Glucose Catabolite Repression Participates in the Regulation of Sialidase Biosynthesis by Antarctic Strain Penicillium griseofulvum P29
Abstract
1. Introduction
2. Materials and Methods
2.1. Fungal Strains and Culture Conditions
2.2. Enzyme Activity Determination
2.3. RNA Isolation, Copy-DNA Synthesis, and Real-Time RT PCR
2.4. Analytical Methods
2.5. Statistical Evaluation of the Results
3. Results
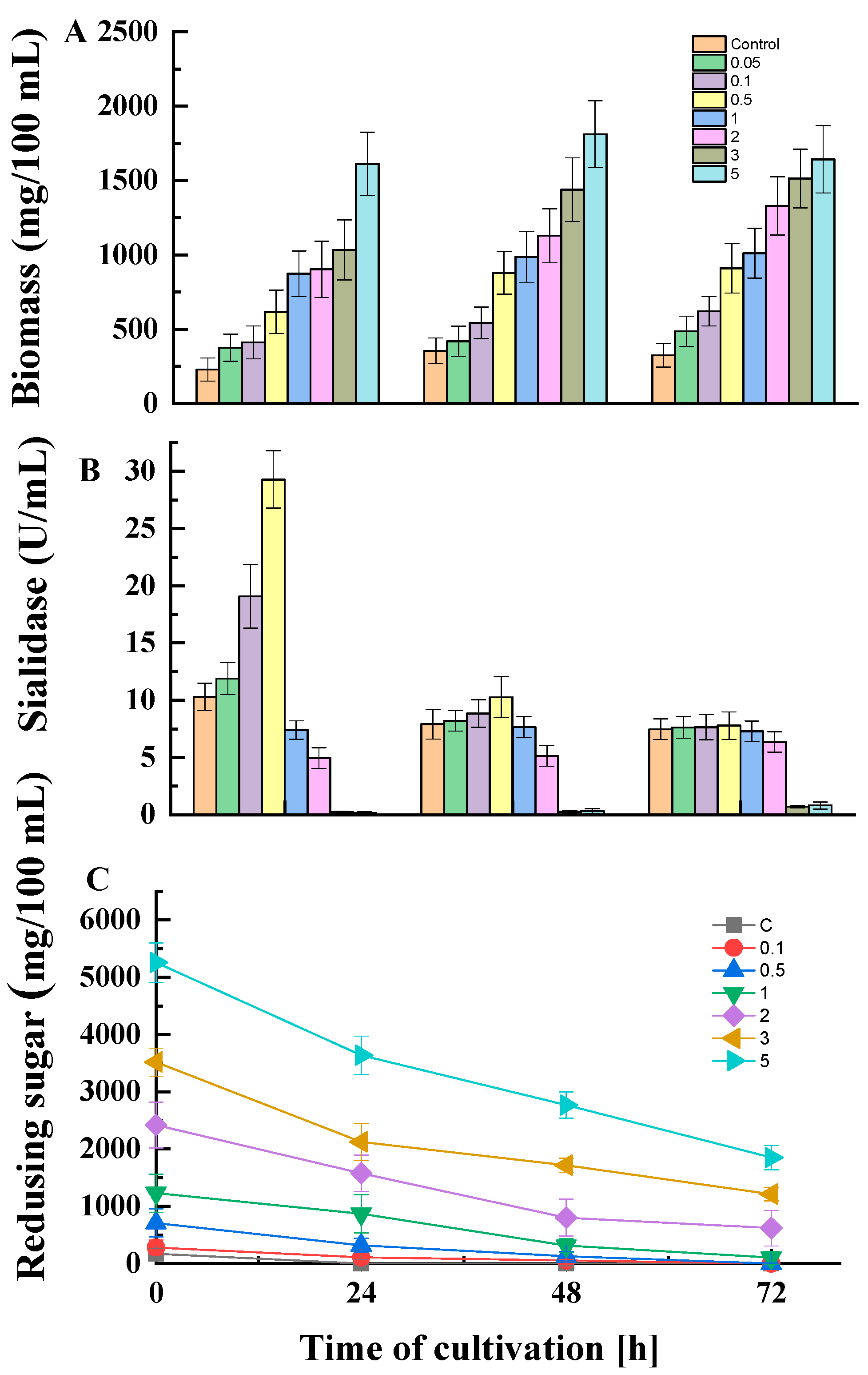
3.1. Glucose-Mediated Repression of Sialidase Production by Growing Fungal Mycelia
3.2. Effect of Catabolite Repression on Non-Growing Mycelia
3.3. Influence of Catabolite Repression Regulators
3.4. Comparative Sialidase Gene Expression in the Presence of Glucose
3.5. Effect of the Temperature on Catabolite Repression of Cold-Active Sialidase
4. Discussion
5. Conclusions
Author Contributions
Funding
Institutional Review Board Statement
Informed Consent Statement
Data Availability Statement
Conflicts of Interest
References
- Wang, Y. Sialidases from Clostridium perfringens and their Inhibitors. Front. Cell. Infect. Microbiol. 2020, 9, 462. [Google Scholar] [CrossRef]
- Arabyan, N.; Weis, A.M.; Huang, B.C.; Weimer, B.C. Implication of Sialidases in Salmonella infection: Genome Release of Sialidase Knockout Strains from Salmonella enterica serovar Typhimurium LT2. Genome Announc. 2017, 5, e00341-17. [Google Scholar] [CrossRef]
- Nugroho, C.M.H.; Kurnia, R.S.; Tarigan, S.; Silaen, O.S.M.; Triwidyaningtyas, S.; Wibawan, I.W.T.; Natalia, L.; Takdir, A.K.; Soebandrio, A. Screening and Purification of NanB Sialidase from Pasteurella multocida with Activity in Hydrolyzing Sialic Acid Neu5Acα(2-6)Gal and Neu5Acα(2-3)Gal. Sci. Rep. 2022, 12, 9425. [Google Scholar] [CrossRef]
- Lai, J.C.C.; Karunarathna, H.M.T.; Wong, H.H.; Peiris, J.S.M.; Nicholls, J.M. Neuraminidase Activity and Specificity of Influenza A Virus are Influenced Byhemagglutinin-Receptor Binding. Emerg. Microbes Infect. 2019, 8, 327–338. [Google Scholar] [CrossRef]
- Warwas, M.L.; Watson, J.N.; Bennet, A.J.; Moore, M.M. Structure and Role of Sialic Acids on the Surface of Aspergillus fumigatus Conidiospores. Glycobiology 2007, 17, 401–410. [Google Scholar] [CrossRef]
- Telford, J.C.; Yeung, J.H.F.; Xu, G.; Kiefel, M.J.; Watts, A.G.; Hader, S.; Chan, J.; Bennet, A.J.; Moore, M.M.; Taylor, G.L. The Aspergillus fumigatus Sialidase is a 3-deoxy-D-glycero-D-galacto-2-nonulosonic Acid Hydrolase (KDNase): Structural and Mechanistic Insights. J. Biol. Chem. 2011, 286, 10783–19792. [Google Scholar] [CrossRef] [PubMed]
- Nesbitt, J.R.; Steves, E.Y.; Schonhofer, C.R.; Cait, A.; Manku, S.S.; Yeung, J.H.F.; Bennet, A.J.; McNagny, K.M.; Choy, J.C.; Hughes, M.R.; et al. The Aspergillus fumigatus Sialidase (Kdnase) Contributes to Cell Wall Integrity and Virulence in Amphotericin B-Treated Mice. Front. Microbiol. 2018, 8, 2706. [Google Scholar] [CrossRef] [PubMed]
- Royal, G.C., Jr.; Nandedkar, A.K.N.; Sampson, C.C.; Faggett, T. Neuraminidase Production by Candida albicans. J. Nat. Med. Assoc. 1984, 76, 143–145. [Google Scholar]
- Kajihara, Y.; Okamoto, R.; Yamamoto, N.; Izumi, M. Synthesis of glycopeptides. In Methods Enzymol; Fukuda, M., Ed.; Academic Press: San Diego, CA, USA, 2010; Volume 478, pp. 503–519. [Google Scholar] [CrossRef]
- Kim, S.; Oh, D.B.; Kwon, O.; Kang, H.A. Identification and Functional Characterization of the NanH Extracellular Sialidase from Corynebacterium diphtheriae. J. Biochem. 2010, 147, 523–533. [Google Scholar] [CrossRef] [PubMed]
- Xia, G.; Yu, Z.; Zhao, Y.; Wang, Y.; Wang, S.; He, M.; Wang, J.; Xue, C. Sialoglycoproteins Isolated from the Eggs of Carassius auratus Prevents Osteoporosis by Suppressing the Activation of Osteoclastogenesis Related NF-κB and MAPK Pathways. J. Funct. Foods 2015, 17, 491–503. [Google Scholar] [CrossRef]
- Giurgea, L.T.; Morens, D.M.; Taubenberger, J.K.; Memoli, M.J. Influenza Neuraminidase: A Neglected Protein and Its Potential for a Better Influenza. Vaccine 2020, 8, 409. [Google Scholar] [CrossRef] [PubMed]
- Worrall, E.E.; Sudarisman, P.A. Sialivac: An Intranasal Homologous Inactivated Split Virus Vaccine Containing Bacterial Sialidase for the Control of Avian Influenza in Poultry. Vaccine 2009, 27, 4161–4168. [Google Scholar] [CrossRef] [PubMed]
- Van Dijk, A.A.; Cyplenkov, N.A.; Dekker, P.J.T.; Efimova, Y.M. Sialidases. U.S. Patent 8,012,733B2, 6 September 2011. Available online: https://patents.google.com/patent/US8012733B2/en (accessed on 20 March 2024).
- Bule, P.; Chuzel, L.; Blagova, E.; Wu, L.; Gray, M.A.; Henrissat, B.; Rapp, E.; Bertozzi, C.R.; Taron, C.H.; Davies, G.J. Inverting Family GH156 Sialidases Define an Unusual Catalytic Motif for Glycosidase Action. Nat. Commun. 2019, 10, 4816. [Google Scholar] [CrossRef] [PubMed]
- Wang, P.; Schafer, D.; Miller, C.A.; Tanenbaum, S.W.; Flashner, M. Induction and Regulation of Neuraminidase Synthesis in Arthrobacter sialophilus. J. Bacteriol. 1978, 136, 3874–3879. [Google Scholar] [CrossRef] [PubMed]
- Gualdi, L.; Hayre, J.K.; Gerlini, A.; Bidossi, A.; Colomba, L.; Trappetti, C.; Pozzi, G.; Docquier, J.-D.; Andrew, P.; Ricci, S.; et al. Regulation of Neuraminidase Expression in Streptococcus pneumoniae. BMC Microbiol. 2012, 12, 200. [Google Scholar] [CrossRef] [PubMed]
- Li, J.; McClane, B.A. The Sialidases of Clostridium perfringens type D Strain CN3718 Differ in their Properties and Sensitivities to Inhibitors. Appl. Environ. Microbiol. 2014, 80, 1701–1709. [Google Scholar] [CrossRef] [PubMed]
- Li, J.; Evans, D.R.; Freedman, J.C.; McClane, B.A. NanR regulates NanI Sialidase Expression by Clostridium perfringens F4969, a Human Enteropathogenic Strain. Infect. Immun. 2017, 85, e00241-17. [Google Scholar] [CrossRef]
- Blanchette, K.A.; Shenoy, A.T.; Milner, J., 2nd; Gilley, R.P.; McClure, E.; Hinojosa, C.A.; Kumar, N.; Daugherty, S.C.; Tallon, L.J.; Ott, S.; et al. Neuraminidase A-Exposed Galactose Promotes Streptococcus pneumoniae Biofilm Formation during Colonization. Infect. Immun. 2016, 84, 2922–2932. [Google Scholar] [CrossRef]
- Zhao, S.; Xiang, B.; Yang, L.; Chen, J.; Zhu, C.; Chen, Y.; Cui, J.; Hu, S.; Hu, Y. Genetic Modifications of Critical Regulators Provide New Insights into Regulation Modes of Raw-Starch-Digesting Enzyme Expression in Penicillium. Biotechnol. Biofuels 2022, 15, 62. [Google Scholar] [CrossRef]
- Wang, L.; Wang, A.; Wang, D.; Hong, J. The Novel Properties of Kluyveromyces marxianus Glucose Sensor/Receptor Repressor Pathway and the Construction of Glucose Repression-Released Strains. Microb. Cell Fact. 2023, 22, 123. [Google Scholar] [CrossRef]
- Kunitake, E.; Uchida, R.; Asano, K.; Kanamaru, K.; Kimura, M.; Kimura, T.; Kobayashi, T. cAMP Signaling Factors Regulate Carbon Catabolite Repression of Hemicellulase Genes in Aspergillus nidulans. AMB Expr. 2022, 12, 126. [Google Scholar] [CrossRef]
- Gauna, A.; Larran, A.S.; Feldman, S.R.; Permingeat, H.R.; Perotti, V.E. Secretome characterization of the lignocellulose-degrading fungi Pycnoporus sanguineus and Ganoderma resinaceum growing on Panicum prionitis biomass. Mycologia 2021, 113, 877–890. [Google Scholar] [CrossRef]
- Lima, J.O.; Pereira, J.F.; de Araújo, E.F.; de Queiroz, M.V. Pectin Lyase Overproduction by Penicillium griseoroseum Mutants Resistant to Catabolite Repression. Braz. J. Microbiol. 2017, 48, 602–606. [Google Scholar] [CrossRef] [PubMed]
- Abrashev, R.; Krumova, E.; Petrova, P.; Eneva, R.; Kostadinova, N.; Miteva-Staleva, J.; Engibarov, S.; Stoyancheva, G.; Gocheva, Y.; Kolyovska, V.; et al. Distribution of a Novel Enzyme of Sialidase Family among Native Filamentous Fungi. Fungal Biol. 2021, 125, 412–425. [Google Scholar] [CrossRef] [PubMed]
- Dolashki, A.; Abrashev, R.; Kaynarov, D.; Krumova, E.; Velkova, L.; Eneva, R.; Engibarov, S.; Gocheva, Y.; Miteva-Staleva, J.; Dishliyska, V.; et al. Structural and Functional Characterization of Cold-Active Sialidase Isolated from Antarctic Fungus Penicillium griseofulvum P29. Biochem. Biophys. Rep. 2024, 37, 101610. [Google Scholar] [CrossRef]
- Kim, D.; Choi, K.Y.; Yoo, M.; Zylstra, G.J.; Kim, E. Biotechnological Potential of Rhodococcus Biodegradative Pathways. J. Microbiol. Biotechnol. 2018, 28, 1037–1051. [Google Scholar] [CrossRef] [PubMed]
- Uchida, Y.; Tsukada, Y.; Sugimori, T. Distribution of Neuraminidase in Arthrobacter and its Purification by Affinity Chromatography. J. Biochem. 1977, 82, 1425–1433. [Google Scholar] [CrossRef] [PubMed]
- Abrashev, I.; Velcheva, P.; Nikolov, P.; Kourteva, J. Substrate for Colorimetric Determination of Enzyme Activity. Bulgaria Patent N 47647/IIR, 1980. Available online: https://cir.nii.ac.jp/crid/1572543025073467520 (accessed on 21 March 2024).
- Lichtensteiger, C.A.; Vimr, E.R. Neuraminidase (sialidase) activity of Haemophilus parasuis. FEMS Microbiol. Lett. 1997, 152, 269–274. [Google Scholar] [CrossRef] [PubMed]
- Ye, J.; Coulouris, G.; Zaretskaya, I.; Cutcutache, I.; Rozen, S.; Madden, T. Primer-BLAST: A Tool to Design Target-Specific Primers for Polymerase Chain Reaction. BMC Bioinformat. 2012, 13, 134. [Google Scholar] [CrossRef] [PubMed]
- Løvdal, T.; Lillo, C. Reference Gene Selection for Quantitative Real-Time PCR Normalization in Tomato Subjected to Nitrogen, Cold, and Light Stress. Anal. Biochem. 2009, 387, 238–242. [Google Scholar] [CrossRef]
- Somogy, M. Notes on sugar determination. J. Biol. Chem. 1952, 195, 19–23. [Google Scholar] [CrossRef]
- Engibarov, S.; Eneva, R.; Abrashev, I. Neuraminidase (sialidase) from Aeromonas sp. Strain 40/02—Isolation and Partial Purification. Ann. Microbiol. 2015, 65, 1515–1523. [Google Scholar] [CrossRef]
- Martin, K.; McDougall, B.M.; McIlroy, S.; Chen, J.; Seviour, R.J. Biochemistry and Molecular Biology of Exocellular Fungal beta-(1,3)- and beta-(1,6)-Glucanases. FEMS Microbiol. Rev. 2007, 31, 168–192. [Google Scholar] [CrossRef]
- Kislitsin, V.Y.; Chulkin, A.M.; Dotsenko, A.S.; Sinelnikov, I.G.; Sinitsyn, A.P.; Rozhkova, A.M. The Role of Intracellular b-Glucosidase in Cellulolytic Response Induction in Filamentous Fungus Penicillium verruculosum. Res. Microbiol. 2023, 30, 104178. [Google Scholar] [CrossRef]
- Feng, B.; Friedlin, E.; Marzluf, G.A. A Reporter Gene Analysis of Penicillin Biosynthesis Gene Expression in Penicillium chrysogenum and its Regulation by Nitrogen and Glucose Catabolite Repression. Appl. Environ. Microbiol. 1994, 60, 4432–4439. [Google Scholar] [CrossRef] [PubMed]
- Chu, C.; Han, C.; Shimizu, H.; Wong, B. The Effect of Fructose, Galactose, and Glucose on the Induction of β-Galactosidase in Escherichia coli. J. Exp. Microbiol. Immunol. 2002, 2, 1–5. [Google Scholar]
- Dynesen, J.; Smits, H.P.; Olsson, L.; Nielsen, J. Carbon Catabolite Repression of Invertase during Batch Cultivations of Saccharomyces cerevisiae: The Role of Glucose, Fructose, and Mannose. Appl. Microbiol. Biotechnol. 1998, 50, 579–582. [Google Scholar] [CrossRef]
- Jankovic, I.; Brückner, R. Carbon Catabolite Repression of Sucrose Utilization in Staphylococcus xylosus: Catabolite Control Protein CcpA Ensures Glucose Preference and Autoregulatory Limitation of Sucrose Utilization. J. Mol. Microbiol. Biotechnol. 2007, 12, 114–120. [Google Scholar] [CrossRef]
- Chan, V.; Dreolini, L.F.; Flintoff, K.A.; Lloyd, S.J.; Mattenley, A.A. The Effects of Glycerol, Glucose, Galactose, Lactose and Glucose with Galactose on the Induction of β-Galactosidase in Escherichia coli. J. Exp. Microbiol. Immunol. 2002, 2, 130–137. [Google Scholar]
- Gancedo, J.M. Yeast Carbon Catabolite Repression. Microbiol. Mol. Biol. Rev. 1998, 62, 334–361. [Google Scholar] [CrossRef]
- Runquistd, D.; Parachin, N.S.; Hahn-Hägerdal, B. Challenges in Co-Fermentation of Lignocellulose Derived Sugars using Baker’s Yeast. In Woodhead Publishing Series in Energy, Bioalcohol Production; Waldron, K., Ed.; Woodhead Publishing: Cambridge, UK, 2010; pp. 224–245. [Google Scholar] [CrossRef]
- Lagree, K.; Woolford, C.A.; Huang, M.Y.; May, G.; McManus, C.J.; Solis, N.V.; Filler, S.G.; Mitchell, A.P. Roles of Candida albicans Mig1 and Mig2 in Glucose Repression, Pathogenicity Traits, and SNF1 Essentiality. PLoS Genet. 2020, 16, e1008582. [Google Scholar] [CrossRef]
- Adnan, M.; Zheng, W.; Islam, W.; Arif, M.; Abubakar, Y.S.; Wang, Z.; Lu, G. Carbon Catabolite Repression in Filamentous Fungi. Int. J. Mol. Sci. 2018, 19, 48. [Google Scholar] [CrossRef]
- Chen, Y.; Dong, L.; Alam, M.A.; Pardeshi, L.; Miao, Z.; Wang, F.; Tan, K.; Hynes, M.J.; Kelly, J.M.; Wong, K.H. Carbon Catabolite Repression Governs Diverse Physiological Processes and Development in Aspergillus nidulans. mBio 2022, 13, e03734-21. [Google Scholar] [CrossRef]
- Chulkin, A.M.; Vavilova, E.A.; Benevolenskij, S.V. Transcriptional regulator of carbon catabolite repression CreA of filamentous fungus Penicillium canescens. Mol. Biol. 2010, 44, 677–687. [Google Scholar] [CrossRef]
- Peng, M.; Khosravi, C.; Lubbers, R.J.M.; Kun, R.S.; Pontes, M.V.A.; Battaglia, E.; Chen, C.; Dalhuijsen, S.; Daly, P.; Lipzen, A.; et al. CreA-mediated repression of gene expression occurs at low monosaccharide levels during fungal plant biomass conversion in a time and substrate dependent manner. Cell Surf. 2021, 7, 100050. [Google Scholar] [CrossRef]
- Banani, H.; Marcet-Houben, M.; Ballester, A.R.; Abbruscato, P.; González-Candelas, L.; Gabaldón, T.; Spadaro, D. Genome sequencing and secondary metabolism of the postharvest pathogen Penicillium griseofulvum. BMC Genom. 2016, 17, 19. [Google Scholar] [CrossRef]
- Knudsen, S. Promoter 2.0: For the recognition of PolII promoter sequences. Bioinformatics 1999, 15, 356–361. [Google Scholar] [CrossRef] [PubMed]
- Tao, Y.; Wang, Y.; Huang, S.; Zhu, P.; Huang, W.E.; Ling, J.; Xu, J. Metabolic-Activity-Based Assessment of Antimicrobial Effects by D2O-Labeled Single-Cell Raman Microspectroscopy. Anal. Chem. 2017, 89, 4108–4115. [Google Scholar] [CrossRef] [PubMed]
- Li, F.; Ren, L.; Chen, R.; Sun, X.; Xu, J.; Zhu, P.; Yang, F. Assessing Efficacy of Clinical Disinfectants for Pathogenic Fungi by Single-Cell Raman Microspectroscopy. Front. Cell. Infect. Microbiol. 2022, 12, 772378. [Google Scholar] [CrossRef]
- Ilyés, H.; Fekete, E.; Karaffa, L.; Fekete, É.; Sándor, E.; Szentirmai, A.; Kubicek, C.P. CreA-Mediated Carbon Catabolite Repression of b-Galactosidase Formation in Aspergillus nidulans is Growth Rate Dependent. FEMS Microbiol. Lett. 2004, 235, 147–151. [Google Scholar] [CrossRef]
- Flipphi, M.; van de Vondervoort, P.J.I.; Ruijter, G.J.G.; Visser, J.; Arst, H.N., Jr.; Felenbok, B. Onset of Carbon Catabolite Repression in Aspergillus nidulans Parallel Involvement of Hexokinase and Glucokinase in Sugar Signaling. J. Biol. Chem. 2003, 278, 11849–11857. [Google Scholar] [CrossRef]
- de Assis, L.J.; Silva, L.P.; Bayram, O.; Dowling, P.; Kniemeye, O.; Krüger, T.; Brakhage, A.A.; Chen, Y.; Dong, L.; Tan, K.; et al. Carbon Catabolite Repression in Filamentous Fungi Is Regulated by Phosphorylation of the Transcription Factor CreA. Mol. Biol. Physiol. 2021, 12, e03146-20. [Google Scholar] [CrossRef] [PubMed]
- Hoyer, L.L.; Hamilton, A.C.; Steenbergen, S.M.; Vimr, E.R. Cloning, Sequencing and Distribution of the Salmonella typhimurium LT2 Sialidase Gene, NanH, Provides Evidence for Interspecies Gene Transfer. Mol. Microbiol. 1992, 6, 873–884. [Google Scholar] [CrossRef] [PubMed]
- Nair, A.; Sarma, S.J. The Impact of Carbon and Nitrogen Catabolite Repression in Microorganisms. Microbiol. Res. 2021, 251, 126831. [Google Scholar] [CrossRef] [PubMed]
- Franzino, T.; Boubakri, H.; Cernava, T.; Abrouk, D.; Achouak, W.; Reverchon, S.; Nasser, W.; Haichar, Z.F. Implications of Carbon Catabolite Repression for Plant–Microbe Interactions. Plant Commun. 2022, 3, 100272. [Google Scholar] [CrossRef] [PubMed]
- Shimada, T.; Fujita, N.; Yamamoto, K.; Ishihama, A. Novel Roles of cAMP Receptor Protein (CRP) in Regulation of Transport and Metabolism of Carbon Sources. PLoS ONE 2011, 6, e20081. [Google Scholar] [CrossRef] [PubMed]
- Collier, L.A.; Ghosh, A.; Borkovich, K.A. Heterotrimeric G-Protein Signaling is required for Cellulose Degradation in Neurospora crassa. mBio 2020, 11, e02419-20. [Google Scholar] [CrossRef] [PubMed]
- St. Leger, R.J.; Durrands, P.K.; Cooper, R.M.; Charnley, A.K. Regulation of Production of Proteolytic Enzymes by the Entomopathogenic Fungus Metarhizium anisopliae. Arch. Microbiol. 1988, 150, 413–416. [Google Scholar] [CrossRef]
- Yu, N.-N.; Ketya, W.; Park, G. Intracellular Nitric Oxide and cAMP are Involved in Cellulolytic Enzyme Production in Neurospora crassa. Int. J. Mol. Sci. 2023, 24, 4503. [Google Scholar] [CrossRef]
- Joshi, S.; Satyanarayana, T. Biotechnology of Cold-Active Proteases. Biology 2013, 2, 755–783. [Google Scholar] [CrossRef]
- Carrasco, M.; Rozas, J.M.; Cifuentes, J.A.V.; Baeza, M. Pectinase Secreted by Psychrotolerant Fungi: Identifcation, Molecular Characterization and Heterologous Expression of a Cold-Active Polygalacturonase from Tetracladium sp. Microb. Cell Fact. 2019, 18, 45. [Google Scholar] [CrossRef] [PubMed]
- Han, S.J.; Park, H.; Lee, S.G.; Lee, H.K.; Yim, J.H. Optimization of Cold-Active Chitinase Production from the Antarctic Bacterium, Sanguibacter antarcticus KOPRI 21702. Appl. Microbiol. Biotechnol. 2011, 89, 613–621. [Google Scholar] [CrossRef] [PubMed]








| Primer | Sequence (5′-3′) | PCR Product (bp) | Reference |
|---|---|---|---|
| PenRTF | CAGAACTCTTCCGTTCGGCT | 100 | This study |
| PenRTR | TCACATAGGCTGCAAGGACG | ||
| GADPH_F | CTGCTCTCTCATAGCCAACAC | 157 | [33] |
| GADPH_R | CTTCCTCCAATAGCAGAGGTTT |
| Carbon Source | Biomass [g/100 mL] | Sialidase Activity [U/mL] | ||||
|---|---|---|---|---|---|---|
| 24 h | 48 h | 72 h | 24 h | 48 h | 72 h | |
| Whey | 0.2902 | 0.6438 | 0.7123 | 10.5 | 8.4 | 8.2 |
| Wh + Glucose | 0.8541 | 1.3481 | 1.7254 | 3.1 | 5.9 | 7.4 |
| Wh + Maltose | 0.6292 | 0.9245 | 0.9932 | 3.9 | 4.2 | 5.1 |
| Wh + Sucrose | 0.7998 | 1.1895 | 1.5932 | 2.5 | 6.7 | 4.3 |
Disclaimer/Publisher’s Note: The statements, opinions and data contained in all publications are solely those of the individual author(s) and contributor(s) and not of MDPI and/or the editor(s). MDPI and/or the editor(s) disclaim responsibility for any injury to people or property resulting from any ideas, methods, instructions or products referred to in the content. |
© 2024 by the authors. Licensee MDPI, Basel, Switzerland. This article is an open access article distributed under the terms and conditions of the Creative Commons Attribution (CC BY) license (https://creativecommons.org/licenses/by/4.0/).
Share and Cite
Abrashev, R.; Krumova, E.; Petrova, P.; Eneva, R.; Dishliyska, V.; Gocheva, Y.; Engibarov, S.; Miteva-Staleva, J.; Spasova, B.; Kolyovska, V.; et al. Glucose Catabolite Repression Participates in the Regulation of Sialidase Biosynthesis by Antarctic Strain Penicillium griseofulvum P29. J. Fungi 2024, 10, 241. https://doi.org/10.3390/jof10040241
Abrashev R, Krumova E, Petrova P, Eneva R, Dishliyska V, Gocheva Y, Engibarov S, Miteva-Staleva J, Spasova B, Kolyovska V, et al. Glucose Catabolite Repression Participates in the Regulation of Sialidase Biosynthesis by Antarctic Strain Penicillium griseofulvum P29. Journal of Fungi. 2024; 10(4):241. https://doi.org/10.3390/jof10040241
Chicago/Turabian StyleAbrashev, Radoslav, Ekaterina Krumova, Penka Petrova, Rumyana Eneva, Vladislava Dishliyska, Yana Gocheva, Stefan Engibarov, Jeny Miteva-Staleva, Boryana Spasova, Vera Kolyovska, and et al. 2024. "Glucose Catabolite Repression Participates in the Regulation of Sialidase Biosynthesis by Antarctic Strain Penicillium griseofulvum P29" Journal of Fungi 10, no. 4: 241. https://doi.org/10.3390/jof10040241
APA StyleAbrashev, R., Krumova, E., Petrova, P., Eneva, R., Dishliyska, V., Gocheva, Y., Engibarov, S., Miteva-Staleva, J., Spasova, B., Kolyovska, V., & Angelova, M. (2024). Glucose Catabolite Repression Participates in the Regulation of Sialidase Biosynthesis by Antarctic Strain Penicillium griseofulvum P29. Journal of Fungi, 10(4), 241. https://doi.org/10.3390/jof10040241

