Studying the Size-Dependence of Graphene Nanoplatelets (GNPs) in the Final Properties of Polyurethane Aerogels: Thermal Insulation and Mechanical Strength
Abstract
1. Introduction
2. Results and Discussion
2.1. Graphene Nanoplatelets Characterization
2.2. Aerogel’s Characterization
2.2.1. Gelation Kinetics and Chemical Bonding
2.2.2. Density and Shrinkage
2.2.3. Nanoporous Structure
2.3. Mechanical Properties
2.3.1. Compression–Decompression Cycles
2.3.2. Elastic Modulus
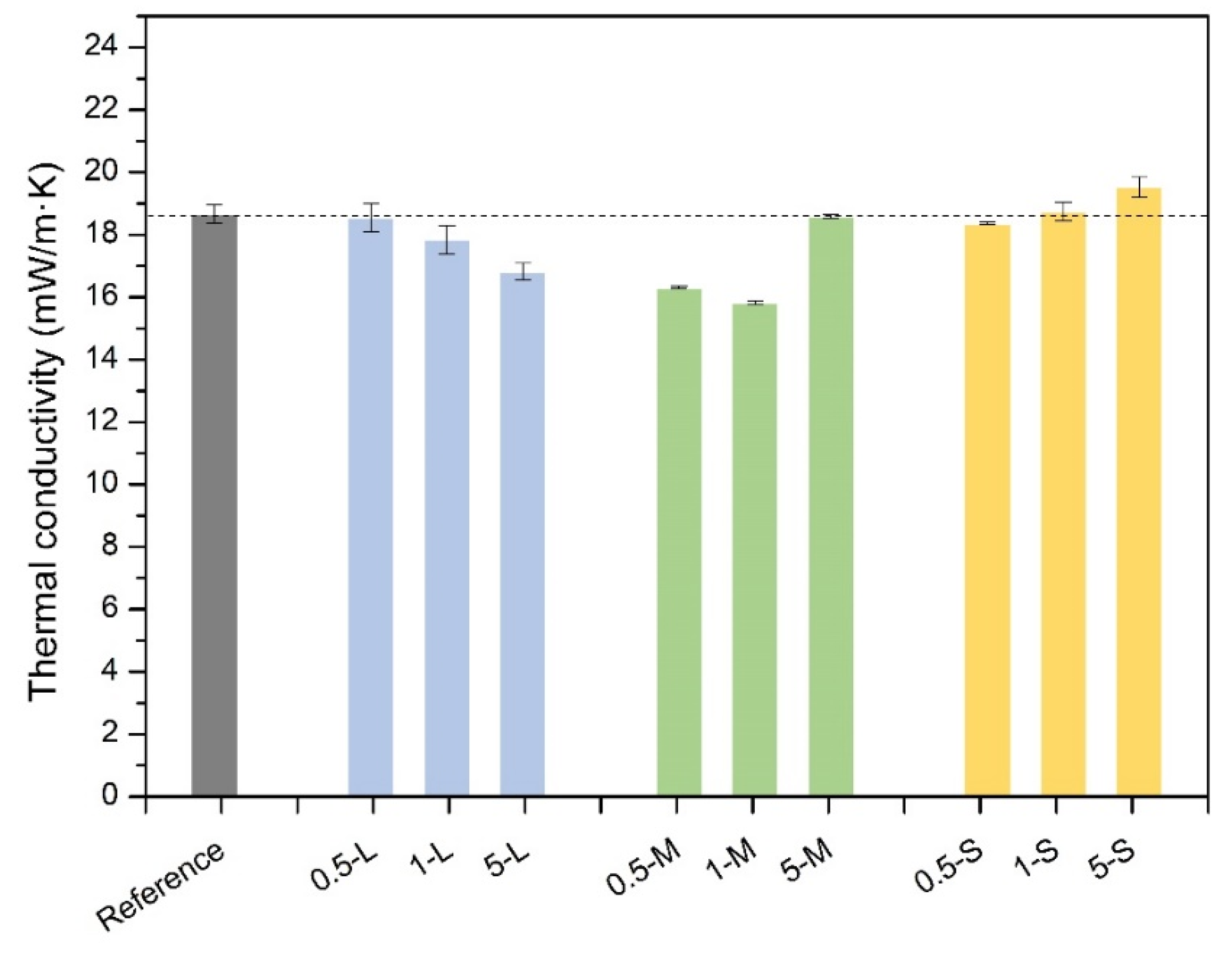
2.4. Thermal Conductivity Analysis
3. Conclusions
4. Materials and Methods
4.1. Materials
4.2. Synthesis of Aerogels
4.3. Aerogels Characterization
4.3.1. Gelation Time
4.3.2. Shrinkage
4.3.3. Density and Porosity
4.3.4. Specific Surface Area
4.3.5. Particle and Pore Size
4.3.6. Mechanical Tests
4.3.7. Thermal Conductivity Measurements
4.3.8. Sound Speed Tests
Supplementary Materials
Author Contributions
Funding
Data Availability Statement
Acknowledgments
Conflicts of Interest
References
- Kistler, S.S. Coherent Expanded Aerogels and Jellies. Nature 1931, 127, 741. [Google Scholar] [CrossRef]
- Aerogel Market Size, Share, Growth & Trends Repot. 2030. Available online: https://www.grandviewresearch.com/industry-analysis/aerogel-market (accessed on 4 July 2023).
- Patel, R.; Purohit, N.; Suthar, A.; Patel, S. An Overview of Silica Aerogels. Int. J. ChemTech Res. 2009, 1, 1052–1057. [Google Scholar]
- Hrubesh, L.W.; Pekala, R.W. Thermal properties of organic and inorganic aerogels. J. Mater. Res. 1994, 9, 731–738. [Google Scholar] [CrossRef]
- Tom, C.; Sinha, S.; Joshi, N.; Pujala, R.K. Tuning Aerogel Properties for Aerospace Applications. In Aerospace Polymeric Materials; John Wiley & Sons, Ltd.: Hoboken, NJ, USA, 2022; pp. 1–28. [Google Scholar] [CrossRef]
- Lei, Y.; Hu, Z.; Cao, B.; Chen, X.; Song, H. Enhancements of thermal insulation and mechanical property of silica aerogel monoliths by mixing graphene oxide. Mater. Chem. Phys. 2017, 187, 183–190. [Google Scholar] [CrossRef]
- Lu, X.; Arduini-Schuster, M.C.; Kuhn, J.; Nilsson, O.; Fricke, J.; Pekala, R.W. Thermal Conductivity of Monolithic Organic Aerogels. Science 1992, 255, 971–972. [Google Scholar] [CrossRef]
- Wang, Y.-Y.; Zhou, Z.-H.; Zhu, J.-L.; Sun, W.-J.; Yan, D.-X.; Dai, K.; Li, Z.-M. Low-temperature carbonized carbon nanotube/cellulose aerogel for efficient microwave absorption. Compos. Part B Eng. 2021, 220, 108985. [Google Scholar] [CrossRef]
- Nguyen, S.T.; Feng, J.; Ng, S.K.; Wong, J.P.W.; Tan, V.B.C.; Duong, H.M. Advanced thermal insulation and absorption properties of recycled cellulose aerogels. Colloids Surf. A Physicochem. Eng. Asp. 2014, 445, 128–134. [Google Scholar] [CrossRef]
- Biesmans, G.; Randall, D.; Francais, E.; Perrut, M. Polyurethane-based organic aerogels’ thermal performance. J. Non-Cryst. Solids 1998, 225, 36–40. [Google Scholar] [CrossRef]
- Rigacci, A.; Marechal, J.C.; Repoux, M.; Moreno, M.; Achard, P. Preparation of polyurethane-based aerogels and xerogels for thermal superinsulation. J. Non-Cryst. Solids 2004, 350, 372–378. [Google Scholar] [CrossRef]
- Szycher, M. Szycher’s Handbook of Polyurethanes, 2nd ed.; CRC Press: Boca Raton, FL, USA, 2013. [Google Scholar]
- Burgaz, E. Polyurethane Insulation Foams for Energy and Sustainability, 1st ed.; Springer: Cham, Switzerland, 2019; Available online: http://www.springer.com/series/8611 (accessed on 16 February 2024).
- Merillas, B.; Villafañe, F.; Rodríguez-Pérez, M.Á. Super-Insulating Transparent Polyisocyanurate-Polyurethane Aerogels: Analysis of Thermal Conductivity and Mechanical Properties. Nanomaterials 2022, 12, 2409. [Google Scholar] [CrossRef]
- Lu, X.; Caps, R.; Fricke, J.; Alviso, C.T.; Pekala, R.W. Correlation between structure and thermal conductivity of organic aerogels. J. Non-Cryst. Solids 1995, 188, 226–234. [Google Scholar] [CrossRef]
- Alvarez-Lainez, M.; Rodriguez-Perez, M.A.; De Saja, J.A. Thermal Conductivity of Open-Cell Polyolefin Foams. J. Polym. Sci. Part B Polym. Phys. 2007, 46, 212–221. [Google Scholar] [CrossRef]
- Jones, D.; Brischke, C. (Eds.) 2—Wood as bio-based building material. In Performance of Bio-Based Building Materials; Woodhead Publishing: Duxford, UK, 2017; pp. 21–96. Available online: https://www.sciencedirect.com/science/article/pii/B9780081009826000021 (accessed on 4 July 2023).
- Glicksman, L.R. Heat Transfer and Ageing of Cellular Foam Insulation. Cell. Polym. 1991, 10, 273–296. [Google Scholar] [CrossRef]
- Liu, J.; Buahom, P.; Lu, C.; Yu, H.; Park, C.B. Microscopic revelation of the solid–gas coupling and Knudsen effect on the thermal conductivity of silica aerogel with inter-connected pores. Sci. Rep. 2022, 12, 21034. [Google Scholar] [CrossRef] [PubMed]
- Hilyard, N.C.; Cunningham, A. Low Density Cellular Plastics: Physical Basis of Behaviour; Springer: Dordrecht, The Netherlands, 1994. [Google Scholar] [CrossRef]
- Wang, X.-D.; Sun, D.; Duan, Y.-Y.; Hu, Z.-J. Radiative characteristics of opacifier-loaded silica aerogel composites. J. Non-Cryst. Solids 2013, 375, 31–39. [Google Scholar] [CrossRef]
- Zhu, J.; Ren, H.; Bi, Y. Opacified graphene-doped silica aerogels with controllable thermal conductivity. J. Porous Mater. 2018, 25, 1697–1705. [Google Scholar] [CrossRef]
- Lamy-Mendes, A.; Malfait, W.J.; Sadeghpour, A.; Girão, A.V.; Silva, R.F.; Durães, L. Influence of 1D and 2D carbon nanostructures in silica-based aerogels. Carbon 2021, 180, 146–162. [Google Scholar] [CrossRef]
- Karamikamkar, S.; Abidli, A.; Behzadfar, E.; Rezaei, S.; Naguib, H.E.; Park, C.B. The effect of graphene-nanoplatelets on gelation and structural integrity of a polyvinyltrimethoxysilane-based aerogel. RSC Adv. 2019, 9, 11503–11520. [Google Scholar] [CrossRef]
- Hümmer, E.; Lu, X.; Rettelbach, T.; Fricke, J. Heat transfer in opacified aerogel powders. J. Non-Cryst. Solids 1992, 145, 211–216. [Google Scholar] [CrossRef]
- Kuhn, J.; Gleissner, T.; Arduini-Schuster, M.C.; Korder, S.; Fricke, J. Integration of mineral powders into SiO2 aerogels. J. Non-Cryst. Solids 1995, 186, 291–295. [Google Scholar] [CrossRef]
- Kwon, Y.-G.; Choi, S.-Y.; Kang, E.-S.; Baek, S.-S. Ambient-dried silica aerogel doped with TiO2 powder for thermal insulation. J. Mater. Sci. 2000, 35, 6075–6079. [Google Scholar] [CrossRef]
- Zhang, H.; Qiao, Y.; Zhang, X.; Fang, S. Structural and thermal study of highly porous nanocomposite SiO2-based aerogels. J. Non-Cryst. Solids 2010, 356, 879–883. [Google Scholar] [CrossRef]
- Liu, H.-L.; He, X.; Li, H.-Y.; Li, J.; Li, Y.-J. Novel GO/silica composite aerogels with enhanced mechanical and thermal insulation properties prepared at ambient pressure. Ferroelectrics 2018, 528, 15–21. [Google Scholar] [CrossRef]
- Lamy-Mendes, A.; Girão, A.V.; Silva, R.F.; Durães, L. Polysilsesquioxane-based silica aerogel monoliths with embedded CNTs. Microporous Mesoporous Mater. 2019, 288, 109575. [Google Scholar] [CrossRef]
- Tafreshi, O.A.; Ghaffari-Mosanenzadeh, S.; Ben Rejeb, Z.; Saadatnia, Z.; Rastegardoost, M.M.; Zhang, C.; Park, C.B.; Naguib, H.E. Amphiphilic polyimide-graphene nanoplatelet aerogel composites with high mechanical stability and enhanced thermal insulation properties for oil sorption applications. Mater. Today Sustain. 2023, 22, 100403. [Google Scholar] [CrossRef]
- Zhu, C.Y.; Li, J.B.; Dai, P.C.; Gong, L. Elevating high-temperature insulation performance of silica aerogels enabled by innovative surface-structured opacifiers. Appl. Therm. Eng. 2024, 255, 1–10. [Google Scholar] [CrossRef]
- Liu, H.; Liu, J.; Tian, Y.; Jiao, J.; Wu, X. Thermal Insulation Performance of Silica Aerogel Composites Doped with Hollow Opacifiers: Theoretical Approach. Gels 2022, 8, 5. [Google Scholar] [CrossRef]
- Deng, T.; Li, H.; Li, Y.; Jiang, C.; He, Y.; Yang, T.; Zhu, L.; Xie, L. Environment friendly biomass composite aerogel with reinforced mechanical properties for thermal insulation and flame retardancy application. Polym. Eng. Sci. 2023, 63, 4084–4097. [Google Scholar] [CrossRef]
- Merillas, B.; Álvarez-Arenas, T.E.G.; Villafañe, F.; Angel Rodríguez-Pérez, M. Reaching a near zero radiative heat transfer by the inclusion of modified multiwalled-carbon nanotubes (MWCNTs) in polyurethane-polyisocyanurate aerogels. Mater. Today Chem. 2023, 34, 2468–5194. [Google Scholar] [CrossRef]
- Martín-de León, J.; Sillero, A.; Rodríguez-Pérez, M.A. Using infrared opacifiers to reduce the thermal conductivity of micro and nanocellular polymethylmethacrylate. Polymer 2024, 290, 126523. [Google Scholar] [CrossRef]
- Wolf, A.; Terheiden, B.; Brendel, R. Light scattering and diffuse light propagation in sintered porous silicon. J. Appl. Phys. 2008, 104, 033106. [Google Scholar] [CrossRef]
- Merillas, B.; Martín-De León, J.; Villafañe, F.; Ángel Rodríguez-Pérez, M. Optical Properties of Polyisocyanurate-Polyurethane Aerogels: Study of the Scattering Mechanisms. Nanomaterials 2022, 12, 1522. [Google Scholar] [CrossRef] [PubMed]
- Merillas, B.; Martín-De León, J.; Villafañe, F.; Rodríguez-Pérez, M.A. Transparent Polyisocyanurate-Polyurethane-Based Aerogels: Key Aspects on the Synthesis and Their Porous Structures. ACS Appl. Polym. Mater. 2021, 2021, 4607–4615. [Google Scholar] [CrossRef]
- Notario, B.; Pinto, J.; Solorzano, E.; de Saja, J.A.; Dumon, M.; Rodríguez-Pérez, M.A. Experimental validation of the Knudsen effect in nanocellular polymeric foams. Polymer 2015, 56, 57–67. [Google Scholar] [CrossRef]
- Forest, C.; Chaumont, P.; Cassagnau, P.; Swoboda, B.; Sonntag, P. Polymer nano-foams for insulating applications prepared from CO2 foaming. Prog. Polym. Sci. 2015, 41, 122–145. [Google Scholar] [CrossRef]
- Zhao, J.-J.; Duan, Y.-Y.; Wang, X.-D.; Zhang, X.-R.; Han, Y.-H.; Gao, Y.-B.; Lv, Z.-H.; Yu, H.-T.; Wang, B.-X. Optical and radiative properties of infrared opacifier particles loaded in silica aerogels for high temperature thermal insulation. Int. J. Therm. Sci. 2013, 70, 54–64. [Google Scholar] [CrossRef]
- Wang, L.; Wu, Y.K.; Ai, F.F.; Fan, J.; Xia, Z.P.; Liu, Y. Hierarchical porous polyamide 6 by solution foaming: Synthesis, characterization and properties. Polymers 2018, 10, 1310. [Google Scholar] [CrossRef]
- Zhao, C.; Mark, L.H.; Chang, E.; Chu, R.K.M.; Lee, P.C.; Park, C.B. Highly expanded, highly insulating polypropylene/polybutylene-terephthalate composite foams manufactured by nano-fibrillation technology. Mater. Des. 2020, 188, 108450. [Google Scholar] [CrossRef]
- Silva, M.C.; Takahashi, J.A.; Chaussy, D.; Belgacem, M.N.; Silva, G.G. Composites of rigid polyurethane foam and cellulose fiber residue. J. Appl. Polym. Sci. 2010, 117, 3665–3672. [Google Scholar] [CrossRef]
- Jelle, B.P. Traditional, state-of-the-art and future thermal building insulation materials and solutions—Properties, requirements and possibilities. Energy Build. 2011, 43, 2549–2563. [Google Scholar] [CrossRef]
- Zhao, J.; Wang, G.; Wang, C.; Park, C.B. Ultra-lightweight, super thermal-insulation and strong PP/CNT microcellular foams. Compos. Sci. Technol. 2020, 191, 108084. [Google Scholar] [CrossRef]
- Koebel, M.; Rigacci, A.; Achard, P. Aerogel-based thermal superinsulation: An overview. J. Sol-Gel Sci. Technol. 2012, 63, 315–339. [Google Scholar] [CrossRef]
- D1622/D1622M; Standard Test Method for Apparent Density of Rigid Cellular Plastics. Available online: https://www.astm.org/d1622_d1622m-14.html (accessed on 6 July 2023).
- Barrett, E.P.; Joyner, L.G.; Halenda, P.P. The Determination of Pore Volume and Area Distributions in Porous Substances. I. Computations from Nitrogen Isotherms. J. Am. Chem. Soc. 1951, 73, 373–380. [Google Scholar] [CrossRef]
- Pinto, J.; Solórzano, E.; Rodriguez-Perez, M.A.; de Saja, J.A. Characterization of the cellular structure based on user-interactive image analysis procedures. J. Cell. Plast. 2013, 49, 555–575. [Google Scholar] [CrossRef]
- Horvat, G.; Pantić, M.; Knez, Ž.; Novak, Z. A Brief Evaluation of Pore Structure Determination for Bioaerogels. Gels 2022, 8, 438. [Google Scholar] [CrossRef]
- D1621; Standard Test Method for Compressive Properties of Rigid Cellular Plastics. Available online: https://www.astm.org/d1621-16.html (accessed on 24 July 2023).
- ISO 291:2008; Plastics—Standard Atmospheres for Conditioning and Testing. Available online: https://www.une.org/encuentra-tu-norma/busca-tu-norma/iso/?c=050572 (accessed on 24 July 2023).
- Bhinder, J.; Agnihotri, P.K. Effect of carbon nanotube doping on the energy dissipation and rate dependent deformation behavior of polyurethane foams. J. Cell. Plast. 2020, 57, 287–311. [Google Scholar] [CrossRef]
- ASTM C518-21; Standard Test Method for Steady-State Thermal Transmission Properties by Means of the Heat Flow Meter Apparatus 1. ASTM International: West Conshohocken, PA, USA, 2021.
- ISO 8301:1991/Amd 1:2010; Thermal Insulation—Determination of Steady-State Thermal Resistance and Related Properties—Heat Flow Meter Apparatus—Amendment 1. Available online: https://www.une.org/encuentra-tu-norma/busca-tu-norma/iso/?c=052266 (accessed on 6 July 2023).
- Sánchez-Calderón, I.; Sillero, A.; Lizalde-Arroyo, F.; Bernardo, V.; Martín-De-León, J.; Angel Rodríguez-Pérez, M. Evaluation of methods to accurately characterize the thermal conductivity of micro-and nanocellular polymers based on poly(methyl-methacrylate) (PMMA) produced at lab-scale. Polym. Test. 2023, 117, 107842. [Google Scholar] [CrossRef]
- Rewatkar, P.M.; Saeed, A.M.; Far, H.M.; Donthula, S.; Sotiriou-Leventis, C.; Leventis, N. Polyurethane Aerogels Based on Cyclodextrins: High-Capacity Desiccants Regenerated at Room Temperature by Reducing the Relative Humidity of the Environment. ACS Appl. Mater. Interfaces 2019, 11, 34292–34304. [Google Scholar] [CrossRef]
- Romero, R.R.; Grigsby, R.A.; Rister, E.L.; Pratt, J.K.; Ridgway, D. A Study of the Reaction Kinetics of Polyisocyanurate Foam Formulations using Real-time FTIR. J. Cell. Plast. 2005, 41, 339–359. [Google Scholar] [CrossRef]















| Gelation Time | L-GNP | M-GNP | S-GNP |
|---|---|---|---|
| 0.5 wt.% | 1′50″ | 3′01″ | 5′10″ |
| 1 wt.% | 1′35″ | 3′33″ | 3′40″ |
| 5 wt.% | 3′30″ | 2′30″ | 2′30″ |
| Sample | ρB (kg/m3) | ρr | Sl (%) | Sv (%) | Π (%) | SBET (m2/g) | Vp (cm3/g) | Pore Size (nm) | Particle Size (nm) |
|---|---|---|---|---|---|---|---|---|---|
| Reference | 78.47 | 0.0613 | 9.73 | 17.41 | 93.87 | 226.24 | 11.96 | 211.51 | 25.9 ± 3.7 |
| 0.5 L | 80.44 | 0.0628 | 8.65 | 19.84 | 93.72 | 220.10 | 11.65 | 211.73 | 30.5 ± 5.0 |
| 1 L | 82.99 | 0.0648 | 7.68 | 22.21 | 93.52 | 214.27 | 11.27 | 210.37 | 30.7 ± 4.5 |
| 5 L | 87.57 | 0.0684 | 9.27 | 21.44 | 93.16 | 214.95 | 10.64 | 197.96 | 54.3 ± 7.7 |
| 0.5 M | 96.85 | 0.0757 | 13.29 | 29.40 | 92.43 | 269.77 | 9.54 | 141.51 | 27.8 ± 4.3 |
| 1 M | 98.34 | 0.0768 | 13.26 | 30.84 | 92.32 | 272.54 | 9.39 | 137.77 | 24.7 ± 3.4 |
| 5 M | 92.27 | 0.0721 | 9.34 | 32.32 | 92.79 | 230.90 | 10.06 | 174.22 | 33.4 ± 7.4 |
| 0.5 S | 92.96 | 0.0721 | 13.32 | 31.57 | 92.79 | 234.56 | 10.06 | 173.74 | 39.5 ± 5.7 |
| 1 S | 88.25 | 0.0689 | 8.99 | 23.23 | 93.11 | 204.72 | 10.55 | 206.19 | 46.7 ± 6.7 |
| 5 S | 88.48 | 0.0691 | 9.96 | 23.76 | 93.09 | 192.65 | 10.52 | 218.44 | 40.2 ± 6.2 |
Disclaimer/Publisher’s Note: The statements, opinions and data contained in all publications are solely those of the individual author(s) and contributor(s) and not of MDPI and/or the editor(s). MDPI and/or the editor(s) disclaim responsibility for any injury to people or property resulting from any ideas, methods, instructions or products referred to in the content. |
© 2025 by the authors. Licensee MDPI, Basel, Switzerland. This article is an open access article distributed under the terms and conditions of the Creative Commons Attribution (CC BY) license (https://creativecommons.org/licenses/by/4.0/).
Share and Cite
Lledó, J.; Martín-de León, J.; Gómez Álvarez-Arenas, T.E.; Rodríguez-Pérez, M.Á.; Merillas, B. Studying the Size-Dependence of Graphene Nanoplatelets (GNPs) in the Final Properties of Polyurethane Aerogels: Thermal Insulation and Mechanical Strength. Gels 2025, 11, 44. https://doi.org/10.3390/gels11010044
Lledó J, Martín-de León J, Gómez Álvarez-Arenas TE, Rodríguez-Pérez MÁ, Merillas B. Studying the Size-Dependence of Graphene Nanoplatelets (GNPs) in the Final Properties of Polyurethane Aerogels: Thermal Insulation and Mechanical Strength. Gels. 2025; 11(1):44. https://doi.org/10.3390/gels11010044
Chicago/Turabian StyleLledó, Jaime, Judith Martín-de León, Tomás E. Gómez Álvarez-Arenas, Miguel Ángel Rodríguez-Pérez, and Beatriz Merillas. 2025. "Studying the Size-Dependence of Graphene Nanoplatelets (GNPs) in the Final Properties of Polyurethane Aerogels: Thermal Insulation and Mechanical Strength" Gels 11, no. 1: 44. https://doi.org/10.3390/gels11010044
APA StyleLledó, J., Martín-de León, J., Gómez Álvarez-Arenas, T. E., Rodríguez-Pérez, M. Á., & Merillas, B. (2025). Studying the Size-Dependence of Graphene Nanoplatelets (GNPs) in the Final Properties of Polyurethane Aerogels: Thermal Insulation and Mechanical Strength. Gels, 11(1), 44. https://doi.org/10.3390/gels11010044

