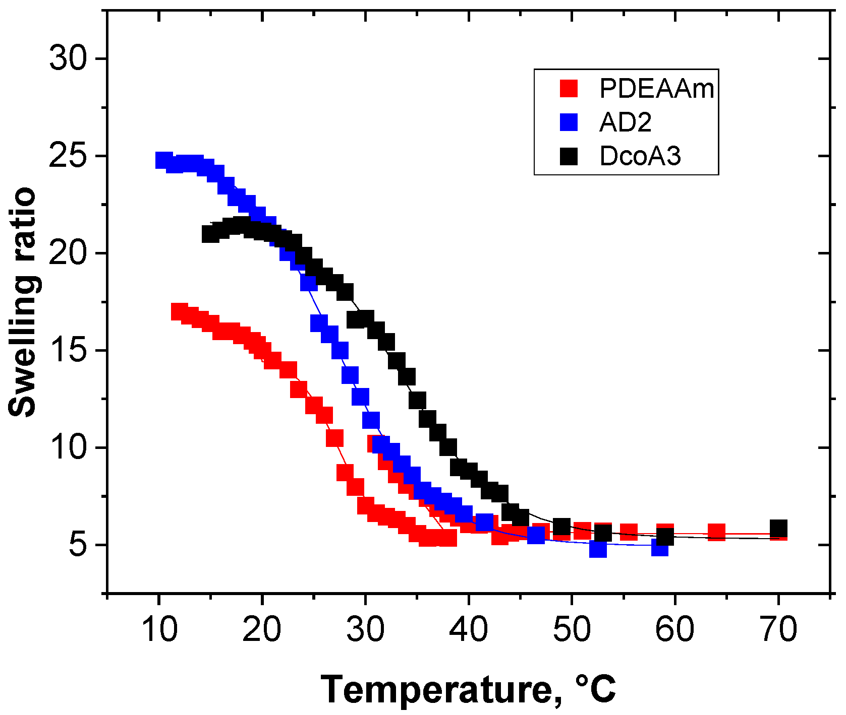
2.2.2. Swelling Experiments
2.3. NMR Relaxation of Water Molecules
2.4. Effect of Solvent Composition
3. Conclusions
4. Materials and Methods
4.1. Chemicals
4.2. Hydrogel Synthesis
4.2.1. DN Hydrogels PDEAAm/PAAm with Various Molar Concentrations of the 2nd Component PAAm
4.2.2. DN Hydrogels PAAm/PDEAAm with Various Molar Concentrations of the 1st Component PAAm
4.2.3. SN Copolymer Hydrogels P(DEAAm-co-AAm) with Various DEAAm/AAm Molar Ratios
4.3. H NMR Spectroscopy
4.4. Swelling Experiments
Author Contributions
Funding
Institutional Review Board Statement
Informed Consent Statement
Data Availability Statement
Conflicts of Interest
Abbreviations
| NMR | Nuclear Magnetic Resonance |
References
- Kwon, H.J.; Osada, Y.; Gong, J.P. Polyelectrolyte gels—Fundamentals and applications. Polym. J. 2006, 38, 1211–1219. [Google Scholar] [CrossRef]
- Herrmann, A.; Haag, R.; Schedler, U. Hydrogels and their role in biosensing applications. Adv. Healthc. Mater. 2021, 8, 626–633. [Google Scholar] [CrossRef] [PubMed]
- Caló, E.; Khutoryanskiy, V.V. Biomedical applications of hydrogels: A review of patents and commercial products. Eur. Polym. J. 2015, 65, 252–267. [Google Scholar] [CrossRef]
- Han, Z.; Wang, P.; Mao, G.; Yin, T.; Zhong, D.; Yiming, B.; Hu, X.; Jia, Z.; Nian, G.; Qu, S.; et al. Dual pH-responsive hydrogel actuator for lipophilic drug delivery. ACS Appl. Mater. Interfaces 2020, 12, 12010–12017. [Google Scholar] [CrossRef]
- Liu, L.; Wang, W.; Ju, X.J.; Xie, R.; Chu, L.Y. Smart thermo-triggered squirting capsules for nanoparticle delivery. Soft Matter 2010, 6, 3759–3763. [Google Scholar] [CrossRef]
- Takashima, Y.; Hatanaka, S.; Otsubo, M.; Nakahata, M.; Kakuta, T.; Hashidzume, A.; Yamaguchi, H.; Harada, A. Expansion–contraction of photoresponsive artificial muscle regulated by host–guest interactions. Nat. Commun. 2012, 3, 1270. [Google Scholar] [CrossRef]
- Roy, D.; Cambre, J.N.; Sumerlin, B.S. Future perspectives and recent advances in stimuli-responsive materials. Prog. Polym. Sci. 2010, 35, 278–301. [Google Scholar] [CrossRef]
- Tang, S.; Olsen, B.D. Controlling topological entanglement in engineered protein hydrogels with a variety of thiol coupling chemistries. Front. Chem. 2014, 2, 23. [Google Scholar] [CrossRef] [PubMed]
- Liu, D.; Yin, G.; Le, X.; Chen, T. Supramolecular topological hydrogels: From material design to applications. Polym. Chem. 2022, 13, 1940–1952. [Google Scholar] [CrossRef]
- Huang, W.; Wang, Y.; McMullen, L.M.; McDermott, M.T.; Deng, H.; Du, Y.; Chen, L.; Zhan, L. Stretchable, tough, self-recoverable, and cytocompatible chitosan/cellulose nanocrystals/polyacrylamide hybrid hydrogels. Carbohydr. Polym. 2019, 222, 114977. [Google Scholar] [CrossRef]
- Rana, M.M.; De la Hoz Siegler, H. Evolution of hybrid hydrogels: Next-generation biomaterials for drug delivery and tissue engineering. Gels 2024, 10, 216. [Google Scholar] [CrossRef]
- Prusty, K.; Patra, S.; Swain, S.K. Nano ZnO imprinted dextran hybrid poly(N-isopropylacrylamide)/polyethylene glycol composite hydrogels for in vitro release of ciprofloxacin. Mater. Today Commun. 2021, 26, 101869. [Google Scholar] [CrossRef]
- Karchoubi, F.; Ghotli, R.A.; Pahlevani, H.; Salehi, M.B. New insights into nanocomposite hydrogels: A review on recent advances in characteristics and applications. Adv. Ind. Eng. Polym. Res. 2024, 7, 54–78. [Google Scholar] [CrossRef]
- Gong, J.P.; Katsuyama, Y.; Kurokawa, T.; Osada, Y. Double-network hydrogels with extremely high mechanical strength. Adv. Mater. 2003, 15, 1155–1158. [Google Scholar] [CrossRef]
- Sun, J.Y.; Zhao, X.; Illeperuma, W.R.K.; Chaudhuri, O.; Oh, K.H.; Mooney, D.J.; Vlassak, J.J.; Suo, Z. Highly stretchable and tough hydrogels. Nature 2012, 489, 133–136. [Google Scholar] [CrossRef] [PubMed]
- Chen, Q.; Chen, H.; Zhu, L.; Zheng, J. Fundamentals of double network hydrogels. J. Mater. Chem. B 2015, 3, 3654–3676. [Google Scholar] [CrossRef] [PubMed]
- Gong, J.P. Why are double network hydrogels so tough? Soft Matter 2010, 6, 2583–2590. [Google Scholar] [CrossRef]
- Haque, M.A.; Kurokawa, T.; Gong, J.P. Super tough double network hydrogels and their application as biomaterials. Polymer 2012, 53, 1805–1822. [Google Scholar] [CrossRef]
- Fei, R.; George, J.T.; Park, J.; Grunlan, M.A. Thermoresponsive nanocomposite double network hydrogels. Soft Matter 2012, 8, 481–487. [Google Scholar] [CrossRef]
- Means, A.K.; Ehrhardt, D.A.; Whitney, L.M.; Grunlan, A. Thermoresponsive double network hydrogels with exceptional compressive mechanical properties. Macromol. Rapid Commun. 2017, 38, 1700351. [Google Scholar] [CrossRef]
- Luo, Y.; Pauer, W.; Luinstra, G.A. Fabrication of thermo-responsive controllable shape-changing hydrogel. Gels 2022, 8, 531. [Google Scholar] [CrossRef]
- Hanyková, L.; Krakovský, I.; Šestáková, E.; Šťastná, J.; Labuta, J. Poly(N,N′-diethylacrylamide)-based thermoresponsive hydrogels with double network structure. Polymers 2020, 12, 2502. [Google Scholar] [CrossRef]
- Krakovský, I.; Hanyková, L.; Paladini, G.; Almásy, L. SANS and NMR study on nanostructure of thermoresponsive double network hydrogels. Eur. Polym. J. 2020, 137, 109929. [Google Scholar] [CrossRef]
- Velychkivska, N.; Bogomolova, A.; Filippov, S.K.; Starovoytova, L.; Labuta, J. Thermodynamic and kinetic analysis of phase separation of temperature-sensitive poly(vinyl methyl ether) in the presence of hydrophobic tert-butyl alcohol. Colloid Polym. Sci. 2017, 295, 1419–1428. [Google Scholar] [CrossRef]
- Šťastná, J.; Hanyková, L.; Spěváček, J. NMR and DSC study of temperature-induced phase transition in aqueous solutions of poly(N-isopropylmethacrylamide-co-acrylamide) copolymers. Colloid Polym. Sci. 2012, 290, 1811–1817. [Google Scholar] [CrossRef]
- Kouřilová, H.; Spěváček, J.; Hanyková, L. 1H NMR study of temperature-induced phase transitions in aqueous solutions of poly(N-isopropylmethacrylamide)/poly(N-vinylcaprolactam) mixtures. Polym. Bull. 2013, 70, 221–235. [Google Scholar] [CrossRef]
- Radecki, M.; Spěváček, J.; Zhigunov, A.; Sedláková, Z.; Hanyková, L. Temperature-induced phase transition in hydrogels of interpenetrating networks of poly(N-isopropylacrylamide) and polyacrylamide. Eur. Polym. J. 2015, 68, 68–79. [Google Scholar] [CrossRef]
- Stetsyshyn, Y.; Ohar, H.; Budkowski, A.; Lazzara, G. Molecular design and role of the dynamic hydrogen bonds and hydrophobic interactions in temperature-switchable polymers: From understanding to applications. Polymers 2025, 17, 1580. [Google Scholar] [CrossRef]
- Ilavský, M. Phase transition in swollen gels. 2. Effect of charge concentration on the collapse and mechanical behavior of polyacrylamide networks. Macromolecules 1982, 15, 782–788. [Google Scholar] [CrossRef]
- Ceylan, D.; Ozmen, M.M.; Okay, O. Swelling–deswelling kinetics of ionic poly(acrylamide) hydrogels and cryogels. J. Appl. Polym. Sci. 2006, 99, 319–325. [Google Scholar] [CrossRef]
- Farrar, T.C.; Becker, E.D. Pulse and Fourier Transform NMR; Academic Press: New York, NY, USA, 1971. [Google Scholar]










| Sample | Feed Molar Ratio (NDEAAm/NAAm)feed | NMR Molar Ratio (NDEAAm/NAAm)NMR | |
|---|---|---|---|
| SN PDEAAm | PDEAAm | 1/0 | 1/0 |
| SN PAAm | PAAm | 0/1 | 0/1 |
| DN PDEAAm/PAAm | DA1 | 0.67/0.33 | 0.33/0.67 (a) |
| DA2 | 0.50/0.50 | 0.23/0.77 (a) | |
| DA3 | 0.33/0.67 | 0.08/0.92 (a) | |
| DA4 | 0.25/0.75 | 0.05/0.95 (a) | |
| DN PAAm/PDEAAm | AD1 | 0.67/0.33 | 0.83/0.17 (b) |
| AD2 | 0.50/0.50 | 0.65/0.35 (b) | |
| AD3 | 0.33/0.67 | 0.50/0.50 (b) | |
| AD4 | 0.25/0.75 | 0.44/0.56 (b) | |
| SN P(DEAAm-co-AAm) | DcoA1 | 0.80/0.20 | 0.81/0.19 (c) |
| DcoA2 | 0.75/0.25 | 0.73/0.27 (c) | |
| DcoA3 | 0.67/0.33 | 0.65/0.35 (c) | |
| DcoA4 | 0.50/0.50 | 0.53/0.47 (c) | |
| Sample | (°C) | (°C) |
|---|---|---|
| PDEAAm | 29.6 | 17.0 |
| DA1 | 28.3 | 18.5 |
| DA2 | 32.0 | 19.8 |
| DA3 | 33.3 | 20.8 |
| DA4 | 35.0 | 21.1 |
| AD1 | 30.0 | 17.5 |
| AD2 | 31.1 | 17.9 |
| AD3 | 30.5 | 18.5 |
| AD4 | 29.9 | 18.2 |
| DcoA1 | 37.0 | 22.4 |
| DcoA2 | 42.3 | 22.5 |
| DcoA3 | 42.1 | 24.1 |
| DcoA4 | 73.9 | 24.3 |
| T2F, T2B (s) | ||
|---|---|---|
| Sample | 20 °C | 55 °C |
| PDEAAm | 6.5, 1.5 | 8.0, 0.008 |
| DA2 | 6.9, 1.7 | 7.9, 0.15 |
| AD2 | 5.7, 0.9 | 6.7, 1.3 |
| DcoA1 | 5.7, 1.6 | 6.8, 0.14 |
Disclaimer/Publisher’s Note: The statements, opinions and data contained in all publications are solely those of the individual author(s) and contributor(s) and not of MDPI and/or the editor(s). MDPI and/or the editor(s) disclaim responsibility for any injury to people or property resulting from any ideas, methods, instructions or products referred to in the content. |
© 2026 by the authors. Licensee MDPI, Basel, Switzerland. This article is an open access article distributed under the terms and conditions of the Creative Commons Attribution (CC BY) license.
Share and Cite
Hanyková, L.; Šťastná, J.; Krakovský, I. Influence of Composition and Network Formation Sequence on the Responsive Behavior of Double-Network Hydrogels. Gels 2026, 12, 260. https://doi.org/10.3390/gels12030260
Hanyková L, Šťastná J, Krakovský I. Influence of Composition and Network Formation Sequence on the Responsive Behavior of Double-Network Hydrogels. Gels. 2026; 12(3):260. https://doi.org/10.3390/gels12030260
Chicago/Turabian StyleHanyková, Lenka, Julie Šťastná, and Ivan Krakovský. 2026. "Influence of Composition and Network Formation Sequence on the Responsive Behavior of Double-Network Hydrogels" Gels 12, no. 3: 260. https://doi.org/10.3390/gels12030260
APA StyleHanyková, L., Šťastná, J., & Krakovský, I. (2026). Influence of Composition and Network Formation Sequence on the Responsive Behavior of Double-Network Hydrogels. Gels, 12(3), 260. https://doi.org/10.3390/gels12030260

