Egg White-Based Gels with Candelilla Wax: A Study of Rheological, Mechanical, Calorimetric and Microstructural Properties
Abstract
1. Introduction
2. Results and Discussion
2.1. Compression Testing of Bigels
2.2. Characterization of the Emulsions Forming the Basis of Bigels
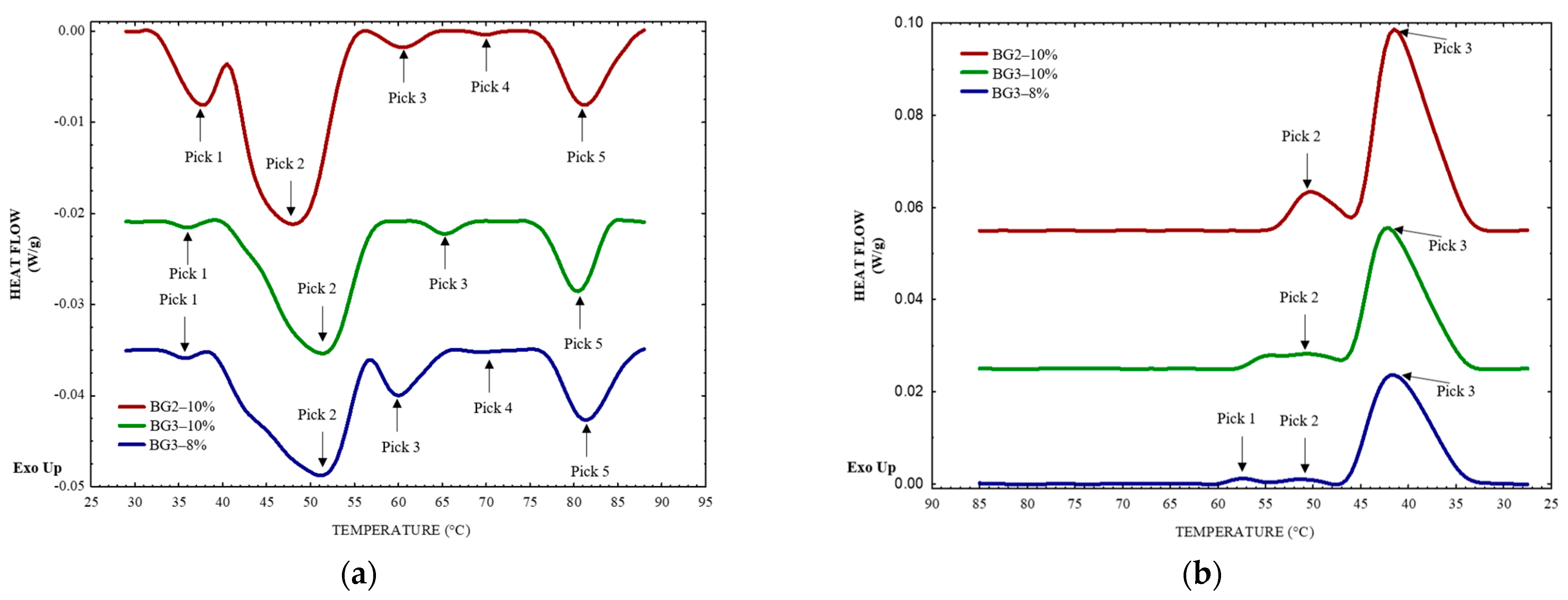
2.3. Thermal Characterization
2.4. Rheological Properties
2.4.1. Flow Curves
2.4.2. Ramp Temperature Test
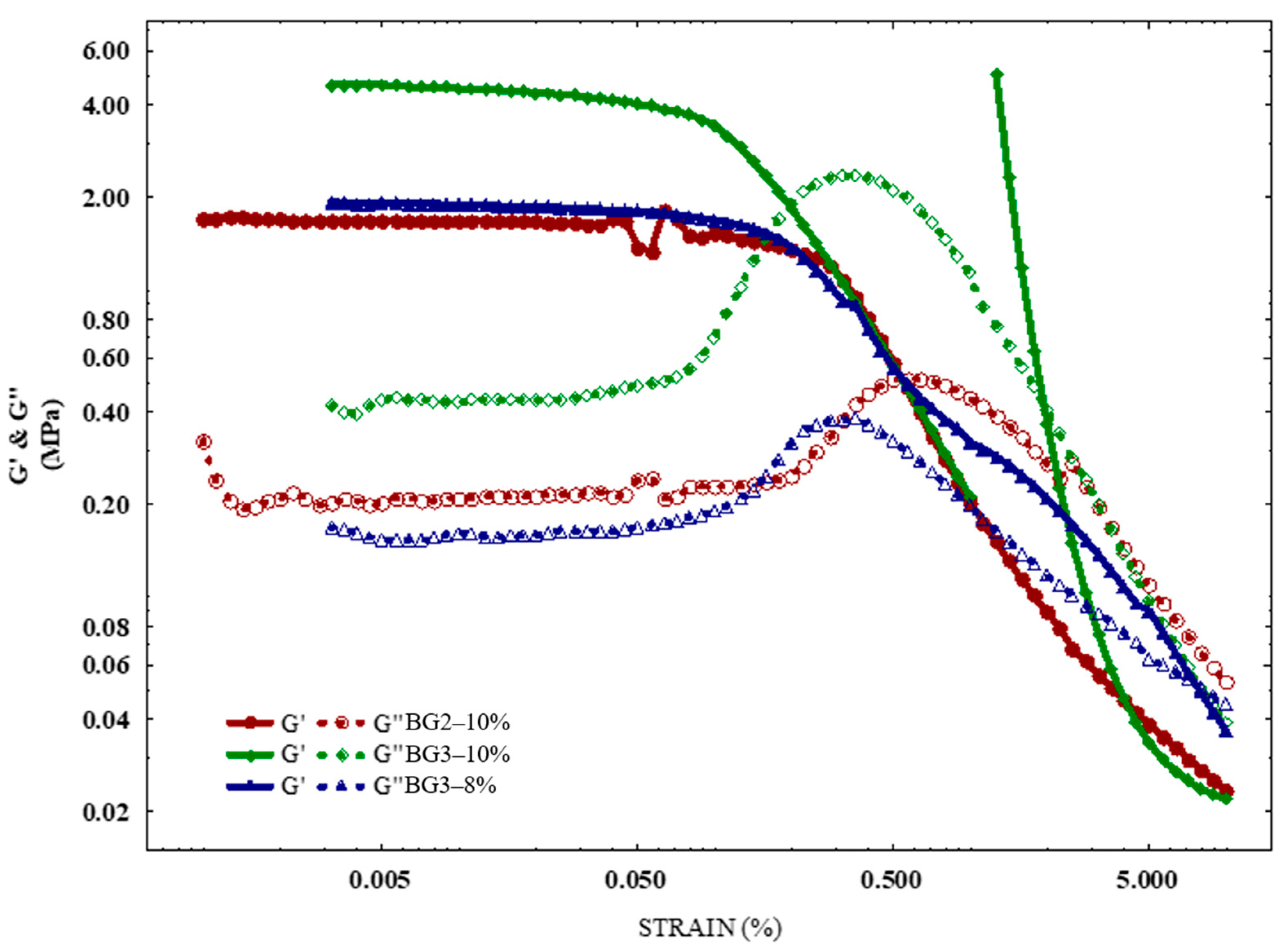
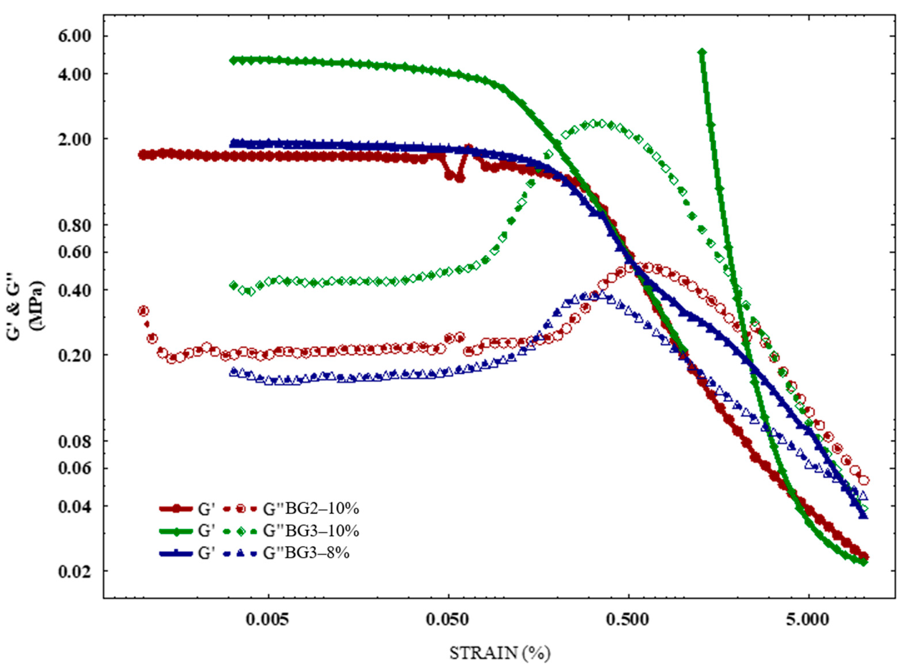
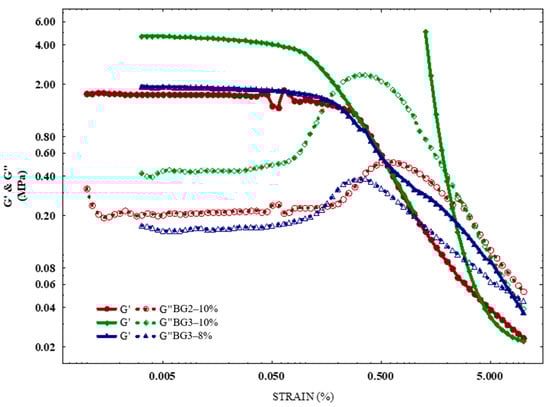
2.4.3. Amplitude Sweeps
2.5. Microscopy Characterization
3. Conclusions
4. Materials and Methods
4.1. Materials
4.2. Protein Determination
4.3. Bigel Elaboration
4.4. Bigels Compression Tests
4.5. Contact Angle Measurements
4.6. Emulsions Stability
4.7. Apparent Viscosity Measurements of Emulsions
4.8. Differential Scanning Calorimetry (DSC)
4.9. Rheological Behavior
4.10. Confocal Laser Scanning Microscopy
4.11. Polarized Light Microscopy
4.12. Statistical Analysis
Author Contributions
Funding
Institutional Review Board Statement
Informed Consent Statement
Data Availability Statement
Acknowledgments
Conflicts of Interest
References
- Ozen, E.; Mihaylova, R.; Weech, M.; Kinsella, S.; Lovegrove, J.A.; Jackson, K.G. Association between dietary saturated fat with cardiovascular disease risk markers and body composition in healthy adults: Findings from the cross-sectional BODYCON study. Nutr. Metab. 2022, 19, 15. [Google Scholar] [CrossRef] [PubMed]
- Te Morenga, L.; Montez, J.M. Health effects of saturated and trans-fatty acid intake in children and adolescents: Systematic review and meta-analysis. PLoS ONE 2017, 12, e0186672. [Google Scholar] [CrossRef] [PubMed]
- Kaimal, A.M.; Singhal, R.S. A bigel based formulation protects lutein better in the gastric environment with controlled release and antioxidant profile than other gel based systems. Food Chem. 2023, 423, 136304. [Google Scholar] [CrossRef] [PubMed]
- Wang, X.; Xie, H.; Shi, C.; Dziugan, P.; Zhao, H.; Zhang, B. Fabrication and Characterization of Gel Beads of Whey Isolate Protein–Pectin Complex for Loading Quercetin and Their Digestion Release. Gels 2021, 8, 18. [Google Scholar] [CrossRef] [PubMed]
- Silva, T.J.; Barrera-Arellano, D.; Ribeiro, A.P.B. Oleogel-based emulsions: Concepts, structuring agents, and applications in food. J. Food Sci. 2021, 86, 2785–2801. [Google Scholar] [CrossRef]
- Bedse, A.; Singh, D.; Raut, S.; Baviskar, K.; Wable, A.; Pagare, P.; Wavikar, S.; Pagar, S. Organogel: A Propitious Carman in Drug Delivery System. In Advanced Drug Delivery Systems; Prajapati, B., Ed.; IntechOpen: London, UK, 2023; Available online: https://www.intechopen.com/chapters/84215 (accessed on 15 July 2024).
- De La Peña-Gil, A.; Charo-Alonso, M.; Toro-Vazquez, J.F. Development of structured W/O emulsions with the use of only candelilla wax. J. Am. Oil Chem. Soc. 2023, 101, 95–108. [Google Scholar] [CrossRef]
- Toro-Vazquez, J.F.; Morales-Rueda, J.A.; Dibildox-Alvarado, E.; Charó-Alonso, M.; Alonzo-Macias, M.; González-Chávez, M.M. Thermal and Textural Properties of Organogels Developed by Candelilla Wax in Safflower Oil. J. Am. Oil Chem. Soc. 2007, 84, 989–1000. [Google Scholar] [CrossRef]
- Tavernier, I.; Doan, C.D.; Van Der Meeren, P.; Heyman, B.; Dewettinck, K. The Potential of Waxes to Alter the Microstructural Properties of Emulsion-Templated Oleogels. Eur. J. Lipid Sci. Technol. 2018, 120, 1700393. [Google Scholar] [CrossRef]
- Hwang, H.; Singh, M.; Bakota, E.L.; Winkler-Moser, J.K.; Kim, S.; Liu, S.X. Margarine from Organogels of Plant Wax and Soybean Oil. J. Am. Oil Chem. Soc. 2013, 90, 1705–1712. [Google Scholar] [CrossRef]
- Patel, A.R.; Babaahmadi, M.; Lesaffer, A.; Dewettinck, K. Rheological Profiling of Organogels Prepared at Critical Gelling Concentrations of Natural Waxes in a Triacylglycerol Solvent. J. Agric. Food Chem. 2015, 63, 4862–4869. [Google Scholar] [CrossRef]
- Pehlivanoglu, H.; Demirci, M.; Toker, O.S. Rheological properties of wax oleogels rich in high oleic acid. Int. J. Food Prop. 2017, 20 (Suppl. S3), S2856–S2867. [Google Scholar] [CrossRef]
- Barragán-Martínez, L.P.; Molina-Rodríguez, A.; Román-Guerrero, A.; Vernon-Carter, E.J.; Alvarez-Ramirez, J. Effect of starch gelatinization on the morphology, viscoelasticity, and water structure of candelilla wax–canola oil–starch hybrid gels. J. Food Process. Preserv. 2022, 46, e16520. [Google Scholar] [CrossRef]
- Mohanan, A.; Nickerson, M.T.; Ghosh, S. The Effect of Addition of High-Melting Monoacylglycerol and Candelilla Wax on Pea and Faba Bean Protein Foam-Templated Oleogelation. J. Am. Oil Chem. Soc. 2020, 97, 1319–1333. [Google Scholar] [CrossRef]
- Shakeel, A.; Farooq, U.; Gabriele, D.; Marangoni, A.G.; Lupi, F.R. Bigels and multi-component organogels: An overview from rheological perspective. Food Hydrocoll. 2021, 111, 106190. [Google Scholar] [CrossRef]
- Bruno, E.; Lupi, F.R.; Mammolenti, D.; Baldino, N.; Gabriele, D. Development and rheological modeling of dietary fiber and policosanol plant-based bigels for potential food applications. Food Hydrocoll. 2024, 150, 109733. [Google Scholar] [CrossRef]
- Alves Barroso, L.; Grossi Bovi Karatay, G.; Dupas Hubinger, M. Effect of Potato Starch Hydrogel:Glycerol Monostearate Oleogel Ratio on the Physico-Rheological Properties of Bigels. Gels 2022, 8, 694. [Google Scholar] [CrossRef]
- Baltuonytė, G.; Eisinaitė, V.; Kazernavičiūtė, R.; Vinauskienė, R.; Jasutienė, I.; Leskauskaitė, D. Novel Formulation of Bigel-Based Vegetable Oil Spreads Enriched with Lingonberry Pomace. Foods 2022, 11, 2213. [Google Scholar] [CrossRef]
- Ghorghi, Z.B.; Yeganehzad, S.; Hesarinejad, M.A.; Faezian, A.; Kutsenkova, V.; Gao, Z.; Nishinari, K.; Nepovinnykh, N. Fabrication of novel hybrid gel based on beeswax oleogel: Application in the compound chocolate formulation. Food Hydrocoll. 2023, 140, 108599. [Google Scholar] [CrossRef]
- Mata-Mota, J.D.; Gallegos-Infante, J.A.; Pérez-Martínez, J.D.; Rocha-Guzmán, N.E.; González-Laredo, R.F. Effect of hydrogel/oleogel ratio, speed and time of mixing, on the mechanical properties of bigel materials and the application of Cox-Merz rule. Food Mater. Res. 2023, 3, 24. [Google Scholar] [CrossRef]
- Xie, D.; Hu, H.; Huang, Q.; Lu, X. Influence of oleogel/hydrogel ratios and emulsifiers on structural and digestion properties of food-grade 3D printed bigels as carriers for quercetin and catechin. Food Hydrocoll. 2023, 144, 108948. [Google Scholar] [CrossRef]
- Luo, X.; Wang, Q.; Wu, Y.; Duan, W.; Zhang, Y.; Geng, F.; Song, H.; Huang, Q.; An, F. Mechanism of effect of heating temperature on functional characteristics of thick egg white. LWT 2022, 154, 112807. [Google Scholar] [CrossRef]
- Zang, J.; Zhang, Y.; Pan, X.; Peng, D.; Tu, Y.; Chen, J.; Zhang, Q.; Tang, D.; Yin, Z. Advances in the formation mechanism, influencing factors and applications of egg white gels: A review. Trends Food Sci. Technol. 2023, 138, 417–432. [Google Scholar] [CrossRef]
- Tanislav, A.E.; Pușcaș, A.; Păucean, A.; Mureșan, A.E.; Semeniuc, C.A.; Mureșan, V.; Mudura, E. Evaluation of Structural Behavior in the Process Dynamics of Oleogel-Based Tender Dough Products. Gels 2022, 8, 317. [Google Scholar] [CrossRef] [PubMed]
- Cui, Q.; Wang, G.; Gao, D.; Wang, L.; Zhang, A.; Wang, X.; Xu, N.; Jiang, L. Improving the gel properties of transgenic microbial transglutaminase cross-linked soybean-whey mixed protein by ultrasonic pretreatment. Process Biochem. 2020, 91, 104–112. [Google Scholar] [CrossRef]
- Omana, D.A.; Wang, J.; Wu, J. Ovomucin—A glycoprotein with promising potential. Trends Food Sci. Technol. 2010, 21, 455–463. [Google Scholar] [CrossRef]
- Silva, R.C.D.; Ferdaus, M.d.J.; Foguel, A.; Da Silva, T.L.T. Oleogels as a Fat Substitute in Food: A Current Review. Gels 2023, 9, 180. [Google Scholar] [CrossRef]
- Wright, A.J.; Scanlon, M.G.; Hartel, R.W.; Marangoni, A.G. Rheological Properties of Milkfat and Butter. J. Food Sci. 2001, 66, 1056–1071. [Google Scholar] [CrossRef]
- Cai, L.; Feng, J.; Peng, X.; Regenstein, J.M.; Li, X.; Li, J.; Zhao, W. Effect of egg albumen protein addition on physicochemical properties and nanostructure of gelatin from fish skin. J. Food Sci. Technol. 2016, 53, 4224–4233. [Google Scholar] [CrossRef]
- Zhou, Q.; Wei, Z.; Xu, Y.; Xue, C. Fibrous and Spherical Aggregates of Ovotransferrin as Stabilizers for Oleogel-Based Pickering Emulsions: Preparation, Characteristics and Curcumin Delivery. Gels 2022, 8, 517. [Google Scholar] [CrossRef]
- Dickinson, E. Adsorbed protein layers at fluid interfaces: Interactions, structure and surface rheology. Colloids Surf. B Biointerfaces 1999, 15, 161–176. [Google Scholar] [CrossRef]
- McClements, D.J. Food Emulsions: Principles, Practices, and Techniques, 3rd ed.; CRC Press: Boca Raton, FL, USA, 2015; 702p. [Google Scholar]
- Penagos, I.; Murillo Moreno, J.; Dewettinck, K.; Van Bockstaele, F. Carnauba Wax and Beeswax as Structuring Agents for Water-in-Oleogel Emulsions without Added Emulsifiers. Foods 2023, 12, 1850. [Google Scholar] [CrossRef] [PubMed]
- Su, Y.; Zhang, W.; Liu, R.; Chang, C.; Li, J.; Xiong, W.; Yang, Y.; Gu, L. Emulsion-Templated Liquid Oil Structuring with Egg White Protein Microgel- Xanthan Gum. Foods 2023, 12, 1884. [Google Scholar] [CrossRef] [PubMed]
- Zhu, Q.; Qiu, S.; Zhang, H.; Cheng, Y.; Yin, L. Physical stability, microstructure and micro-rheological properties of water-in-oil-in-water (W/O/W) emulsions stabilized by porcine gelatin. Food Chem. 2018, 253, 63–70. [Google Scholar] [CrossRef] [PubMed]
- Dong, W.; Zhang, X.; Ding, L.; Liu, C.; Ai, M.; Jin, Y.; Isobe, K.; Handa, A.; Cai, Z. Enhancement of emulsification properties by modulation of egg white protein fibril structure with different heating times. Food Hydrocoll. 2023, 135, 108203. [Google Scholar] [CrossRef]
- Wijarnprecha, K.; De Vries, A.; Sonwai, S.; Rousseau, D. Water-in-Oleogel Emulsions—From Structure Design to Functionality. Front. Sustain. Food Syst. 2021, 4, 566445. [Google Scholar] [CrossRef]
- Binks, B.P.; Rocher, A. Effects of temperature on water-in-oil emulsions stabilised solely by wax microparticles. J. Colloid Interface Sci. 2009, 335, 94–104. [Google Scholar] [CrossRef]
- Rocha, J.C.B.; Lopes, J.D.; Mascarenhas, M.C.N.; Arellano, D.B.; Guerreiro, L.M.R.; Da Cunha, R.L. Thermal and rheological properties of organogels formed by sugarcane or candelilla wax in soybean oil. Food Res. Int. 2013, 50, 318–323. [Google Scholar] [CrossRef]
- Serrato-Palacios, L.L.; Toro-Vazquez, J.F.; Dibildox-Alvarado, E.; Aragón-Piña, A.; Morales-Armenta, M.D.R.; Ibarra-Junquera, V.; Pérez-Martínez, J.D. Phase Behavior and Structure of Systems Based on Mixtures of n -Hentriacontane and Melissic Acid. J. Am. Oil Chem. Soc. 2015, 92, 533–540. [Google Scholar] [CrossRef]
- Oscarson, J.R.; Rowley, R.L. Physical and Thermodynamic Properties of Pure Chmicals: DIPPR 801 Evaluated Process Design Data; Taylor & Francis: Philadelphia, PA, USA, 2003. [Google Scholar]
- Singh, R.P.; Heldman, D.R. Introduction to Food Engineering, 3rd ed.; Elsevier Science: Amsterdam, The Netherlands, 2014. [Google Scholar]
- Rojas, E.E.G.; Coimbra, J.S.R.; Telis-Romero, J. Thermophysical Properties of Cotton, Canola, Sunflower and Soybean Oils as a Function of Temperature. Int. J. Food Prop. 2013, 16, 1620–1629. [Google Scholar] [CrossRef]
- Cholakova, D.; Denkov, N. Rotator phases in alkane systems: In bulk, surface layers and micro/nano-confinements. Adv. Colloid Interface Sci. 2019, 269, 7–42. [Google Scholar] [CrossRef]
- Wang, C.; Ren, X.; Su, Y.; Yang, Y. Application of Glycation in Regulating the Heat-Induced Nanoparticles of Egg White Protein. Nanomaterials 2018, 8, 943. [Google Scholar] [CrossRef] [PubMed]
- Slade, L.; Kweon, M.; Levine, H. Exploration of the functionality of sugars in cake-baking, and effects on cake quality. Crit. Rev. Food Sci. Nutr. 2021, 61, 283–311. [Google Scholar] [CrossRef] [PubMed]
- Dai, Y.; Zhao, J.; Gao, J.; Deng, Q.; Wan, C.; Li, B.; Zhou, B. Heat- and cold-induced gels of desalted duck egg white/gelatin mixed system: Study on rheological and gel properties. Food Hydrocoll. 2021, 121, 107003. [Google Scholar] [CrossRef]
- Shinde, S.B.; Tikariha, L.; Kumar, L. Experimental and Numerical Investigation of the Degelation Behavior and Non-Isothermal Flow Restart of a Waxy Oil Pipeline. ACS Omega 2023, 8, 25972–25987. [Google Scholar] [CrossRef] [PubMed]
- Wang, C.; Chen, H.; Shi, H.; Ma, K.; Ma, Q.; Gong, J. Role of a Nanocomposite Pour Point Depressant on Wax Deposition in Different Flow Patterns from the Perspective of Crystallization Kinetics. ACS Omega 2022, 7, 11200–11207. [Google Scholar] [CrossRef]
- Xiao, Y.Y.; Zhou, S.D.; Li, X.Y.; Wang, J.J.; Wu, Z.M.; Liu, Y.; Lv, X.-F. Kinetic Properties of CO2 Hydrate Formation in the Wax-Containing System at Different Concentrations. Energy Fuels 2023, 37, 2972–2982. [Google Scholar] [CrossRef]
- Leyva-Gutierrez, F.M.A.; Wang, T. Crystallinity and Water Vapor Permeability of n- Alkane, Alcohol, Aldehyde, and Fatty Acid Constituents of Natural Waxes. Ind. Eng. Chem. Res. 2021, 60, 14651–14663. [Google Scholar] [CrossRef]
- Li, R.; Xue, H.; Gao, B.; Liu, H.; Han, T.; Hu, X.; Tu, Y.; Zhao, Y. Study on the enhancement effect and mechanism of heat-induced gel strength of duck egg white by emulsified lipids. LWT 2022, 160, 113146. [Google Scholar] [CrossRef]
- Adewale, A.W.; Aanuoluwa, O.A. Studies on some engineering properties of dried egg powder reference to its bulk handling. Ann. Sci. Technol. 2023, 8, 46–55. [Google Scholar] [CrossRef]
- Yang, Y.; Zhao, Y.; Xu, M.; Wu, N.; Yao, Y.; Du, H.; Liu, H.; Tu, Y. Changes in physico-chemical properties, microstructure and intermolecular force of preserved egg yolk gels during pickling. Food Hydrocoll. 2019, 89, 131–142. [Google Scholar] [CrossRef]
- Mine, Y.; Noutomi, T.; Haga, N. Thermally induced changes in egg white proteins. J. Agric. Food Chem. 1990, 38, 2122–2125. [Google Scholar] [CrossRef]
- Croguennec, T.; Nau, F.; Brulé, G. Influence of pH and Salts on Egg White Gelation. J. Food Sci. 2002, 67, 608–614. [Google Scholar] [CrossRef]
- Margoshes, B.A. Correlation of Protein Sulfhydryls with the Strength of Heat-Formed Egg White Gels. J. Food Sci. 1990, 55, 1753. [Google Scholar] [CrossRef]
- Li, J.; Wang, C.; Gu, L.; Su, Y.; Chang, C.; Yang, Y. Gel properties of salty liquid whole egg as affected by preheat treatment. J. Food Sci. Technol. 2020, 57, 877–885. [Google Scholar] [CrossRef] [PubMed]
- Pokora, M.; Eckert, E.; Zambrowicz, A.; Bobak, Ł.; Szołtysik, M.; Dąbrowska, A.; Chrzanowska, J.; Polanowski, A.; Trziszka, T. Biological and functional properties of proteolytic enzyme-modified egg protein by-products. Food Sci. Nutr. 2013, 1, 184–195. [Google Scholar] [CrossRef]
- Takahashi, M.; Handa, A.; Yamaguchi, Y.; Kodama, R.; Chiba, K. Anodic Oxidative Modification of Egg White for Heat Treatment. J. Agric. Food Chem. 2016, 64, 6503–6507. [Google Scholar] [CrossRef]
- Geremias-Andrade, I.; Souki, N.; Moraes, I.; Pinho, S. Rheology of Emulsion-Filled Gels Applied to the Development of Food Materials. Gels 2016, 2, 22. [Google Scholar] [CrossRef]
- Yang, J.; Zheng, H.; Mo, Y.; Gao, Y.; Mao, L. Structural characterization of hydrogel-oleogel biphasic systems as affected by oleogelators. Food Res. Int. 2022, 158, 111536. [Google Scholar] [CrossRef]
- Sutter, M.; Oliveira, S.; Sanders, N.N.; Lucas, B.; Van Hoek, A.; Hink, M.A.; Visser, A.J.; De Smedt, S.C.; Hennink, W.E.; Jiskoot, W. Sensitive Spectroscopic Detection of Large and Denatured Protein Aggregates in Solution by Use of the Fluorescent Dye Nile Red. J. Fluoresc. 2007, 17, 181–192. [Google Scholar] [CrossRef]
- Yu, Z.; Ma, L.; Liu, B.; Wang, W.; Shang, Z.; Dang, H.; Liu, C. Improvement of foaming properties of ovalbumin: Insights into the synergistic effect of preheating and high-intensity ultrasound on physicochemical properties and structure analysis. Ultrason. Sonochem. 2023, 101, 106672. [Google Scholar] [CrossRef]
- Li, J.; Han, J.; Xiao, Y.; Guo, R.; Liu, X.; Zhang, H.; Bi, Y.; Xu, X. Fabrication and Characterization of Novel Food-Grade Bigels Based on Interfacial and Bulk Stabilization. Foods 2023, 12, 2546. [Google Scholar] [CrossRef] [PubMed]
- Farjami, T.; Babaei, J.; Nau, F.; Dupont, D.; Madadlou, A. Effects of thermal, non-thermal and emulsification processes on the gastrointestinal digestibility of egg white proteins. Trends Food Sci. Technol. 2021, 107, 45–56. [Google Scholar] [CrossRef]
- Luo, Q.; Boom, R.M.; Janssen, A.E.M. Digestion of protein and protein gels in simulated gastric environment. LWT—Food Sci. Technol. 2015, 63, 161–168. [Google Scholar] [CrossRef]
- Gornall, A.G.; Bardawill, C.J.; David, M.M. Determination of serum proteins by means of the biuret reaction. J. Biol. Chem. 1949, 177, 751–766. [Google Scholar] [CrossRef]
- Cisneros, I.; Totosaus, A. Textural Properties of Emulsion-Filled Gel Formulated with Oleogels as Oil Fraction Using a Response Surface Methodology. Iran. J. Chem. Chem. Eng. IJCCE 2022, 41, 3499–3507. [Google Scholar] [CrossRef]










| Sample | EWP Concentration (%w/v) | Hydrogel (H)/Oleogel (O) Ratio | Final EW Concentration (%w/v) | Final CW Concentration (%w/v) |
|---|---|---|---|---|
| BG1–10% | 10 | 20/80 | 2.18 | 6 |
| BG2–10% | 10 | 40/60 | 4.36 | 4.5 |
| BG3–10% | 10 | 60/40 | 6.55 | 3 |
| BG4–10% | 10 | 80/20 | 8.72 | 1.5 |
| BG1–9% | 9 | 20/80 | 1.96 | 6 |
| BG2–9% | 9 | 40/60 | 3.92 | 4.5 |
| BG3–9% | 9 | 60/40 | 5.88 | 3 |
| BG4–9% | 9 | 80/20 | 7.84 | 1.5 |
| BG1–8% | 8 | 20/80 | 1.7 | 6 |
| BG2–8% | 8 | 40/60 | 3.41 | 4.5 |
| BG3–8% | 8 | 60/40 | 5.1 | 3 |
| BG4–8% | 8 | 80/20 | 6.82 | 1.5 |
| BG1–7% | 7 | 20/80 | 1.51 | 6 |
| BG2–7% | 7 | 40/60 | 3.02 | 4.5 |
| BG3–7% | 7 | 60/40 | 4.53 | 3 |
| BG4–7% | 7 | 80/20 | 6.04 | 1.5 |
| BG1–6% | 6 | 20/80 | 1.27 | 6 |
| BG2–6% | 6 | 40/60 | 2.56 | 4.5 |
| BG3–6% | 6 | 60/40 | 2.83 | 3 |
| BG4–6% | 6 | 80/20 | 5.11 | 1.5 |
| BG1–5% | 5 | 20/80 | 1.03 | 6 |
| BG2–5% | 5 | 40/60 | 2.07 | 4.5 |
| BG3–5% | 5 | 60/40 | 3.1 | 3 |
| BG4–5% | 5 | 80/20 | 4.14 | 1.5 |
| Bigel | Contact Angle Using Oil Drop | Contact Angle Using Water Drop | Apparent Viscosity |
|---|---|---|---|
| (°) | (°) | (P × s) | |
| BG2–10% | 38.93 ± 3.35 a | <1 a | 0.1776 ± 0.010 a |
| BG3–10% | 33.39 ± 4.86 ab | <1 a | 0.0596 ± 0.001 b |
| BG3–8% | 30.62 ± 1.67 b | <1 a | 0.0460 ± 0.001 b |
Disclaimer/Publisher’s Note: The statements, opinions and data contained in all publications are solely those of the individual author(s) and contributor(s) and not of MDPI and/or the editor(s). MDPI and/or the editor(s) disclaim responsibility for any injury to people or property resulting from any ideas, methods, instructions or products referred to in the content. |
© 2024 by the authors. Licensee MDPI, Basel, Switzerland. This article is an open access article distributed under the terms and conditions of the Creative Commons Attribution (CC BY) license (https://creativecommons.org/licenses/by/4.0/).
Share and Cite
Cisneros-García, I.; Salgado-Cruz, M.d.l.P.; García-Hernández, A.B.; Gutiérrez-López, G.F.; Hernández-Sánchez, H.; Camacho-Díaz, B.H.; Alamilla-Beltrán, L. Egg White-Based Gels with Candelilla Wax: A Study of Rheological, Mechanical, Calorimetric and Microstructural Properties. Gels 2024, 10, 733. https://doi.org/10.3390/gels10110733
Cisneros-García I, Salgado-Cruz MdlP, García-Hernández AB, Gutiérrez-López GF, Hernández-Sánchez H, Camacho-Díaz BH, Alamilla-Beltrán L. Egg White-Based Gels with Candelilla Wax: A Study of Rheological, Mechanical, Calorimetric and Microstructural Properties. Gels. 2024; 10(11):733. https://doi.org/10.3390/gels10110733
Chicago/Turabian StyleCisneros-García, Iram, Ma. de la Paz Salgado-Cruz, Alitzel B. García-Hernández, Gustavo F. Gutiérrez-López, Humberto Hernández-Sánchez, Brenda H. Camacho-Díaz, and Liliana Alamilla-Beltrán. 2024. "Egg White-Based Gels with Candelilla Wax: A Study of Rheological, Mechanical, Calorimetric and Microstructural Properties" Gels 10, no. 11: 733. https://doi.org/10.3390/gels10110733
APA StyleCisneros-García, I., Salgado-Cruz, M. d. l. P., García-Hernández, A. B., Gutiérrez-López, G. F., Hernández-Sánchez, H., Camacho-Díaz, B. H., & Alamilla-Beltrán, L. (2024). Egg White-Based Gels with Candelilla Wax: A Study of Rheological, Mechanical, Calorimetric and Microstructural Properties. Gels, 10(11), 733. https://doi.org/10.3390/gels10110733

