Thermal Damping Applications of Coconut Oil–Silica Gels and Their Rheological Properties
Abstract
1. Introduction
2. Results and Discussion
2.1. Characterization Studies
2.1.1. Nanofluid Chemical Composition: Particle Size and Shape
2.1.2. Differential Scanning Calorimetry (DSC)
2.2. Rheological Behavior
2.2.1. Viscosity Curves in Steady Shear
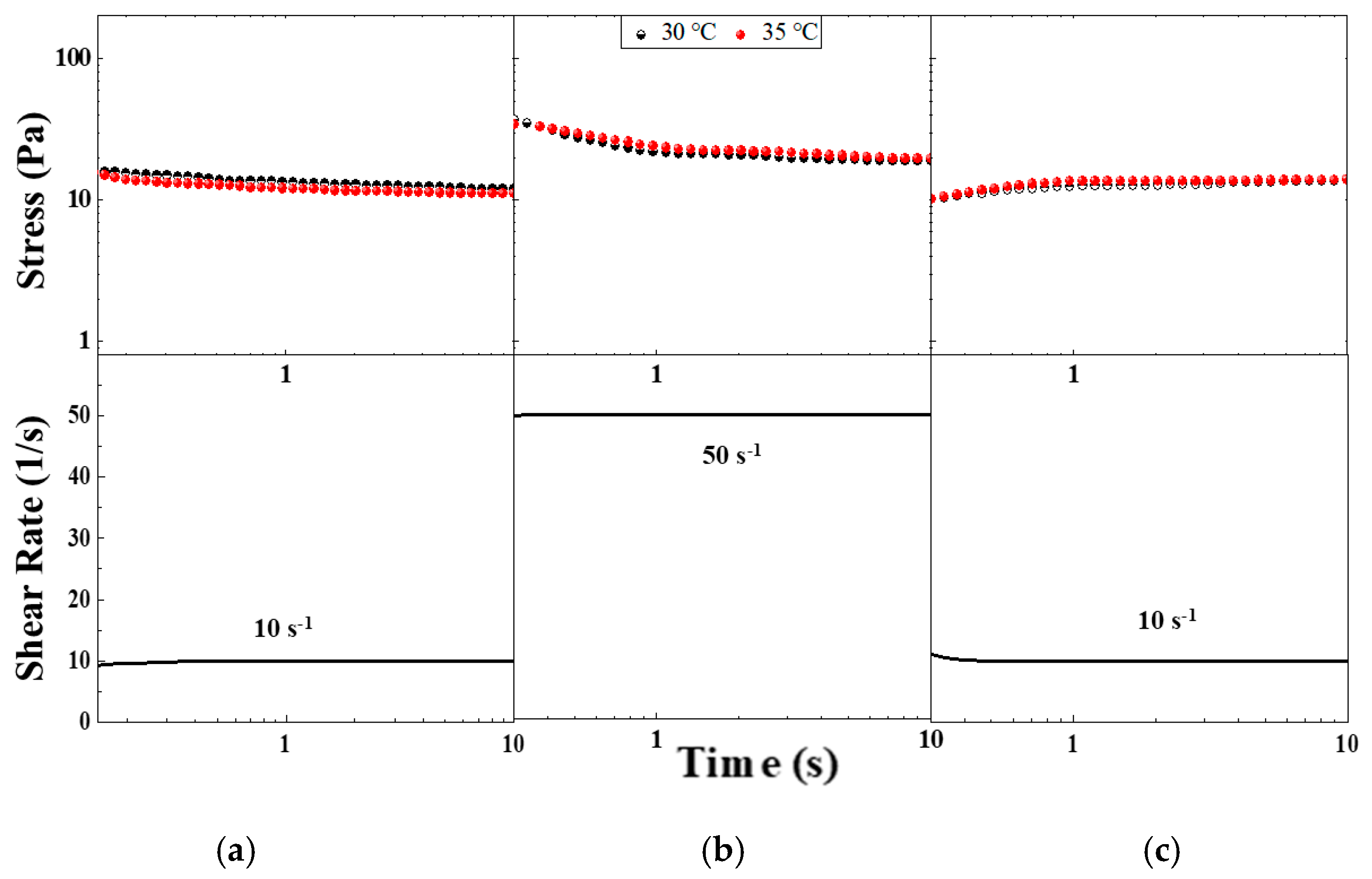
2.2.2. Stepwise Changes Tests
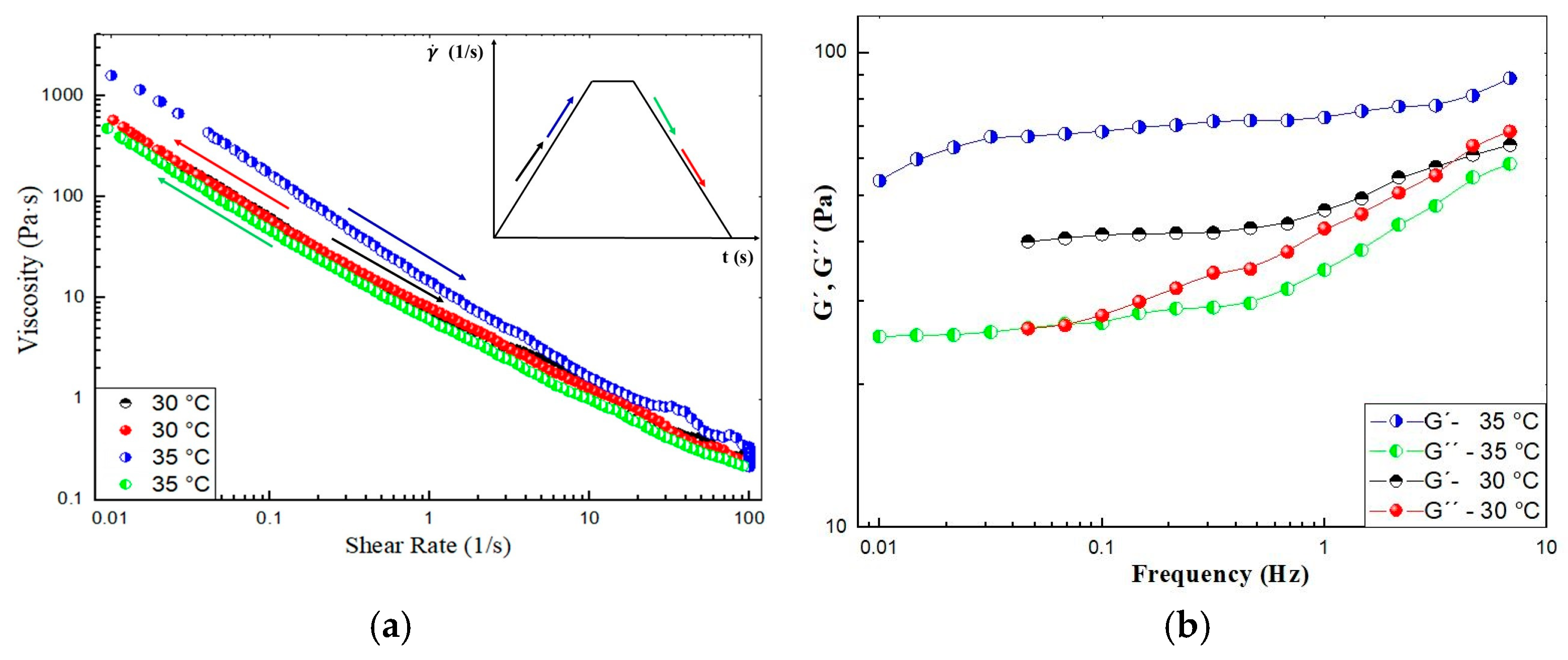
2.2.3. Hysteresis Loop
2.3. Buffer Application
3. Conclusions
- The viscosity of the suspensions increased with the addition of fumed silica and reduced with temperature. The viscosities of all the suspensions experienced the greatest variation during the phase change in the base liquid, increasing during crystallization and decreasing during melting. However, above the phase change temperature the suspension viscosities demonstrated little variation with temperature.
- The 3 and 4 vol.% dispersions exhibited a gel-like microstructure. Stepwise changes in the shear rate of the 3 vol.% suspension at 30 °C and 35 °C revealed a trend which was consistent with a thixotropic response. However, the hysteresis loops showed a small area at 35 °C and a negligible area at 30 °C. These results could be interpreted as slight thixotropic behavior. For the two temperatures, the frequency sweep exhibited a predominance of the elastic modulus over the viscous modulus in the entire frequency range (0.01–8 Hz). Therefore, the CO–3A200 gel could be described as a thixoelastic material.
- In summary, the addition of 3 vol.% silica to coconut oil contributed to the formation of a strong and resilient internal structural suspension. This gel-like material flowed under high stress, facilitating optimal flow and rapid heat dissipation. The thixoelastic nature of this gel allowed for a reversible reconstitution of the microstructure under stress removal, thus ensuring the long-term use of the material. This rheological behavior conferred the CO–3A200 suspension a superior thermal damping capacity.
4. Materials and Methods
Author Contributions
Funding
Institutional Review Board Statement
Informed Consent Statement
Data Availability Statement
Acknowledgments
Conflicts of Interest
References
- Rafati, M.; Hamidi, A.A.; Niaser, M.S. Application of nanofluids in computer cooling systems (heat transfer performance of nanofluids). App. Thermal Eng. 2012, 45, 9–14. [Google Scholar]
- Maghrabie, H.M.; Olabi, A.G.; Sayed, E.T.; Wilberforce, T.; Elsaid, K.; Doranehgard, M.H.; Abdelkareem, M.A. Microchannel heat sinks with nanofluids for cooling electronic components: Performance enhancement, challenges, and limitations. Therm. Sci. Eng. Prog. 2023, 37, 101608. [Google Scholar]
- Wang, X.; Song, Y.; Li, C.; Zhang, Y.; Ali, H.M.; Sharma, S.; Li, R.; Yang, M.; Gao, T.; Liu, M.; et al. Nanofluids application in machining: A comprehensive review. Int. J. Adv. Manuf. Technol. 2024, 131, 3113–3164. [Google Scholar] [CrossRef]
- Makarova, V.V.; Gorbacheva, S.N.; Antonov, S.V.; Ilyin, S.O. On the possibility of a radical increase in thermal conductivity by dispersed particles. Russ. J. Appl. Chem. 2020, 93, 1796–1814. [Google Scholar]
- Philip, J.; Shima, P.D. Thermal properties of nanofluids. Adv. Colloid Interface Sci. 2012, 183, 30–45. [Google Scholar]
- Bobbo, S.; Buonomo, B.; Manca, O.; Vigna, S.; Fedele, L. Analysis of the parameters required to properly define nanofluids for heat transfer applications. Fluids 2021, 6, 65. [Google Scholar] [CrossRef]
- Awais, M.; Bhuiyan, A.A.; Salehin, S.; Ehsan, M.M.; Khan, B.; Rahman, M.H. Synthesis, heat transport mechanisms and thermophysical properties of nanofluids: A critical overview. Int. J. Thermofluids. 2021, 10, 100086. [Google Scholar]
- Oemar, B.; Arifin, A.; Bahrin, D.; Ramadhan, D.; Rifqy, M.A.; Tinambunan, M.R. Experimental Investigation on Thermo-physical and Stability Properties of TiO2/Virgin Coconut Oil Nanofluid. Sci. Technol. Indones. 2023, 8, 178–183. [Google Scholar] [CrossRef]
- Nazir, H.; Batool, M.; Osorio, F.J.B.; Isaza-Ruiz, M.; Xu, X.; Vignarooban, K.; Phelan, P.; Kannan, A.M. Recent developments in phase change materials for energy storage applications: A review. Int. J. Heat Mass Transf. 2019, 129, 491–523. [Google Scholar]
- Kahwaji, S.; White, M.A. Edible oils as practical phase change materials for thermal energy storage. Appl. Sci. 2019, 9, 1627. [Google Scholar] [CrossRef]
- Yang, L.; Jin, X.; Zhang, Y.; Du, K. Recent development on heat transfer and various applications of phase-change materials. J. Clean. Prod. 2021, 287, 124432. [Google Scholar] [CrossRef]
- Wu, W.Y.; Gao, M.; Jueyuan, R.Y.; Lin, M.; Wang, S.; Thitsartarn, W.; Zhang, X.; Kai, D.; Wang, P.; Qu, Z.; et al. Plant oil-based phase change materials for sustainable thermal energy storage: A review. Fuel 2024, 378, 132940. [Google Scholar] [CrossRef]
- Saleel, C.A. A review on the use of coconut oil as an organic phase change material with its melting process, heat transfer, and energy storage characteristics. J. Therm. Anal. Calorim. 2022, 147, 4451–4472. [Google Scholar] [CrossRef]
- Jayadas, N.H.; Nair, K.P. Coconut Oil as Base Oil for Industrial Lubricants—Evaluation and Modification of Thermal, Oxida-tive and Low Temperature Properties. Tribol. Int. 2006, 39, 873–878. [Google Scholar] [CrossRef]
- Alaee, P.; Kamkar, M.; Arjmand, M. Fumed silica-based suspensions for shear thickening applications: A full-scale rheological study. Langmuir 2022, 38, 5006–5019. [Google Scholar] [CrossRef]
- Gómez-Merino, A.I.; Jiménez-Galea, J.J.; Rubio-Hernández, F.J.; Santos-Ráez, I.M. Experimental assessment of thermal and rheological properties of coconut oil-silica as green additives in drilling performance based on minimum quantity of cutting fluids. J. Clean. Prod. 2022, 368, 133104. [Google Scholar] [CrossRef]
- Cortes, V.; Ortega, J.A. Evaluating the rheological and tribological behaviors of coconut oil modified with nanoparticles as lubricant additives. Lubricants 2019, 7, 76. [Google Scholar] [CrossRef]
- Sujith, S.V.; Solanki, A.K.; Mulik, R.S. Experimental evaluation on rheological behavior of Al2O3-pure coconut oil nanofluids. J. Mol. Liq. 2019, 286, 110905. [Google Scholar] [CrossRef]
- Sajeeb, A.; Krishnan Rajendrakumar, P. Experimental studies on viscosity and tribological characteristics of blends of vegetable oils with CuO nanoparticles as additive. Micro Nano Lett. 2019, 14, 1121–1125. [Google Scholar] [CrossRef]
- Raghav, R.; Mulik, R.S. Effects of temperature and concentration of nanoparticles on rheological behavior of hexagonal boron nitride/coconut oil nanofluid. Colloids Surf. A Physicochem. Eng. Asp. 2024, 694, 134142. [Google Scholar] [CrossRef]
- Armelin, E.; Martí, M.; Rudé, E.; Labanda, J.; Llorens, J.; Alemán, C. A simple model to describe the thixotropic behavior of paints. Prog. Org. Coat. 2006, 57, 229–235. [Google Scholar]
- Jiménez-Galea, J.J.; Gómez-Merino, A.I. Fumed Silica in Coconut Oil Based Nanofluids for Cooling and Lubrication in Drilling Applications. Lubricants 2024, 12, 436. [Google Scholar] [CrossRef]
- Fan, Y.; Zhang, L.; Wang, X.; Wang, K.; Wang, L.; Wang, Z.; Xue, F.; Zhu, J.; Wang, C. Rheological thixotropy and pasting properties of food thickening gums orienting at improving food holding rate. Appl. Rheol. 2022, 32, 100–121. [Google Scholar]
- Lee, C.H.; Moturi, V.; Lee, Y. Thixotropic property in pharmaceutical formulations. J. Control. Release. 2009, 136, 88–98. [Google Scholar] [PubMed]
- Marina, A.M.; Che Man, Y.B.; Nazimah, S.A.H.; Amin, I. Chemical properties of virgin coconut oil. J. Am. Oil Chem. Soc. 2009, 86, 301–307. [Google Scholar]
- Srivastava, Y.; Semwal, A.D.; Sajeevkumar, V.A.; Sharma, G.K. Melting, crystallization and storage stability of virgin coconut oil and its blends by differential scanning calorimetry (DSC) and Fourier transform infrared spectroscopy (FTIR). J. Food Sci. Technol. 2017, 54, 45–54. [Google Scholar]
- Kumari, S.; Jamwal, R. Use of FTIR spectroscopy integrated with multivariate chemometrics as a swift, and non-destructive technique to detect various adulterants in virgin coconut oil: A comprehensive review. Food Chem. Adv. 2023, 2, 100203. [Google Scholar]
- Ellerbrock, R.; Stein, M.; Schaller, J. Comparing amorphous silica, short-range-ordered silicates and silicic acid species by FTIR. Sci. Rep. 2022, 12, 11708. [Google Scholar]
- Cheng, X.; McCoy, J.H.; Israelachvili, J.N.; Cohen, I. Imaging the microscopic structure of shear thinning and thickening colloidal suspensions. Science 2011, 333, 1276–1279. [Google Scholar]
- Gómez-Merino, A.I.; Arjona-Escudero, J.L.; Santos-Ráez, I.M.; Rubio-Hernández, F.J. Microstructure and thermodynamic properties of aqueous alumina nanofluids. Powder Technol. 2019, 353, 509–515. [Google Scholar]
- Chen, Q.; Li, J.; Song, Y.; Christopher, D.M.; Li, X. Modeling of Newtonian droplet formation in power-law non-Newtonian fluids in a flow-focusing device. Heat Mass Transf. 2020, 56, 2711–2723. [Google Scholar]
- Mewis, J.; Wagner, N.J. Thixotropy. Adv. Colloid Interface Sci. 2009, 147, 214–227. [Google Scholar] [PubMed]
- Larson, R.G.; Wei, Y. A review of thixotropy and its rheological modeling. J. Rheol. 2019, 63, 477–501. [Google Scholar]
- Mallia, V.A.; Weiss, R.G. Correlations between thixotropic and structural properties of molecular gels with crystalline networks. Soft Matter. 2016, 12, 3665–3676. [Google Scholar] [CrossRef]
- Malkin, A.Y.; Derkach, S.R.; Kulichikhin, V.G. Rheology of gels and yielding liquids. Gels 2023, 9, 715. [Google Scholar]










| Parameters | 0 | 0.01 | 0.02 | 0.03 | 0.04 |
| ΔHMelting (J/g) | 102.4 | 98.8 | 94.5 | 89.2 | 84.3 |
| Tpeak (°C) | 24.2 | 24.2 | 24.2 | 24.2 | 24.2 |
| ΔHCrystal (J/g) | 97.2 | 94.1 | 90.1 | 86.2 | 82.9 |
| Tpeak (°C) | 1.3; −5.7 | 3.7; −3.3 | 3.7; −1 | 3.7; −1 | 3.7; −3.3 |
Disclaimer/Publisher’s Note: The statements, opinions and data contained in all publications are solely those of the individual author(s) and contributor(s) and not of MDPI and/or the editor(s). MDPI and/or the editor(s) disclaim responsibility for any injury to people or property resulting from any ideas, methods, instructions or products referred to in the content. |
© 2025 by the authors. Licensee MDPI, Basel, Switzerland. This article is an open access article distributed under the terms and conditions of the Creative Commons Attribution (CC BY) license (https://creativecommons.org/licenses/by/4.0/).
Share and Cite
Jiménez-Galea, J.J.; Gómez-Merino, A.I. Thermal Damping Applications of Coconut Oil–Silica Gels and Their Rheological Properties. Gels 2025, 11, 261. https://doi.org/10.3390/gels11040261
Jiménez-Galea JJ, Gómez-Merino AI. Thermal Damping Applications of Coconut Oil–Silica Gels and Their Rheological Properties. Gels. 2025; 11(4):261. https://doi.org/10.3390/gels11040261
Chicago/Turabian StyleJiménez-Galea, Jesús Javier, and Ana Isabel Gómez-Merino. 2025. "Thermal Damping Applications of Coconut Oil–Silica Gels and Their Rheological Properties" Gels 11, no. 4: 261. https://doi.org/10.3390/gels11040261
APA StyleJiménez-Galea, J. J., & Gómez-Merino, A. I. (2025). Thermal Damping Applications of Coconut Oil–Silica Gels and Their Rheological Properties. Gels, 11(4), 261. https://doi.org/10.3390/gels11040261

