Bioactive Metabolites from the Endophytic Fungus Aspergillus sp. SPH2
Abstract
1. Introduction
2. Materials and Methods
2.1. Plant Material
2.2. Isolation of Endophytic Fungus SPH2
2.3. Molecular Characterization of SPH2
2.4. Cultivation of SPH2 for Extract Preparation
2.5. Extract Preparation
2.6. Time-Course Fermentation
2.7. Bioassays
2.7.1. Antifungal Bioassay
2.7.2. Ixodicidal Activity
2.7.3. Insecticidal and Nematicidal Activities
2.8. Isolation and Identification of the Bioactive Compounds
2.9. Bioguided Extract Fractionation
2.10. Compound Identification
2.11. Compound Quantification
3. Results
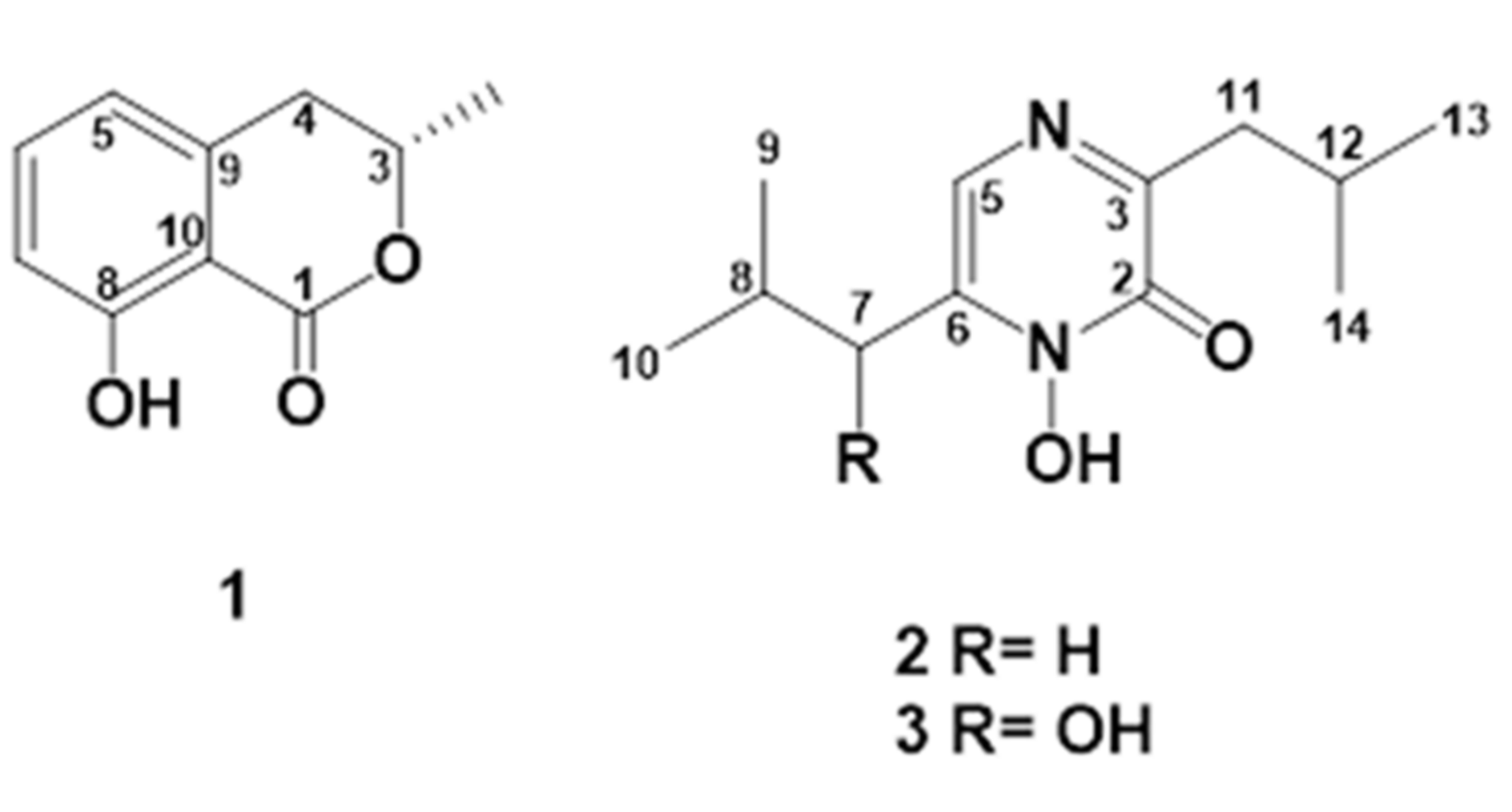
3.1. Fermentation and Compound Identification
3.2. Quantification of 1–3 and Metabolomics
4. Discussion
5. Conclusions
Supplementary Materials
Author Contributions
Funding
Institutional Review Board Statement
Informed Consent Statement
Data Availability Statement
Acknowledgments
Conflicts of Interest
References
- Tawfike, A.F.; Tate, R.; Abbott, G.; Young, L.; Viegelmann, C.; Schumacher, M.; Han, B.W.; Edrada-Ebel, R. Metabolomic Tools to Assess the Chemistry and Bioactivity of EndophyticAspergillusStrain. Chem. Biodivers. 2017, 14, e1700040. [Google Scholar] [CrossRef] [PubMed]
- Strobel, G.; Daisy, B. Bioprospecting for Microbial Endophytes and Their Natural Products. Microbiol. Mol. Biol. Rev. 2003, 67, 491–502. [Google Scholar] [CrossRef] [PubMed]
- Firáková, S.; Šturdíková, M.; Múčková, M. Bioactive secondary metabolites produced by microorganisms associated with plants. Biologia 2007, 62, 251–257. [Google Scholar] [CrossRef]
- Germaine, K.; Keogh, E.; Garcia-Cabellos, G.; Borremans, B.; Van Der Lelie, D.; Barac, T.; Oeyen, L.; Vangronsveld, J.; Moore, F.P.; Moore, E.R.; et al. Colonisation of poplar trees by gfp expressing bacterial endophytes. FEMS Microbiol. Ecol. 2004, 48, 109–118. [Google Scholar] [CrossRef]
- Wang, Y.; Dai, C.-C. Endophytes: A potential resource for biosynthesis, biotransformation, and biodegradation. Ann. Microbiol. 2011, 61, 207–215. [Google Scholar] [CrossRef]
- Guo, B.; Wang, Y.; Sun, X.; Tang, K. Bioactive natural products from endophytes: A review. Appl. Biochem. Microbiol. 2008, 44, 136–142. [Google Scholar] [CrossRef]
- Andrés, M.F.; Diaz, C.E.; Giménez, C.; Cabrera, R.; González-Coloma, A. Endophytic fungi as novel sources of biopesticides: The Macaronesian Laurel forest, a case study. Phytochem. Rev. 2017, 16, 1009–1022. [Google Scholar] [CrossRef]
- Morales-Sánchez, V.; Fe Andrés, M.; Díaz, C.E.; González-Coloma, A. Factors Affecting the Metabolite Productions in Endophytes: Biotechnological Approaches for Production of Metabolites. Curr. Med. Chem. 2020, 27, 1855–1873. [Google Scholar] [CrossRef]
- Higginbotham, S.; Arnold, A.E.; Ibañez, A.; Spadafora, C.; Coley, P.D.; Kursar, T.A. Bioactivity of Fungal Endophytes as a Function of Endophyte Taxonomy and the Taxonomy and Distribution of Their Host Plants. PLoS ONE 2013, 8, e73192. [Google Scholar] [CrossRef]
- Harrison, J.G.; Griffin, E.A. The diversity and distribution of endophytes across biomes, plant phylogeny and host tissues: How far have we come and where do we go from here? Environ. Microbiol. 2020, 22, 2107–2123. [Google Scholar] [CrossRef]
- The Macaronesian Region. Available online: https://ec.europa.eu/environment/nature/natura2000/biogeog_regions/macaronesian/index_en.htm (accessed on 12 December 2020).
- Fraga, B.M.; Díaz, C.E.; Amador, L.J.; Reina, M.; Santana, O.; Gonzalez-Coloma, A. Bioactive compounds from transformed root cultures and aerial parts of Bethencourtia hermosae. Phytochemistry 2014, 108, 220–228. [Google Scholar] [CrossRef] [PubMed]
- Portero, A.G.; González-Coloma, A.; Reina, M.; Díaz, C.E. Plant-defensive sesquiterpenoids from Senecio species with biopesticide potential. Phytochem. Rev. 2012, 11, 391–403. [Google Scholar] [CrossRef]
- Nordenstam, B. “Canariothamnus B.” Nord., a new genus of the Compositae-Senecioneae, endemic to the Canary Islands. Comp. Newsl. 2006, 44, 24–31. [Google Scholar]
- Kumar, S.; Kaushik, N. Endophytic Fungi Isolated from Oil-Seed Crop Jatropha curcas Produces Oil and Exhibit Antifungal Activity. PLoS ONE 2013, 8, e56202. [Google Scholar] [CrossRef] [PubMed]
- Kumar, S.; Kaushik, N.; Edrada-Ebel, R.; Ebel, R.; Proksch, P. Isolation, characterization, and bioactivity of endophytic fungi of Tylophora indica. World J. Microbiol. Biotechnol. 2011, 27, 571–577. [Google Scholar] [CrossRef]
- Parra, A.J.E.; Cuca, L.E.; González-Coloma, A. Antifungal and phytotoxic activity of benzoic acid derivatives from inflorescences of Piper cumanense. Nat. Prod. Res. 2019, 1–9. [Google Scholar] [CrossRef] [PubMed]
- Ruiz-Vásquez, L.; Olmeda, A.S.; Zúñiga, G.; Villarroel, L.; Echeverri, L.F.; González-Coloma, A.; Reina, M. Insect Antifeedant and Ixodicidal Compounds from Senecio adenotrichius. Chem. Biodivers. 2017, 14, e1600155. [Google Scholar] [CrossRef] [PubMed]
- Wang, J.; Wang, G.; Zhang, Y.; Zheng, B.; Zhang, C.; Wang, L. Isolation and identification of an endophytic fungus Pezicula sp. in Forsythia viridissima and its secondary metabolites. World J. Microbiol. Biotechnol. 2014, 30, 2639–2644. [Google Scholar] [CrossRef] [PubMed]
- Cimmino, A.; Cinelli, T.; Masi, M.; Reveglia, P.; Da Silva, M.A.; Mugnai, L.; Michereff, S.J.; Surico, G.; Evidente, A. Phytotoxic Lipophilic Metabolites Produced by Grapevine Strains of Lasiodiplodia Species in Brazil. J. Agric. Food Chem. 2017, 65, 1102–1107. [Google Scholar] [CrossRef] [PubMed]
- Yamazaki, M.; Maebayashi, Y.; Miyaki, K. Isolation of a new type of pyrazine metabolite from Aspergillus sp. Chem. Pharm. Bull. 1972, 20, 2274–2276. [Google Scholar] [CrossRef]
- Maebayashi, Y.; Sumita, M.; Fukushima, K.; Yamazaki, M. Isolation and structure of red pigment from Aspergillus sp. Wilh. Chem. Pharm. Bull. 1978, 26, 1320–1322. [Google Scholar] [CrossRef][Green Version]
- Assante, G.; Camarda, L.; Locci, R.; Merlini, L.; Nasini, G.; Papadopoulos, E. Isolation and structure of red pigments from Aspergillus flavus and related species, grown on a differential medium. J. Agric. Food Chem. 1981, 29, 785–787. [Google Scholar] [CrossRef]
- Bao, J.; Wang, J.; Zhang, X.Y.; Nong, X.H.; Qi, S.H. New furanone derivatives and alkaloids from the co-culture of marine derived fungi Aspergillus sclerotiorum and Penicillium citrinum. Chem. Biodivers. 2017, 14, e1600327. [Google Scholar] [CrossRef] [PubMed]
- Luo, P.; Shao, G.; Zhang, S.; Zhu, L.; Ding, Z.; Cai, L. Secondary metabolites of endophytic fungus Aspergillus sp. SX-C7 from Selaginella stauntoniana. Zhong Cao Yao 2020, 51, 3856–3862. [Google Scholar]
- Kamel, N.M.; Abdel-Motaal, F.F.; El-Zayat, S.A. Endophytic fungi from the medicinal herb Euphorbia geniculata as a potential source for bioactive metabolites. Arch. Microbiol. 2020, 202, 247–255. [Google Scholar] [CrossRef]
- Cheng, Z.; Ke, Z.; Wu, Y. Study on secondary metabolites of endophytic fungus Aspergillus sp. from Polygonatum cyrtonema. Zhong Cao Yao 2019, 50, 5424–5428. [Google Scholar]
- Attia, E.Z.; Farouk, H.M.; Abdelmohsen, U.R.; El-Katatny, M.H. Antimicrobial and extracellular oxidative enzyme activities of endophytic fungi isolated from alfalfa (Medicago sativa) assisted by metabolic profiling. S. Afr. J. Bot. 2020, 134, 156–162. [Google Scholar] [CrossRef]
- Paynor, K.A.; David, E.S.; Valentino, M.J.G. Endophytic fungi associated with bamboo as possible sources of single cell protein using corn cob as a substrate. Mycosphere 2016, 7, 139–147. [Google Scholar] [CrossRef]
- Da Silva, D.M.; de Sousa Carvalho, F.R.; Moura, A.G.; Martins, L.; Ferreira, P.M.; Peron, A.P. Cytotoxic action of the stem aqueous extract of the stem of Cereus jamacaru DC. (mandacaru). Rev. Cuba. Plantas Med. 2015, 20, 226–234. [Google Scholar]
- Bezerra, J.D.; Nascimento, C.C.; Barbosa, R.D.N.; Da Silva, D.C.; Svedese, V.M.; Silva-Nogueira, E.B.; Gomes, B.S.; Paiva, L.M.; Motta, C.M.D.S. Endophytic fungi from medicinal plant Bauhinia forficata: Diversity and biotechnological potential. Braz. J. Microbiol. 2015, 46, 49–57. [Google Scholar] [CrossRef]
- Sudheep, N.M.; Sridhar, K.R. Non-mycorrhizal fungal endophytes in two orchids of Kaiga forest (Western Ghats), India. J. For. Res. 2012, 23, 453–460. [Google Scholar] [CrossRef]
- Mahmoud, A.-L.E. Mycotoxin-producing potential of fungi associated with qat (Catha edulis) leaves in yemen. Folia Microbiol. 2000, 45, 452–456. [Google Scholar] [CrossRef]
- Guo, S.; Mao, W.; Yan, M.; Zhao, C.; Li, N.; Jimiao, S.; Lin, C.; Liu, X.; Guo, T.; Guo, T.; et al. Galactomannan with novel structure produced by the coral endophytic fungus Aspergillus sp. Carbohydr. Polym. 2014, 105, 325–333. [Google Scholar] [CrossRef] [PubMed]
- Cui, C.M.; Li, X.M.; Meng, L.; Li, C.S.; Huang, C.G.; Wang, B.G. 7-Nor-ergosterolide, a pentalactone-containing norsteroid and related steroids from the marine-derived endophytic Aspergillus sp. EN-31. J. Nat. Prod. 2010, 73, 1780–1784. [Google Scholar] [CrossRef] [PubMed]
- Cui, C.M.; Li, X.M.; Li, C.S.; Sun, H.F.; Gao, S.S.; Wang, B.G. Benzodiazepine Alkaloids from Marine-Derived Endophytic Fungus Aspergillus sp. Helv. Chim. Acta 2009, 92, 1366–1370. [Google Scholar] [CrossRef]
- Reveglia, P.; Masi, M.; Evidente, A. Melleins—Intriguing Natural Compounds. Biomolecules 2020, 10, 772. [Google Scholar] [CrossRef] [PubMed]
- Visagie, C.; Varga, J.; Houbraken, J.; Meijer, M.; Kocsubé, S.; Yilmaz, N.; Fotedar, R.; Seifert, K.; Frisvad, J.; Samson, R. Ochratoxin production and taxonomy of the yellow aspergilli (Aspergillus section Circumdati). Stud. Mycol. 2014, 78, 1–61. [Google Scholar] [CrossRef] [PubMed]
- Zhao, J.H.; Zhang, C.; Wang, L.W.; Wang, J.Y. Bioactive secondary metabolites from Nigrospora sp. LLGLM003, an endophytic fungus of the medicinal plant Moringa oleifera Lam. World J. Microbiol. Biotechnol. 2012, 28, 2107–2112. [Google Scholar] [CrossRef]
- Cimmino, A.; Maddau, L.; Masi, M.; Linaldeddu, B.T.; Evidente, A. Secondary metabolites produced by Sardiniella urbana, a new emerging pathogen on European hackberry. Nat. Prod. Res. 2019, 33, 1862–1869. [Google Scholar] [CrossRef]
- Wang, Q.; Yang, X.-Q.; Miao, C.-P.; Xu, L.-H.; Ding, Z.; Yang, Y.-B.; Zhao, L.-X. A New Pair of Pentaketide Diastereoisomers from Aspergillus melleus YIM PHI001. Rec. Nat. Prod. 2018, 12, 216–221. [Google Scholar] [CrossRef]
- Hori, M.; Aoki, Y.; Shinoda, K.; Chiba, M.; Sasaki, R. Wood volatiles as attractants of the confused flour beetle, Tribolium confusum (Coleoptera: Tenebrionidae). Sci. Rep. 2019, 9, 1–8. [Google Scholar] [CrossRef] [PubMed]
- Voegtle, H.L.; Jones, T.H.; Davidson, D.W.; Snelling, R.R. E-2-Ethylhexenal, E-2-Ethyl-2-Hexenol, Mellein, and 4-Hydroxymellein in Camponotus Species from Brunei. J. Chem. Ecol. 2008, 34, 215–219. [Google Scholar] [CrossRef] [PubMed]
- Blum, M.S.; Morel, L.; Fales, H.M. Chemistry of the mandibular gland secretion of the ant Camponotus vagus. Comp. Biochem. Physiol. Part B Comp. Biochem. 1987, 86, 251–252. [Google Scholar] [CrossRef]
- Mitaka, Y.; Mori, N.; Matsuura, K. A termite fungistatic compound, mellein, inhibits entomopathogenic fungi but not egg-mimicking termite ball fungi. Appl. Èntomol. Zool. 2019, 54, 39–46. [Google Scholar] [CrossRef]
- Kendagor, A.C.; Langat, M.K.; Cheplogoi, P.K.; Omolo, J.O. Larvicidal activity of mellein from cultures of an ascomycete Pezicula livida against Aedes aegypti. Int. J. Life Sci. Biotechnol. Pharma. Res. 2013, 2, 70–80. [Google Scholar]
- Sajid, M.; Kausar, A.; Iqbal, A.; Abbas, H.; Iqbal, Z.; Jones, M. An insight into the ecobiology, vector significance and control of Hyalomma ticks (Acari: Ixodidae): A review. Acta Trop. 2018, 187, 229–239. [Google Scholar] [CrossRef]
- Chitimia-Dobler, L.; Schaper, S.; Rieß, R.; Bitterwolf, K.; Frangoulidis, D.; Bestehorn, M.; Springer, A.; Oehme, R.M.; Drehmann, M.; Lindau, A.; et al. Imported Hyalomma ticks in Germany in 2018. Parasites Vectors 2019, 12, 1–9. [Google Scholar] [CrossRef]
- Hansford, K.M.; Carter, D.; Gillingham, E.L.; Hernandez-Triana, L.M.; Chamberlain, J.; Cull, B.; McGinley, L.; Phipps, L.P.; Medlock, J.M. Hyalomma rufipes on an untraveled horse: Is this the first evidence of Hyalomma nymphs successfully moulting in the United Kingdom? Ticks Tick-Borne Dis. 2019, 10, 704–708. [Google Scholar] [CrossRef]
- Buczek, A.M.; Buczek, W.; Bartosik, K. The Potential Role of Migratory Birds in the Rapid Spread of Ticks and Tick-Borne Pathogens in the Changing Climatic and Environmental Conditions in Europe. Int. J. Environ. Res. Public Health 2020, 17, 2117. [Google Scholar] [CrossRef]
- Grandi, G.; Chitimia-Dobler, L.; Choklikitumnuey, P.; Strube, C.; Springer, A.; Albihn, A.; Jaenson, T.; Omazic, A. First records of adult Hyalomma marginatum and H. rufipes ticks (Acari: Ixodidae) in Sweden. Ticks Tick-Borne Dis. 2020, 11, 101403. [Google Scholar] [CrossRef]
- Lebar, M.D.; Mack, B.M.; Carter-Wientjes, C.H.; Gilbert, M.K. The aspergillic acid biosynthetic gene cluster predicts neoaspergillic acid production in Aspergillus section Circumdati. World Mycotoxin J. 2019, 12, 213–222. [Google Scholar] [CrossRef]
- Xu, X.-Y.; He, F.; Zhang, X.; Bao, J.; Qi, S. New mycotoxins from marine-derived fungus Aspergillus sp. SCSGAF0093. Food Chem. Toxicol. 2013, 53, 46–51. [Google Scholar] [CrossRef] [PubMed]
- Chen, X.W.; Li, C.W.; Hua, W.; Wu, C.J.; Cui, C.B.; Zhu, T.J.; Gu, Q.Q. Metabolites of Aspergillus sp. 16-02-1 isolated from a deep sea sediment and preliminary test of their antitumor and antifungal activities. Chin. J. Mar. Drugs 2013, 32, 1–10. [Google Scholar]
- Cardoso-Martínez, F.; de la Rosa, J.M.; Díaz-Marrero, A.R.; Darias, J.; D’Croz, L.; Cerella, C.; Diederich, M.; Cueto, M. Oximoaspergillimide, a fungal derivative from a marine isolate of Aspergillus sp. Eur. J. Org. Chem. 2015, 10, 2256–2261. [Google Scholar] [CrossRef]
- Zhu, F.; Chen, G.; Chen, X.; Huang, M.; Wan, X. Aspergicin, a new antibacterial alkaloid produced by mixed fermentation of two marine-derived mangrove epiphytic fungi. Chem. Nat. Compd. 2011, 47, 767–769. [Google Scholar] [CrossRef]
- Bui-Klimke, T.R.; Wu, F. Ochratoxin A and Human Health Risk: A Review of the Evidence. Crit. Rev. Food Sci. Nutr. 2015, 55, 1860–1869. [Google Scholar] [CrossRef]



| Position | 2 | 3 | ||
|---|---|---|---|---|
| δH (J in Hz) | δc, Mult | δH (J in Hz) | δc, Mult | |
| 2 | 158.8, C | 158.2, C | ||
| 3 | 148.5, C | 149.2, C | ||
| 5 | 7.26, s | 126.9, CH | 7.49, s | 125.7, CH |
| 6 | 142.5, C | 143.4, C | ||
| 7 | 2.63, d (7.1) | 38.1, CH2 | 4.75, br s | 74.0, CH |
| 8 | 2.19,dq (13.8, 6.9) | 26.4, CH | 2.32, br s | 32.5, CH |
| 9 | 0.89, d (6.6) | 22.9, CH3 | 0.90, m | 19.2, CH3 |
| 10 | 0.89, d (6.6) | 22.9, CH3 | 0.90, m | 17.7, CH3 |
| 11 | 2.60, d (7.3) | 42.6, CH2 | 2.64, d (7.3) | 42.6, CH2 |
| 12 | 2.11, dt (13.6, 6.8) | 28.4, CH | 2.14, br s | 28.6, CH |
| 13 | 0.89, d (6.6) | 22.9, CH3 | 0.90, m | 22.9, CH3 |
| 14 | 0.89, d (6.6) | 22.9, CH3 | 0.90, m | 22.9, CH3 |
| Days | H. Lusitanicum | F. Oxysporum | A. Alternata | B. Cinerea |
|---|---|---|---|---|
| LD50 (µg/mg) a | EC50 (mg/mL) b | |||
| 3 | >20 | 0.27 (0.24–0.30) | 0.10 (0.07–0.13) | 0.04 (0.01–0.12) |
| 4 | >20 | 0.25 (0.20–0.31) | 0.14 (0.11–0.18) | 0.05 (0.02–0.10) |
| 6 | >20 | 0.31 (0.26–0.38) | 0.16 (0.12–0.21) | 0.03 (0.02–0.05) |
| 7 | 2.85 (2.61, 3.18) | 0.45 (0.31–0.65) | 0.06 (0.05–0.09) | 0.02 (0.01–0.05) |
| 8 | 7.82 (6.91, 8.75) | 0.31 (0.25–0.39) | 0.25 (0.18–0.34) | 0.12 (0.08–0.18) |
| 10 | 6.63 (5.92–7.49) | 0.21 (0.18–0.25) | 0.16 (0.12–0.22) | 0.16 (0.12–0.22) |
| 12 | 3.30 (3.09, 3.52) | 0.39 (0.31–0.48) | 0.24 (0.20–0.29) | 0.24 (0.20–0.29) |
| 13 | 7.18 (6.67, 7.78) | 0.87 (0.62–1.24) | 0.44 (0.37–0.51) | 0.22 (0.19–0.26) |
| Compound | Effective Doses (mg/mL) a | Mycelial Growth Inhibition | ||
|---|---|---|---|---|
| F. Oxysporum | A. Alternata | B. Cinerea | ||
| 1 | EC50 | 0.34 (0.27–0.43) | 0.44 (0.34–0.57) | 0.29 (0.23–0.37) |
| 2 | EC50 | 0.07 (0.04–0.10) | 0.01 (0.00–0.02) | 0.04 (0.03–0.04) |
| 3 | EC50 | >0.5 | 0.20 (0.17–0.25) | >0.5 |
Publisher’s Note: MDPI stays neutral with regard to jurisdictional claims in published maps and institutional affiliations. |
© 2021 by the authors. Licensee MDPI, Basel, Switzerland. This article is an open access article distributed under the terms and conditions of the Creative Commons Attribution (CC BY) license (http://creativecommons.org/licenses/by/4.0/).
Share and Cite
Morales-Sánchez, V.; Díaz, C.E.; Trujillo, E.; Olmeda, S.A.; Valcarcel, F.; Muñoz, R.; Andrés, M.F.; González-Coloma, A. Bioactive Metabolites from the Endophytic Fungus Aspergillus sp. SPH2. J. Fungi 2021, 7, 109. https://doi.org/10.3390/jof7020109
Morales-Sánchez V, Díaz CE, Trujillo E, Olmeda SA, Valcarcel F, Muñoz R, Andrés MF, González-Coloma A. Bioactive Metabolites from the Endophytic Fungus Aspergillus sp. SPH2. Journal of Fungi. 2021; 7(2):109. https://doi.org/10.3390/jof7020109
Chicago/Turabian StyleMorales-Sánchez, Viridiana, Carmen E. Díaz, Elena Trujillo, Sonia A. Olmeda, Felix Valcarcel, Rubén Muñoz, María Fe Andrés, and Azucena González-Coloma. 2021. "Bioactive Metabolites from the Endophytic Fungus Aspergillus sp. SPH2" Journal of Fungi 7, no. 2: 109. https://doi.org/10.3390/jof7020109
APA StyleMorales-Sánchez, V., Díaz, C. E., Trujillo, E., Olmeda, S. A., Valcarcel, F., Muñoz, R., Andrés, M. F., & González-Coloma, A. (2021). Bioactive Metabolites from the Endophytic Fungus Aspergillus sp. SPH2. Journal of Fungi, 7(2), 109. https://doi.org/10.3390/jof7020109

