Metatranscriptomic Analyses Reveal the Functional Role of Botrytis cinerea in Biochemical and Textural Changes during Noble Rot of Grapevines
Abstract
1. Introduction
2. Materials and Methods
2.1. Sampling and RNA Extraction
2.2. Berry Skin Physical Parameter Measurement
2.3. RNAseq Data Analyses
2.3.1. Statistical Analyses
2.3.2. Weighted Gene Co-Expression Analyses
2.3.3. Differential Gene Expression and Enrichment
3. Results
3.1. Statistical Analyses
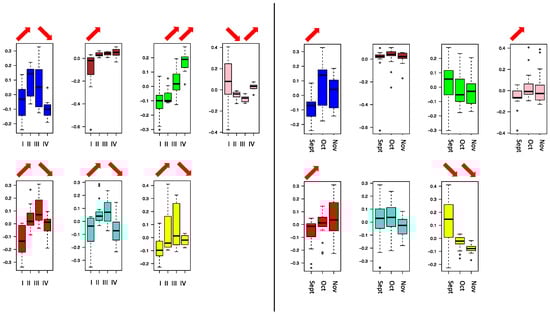
3.2. Weighted Gene Co-Expression Analyses
3.3. Differential Expression Analyses
3.4. Gene Ontology and Pathway Enrichment
4. Discussion
4.1. Expression Dynamics of Functional Genes of Botrytis cinerea during Noble Rot
4.2. Botrytis cinerea Functional Genes Involved in Berry Skin Degradation during Noble Rot
4.3. Botrytis cinerea Gene Functions in Other Biochemical Processes in Noble Rot
4.4. Functional Genes Associated with Secondary Metabolites
5. Conclusions
Supplementary Materials
Author Contributions
Funding
Institutional Review Board Statement
Informed Consent Statement
Data Availability Statement
Acknowledgments
Conflicts of Interest
References
- Magyar, I. Botrytized wines. Adv. Food Nutr. Res. 2011, 63, 147–206. [Google Scholar] [PubMed]
- Ribéreau-Gayon, P.; Duburdieu, D.; Donèche, B.; Lonvaud, A. Handbook of Enology Volume 1: The Microbiology of Wine and Vinifications; John Wiley & Sons: Hoboken, NJ, USA, 2006. [Google Scholar]
- Hodúr, C.; Csanádi, J.; László, Z. Tokaji Aszú: “The wine of kings, the king of wines”. In Traditional Foods; Springer: Boston, MA, USA, 2016; pp. 319–323. [Google Scholar]
- Elmer, P.A.; Michailides, T.J. Epidemiology of Botrytis cinerea in orchard and vine crops. In Botrytis: Biology, Pathology and Control; Springer: Dordrecht, The Netherlands, 2007; pp. 243–272. [Google Scholar]
- Fournier, E.; Gladieux, P.; Giraud, T. The ‘Dr Jekyll and Mr Hyde fungus’: Noble rot versus gray mold symptoms of Botrytis cinerea on grapes. Evol. Appl. 2013, 6, 960–969. [Google Scholar] [CrossRef] [PubMed]
- Amerine, M.A.; Singleton, V.L. The wines of northern and eastern Europe. In Wine; University of California Press: Berkeley, CA, USA, 2020; pp. 222–234. [Google Scholar]
- Cioch, M.; Semik-Szczurak, D.; Skoneczny, S. Botrytis and wine production. In Winemaking; CRC Press: Boca Raton, FL, USA, 2021; pp. 166–190. [Google Scholar]
- Darriet, P.; Stamatopoulos, P. Botrytized wines. In Managing Wine Quality; Woodhead Publishing: Sawston, UK, 2022; pp. 669–715. [Google Scholar]
- Hegyi-Kaló, J.; Hegyi, Á.I.; Geml, J.; Zsófi, Z.; Pálfi, X.; Váczy, K.Z. Physico-chemical characteristics and culturable microbial communities of grape berries change strongly during noble rot development. Plants 2020, 9, 1809. [Google Scholar] [CrossRef] [PubMed]
- Fedrizzi, B.; Tosi, E.; Simonato, B.; Finato, F.; Cipriani, M.; Caramia, G.; Zapparoli, G. Changes in wine aroma composition according to botrytized berry percentage: A preliminary study on Amarone wine. Food Technol. Biotechnol. 2011, 49, 529. [Google Scholar]
- Tosi, E.; Fedrizzi, B.; Azzolini, M.; Finato, F.; Simonato, B.; Zapparoli, G. Effects of noble rot on must composition and aroma profile of Amarone wine produced by the traditional grape withering protocol. Food Chem. 2012, 130, 370–375. [Google Scholar] [CrossRef]
- Rolle, L.; Torchio, F.; Cagnasso, E.; Gerbi, V. Evolution of mechanical variables of winegrapes for icewine production during on-vine drying. Ital. J. Food Sci. 2010, 22, 143. [Google Scholar]
- Figueiredo-González, M.; Cancho-Grande, B.; Simal-Gándara, J. Effects on colour and phenolic composition of sugar concentration processes in dried-on-or dried-off-vine grapes and their aged or not natural sweet wines. Trends Food Sci. Technol. 2013, 31, 36–54. [Google Scholar] [CrossRef]
- Carbajal-Ida, D.; Maury, C.; Salas, E.; Siret, R.; Mehinagic, E. Physico-chemical properties of botrytised Chenin blanc grapes to assess the extent of noble rot. Eur. Food Res. Technol. 2016, 242, 117–126. [Google Scholar] [CrossRef]
- Magyar, I.; Soós, J. Botrytized wines-current perspectives. Int. J. Wine Res. 2016, 8, 29–39. [Google Scholar] [CrossRef]
- Cantu, D.; Vicente, A.R.; Greve, L.C.; Dewey, F.M.; Bennett, A.B.; Labavitch, J.M.; Powell, A.L.T. The intersection between cell wall disassembly, ripening, and fruit susceptibility to Botrytis cinerea. Proc. Natl. Acad. Sci. USA 2008, 105, 859–864. [Google Scholar] [CrossRef]
- Bokulich, N.A.; Thorngate, J.H.; Richardson, P.M.; Mills, D.A. Microbial biogeography of wine grapes is conditioned by cultivar, vintage, and climate. Proc. Natl. Acad. Sci. USA 2014, 111, 139–148. [Google Scholar] [CrossRef] [PubMed]
- Doumouya, S.; Lahaye, M.; Maury, C.; Siret, R. Physical and physiological heterogeneity within the grape bunch: Impact on mechanical properties during maturation. Am. J. Enol. Vitic. 2014, 65, 170–178. [Google Scholar] [CrossRef]
- Maury, C.; Madieta, E.; le Moigne, M.; Mehinagic, E.; Siret, R.; Jourjon, F. Development of a mechanical texture test to evaluate the ripening process of Cabernet franc grapes. J. Texture Stud. 2009, 40, 511–535. [Google Scholar] [CrossRef]
- Carey, V.; Barbeau, G.; Cadot, Y.; Conradie, W.J.; Vermeulen, A. The implications of terroir for development of Botrytis cinerea into grey rot or noble rot on grapes of Vitis vinifera L. cv. chenin blanc. In Proceedings of the OIV World Congress, Vienna, Austria, 4–8 July 2004. [Google Scholar]
- Damialis, A.; Mohammad, A.B.; Halley, J.M.; Gange, A.C. Fungi in a changing world: Growth rates will be elevated, but spore production may decrease in future climates. Int. J. Biometeorol. 2015, 59, 1157–1167. [Google Scholar] [CrossRef]
- Neethling, E.; Petitjean, T.; Quénol, H.; Barbeau, G. Assessing local climate vulnerability and winegrowers’ adaptive processes in the context of climate change. Mitig. Adapt. Strateg. Glob. Chang. 2017, 22, 777–803. [Google Scholar] [CrossRef]
- Lovato, A.; Zenoni, S.; Tornielli, G.B.; Colombo, T.; Vandelle, E.; Polverari, A. Specific molecular interactions between Vitis vinifera and Botrytis cinerea are required for noble rot development in grape berries. Postharvest Biol. Technol. 2019, 156, 110924. [Google Scholar] [CrossRef]
- Kelloniemi, J.; Trouvelot, S.; Héloir, M.C.; Simon, A.; Dalmais, B.; Frettinger, P.; Viaud, M. Analysis of the molecular dialogue between gray mold (Botrytis cinerea) and grapevine (Vitis vinifera) reveals a clear shift in defense mechanisms during berry ripening. Mol. Plant-Microbe Interact. 2015, 28, 1167–1180. [Google Scholar] [CrossRef]
- Rolle, L.; Giordano, M.; Giacosa, S.; Vincenzi, S.; Segade, S.R.; Torchio, F.; Benedetta, P.; Gerbi, V. CIEL* a* b* parameters of white dehydrated grapes as quality markers according to chemical composition, volatile profile and mechanical properties. Anal. Chim. Acta 2012, 732, 105–113. [Google Scholar] [CrossRef]
- Reid, K.E.; Olsson, N.; Schlosser, J.; Peng, F.; Lund, S.T. An optimized grapevine RNA isolation procedure and statistical determination of reference genes for real-time RT-PCR during berry development. BMC Plant Biol. 2006, 6, 27. [Google Scholar] [CrossRef]
- Rolle, L.; Siret, R.; Segade, S.R.; Maury, C.; Gerbi, V.; Jourjon, F. Instrumental texture analysis parameters as markers of table-grape and winegrape quality: A review. Am. J. Enol. Vitic. 2012, 63, 11–28. [Google Scholar] [CrossRef]
- Letaief, H.; Rolle, L.; Gerbi, V. Mechanical behavior of winegrapes under compression tests. Am. J. Enol. Vitic. 2008, 59, 323–329. [Google Scholar]
- Bolger, A.M.; Lohse, M.; Usadel, B. Trimmomatic: A flexible trimmer for Illumina sequence data. Bioinformatics 2014, 30, 2114–2120. [Google Scholar] [CrossRef] [PubMed]
- Pell, J.; Hintze, A.; Canino-Koning, R.; Howe, A.; Tiedje, J.M.; Brown, C.T. Scaling metagenome sequence assembly with probabilistic de Bruijn graphs. Proc. Natl. Acad. Sci. USA 2012, 109, 13272–13277. [Google Scholar] [CrossRef]
- Howe, A.C.; Jansson, J.K.; Malfatti, S.A.; Tringe, S.G.; Tiedje, J.M.; Brown, C.T. Tackling soil diversity with the assembly of large, complex metagenomes. Proc. Natl. Acad. Sci. USA 2014, 111, 4904–4909. [Google Scholar] [CrossRef] [PubMed]
- Van Kan, J.A.L.; Stassen, J.H.M.; Mosbach, A.; van der Lee, T.A.J.; Faino, L.; Farmer, A.D.; Papasotiriou, D.G.; Zhou, S.; Seidl, M.F.; Cottam, E.; et al. A gapless genome sequence of the fungus Botrytis cinerea. Mol. Plant Pathol. 2017, 18, 75–89. [Google Scholar] [CrossRef] [PubMed]
- Patro, R.; Duggal, G.; Love, M.I.; Irizarry, R.A.; Kingsford, C. Salmon provides fast and bias- aware quantification of transcript expression. Nat. Methods 2017, 14, 417–419. [Google Scholar] [CrossRef]
- Lawrence, M.; Huber, W.; Pages, H.; Aboyoun, P.; Carlson, M.; Gentleman, R.; Carey, V.J. Software for computing and annotating genomic ranges. PLoS Comput. Biol. 2013, 9, e1003118. [Google Scholar] [CrossRef]
- Oksanen, J.; Kindt, R.; Legendre, P.; O’Hara, B.; Stevens, M.H.H.; Oksanen, M.J.; Suggests, M.A.S.S. The vegan package. Community Ecol. Package 2007, 10, 719. [Google Scholar]
- Langfelder, P.; Horvath, S. WGCNA: An R package for weighted correlation network analysis. BMC Bioinform. 2008, 9, 1–13. [Google Scholar] [CrossRef]
- Love, M.; Anders, S.; Huber, W. Differential analysis of count data—The DESeq2 package. Genome Biol. 2014, 15, 10–1186. [Google Scholar]
- Alexa, A.; Rahnenführer, J. Gene set enrichment analysis with topGO. Bioconductor Improv. 2009, 27, 1–26. [Google Scholar]
- Xie, C.; Mao, X.; Huang, J.; Ding, Y.; Wu, J.; Dong, S.; Wei, L. KOBAS 2.0: A web server for annotation and identification of enriched pathways and diseases. Nucleic Acids Res. 2011, 39, 316–322. [Google Scholar] [CrossRef] [PubMed]
- Agudelo-Romero, P.; Erban, A.; Rego, C.; Carbonell-Bejerano, P.; Nascimento, T.; Sousa, L.; Fortes, A.M. Transcriptome and metabolome reprogramming in Vitis vinifera cv. Trincadeira berries upon infection with Botrytis cinerea. J. Exp. Bot. 2015, 66, 1769–1785. [Google Scholar] [CrossRef]
- Arnous, A.; Meyer, A.S. Comparison of methods for compositional characterization of grape (Vitis vinifera L.) and apple (Malus domestica) skins. Food Bioprod. Process. 2008, 86, 79–86. [Google Scholar] [CrossRef]
- Sousa, E.C.; Uchôa-Thomaz, A.M.A.; Carioca, J.O.B.; Morais, S.M.D.; Lima, A.D.; Martins, C.G.; Rodrigues, L.L. Chemical composition and bioactive compounds of grape pomace (Vitis vinifera L.), Benitaka variety, grown in the semiarid region of Northeast Brazil. Food Sci. Technol. 2014, 34, 135–142. [Google Scholar] [CrossRef]
- Kallitsounakis, G.; Catarino, S. An overview on botrytized wines. Ciência Técnica Vitivinic. 2020, 35, 76–106. [Google Scholar] [CrossRef]
- Hawker, J.S. Changes in the activities of enzymes concerned with sugar metabolism during the development of grape berries. Phytochemistry 1969, 8, 9–17. [Google Scholar] [CrossRef]
- Mojzikova, R.; Koralkova, P.; Holub, D.; Saxova, Z.; Pospisilova, D.; Prochazkova, D.; Divoky, V. Two novel mutations (p.(Ser160Pro) and p.(Arg472Cys)) causing glucose-6-phosphate isomerase deficiency are associated with erythroid dysplasia and inappropriately suppressed hepcidin. Blood Cells Mol. Dis. 2018, 69, 23–29. [Google Scholar] [CrossRef]
- Dona, A.C.; Pages, G.; Gilbert, R.G.; Kuchel, P.W. Digestion of starch: In vivo and in vitro kinetic models used to characterise oligosaccharide or glucose release. Carbohydr. Polym. 2010, 80, 599–617. [Google Scholar] [CrossRef]
- Truscheit, E.; Frommer, W.; Junge, B.; Müller, L.; Schmidt, D.D.; Wingender, W. Chemistry and biochemistry of microbial α-Glucosidase inhibitors. Angew. Chem. Int. Ed. Engl. 2010, 20, 744–761. [Google Scholar] [CrossRef]
- Thakur, N.S.; Thakur, A.; Joshi, V.K.; Sharma, S.K. Botrytized wines: A review. Int. J. Food Ferment. Technol. 2018, 8, 1–13. [Google Scholar] [CrossRef]
- Lacroux, F.; Trégoat, O.; van Leeuwen, C.; Pons, A.; Tominaga, T.; Lavigne-Cruege, V.; Dubourdieu, D. Effect of foliar nitrogen and sulphur application on aromatic expression of Vitis vinifera L. cv. Sauvignon blanc. OENO One 2008, 42, 125–132. [Google Scholar] [CrossRef]
- Slocum, R.D. Genes, enzymes and regulation of arginine biosynthesis in plants. Plant Physiol. Biochem. 2005, 43, 729–745. [Google Scholar] [CrossRef] [PubMed]
- Bene, Z.; Magyar, I. Characterization of yeast and mould biota of botrytized grapes in Tokaj wine region in the years 2000 and 2001. Acta Aliment. 2004, 33, 259–267. [Google Scholar] [CrossRef]
- Mikusová, P.; Ritieni, A.; Santini, A.; Juhasová, G.; Šrobárová, A. Contamination by moulds of grape berries in Slovakia. Food Addit. Contam. 2010, 27, 738–747. [Google Scholar] [CrossRef] [PubMed]
- Barata, A.; Malfeito-Ferreira, M.; Loureiro, V. The microbial ecology of wine grape berries. Int. J. Food Microbiol. 2012, 153, 243–259. [Google Scholar] [CrossRef] [PubMed]
- Cocolin, L.; Alessandria, V.; Dolci, P.; Gorra, R.; Rantsiou, K. Culture independent methods to assess the diversity and dynamics of microbiota during food fermentation. Int. J. Food Microbiol. 2013, 167, 29–43. [Google Scholar] [CrossRef]
- Blanco-Ulate, B.; Amrine, K.C.; Collins, T.S.; Rivero, R.M.; Vicente, A.R.; Morales-Cruz, A.; Cantu, D. Developmental and metabolic plasticity of white-skinned grape berries in response to Botrytis cinerea during noble rot. Plant Physiol. 2015, 169, 2422–2443. [Google Scholar] [CrossRef][Green Version]
- Griffith, C.M.; Woodrow, J.E.; Seiber, J.N. Environmental behavior and analysis of agricultural sulfur. Pest Manag. Sci. 2015, 71, 1486–1496. [Google Scholar] [CrossRef]
- Chartron, J.; Shiau, C.; Stout, C.D.; Carroll, K.S. 3′-Phosphoadenosine-5′-phosphosulfate Reductase in Complex with Thioredoxin: A Structural Snapshot in the Catalytic Cycle. Biochemistry 2007, 46, 3942–3951. [Google Scholar] [CrossRef]
- Viefhues, A.; Schlathoelter, I.; Simon, A.; Viaud, M.; Tudzynski, P. Unraveling the function of the response regulator BcSkn7 in the stress signaling network of Botrytis cinerea. Eukaryot. Cell 2015, 14, 636–651. [Google Scholar] [CrossRef] [PubMed]
- Kumar, D.; Hazra, S.; Datta, R.; Chattopadhyay, S. Transcriptome analysis of Arabidopsis mutants suggests a crosstalk between ABA, ethylene and GSH against combined cold and osmotic stress. Sci. Rep. 2016, 6, 1–13. [Google Scholar] [CrossRef] [PubMed]
- De Simone, N.; Pace, B.; Grieco, F.; Chimienti, M.; Tyibilika, V.; Santoro, V.; Capozzi, V.; Colelli, G.; Russo, P. Botrytis cinerea and table grapes: A review of the main physical, chemical, and bio-based control treatments in post-harvest. Foods 2020, 9, 1138. [Google Scholar] [CrossRef] [PubMed]
- Chowdhury, F.T.; Zaman, N.R.; Islam, M.R.; Khan, H. Anti-fungal secondary metabolites and hydrolytic enzymes from rhizospheric bacteria in crop protection: A review. J. Bangladesh Acad. Sci. 2020, 44, 69–84. [Google Scholar] [CrossRef]
- Giles, N.H.; Case, M.E.; Baum, J.; Geever, R.; Huiet, L.; Patel, V.; Tyler, B. Gene organization and regulation in the qa (quinic acid) gene cluster of Neurospora crassa. Microbiol. Rev. 1985, 49, 338–358. [Google Scholar] [CrossRef]
- Lattanzio, V.; Lattanzio, V.M.; Cardinali, A. Role of phenolics in the resistance mechanisms of plants against fungal pathogens and insects. Phytochem. Adv. Res. 2006, 661, 23–67. [Google Scholar]
- González-Bello, C.; Castedo, L. Progress in type II dehydroquinase inhibitors: From concept to practice. Med. Res. Rev. 2007, 27, 177–208. [Google Scholar] [CrossRef]
- Berg, K.; Selbo, P.K.; Weyergang, A.; Dietze, A.; Prasmickaite, L.; Bonsted, A.; Hogset, A. Porphyrin-related photosensitizers for cancer imaging and therapeutic applications. J. Microsc. 2005, 218, 133–147. [Google Scholar] [CrossRef]
- Beirao, S.; Fernandes, S.; Coelho, J.; Faustino, M.A.F.; Tomé, J.P.C.; Neves, M.G.P.M.S.; Tomé, A.C.; Almeida, A.; Cunha, A. Photodynamic inactivation of bacterial and yeast biofilms with a cationic porphyrin. Photochem. Photobiol. 2014, 90, 1387–1396. [Google Scholar] [CrossRef]
- Ptaszynska, A.A.; Trytek, M.; Borsuk, G.; Buczek, K.; Rybicka-Jasińska, K.; Gryko, D. Porphyrins inactivate Nosema spp. microsporidia. Sci. Rep. 2008, 8, 1–11. [Google Scholar] [CrossRef]
- Trytek, M.; Janik, E.; Maksymiec, W.; Fiedurek, J.; Lipke, A.; Majdan, M. The spectral and catalytic studies of chlorophylls and pheophytins in mimetic biotransformation of α-pinene. J. Photochem. Photobiol. A Chem. 2011, 223, 14–24. [Google Scholar] [CrossRef]
- Trytek, M.; Lipke, A.; Majdan, M.; Pisarek, S.; Gryko, D. Homo-and Heterogeneous α-Pinene Photooxidation Using a Protoporphyrin-Derived Amide. Eur. J. Org. Chem. 2013, 9, 1653–1658. [Google Scholar] [CrossRef]
- Bar-Nun, N.; Shcolnick, S.; Mayer, A.M. Presence of a vanadium-dependent haloperoxidase in Botrytis cinerea. FEMS Microbiol. Lett. 2002, 217, 121–124. [Google Scholar] [CrossRef] [PubMed][Green Version]



| Phase | Fsk [N] | Esk [N/mm] | Wsk [mJ] | BH [N] |
|---|---|---|---|---|
| I | 0.321 ± 0.043 a | 0.345 ± 0.071 a | 0.208 ± 0.011 a | 3.979 ± 0.149 a |
| II | 0.156 ± 0.057 b | 0.249 ± 0.054 b | 0.129 ± 0.082 a | 1.005 ± 0.128 b |
| III | 0.134 ± 0.033 b | 0.204 ± 0.010 b | 0.124 ± 0.053 a | 0.681 ± 0.127 c |
| IV | 0.364 ± 0.256 a | 0.357 ± 0.167 a | 0.352 ± 0.248 b | 1.190 ± 0.675 b |
| Phase I–II | Phase II–III | Phase III–IV | Number of DE-ed Genes |
|---|---|---|---|
| ↑ | ↑ | ↑ | 3 |
| ⌀ | 25 | ||
| ↓ | 19 | ||
| ⌀ | ↑ | 41 | |
| ⌀ | 440 | ||
| ↓ | 1094 | ||
| ↓ | ↑ | 3 | |
| ⌀ | 26 | ||
| ↓ | 50 | ||
| ⌀ | ↑ | ↑ | 167 |
| ⌀ | 319 | ||
| ↓ | 94 | ||
| ⌀ | ↑ | 870 | |
| ⌀ | n.r. | ||
| ↓ | 2932 | ||
| ↓ | ↑ | 20 | |
| ⌀ | 110 | ||
| ↓ | 137 | ||
| ↓ | ↑ | ↑ | 33 |
| ⌀ | 35 | ||
| ↓ | 5 | ||
| ⌀ | ↑ | 344 | |
| ⌀ | 1126 | ||
| ↓ | 161 | ||
| ↓ | ↑ | 8 | |
| ⌀ | 13 | ||
| ↓ | 23 |
| Blue I–II Up-Regulated | p-Value | Pink I–II Down-Regulated | p-Value |
|---|---|---|---|
| peptidase activity | <0.001 | organic cyclic compound binding | <0.001 |
| serine-type peptidase activity | <0.001 | heterocyclic compound binding | <0.001 |
| serine hydrolase activity | <0.001 | RNA binding | <0.001 |
| catalytic activity, acting on a protein | <0.001 | nucleic acid binding | <0.001 |
| hydrolase activity | <0.001 | binding | 0.007 |
| carboxypeptidase activity | <0.001 | DNA-directed 5′-3′ RNA polymerase activity | 0.014 |
| serine-type carboxypeptidase activity | <0.001 | 5′-3′ RNA polymerase activity | 0.014 |
| serine-type exopeptidase activity | <0.001 | RNA polymerase activity | 0.014 |
| exopeptidase activity | 0.002 | aspartic-type endopeptidase activity | 0.035 |
| catalytic activity | 0.004 | aspartic-type peptidase activity | 0.035 |
| endopeptidase activity | 0.007 | purine ribonucleoside triphosphate binding | 0.041 |
| aspartic-type endopeptidase activity | 0.015 | N-methyltransferase activity | 0.043 |
| aspartic-type peptidase activity | 0.015 | arginine N-methyltransferase activity | 0.043 |
| ubiquitin-like protein-specific protease activity | 0.026 | protein-arginine N-methyltransferase activity | 0.043 |
| NEDD8-specific protease activity | 0.026 | ||
| Red I–II Up-Regulated | p-Value | ||
| Blue III–IV Down Egulated | p-Value | transferase a., transferring glycosyl group | 0.018 |
| serine-type peptidase activity | <0.001 | NAD + ADP-ribosyltransferase activity | 0.035 |
| serine hydrolase activity | <0.001 | transferase a., transferring pentosyl groups | 0.035 |
| peptidase activity | <0.001 | ||
| hydrolase activity | <0.001 | Red III–IV Down-Regulated | p-Value |
| catalytic activity | <0.001 | phasphatase activity | 0.001 |
| carboxypeptidase activity | 0.003 | phophoric ester hydrolase activity | 0.001 |
| serine-type carboxypeptidase activity | 0.003 | protein tyrosine phophatase activity | 0.007 |
| serine-type exopeptidase activity | 0.003 | hydrolase activity, acting on ester bonds | 0.013 |
| hydrolase a., acting on carbon-nitrogen bond | 0.006 | phosphoprotein phosphatase activity | 0.019 |
| exopeptidase activity | 0.009 | ||
| serine-type endopeptidase activity | 0.012 | Turquoise I–II Up-Regulated | p-Value |
| catalytic activity, acting on a protein | 0.013 | cation binding | <0.001 |
| DNA-binding transcription factor activity | 0.020 | metal ion binding | <0.001 |
| transcription regulator activity | 0.041 | phosphorelay sensor kinase activity | <0.001 |
| protein kinase activity | <0.001 | ||
| Brown I–II Up-Regulated | p-Value | protein histidine kinase activity | <0.001 |
| antioxidant activity | <0.001 | phosphotransferase activity, nitrogenous groups | <0.001 |
| oxidoreductase activity, acting on peroxidase | <0.001 | small molecule sensor activity | <0.001 |
| peroxidase activity | <0.001 | kinase activity | 0.001 |
| fatty-acyl-CoA binding | 0.013 | phosphotransferase activity, alcohol groups | 0.003 |
| hydroxymethylglutaryl-CoA lyase activity | 0.013 | ion binding | 0.007 |
| alanine-glyoxylate transaminase activity | 0.013 | binding | 0.010 |
| transaminase activity | 0.013 | transferase activity, transferring phosphorous groups | 0.011 |
| transferase activity, transferring nitrogen | 0.013 | catalytic activity, acting on a protein | 0.017 |
| oxo-acid-lyase activity | 0.013 | cytoskeletal protein binding | 0.029 |
| peroxiredoxin activity | 0.013 | ADP binding | 0.041 |
| acyl-CoA binding | 0.013 | double-stranded DNA binding | 0.047 |
| fatty acid derivative binding | 0.013 | double-stranded telomeric DNA binding | 0.047 |
| sulfur compound binding | 0.013 | thiol-dependent ubiquitin-specific protease | 0.047 |
| carbon-carbon lyase activity | 0.026 | microtubule binding | 0.047 |
| acetyl-CoA C-acyltransferase activity | 0.038 | omega peptidase activity | 0.047 |
| C-acyltransferase activity | 0.038 | tubulin binding | 0.047 |
| catalytic activity | 0.047 | telomeric DNA binding | 0.047 |
| ubiquitinyl hydrolase activity | 0.047 | ||
| Green II–III Up-Regulated | p-Value | ||
| 4 iron, 4 sulfur cluster binding | 0.026 | Turquoise III–IV Down-Regulated | p-Value |
| proteasome binding | 0.026 | cation binding | <0.001 |
| metal ion binding | <0.001 | ||
| Green III–IV Up-Regulated | p-Value | binding | <0.001 |
| double-stranded RNA binding | 0.003 | ion binding | <0.001 |
| oxidoreductase activity, acting on a sulfate | 0.003 | phosphotransferase activity, alcohol groups | <0.001 |
| oxidoreductase activity | 0.013 | kinase activity | <0.001 |
| peptidyl-prolyl cis-trans isomerase a. | 0.046 | phosphorelay sensor kinase activity | <0.001 |
| cis-trans isomerase activity | 0.046 | protein kinase activity | <0.001 |
| protein histidine kinase activity | <0.001 | ||
| Pink III–IV Up-Regulated | p-Value | phosphotransferase activity, nitrogenous groups | <0.001 |
| RNA binding | <0.001 | small molecule sensor activity | <0.001 |
| nucleic acid binding | <0.001 | transferase activity, transferring phosphorous groups | <0.001 |
| organic cyclic compound binding | <0.001 | ADP binding | 0.003 |
| heterocyclic compound binding | <0.001 | GTPase activator activity | 0.004 |
| binding | 0.003 | enzyme activator activity | 0.004 |
| catalytic activity, acting on RNA | 0.004 | GTPase regulator activity | 0.006 |
| DNA-directed 5′-3′ RNA polymerase activity | 0.017 | nucleoside-triphosphatase regulator activity | 0.006 |
| endoribonuclease activity | 0.017 | molecular function regulator | 0.006 |
| ribonuclease activity | 0.017 | enzyme regulator activity | 0.008 |
| endoribonuclease activity, producing 5′-phosphomonoesthers | 0.017 | phospholipid binding | 0.010 |
| 5′-3′ RNA polymerase activity | 0.017 | phosphatidylinositol binding | 0.010 |
| 3′-tRNA processing endoribonuclease activity | 0.017 | protein dimerization activity | 0.012 |
| RNA polymerase activity | 0.017 | protein binding | 0.013 |
| endonuclease a., active with ribo- and dezoxyribo-nucleic acid | 0.033 | cytoskeletal protein binding | 0.019 |
| endonuclease activity | 0.050 | adenyl nucleotide binding | 0.039 |
| N-methyltransferase activity | 0.050 | adenyl ribonucleotide binding | 0.039 |
| arginine N-methyltransferase activity | 0.050 | zinc ion binding | 0.044 |
| protein-arginine N-methyltransferase activity | 0.050 | transition metal ion binding | 0.044 |
| Yellow III–IV Down-Regulated | p-Value | Yellow I–II Up-Regulated | p-Value |
| FMN binding | 0.006 | aspartic-type endopeptidase activity | 0.009 |
| hydrolase activity, acting on ether bonds | 0.064 | aspartic-type peptidase activity | 0.009 |
| transferase activity, transferring acyl groups | 0.022 | ||
| endopeptidase activity | 0.027 | ||
| peptidase activity | 0.048 |
Publisher’s Note: MDPI stays neutral with regard to jurisdictional claims in published maps and institutional affiliations. |
© 2022 by the authors. Licensee MDPI, Basel, Switzerland. This article is an open access article distributed under the terms and conditions of the Creative Commons Attribution (CC BY) license (https://creativecommons.org/licenses/by/4.0/).
Share and Cite
Hegyi, Á.I.; Otto, M.; Geml, J.; Hegyi-Kaló, J.; Kun, J.; Gyenesei, A.; Pierneef, R.; Váczy, K.Z. Metatranscriptomic Analyses Reveal the Functional Role of Botrytis cinerea in Biochemical and Textural Changes during Noble Rot of Grapevines. J. Fungi 2022, 8, 378. https://doi.org/10.3390/jof8040378
Hegyi ÁI, Otto M, Geml J, Hegyi-Kaló J, Kun J, Gyenesei A, Pierneef R, Váczy KZ. Metatranscriptomic Analyses Reveal the Functional Role of Botrytis cinerea in Biochemical and Textural Changes during Noble Rot of Grapevines. Journal of Fungi. 2022; 8(4):378. https://doi.org/10.3390/jof8040378
Chicago/Turabian StyleHegyi, Ádám István, Margot Otto, József Geml, Júlia Hegyi-Kaló, József Kun, Attila Gyenesei, Rian Pierneef, and Kálmán Zoltán Váczy. 2022. "Metatranscriptomic Analyses Reveal the Functional Role of Botrytis cinerea in Biochemical and Textural Changes during Noble Rot of Grapevines" Journal of Fungi 8, no. 4: 378. https://doi.org/10.3390/jof8040378
APA StyleHegyi, Á. I., Otto, M., Geml, J., Hegyi-Kaló, J., Kun, J., Gyenesei, A., Pierneef, R., & Váczy, K. Z. (2022). Metatranscriptomic Analyses Reveal the Functional Role of Botrytis cinerea in Biochemical and Textural Changes during Noble Rot of Grapevines. Journal of Fungi, 8(4), 378. https://doi.org/10.3390/jof8040378

