Enhancing the Oxidative Stability of Beeswax–Canola Oleogels: Effects of Ascorbic Acid and Alpha-Tocopherol on Their Physical and Chemical Properties
Abstract
1. Introduction
2. Results and Discussion
2.1. X-Ray Diffraction
2.2. Infrared Spectroscopy (FTIR)
2.3. Differential Scanning Calorimetry (DSC)
2.4. Optical Microscopy
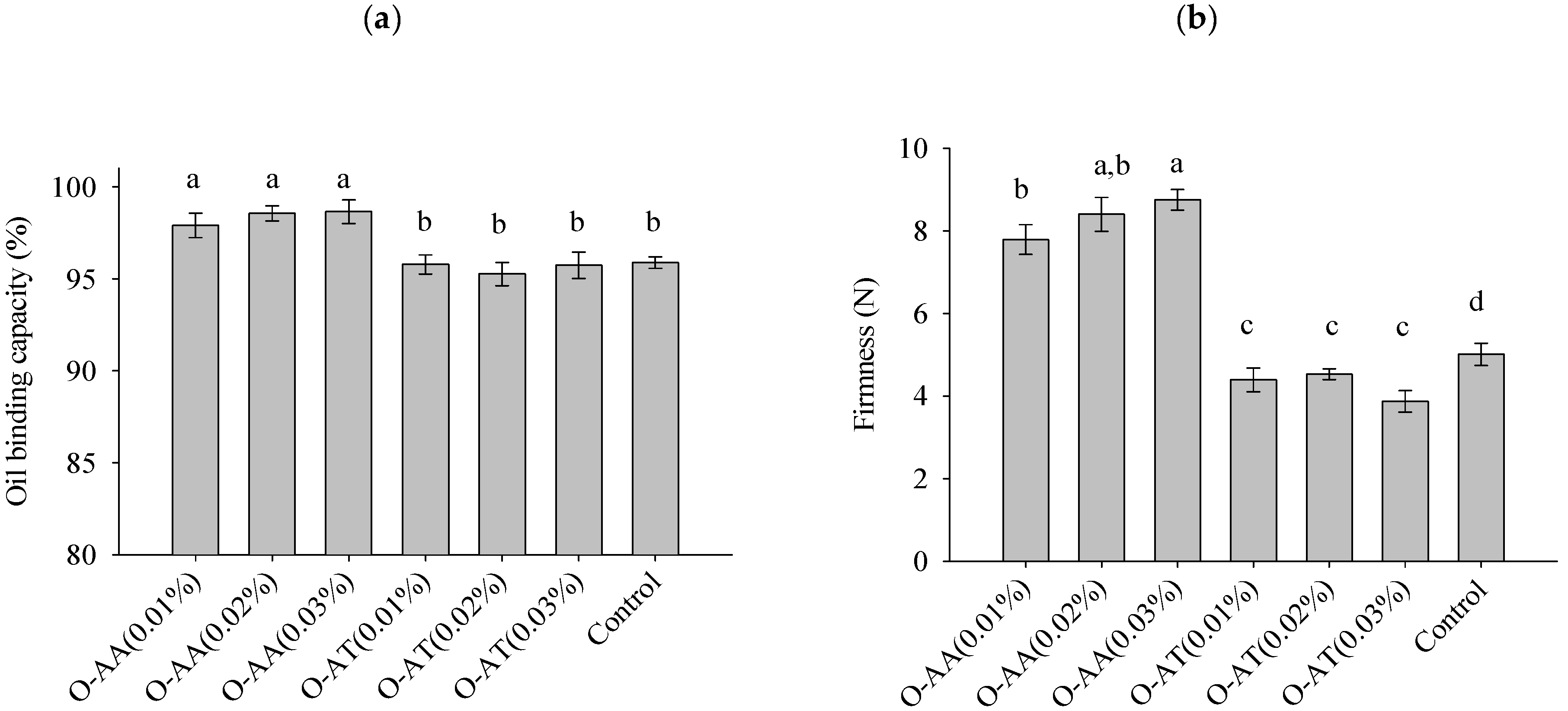
2.5. Oil Binding Capacity (OBC)
2.6. Firmness
2.7. Rheological Properties
2.8. Oxidative Stability
3. Conclusions
4. Materials and Methods
4.1. Materials
4.2. Preparation of Oleogels with Antioxidants
4.3. X-Ray Diffraction (XRD)
4.4. Fourier Transform Infrared (FTIR) Spectroscopy
4.5. Optical Microscopy Analyses
4.6. Differential Scanning Calorimetry (DSC) Analysis
4.7. Oil Binding Capacity (OBC) Analyses
4.8. Firmness Analyses
4.9. Rheological Analysis
4.10. Oxidative Stability Analysis
4.11. Statistical Analysis
Supplementary Materials
Author Contributions
Funding
Institutional Review Board Statement
Informed Consent Statement
Data Availability Statement
Acknowledgments
Conflicts of Interest
References
- Ferro, A.C.; De Souza Paglarini, C.; Rodrigues Pollonio, M.A.; Lopes Cunha, R. Glyceryl Monostearate-Based Oleogels as a New Fat Substitute in Meat Emulsion. Meat Sci. 2021, 174, 108424. [Google Scholar] [CrossRef] [PubMed]
- Manzoor, S.; Masoodi, F.A.; Rashid, R.; Naqash, F.; Ahmad, M. Oleogels for the Development of Healthy Meat Products: A Review. Appl. Food Res. 2022, 2, 100212. [Google Scholar] [CrossRef]
- Li, L.; Liu, G.; Bogojevic, O.; Pedersen, J.N.; Guo, Z. Edible Oleogels as Solid Fat Alternatives: Composition and Oleogelation Mechanism Implications. Comp. Rev. Food Sci. Food Safe 2022, 21, 2077–2104. [Google Scholar] [CrossRef] [PubMed]
- Blake, A.I.; Toro-Vazquez, J.F.; Hwang, H.-S. Wax Oleogels. In Edible Oleogels; Elsevier: Amsterdam, The Netherlands, 2018; pp. 133–171. ISBN 978-0-12-814270-7. [Google Scholar]
- Winkler-Moser, J.K.; Anderson, J.; Felker, F.C.; Hwang, H. Physical Properties of Beeswax, Sunflower Wax, and Candelilla Wax Mixtures and Oleogels. J. Am. Oil Chem. Soc. 2019, 96, 1125–1142. [Google Scholar] [CrossRef]
- Frolova, Y.; Sarkisyan, V.; Sobolev, R.; Kochetkova, A. Ultrasonic Treatment of Food Colloidal Systems Containing Oleogels: A Review. Gels 2022, 8, 801. [Google Scholar] [CrossRef]
- Martins, A.J.; Cerqueira, M.A.; Cunha, R.L.; Vicente, A.A. Fortified Beeswax Oleogels: Effect of β-Carotene on the Gel Structure and Oxidative Stability. Food Funct. 2017, 8, 4241–4250. [Google Scholar] [CrossRef]
- Morales, E.; Iturra, N.; Contardo, I.; Quilaqueo, M.; Franco, D.; Rubilar, M. Fat Replacers Based on Oleogelation of Beeswax/Shellac Wax and Healthy Vegetable Oils. LWT-Food Sci. Technol. 2023, 185, 115144. [Google Scholar] [CrossRef]
- Sobolev, R.; Frolova, Y.; Sarkisyan, V.; Makarenko, M.; Kochetkova, A. Effect of Beeswax and Combinations of Its Fractions on the Oxidative Stability of Oleogels. Food Biosci. 2022, 48, 101744. [Google Scholar] [CrossRef]
- Abdolmaleki, K.; Alizadeh, L.; Nayebzadeh, K.; Baranowska, H.M.; Kowalczewski, P.Ł.; Mousavi Khaneghah, A. Potential Application of Hydrocolloid-Based Oleogel and Beeswax Oleogel as Partial Substitutes of Solid Fat in Margarine. Appl. Sci. 2022, 12, 12136. [Google Scholar] [CrossRef]
- Ropciuc, S.; Dranca, F.; Oroian, M.A.; Leahu, A.; Codină, G.G.; Prisacaru, A.E. Structuring of Cold Pressed Oils: Evaluation of the Physicochemical Characteristics and Microstructure of White Beeswax Oleogels. Gels 2023, 9, 216. [Google Scholar] [CrossRef]
- Banaś, K.; Piwowar, A.; Harasym, J. The Potential of Rapeseed (Canola) Oil Nutritional Benefits Wide Spreading via Oleogelation. Food Biosci. 2023, 56, 103162. [Google Scholar] [CrossRef]
- Ahmadian, S.; Kenari, R.E.; Amiri, Z.R.; Sohbatzadeh, F.; Khodaparast, M.H.H. Fabrication of Double Nano-Emulsions Loaded with Hyssop (Hyssopus officinalis L.) Extract Stabilized with Soy Protein Isolate Alone and Combined with Chia Seed Gum in Controlling the Oxidative Stability of Canola Oil. Food Chem. 2024, 430, 137093. [Google Scholar] [CrossRef] [PubMed]
- Shang, J.; Zhong, F.; Zhu, S.; Huang, D.; Li, Y. Formation, Structural Characteristics and Physicochemical Properties of Beeswax Oleogels Prepared with Tea Polyphenol Loaded Gelators. Food Funct. 2021, 12, 1662–1671. [Google Scholar] [CrossRef] [PubMed]
- Öğütcü, M.; Arifoğlu, N.; Yılmaz, E. Preparation and Characterization of Virgin Olive Oil-Beeswax Oleogel Emulsion Products. J. Am. Oil Chem. Soc. 2015, 92, 459–471. [Google Scholar] [CrossRef]
- Yılmaz, E.; Uslu, E.K.; Toksöz, B. Structure, Rheological and Sensory Properties of Some Animal Wax Based Oleogels. J. Oleo Sci. 2020, 69, 1317–1329. [Google Scholar] [CrossRef]
- Ramírez-Carrasco, P.; Alemán, A.; González, E.; Gómez-Guillén, M.; Robert, P.; Giménez, B. Bioaccessibility, Intestinal Absorption and Anti-Inflammatory Activity of Curcuminoids Incorporated in Avocado, Sunflower, and Linseed Beeswax Oleogels. Foods 2024, 13, 373. [Google Scholar] [CrossRef]
- Chen, Z.; Shi, Z.; Meng, Z. Development and Characterization of Antioxidant-Fortified Oleogels by Encapsulating Hydrophilic Tea Polyphenols. Food Chem. 2023, 414, 135664. [Google Scholar] [CrossRef]
- Cui, M.; Mao, L.; Lu, Y.; Yuan, F.; Gao, Y. Effect of Monoglyceride Content on the Solubility and Chemical Stability of β-Carotene in Organogels. LWT-Food Sci. Technol. 2019, 106, 83–91. [Google Scholar] [CrossRef]
- Jeong, S.; Lee, S.; Oh, I. Development of Antioxidant-Fortified Oleogel and Its Application as a Solid Fat Replacer to Muffin. Foods 2021, 10, 3059. [Google Scholar] [CrossRef]
- Monto, A.R.; Yuan, L.; Xiong, Z.; Shi, T.; Li, M.; Wang, X.; Liu, L.; Jin, W.; Li, J.; Gao, R. Effect of α-Tocopherol, Soybean Oil, and Glyceryl Monostearate Oleogel on Gel Properties and the in-Vitro Digestion of Low-Salt Silver Carp (Hypophthalmichthys molitrix) Surimi. Food Chem. 2024, 460, 140588. [Google Scholar] [CrossRef]
- Lanham-New, S.; Gallagher, A.; Hill, T. (Eds.) Introduction to Human Nutrition, 3rd ed.; Nutrition Society (Great Britain); Nutrition Society Textbook Series; Wiley: Hoboken, NJ, USA, 2019; ISBN 978-1-119-47697-9. [Google Scholar]
- Sabourian, R.; Dorkoosh, F.A.; Khoshayand, M.R.; Amini, M.; Tamiji, Z.; Ghasemi, J.B.; Sadeghi, N.; Hajimahmoodi, M. Development, Optimization, and Characterization of Vitamin C-Fortified Oleogel-Based Chewable Gels and a Novel Nondestructive Analysis Method for the Vitamin C Assay. Food Prod. Process. Nutr. 2024, 6, 83. [Google Scholar] [CrossRef]
- Wang, X.; Wang, S.-J.; Nan, Y.; Liu, G.-Q. The Effects of Oil Type and Crystallization Temperature on the Physical Properties of Vitamin C-Loaded Oleogels Prepared by an Emulsion-Templated Approach. Food Funct. 2020, 11, 8028–8037. [Google Scholar] [CrossRef] [PubMed]
- Kim, J.Y.; Kim, M.-J.; Yi, B.; Oh, S.; Lee, J. Antioxidant Properties of Ascorbic Acid in Bulk Oils at Different Relative Humidity. Food Chem. 2015, 176, 302–307. [Google Scholar] [CrossRef] [PubMed]
- Qiu, H.; Qu, K.; Eun, J.-B.; Zhang, H. Analysis of Thermal Oxidation of Different Multi-Element Oleogels Based on Carnauba Wax, β-Sitosterol/Lecithin, and Ethyl Cellulose by Classical Oxidation Determination Method Combined with the Electronic Nose. Food Chem. 2023, 405, 134970. [Google Scholar] [CrossRef]
- Millao, S.; Iturra, N.; Contardo, I.; Morales, E.; Quilaqueo, M.; Rubilar, M. Structuring of Oils with High PUFA Content: Evaluation of the Formulation Conditions on the Oxidative Stability and Structural Properties of Ethylcellulose Oleogels. Food Chem. 2023, 405, 134772. [Google Scholar] [CrossRef]
- Quilaqueo, M.; Iturra, N.; Contardo, I.; Millao, S.; Morales, E.; Rubilar, M. Food-Grade Bigels with Potential to Replace Saturated and Trans Fats in Cookies. Gels 2022, 8, 445. [Google Scholar] [CrossRef]
- Barragán-Martínez, L.P.; Alvarez-Poblano, L.; Vernon-Carter, E.J.; Alvarez-Ramirez, J. Effects of β-Carotene on the Color, Textural, Rheological and Structural Properties of Canola Oil/Beeswax Oleogel. J. Food Meas. Charact. 2022, 16, 3946–3956. [Google Scholar] [CrossRef]
- Dhal, S.; Alhamidi, A.; Al-Zahrani, S.M.; Anis, A.; Pal, K. The Influence of Emulsifiers on the Physiochemical Behavior of Soy Wax/Rice Bran Oil-Based Oleogels and Their Application in Nutraceutical Delivery. Gels 2023, 9, 47. [Google Scholar] [CrossRef]
- Chaturvedi, D.; Bharti, D.; Dhal, S.; Sahu, D.; Behera, H.; Sahoo, M.; Kim, D.; Jarzębski, M.; Anis, A.; Mohanty, B.; et al. Role of Stearic Acid as the Crystal Habit Modifier in Candelilla Wax-Groundnut Oil Oleogels. ChemEngineering 2023, 7, 96. [Google Scholar] [CrossRef]
- Ma, X.; Liu, Y.; Fan, L.; Yan, W. Ethyl Cellulose Particles Loaded with α-Tocopherol for Inhibiting Thermal Oxidation of Soybean Oil. Carbohyd. Polym. 2021, 252, 117169. [Google Scholar] [CrossRef]
- Martins, A.J.; Cerqueira, M.A.; Fasolin, L.H.; Cunha, R.L.; Vicente, A.A. Beeswax Organogels: Influence of Gelator Concentration and Oil Type in the Gelation Process. Food Res. Int. 2016, 84, 170–179. [Google Scholar] [CrossRef]
- Li, J.; Jia, X.; Yin, L. Hydrogel: Diversity of Structures and Applications in Food Science. Food Rev. Int. 2021, 37, 313–372. [Google Scholar] [CrossRef]
- Pan, J.; Tang, L.; Dong, Q.; Li, Y.; Zhang, H. Effect of Oleogelation on Physical Properties and Oxidative Stability of Camellia Oil-Based Oleogels and Oleogel Emulsions. Food Res. Int. 2021, 140, 110057. [Google Scholar] [CrossRef]
- Kwon, U.; Chang, Y.H. Rheological and Physicochemical Properties of Oleogel with Esterified Rice Flour and Its Suitability as a Fat Replacer. Foods 2022, 11, 242. [Google Scholar] [CrossRef]
- Talló, K.; Vílchez, S.; Pons, R.; López, O. Gels Formed from the Interaction of Lipid Vesicles: Influence of Charge in Their Structural and Rheological Properties. J. Mol. Liq. 2021, 322, 114957. [Google Scholar] [CrossRef]
- Sivakanthan, S.; Fawzia, S.; Mundree, S.; Madhujith, T.; Karim, A. Fabrication of Novel Oleogel Enriched with Bioactive Compounds and Assessment of Physical, Chemical, and Mechanical Properties and Storage Stability. LWT-Food Sci. Technol. 2024, 204, 116369. [Google Scholar] [CrossRef]
- Charlton, N.C.; Mastyugin, M.; Török, B.; Török, M. Structural Features of Small Molecule Antioxidants and Strategic Modifications to Improve Potential Bioactivity. Molecules 2023, 28, 1057. [Google Scholar] [CrossRef]
- Zetzl, A.K.; Marangoni, A.G.; Barbut, S. Mechanical Properties of Ethylcellulose Oleogels and Their Potential for Saturated Fat Reduction in Frankfurters. Food Funct. 2012, 3, 327. [Google Scholar] [CrossRef]
- Blake, A.I.; Marangoni, A.G. Plant Wax Crystals Display Platelet-like Morphology. Food Struct. 2015, 3, 30–34. [Google Scholar] [CrossRef]
- Chougui, N.; Djerroud, N.; Naraoui, F.; Hadjal, S.; Aliane, K.; Zeroual, B.; Larbat, R. Physicochemical Properties and Storage Stability of Margarine Containing Opuntia Ficus-Indica Peel Extract as Antioxidant. Food Chem. 2015, 173, 382–390. [Google Scholar] [CrossRef]
- Mohanan, A.; Nickerson, M.T.; Ghosh, S. Oxidative Stability of Flaxseed Oil: Effect of Hydrophilic, Hydrophobic and Intermediate Polarity Antioxidants. Food Chem. 2018, 266, 524–533. [Google Scholar] [CrossRef] [PubMed]







| Sample | Heating | Cooling | ||
|---|---|---|---|---|
| Tpm1 | Tpm2 | Tpc1 | Tpc2 | |
| (°C) | (°C) | (°C) | (°C) | |
| O-AA (0.01%) | 37.29 ± 4.30 a | 53.92 ± 0.36 a | 49.31 ± 0.12 a | 32.75 ± 0.44 a |
| O-AA (0.02%) | 38.08 ± 2.40 a | 53.70 ± 0.46 a | 49.44 ± 0.13 a | 32.11 ± 0.48 a |
| O-AA (0.03%) | 35.64 ± 2.10 a | 53.84 ± 0.38 a | 49.30 ± 0.38 a | 32.39 ± 0.48 a |
| O-AT (0.01%) | 36.17 ± 1.39 a | 53.97 ± 0.27 a | 49.33 ± 0.22 a | 31.69 ± 0.13 a |
| O-AT (0.02%) | 36.14 ± 1.63 a | 53.86 ± 0.34 a | 49.30 ± 0.21 a | 30.92 ± 0.44 a |
| O-AT (0.03%) | 35.36 ± 0.38 a | 53.86 ± 0.34 a | 49.25 ± 0.30 a | 32.14 ± 0.19 a |
| Control | 33.94 ± 1.50 a | 53.47 ± 0.27 a | 49.06 ± 0.10 a | 32.66 ± 0.29 a |
Disclaimer/Publisher’s Note: The statements, opinions and data contained in all publications are solely those of the individual author(s) and contributor(s) and not of MDPI and/or the editor(s). MDPI and/or the editor(s) disclaim responsibility for any injury to people or property resulting from any ideas, methods, instructions or products referred to in the content. |
© 2025 by the authors. Licensee MDPI, Basel, Switzerland. This article is an open access article distributed under the terms and conditions of the Creative Commons Attribution (CC BY) license (https://creativecommons.org/licenses/by/4.0/).
Share and Cite
Millao, S.; Quilaqueo, M.; Contardo, I.; Rubilar, M. Enhancing the Oxidative Stability of Beeswax–Canola Oleogels: Effects of Ascorbic Acid and Alpha-Tocopherol on Their Physical and Chemical Properties. Gels 2025, 11, 43. https://doi.org/10.3390/gels11010043
Millao S, Quilaqueo M, Contardo I, Rubilar M. Enhancing the Oxidative Stability of Beeswax–Canola Oleogels: Effects of Ascorbic Acid and Alpha-Tocopherol on Their Physical and Chemical Properties. Gels. 2025; 11(1):43. https://doi.org/10.3390/gels11010043
Chicago/Turabian StyleMillao, Sonia, Marcela Quilaqueo, Ingrid Contardo, and Mónica Rubilar. 2025. "Enhancing the Oxidative Stability of Beeswax–Canola Oleogels: Effects of Ascorbic Acid and Alpha-Tocopherol on Their Physical and Chemical Properties" Gels 11, no. 1: 43. https://doi.org/10.3390/gels11010043
APA StyleMillao, S., Quilaqueo, M., Contardo, I., & Rubilar, M. (2025). Enhancing the Oxidative Stability of Beeswax–Canola Oleogels: Effects of Ascorbic Acid and Alpha-Tocopherol on Their Physical and Chemical Properties. Gels, 11(1), 43. https://doi.org/10.3390/gels11010043

