A Combination of Transcriptome and Enzyme Activity Analysis Unveils Key Genes and Patterns of Corncob Lignocellulose Degradation by Auricularia heimuer under Cultivation Conditions
Abstract
1. Introduction
2. Materials and Methods
2.1. Culture and Sample Collection of A. heimuer
2.2. Enzyme Extraction and Activity Assay
2.3. RNA Extraction, cDNA Library Preparation, and Illumina Sequencing
2.4. Bioinformatics Analysis
2.5. RT-qPCR Validation
3. Results
3.1. Performance of A. heimuer Strain A184 on CK and T1 Substrates
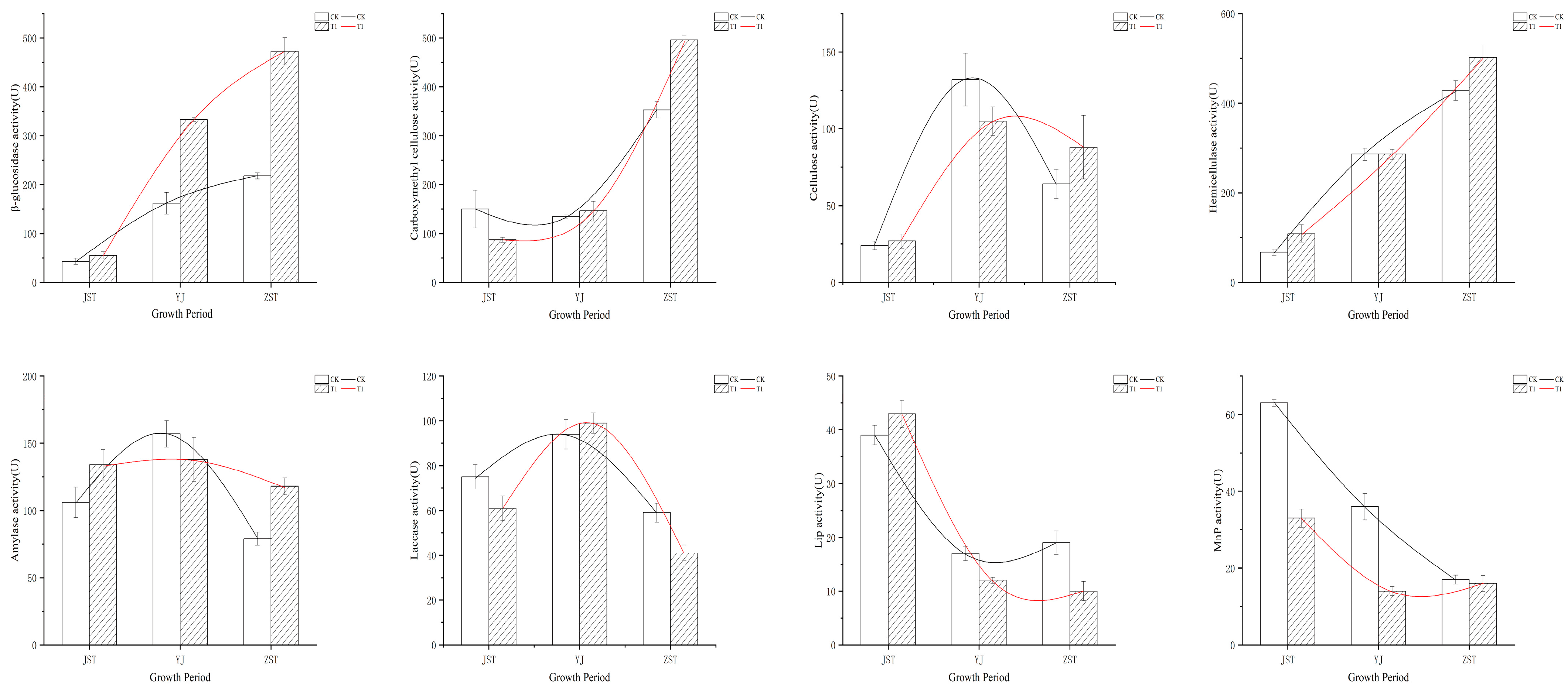
3.2. Lignocellulose-Degrading Enzyme Activity of A. heimuer
3.3. Quality Evaluation of the Sequenced Data
3.4. Reproducibility of Results from Triplicate Experiments
3.5. RT-qPCR Analysis
3.6. Differentially-Expressed Genes
3.7. CAZymes Related to the Decomposition of Corncob Lignocellulose
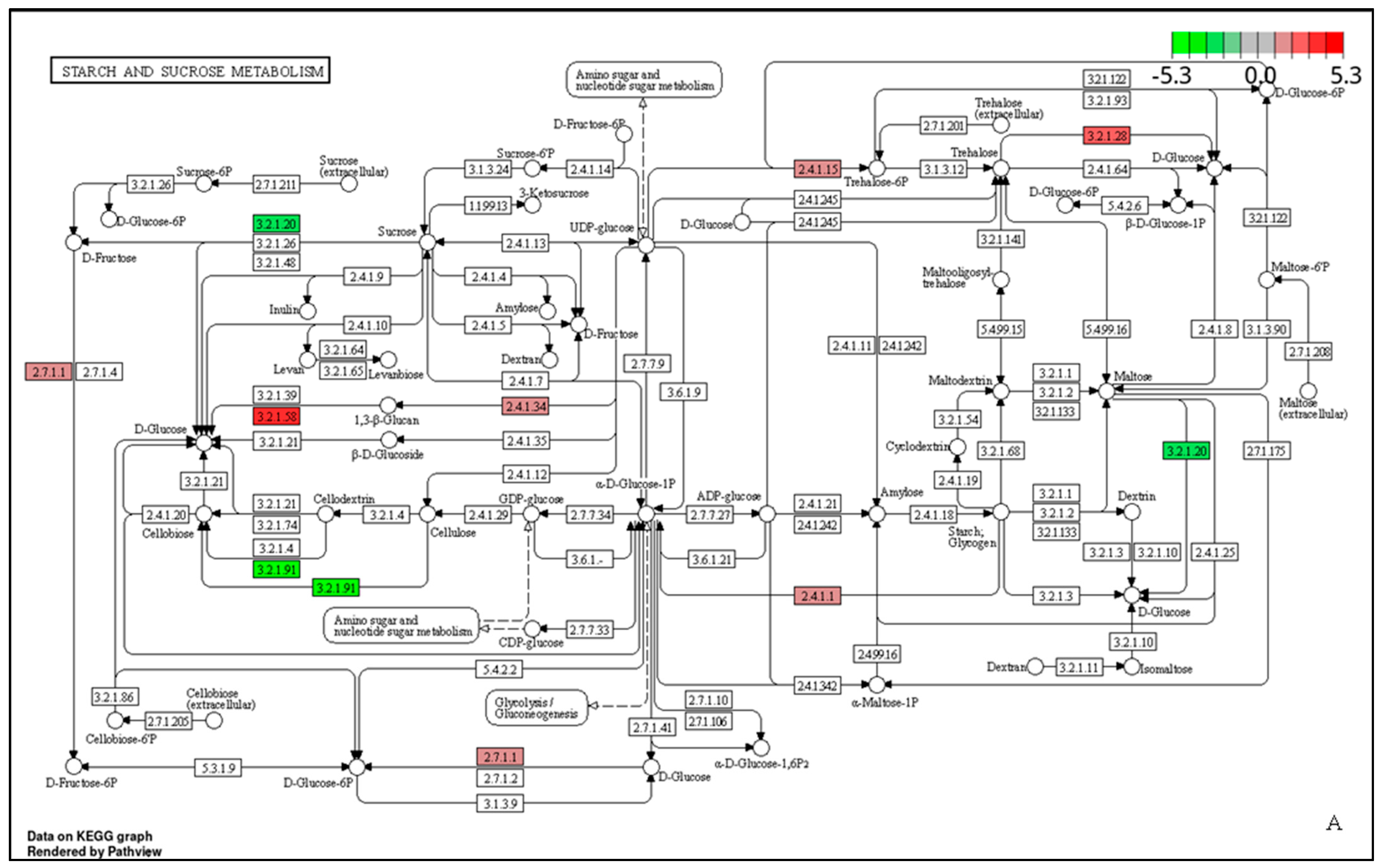
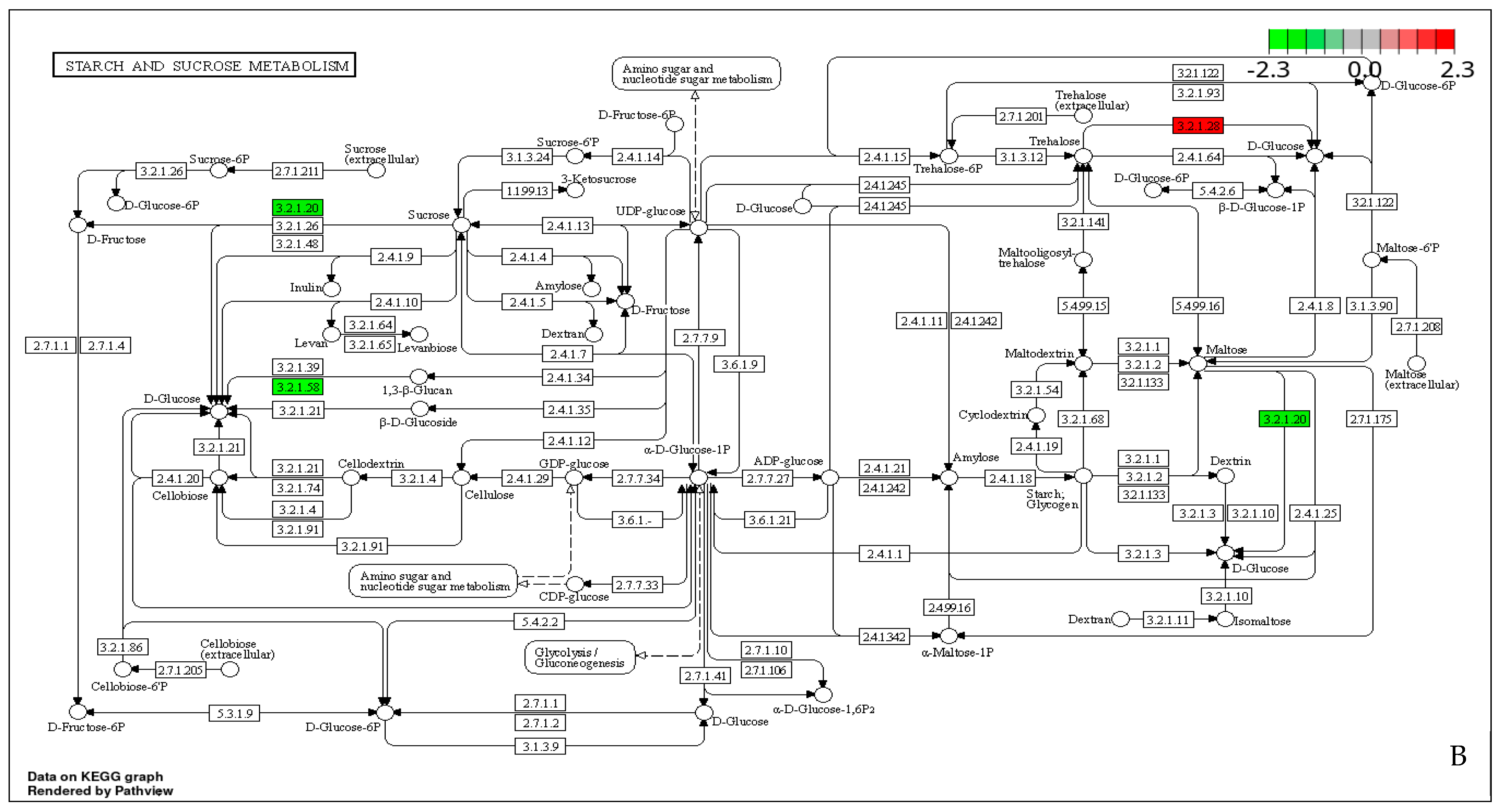
3.8. KEGG Pathway Enrichment Analysis
3.9. GO Annotation
4. Discussion
4.1. The Extracellular Enzyme and the DEGs of CAZymes
4.2. The Pattern of Lignocellulose Degradation
4.3. The KEGG Pathway and the DEGs of CAZymes
Supplementary Materials
Author Contributions
Funding
Institutional Review Board Statement
Informed Consent Statement
Data Availability Statement
Acknowledgments
Conflicts of Interest
References
- Xu, S.; Zhang, Y.; Jiang, K. Antioxidant activity in vitro and in vivo of the polysaccharides from different varieties of Auricularia auricula. Food Funct. 2016, 9, 3868–3879. [Google Scholar] [CrossRef] [PubMed]
- Islam, T.; Yao, F.; Kang, W.; Lu, L.; Xu, B. A systematic study on mycochemical profiles, antioxidant, and anti-inflammatory activities of 30 varieties of Jew’s ear (Auricularia auricula-judae). Food Sci. Hum. Wellness 2022, 11, 781–794. [Google Scholar] [CrossRef]
- Xiang, H.; Sun-Waterhouse, D.; Cui, C. Hypoglycemic polysaccharides from Auricularia auricula and Auricularia polytricha inhibit oxidative stress, NF-κB signaling and proinflammatory cytokine production in streptozotocin-induced diabetic mice. Food Sci. Hum. Wellness 2021, 10, 87–93. [Google Scholar] [CrossRef]
- Ma, Z.; Wang, J.; Zhang, L.; Zhang, Y.; Ding, K. Evaluation of water soluble β-d-glucan from Auricularia auricular-judae as potential anti-tumor agent. Carbohyd Polym. 2010, 80, 977–983. [Google Scholar] [CrossRef]
- Pak, S.; Chen, F.; Ma, L.; Hu, X.; Ji, J. Technology. Functional perspective of black fungi (Auricularia auricula): Major bioactive components, health benefits and potential mechanisms. Trends Food Sci. 2021, 114, 245–261. [Google Scholar] [CrossRef]
- Zhang, J.; Sun, T.; Wang, S.; Zou, L. Transcriptome exploration to provide a resource for the study of Auricularia heimuer. J. For. Res. 2020, 31, 1881–1887. [Google Scholar] [CrossRef]
- Del Cerro, C.; Erickson, E.; Dong, T.; Wong, A.R.; Eder, E.K.; Purvine, S.O.; Mitchell, H.D.; Weitz, K.K.; Markillie, L.M.; Burnet, M.C. Intracellular pathways for lignin catabolism in white-rot fungi. Proc. Natl. Acad. Sci. USA 2021, 118, e2017381118. [Google Scholar] [CrossRef] [PubMed]
- An, Q.; Wu, X.-J.; Dai, Y.-C. Comparative genomics of 40 edible and medicinal mushrooms provide an insight into the evolution of lignocellulose decomposition mechanisms. 3 Biotech. 2019, 9, 157. [Google Scholar] [CrossRef] [PubMed]
- Wang, H.; Zhang, X.; Wang, D.; Cui, C.; Gao, C.; Wang, L.; Wang, Y.; Bi, Y. Estimation of China’s corncob resources and their development and utilization. China Agric. Resour. Zoning 2016, 37, 1–8. [Google Scholar]
- Yu, H.; Zhang, D.; Zhang, L.; Li, Q.; Song, C.; Shang, X.; Bao, D.; Tan, Q.; Chen, H.; Lv, B. Corncob as a Substrate for the Cultivation of Lentinula edodes. Waste Biomass Valori 2022, 13, 929–939. [Google Scholar] [CrossRef]
- Sun, Y.; Cheng, J. Hydrolysis of lignocellulosic materials for ethanol production: A review. Bioresour. Technol. 2002, 83, 1–11. [Google Scholar] [CrossRef]
- Zervakis, G.; Philippoussis, A.; Ioannidou, S.; Diamantopoulou, P. Mycelium growth kinetics and optimal temperature conditions for the cultivation of edible mushroom species on lignocellulosic substrates. Folia Microbiol. 2001, 46, 231–234. [Google Scholar] [CrossRef]
- Kong, W.; Sun, B.; Zhang, J.; Zhang, Y.; Gu, L.; Bao, L.; Liu, S. Metagenomic analysis revealed the succession of microbiota and metabolic function in corncob composting for preparation of cultivation medium for Pleurotus ostreatus. Bioresour. Technol. 2020, 306, 123156. [Google Scholar] [CrossRef]
- Ekundayo, F.; Ekundayo, E.; Ayodele, B. Comparative studies on glucanases and β-glucosidase activities of Pleurotus ostreatus and P. pulmonarius in solid state fermentation. Mycosphere 2017, 8, 1051–1059. [Google Scholar] [CrossRef]
- An, Q.; Liu, Z.Y.; Wang, C.R.; Yang, J.; Chen, S.Y.; Chen, X.; Zhang, Y.J.; Bian, L.S.; Han, M.L. Laccase Activity from Pleurotus ostreatus and Flammulina velutipes Strains Grown on Agro- and Forestry Residues by Solid-state Fermentation. Bioresources 2021, 16, 7337–7354. [Google Scholar] [CrossRef]
- Morales, V.; Sánchez, J.E. Self-heating pasteurization of substrates for culinary-medicinal mushrooms cultivation in Mexico. Int. J. Med. Mushrooms 2017, 19, 477–484. [Google Scholar] [CrossRef]
- Han, X.; Guo, Y.; Liu, X.; Xia, Q.; Wang, Y. Catalytic conversion of lignocellulosic biomass into hydrocarbons: A mini review. Catal. Today 2019, 319, 2–13. [Google Scholar] [CrossRef]
- Xia, Y.; Wang, J.; Guo, C.; Xu, H.; Wang, W.; Yang, M.; Shen, Q.; Zhang, R.; Miao, Y. Exploring the multi-level regulation of lignocellulases in the filamentous fungus Trichoderma guizhouense NJAU4742 from an omics perspective. Microb. Cell Fact. 2022, 21, 1–14. [Google Scholar] [CrossRef] [PubMed]
- Park, Y.-J.; Jeong, Y.-U.; Kong, W.-S. Genome sequencing and carbohydrate-active enzyme (CAZyme) repertoire of the white rot fungus Flammulina elastica. Int. J. Mol. Sci. 2018, 19, 2379. [Google Scholar] [CrossRef]
- Sun, X.; Yang, C.; Ma, Y.; Zhang, J.; Wang, L. Research progress of Auricularia heimuer on cultivation physiology and molecular biology. Front. Microbiol. 2022, 13, 1048249. [Google Scholar] [CrossRef]
- Buswell, J.A.; Cai, Y.J.; Chang, S.T.; Peberdy, J.F.; Fu, S.Y.; Yu, H.S. Lignocellulolytic enzyme profiles of edible mushroom fungi. World J. Microb. Biot. 1996, 12, 537–542. [Google Scholar] [CrossRef] [PubMed]
- Trigiano, R.N.; Fergus, C.L. Extracellular Enzymes of Some Fungi Associated With Mushroom Culture. Mycologia 1979, 71, 908–917. [Google Scholar] [CrossRef]
- Ying, C.; Fang-jie, Y.; Gui-juan, L.; Hai-ying, W.; Yan, L. The Announcements and Suggestions of Auricularia auricula Cultivation Using Substitute Media. Edible Fungi China 2010, 29, 55–58. [Google Scholar] [CrossRef]
- Yujing, W.; Fangjie, Y.; Xu, S.; Hantao, C.; Hongyu, Q.; Lixin, L. Effects of Transtubular Succession on Quality of Auricularia heimuer Spawns. J. Jilin Agric. Univ. 2022, 44, 293–299. [Google Scholar] [CrossRef]
- Yue, Z.; Fang-Jie, Y.; Wen-Juan, S.; Ming, F.; Chun-Shuang, W. Screening of reference genes for qRT-PCR amplification in Auricularia heimuer. Mycosystema 2020, 39, 1510–1519. [Google Scholar] [CrossRef]
- Livak, K.J.; Schmittgen, T.D. Analysis of Relative Gene Expression Data Using Real-Time Quantitative PCR and the 2−ΔΔCT Method. Methods 2001, 25, 402–408. [Google Scholar] [CrossRef]
- Tarasov, D.; Leitch, M.; Fatehi, P. Lignin–carbohydrate complexes: Properties, applications, analyses, and methods of extraction: A review. Biotechnol. Biofuels 2018, 11, 269. [Google Scholar] [CrossRef]
- Andlar, M.; Rezić, T.; Marđetko, N.; Kracher, D.; Ludwig, R.; Šantek, B. Lignocellulose degradation: An overview of fungi and fungal enzymes involved in lignocellulose degradation. Eng. Life Sci. 2018, 18, 768–778. [Google Scholar] [CrossRef]
- Laca, A.; Laca, A.; Díaz, M. Chapter 8—Hydrolysis: From cellulose and hemicellulose to simple sugars. In Second and Third Generation of Feedstocks; Basile, A., Dalena, F., Eds.; Elsevier: Amsterdam, The Netherlands, 2019; pp. 213–240. [Google Scholar] [CrossRef]
- Sun, S.; Sun, S.; Cao, X.; Sun, R. The role of pretreatment in improving the enzymatic hydrolysis of lignocellulosic materials. Bioresour. Technol. 2016, 199, 49–58. [Google Scholar] [CrossRef]
- Lundell, T.K.; Mäkelä, M.R.; Hildén, K. Lignin-modifying enzymes in filamentous basidiomycetes–ecological, functional and phylogenetic review. J. Basic. Microbiol. 2010, 50, 5–20. [Google Scholar] [CrossRef]
- Harris, P.V.; Welner, D.; McFarland, K.C.; Re, E.; Navarro Poulsen, J.-C.; Brown, K.; Salbo, R.; Ding, H.; Vlasenko, E.; Merino, S.; et al. Stimulation of Lignocellulosic Biomass Hydrolysis by Proteins of Glycoside Hydrolase Family 61: Structure and Function of a Large, Enigmatic Family. Biochemistry 2010, 49, 3305–3316. [Google Scholar] [CrossRef] [PubMed]
- Peng, M.; Aguilar-Pontes, M.V.; Hainaut, M.; Henrissat, B.; Hildén, K.; Mäkelä, M.R.; de Vries, R.P. Comparative analysis of basidiomycete transcriptomes reveals a core set of expressed genes encoding plant biomass degrading enzymes. Fungal Genet. Biol. 2018, 112, 40–46. [Google Scholar] [CrossRef]
- Li, Y.; Liu, J.; Wang, G.; Yang, M.; Yang, X.; Li, T.; Chen, G. De novo transcriptome analysis of Pleurotus djamor to identify genes encoding CAZymes related to the decomposition of corn stalk lignocellulose. J. Biosci. Bioeng. 2019, 128, 529–536. [Google Scholar] [CrossRef]
- Chen, L.; Gong, Y.; Cai, Y.; Liu, W.; Zhou, Y.; Xiao, Y.; Xu, Z.; Liu, Y.; Lei, X.; Wang, G.; et al. Genome Sequence of the Edible Cultivated Mushroom Lentinula edodes (Shiitake) Reveals Insights into Lignocellulose Degradation. PLoS ONE 2016, 11, e0160336. [Google Scholar] [CrossRef] [PubMed]
- Xu, A.; Yang, D.; Jacob, M.S.; Qian, K.; Yang, X.; Zhang, B.; Li, X. Comprehensive evaluation of agronomic traits and mineral elements of Auricularia heimuer cultivated on corncob substrates. Sci. Hortic. 2023, 314, 111942. [Google Scholar] [CrossRef]
- Fang, M.; Wang, X.; Chen, Y.; Wang, P.; Lu, L.; Lu, J.; Yao, F.; Zhang, Y. Genome Sequence Analysis of Auricularia heimuer Combined with Genetic Linkage Map. J. Fungi 2020, 6, 37. [Google Scholar] [CrossRef]
- Daniel, G.; Volc, J.; Filonova, L.; Plíhal, O.; Kubátová, E.; Halada, P. Characteristics of Gloeophyllum trabeum Alcohol Oxidase, an Extracellular Source of H2O2 in Brown Rot Decay of Wood. Appl. Env. Microb. 2007, 73, 6241–6253. [Google Scholar] [CrossRef]
- Piontek, K.; Strittmatter, E.; Ullrich, R.; Gröbe, G.; Pecyna, M.J.; Kluge, M.; Scheibner, K.; Hofrichter, M.; Plattner, D.A. Structural Basis of Substrate Conversion in a New Aromatic Peroxygenase: Cytochrome P450 functionality with benefits. J. Biol. Chem. 2013, 288, 34767–34776. [Google Scholar] [CrossRef]
- Ullrich, R.; Nüske, J.; Scheibner, K.; Spantzel, J.; Hofrichter, M. Novel Haloperoxidase from the Agaric Basidiomycete Agrocybe aegerita Oxidizes Aryl Alcohols and Aldehydes. Appl. Environ. Microb. 2004, 70, 4575–4581. [Google Scholar] [CrossRef]
- Liers, C.; Arnstadt, T.; Ullrich, R.; Hofrichter, M. Patterns of lignin degradation and oxidative enzyme secretion by different wood- and litter-colonizing basidiomycetes and ascomycetes grown on beech-wood. Fems Microbiol. Ecol. 2011, 78, 91–102. [Google Scholar] [CrossRef]
- Colpa, D.I.; Fraaije, M.W.; van Bloois, E. DyP-type peroxidases: A promising and versatile class of enzymes. J. Ind. Microbiol. Biotechnol. 2014, 41, 1–7. [Google Scholar] [CrossRef] [PubMed]
- Liers, C.; Bobeth, C.; Pecyna, M.; Ullrich, R.; Hofrichter, M. DyP-like peroxidases of the jelly fungus Auricularia auricula-judae oxidize nonphenolic lignin model compounds and high-redox potential dyes. Appl. Microbiol. Biotechnol. 2010, 85, 1869–1879. [Google Scholar] [CrossRef] [PubMed]
- Yuliana, T.; Putri, N.Z.; Komara, D.Z.; Mardawati, E.; Lanti, I.; Rahimah, S. Study of Ganoderma lucidum in Laccase Production using Corncob and Paddies Straw Substrates on Submerged Fermentation System. Pak. J. Biol. Sci. 2020, 23, 1060–1065. [Google Scholar] [CrossRef]






| log2(FoldChange) | Gene ID | EC NO. | CAZy Family | Enzyme Name | Substrate |
|---|---|---|---|---|---|
| (A) | |||||
| −3.41 | g9204 | 3.2.1.4 | GH5 | EGL | Cellulose |
| −2.82 | g10166 | 3.2.1.4 | GH7 | EGL | Cellulose |
| −5.28 | g6265 | 3.2.1.91 | GH6 | CBH | Cellulose |
| −4.79 | g564 | 3.2.1.91 | GH6 | CBH | Cellulose |
| −6.07 | g10290 | 1.14.99.54 | AA9 | LPMO | Cellulose |
| −3.97 | g2855 | 1.14.99.54 | AA9 | LPMO | Cellulose |
| −4.82 | g2857 | 1.14.99.54 | AA9 | LPMO | Cellulose |
| −2.09 | g7717 | 1.14.99.54 | AA9 | LPMO | Cellulose |
| −5.22 | g12385 | 1.14.99.54 | AA9 | LPMO | Cellulose |
| −4.86 | g3295 | 1.14.99.54 | AA9 | LPMO | Cellulose |
| −2.07 | g11918 | 3.2.1.21 | GH1 | BGL | Cellulose |
| −1.86 | g11016 | 3.2.1.21 | GH3 | BGL | Cellulose |
| −1.15 | g6414 | 3.2.1.21 | GH3 | BGL | Cellulose |
| −2.96 | g7098 | 3.2.1.21 | GH3 | BGL | Cellulose |
| −5.64 | g19 | 3.2.1.8 | GH11 | XYN | Hemicellulose |
| 1.70 | g6952 | 3.2.1.55 | GH51 | ABF | Hemicellulose |
| −2.10 | g6868 | 3.2.1.55 | GH51 | ABF | Hemicellulose |
| −2.36 | g1086 | 3.2.1.55 | GH62 | ABF | Hemicellulose |
| −4.39 | g6465 | 3.1.1.72 | CE1 | AXE | Hemicellulose |
| −3.36 | g9386 | 3.1.1.72 | CE16 | AXE | Hemicellulose |
| −2.10 | g2170 | 1.10.3.2 | AA1 | LACC | Lignin |
| −1.50 | g6647 | 1.10.3.2 | AA1 | LACC | Lignin |
| 2.32 | g8349 | 1.10.3.2 | AA1 | LACC | Lignin |
| −2.82 | g7656 | 1.10.3.2 | AA1 | LACC | Lignin |
| −1.85 | g8920 | 1.11.1.13 | AA2 | MnP | Lignin |
| 5.37 | g12487 | 1.1.3.10 | AA3_4 | PYO | Lignin |
| −2.16 | g9621 | 1.1.3.13 | AA3_3 | AOX | Lignin |
| 1.13 | g2976 | 1.2.3.15 | AA5_1 | GLOX | Lignin |
| −1.22 | g4342 | 1.2.3.15 | AA5_1 | GLOX | Lignin |
| 1.76 | g9825 | 3.2.1.33 | GH13 | AMY | Starch |
| (B) | |||||
| 1.19 | g5775 | 3.2.1.4 | GH5 | EGL | Cellulose |
| 3.72 | g2857 | 1.14.99.54 | AA9 | LPMO | Cellulose |
| 1.62 | g3018 | 1.14.99.54 | AA9 | LPMO | Cellulose |
| −1.97 | g12385 | 1.14.99.54 | AA9 | LPMO | Cellulose |
| 1.25 | g11016 | 3.2.1.21 | GH3 | BGL | Cellulose |
| −1.40 | g6868 | 3.2.1.55 | GH51 | ABF | Hemicellulose |
| (C) | |||||
| 2.15 | g10290 | 1.14.99.54 | AA9 | LPMO | Cellulose |
| 1.44 | g2857 | 1.14.99.54 | AA9 | LPMO | Cellulose |
| 1.98 | g12385 | 1.14.99.54 | AA9 | LPMO | Cellulose |
| −1.27 | g2977 | 1.14.99.54 | AA9 | LPMO | Cellulose |
| 1.95 | g7656 | 1.10.3.2 | AA1 | LACC | Lignin |
| −1.93 | g12487 | 1.1.3.10 | AA3_4 | PYO | Lignin |
| 1.93 | g8953 | 1.1.3.13 | AA3_3 | AOX | Lignin |
| −2.28 | g2976 | 1.2.3.15 | AA5_1 | GLOX | Lignin |
| −1.22 | g4342 | 1.2.3.15 | AA5_1 | GLOX | Lignin |
| −2.47 | g11660 | 3.2.1.1 | GH13 | α-amylase | Starch |
Disclaimer/Publisher’s Note: The statements, opinions and data contained in all publications are solely those of the individual author(s) and contributor(s) and not of MDPI and/or the editor(s). MDPI and/or the editor(s) disclaim responsibility for any injury to people or property resulting from any ideas, methods, instructions or products referred to in the content. |
© 2024 by the authors. Licensee MDPI, Basel, Switzerland. This article is an open access article distributed under the terms and conditions of the Creative Commons Attribution (CC BY) license (https://creativecommons.org/licenses/by/4.0/).
Share and Cite
Fang, M.; Sun, X.; Yao, F.; Lu, L.; Ma, X.; Shao, K.; Kaimoyo, E. A Combination of Transcriptome and Enzyme Activity Analysis Unveils Key Genes and Patterns of Corncob Lignocellulose Degradation by Auricularia heimuer under Cultivation Conditions. J. Fungi 2024, 10, 545. https://doi.org/10.3390/jof10080545
Fang M, Sun X, Yao F, Lu L, Ma X, Shao K, Kaimoyo E. A Combination of Transcriptome and Enzyme Activity Analysis Unveils Key Genes and Patterns of Corncob Lignocellulose Degradation by Auricularia heimuer under Cultivation Conditions. Journal of Fungi. 2024; 10(8):545. https://doi.org/10.3390/jof10080545
Chicago/Turabian StyleFang, Ming, Xu Sun, Fangjie Yao, Lixin Lu, Xiaoxu Ma, Kaisheng Shao, and Evans Kaimoyo. 2024. "A Combination of Transcriptome and Enzyme Activity Analysis Unveils Key Genes and Patterns of Corncob Lignocellulose Degradation by Auricularia heimuer under Cultivation Conditions" Journal of Fungi 10, no. 8: 545. https://doi.org/10.3390/jof10080545
APA StyleFang, M., Sun, X., Yao, F., Lu, L., Ma, X., Shao, K., & Kaimoyo, E. (2024). A Combination of Transcriptome and Enzyme Activity Analysis Unveils Key Genes and Patterns of Corncob Lignocellulose Degradation by Auricularia heimuer under Cultivation Conditions. Journal of Fungi, 10(8), 545. https://doi.org/10.3390/jof10080545
