Different Non-Structural Carbohydrates/Crude Proteins (NCS/CP) Ratios in Diet Shape the Gastrointestinal Microbiota of Water Buffalo
Abstract
1. Introduction
2. Materials and Methods
2.1. Animals
2.2. Diet Digestibility
2.3. Sample Collection and DNA Extraction
2.4. Amplification and Sequencing
2.5. Data Analysis
3. Results
3.1. Gastrointestinal Microbiota in Traditionally Fed Water Buffaloes
3.2. Gastrointestinal Microbiota in Alternatively Fed Water Buffaloes
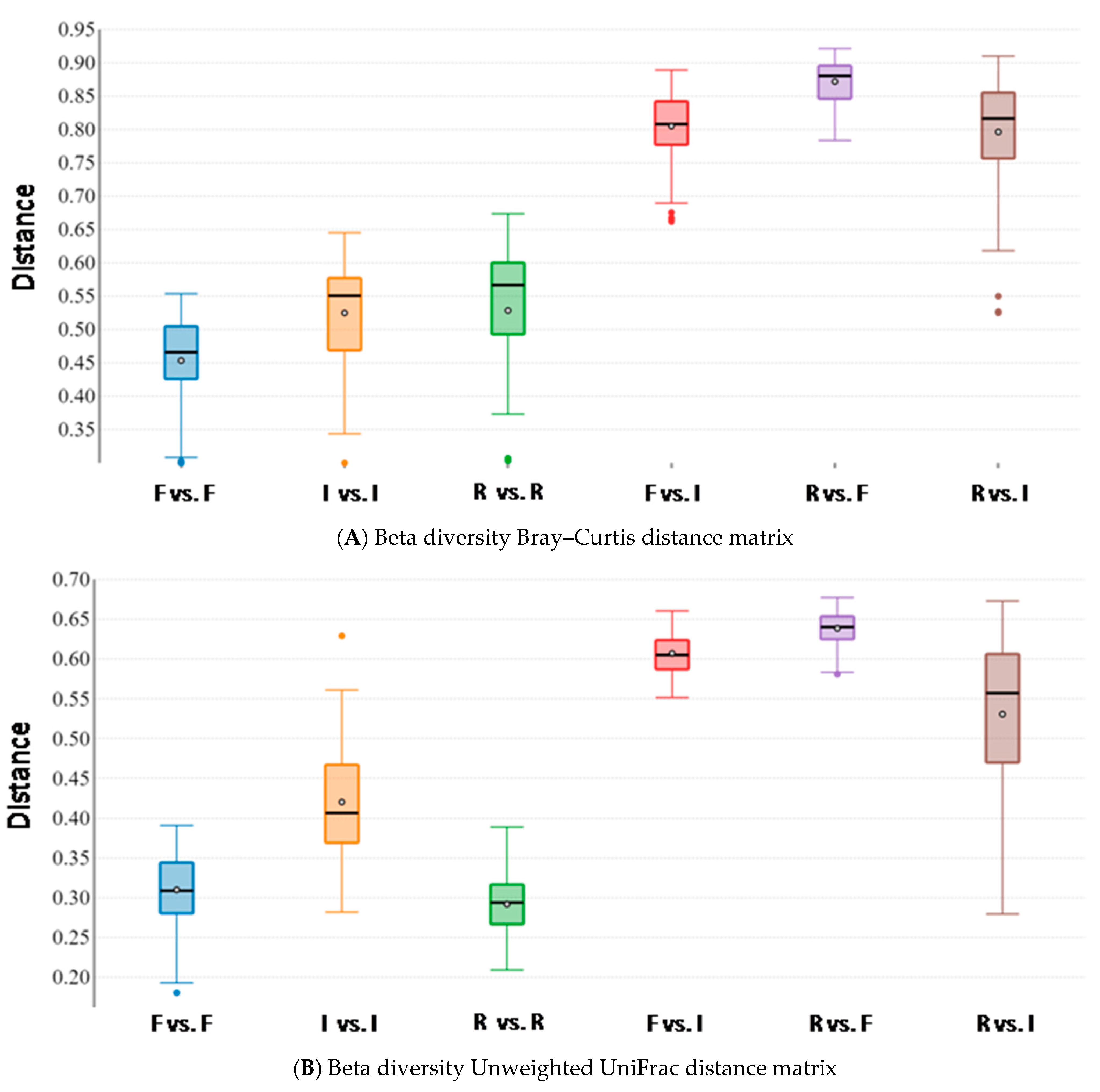
3.3. Influence of Diet on Water Buffalo Gastrointestinal Microbiota (Traditionally vs. Alternatively Fed Water Buffaloes)
3.4. Diet Digestibility
4. Discussion
5. Conclusions
Supplementary Materials
Author Contributions
Funding
Institutional Review Board Statement
Informed Consent Statement
Data Availability Statement
Conflicts of Interest
References
- Manesco-Romagnoli, E.; Kmit, M.C.P.; Chiaramonte, J.B.; Rossmann, M.; Mendes, R. Ecological Aspects on Rumen Microbiome. In Diversity and Benefits of Microorganisms from the Tropics; de Azevedo, J.L., Quecine, M.C., Eds.; Springer: Cham, Switzerland, 2017; Volume 16, pp. 367–389. [Google Scholar] [CrossRef]
- Gomez, D.E.; Galvão, K.N.; Rodriguez-Lecompte, J.C.; Costa, M.C. The cattle microbiota and the immune system: An evolving field. Vet. Clin. N. Am. Food Anim. Pract. 2019, 35, 485–505. [Google Scholar] [CrossRef] [PubMed]
- Holman, D.B.; Gzyl, K.E. A meta-analysis of the bovine gastrointestinal tract microbiota. FEMS Microbiol. Ecol. 2019, 95, fiz072. [Google Scholar] [CrossRef]
- Flint, H.J.; Bayer, E.A.; Rincon, M.T.; Lamed, R.; White, B.A. Polysaccharide utilization by gut bacteria: Potential for new insights from genomic analysis. Nat. Rev. Microbiol. 2008, 6, 121–131. [Google Scholar] [CrossRef] [PubMed]
- Bainbridge, M.L.; Cersosimo, L.M.; Wright, A.D.G.; Kraft, J. Rumen bacterial communities shift across a lactation in Holstein, Jersey and Holstein × Jersey dairy cows and correlate to rumen function, bacterial fatty acid composition and production parameters. FEMS Microbiol. Ecol. 2016, 92, fiw059. [Google Scholar] [CrossRef]
- Morgavi, D.P.; Kelly, W.J.; Janssen, P.H.; Atwood, G.T. Rumen microbial (meta) genomics and its application to ruminant production. Animal 2013, 7, 184–201. [Google Scholar] [CrossRef] [PubMed]
- Henderson, G.; Cox, F.; Ganesh, S.; Jonker, A.; Young, W.; Global Rumen Census Collaborators; Janssen, P.H. Rumen microbial community composition varies with diet and host, but a core microbiome is found across a wide geographical range. Sci. Rep. 2015, 5, 14567. [Google Scholar] [CrossRef]
- Weimer, P.J. Redundancy, resilience, and host specificity of the ruminal microbiota: Implications for engineering improved ruminal fermentations. Front. Microbiol. 2015, 6, 296. [Google Scholar] [CrossRef]
- Crater, A.R.; Barboza, P.S.; Forster, R.J. Regulation of rumen fermentation during seasonal fluctuations in food intake of muskoxen. Comp. Biochem. Physiol.-Part A Mol. Integr. Physiol. 2007, 146, 233–241. [Google Scholar] [CrossRef]
- Pulido, R.G.; Muñoz, R.; Lemarie, P.; Wittwer, F.; Orellana, P.; Waghorn, G.C. Impact of increasing grain feeding frequency on production of dairy cows grazing pasture. Livest. Sci. 2009, 125, 109–114. [Google Scholar] [CrossRef]
- Jami, E.; White, B.A.; Mizrahi, I. Potential role of the bovine rumen microbiome in modulating milk composition and feed efficiency. PLoS ONE 2014, 9, e85423. [Google Scholar] [CrossRef] [PubMed]
- Jewell, K.A.; McCormick, C.A.; Odt, C.L.; Weimer, P.J.; Suen, G. Ruminal bacterial community composition in dairy cows is dynamic over the course of two lactations and correlates with feed efficiency. Appl. Environ. Microbiol. 2015, 81, 4697–4710. [Google Scholar] [CrossRef]
- Zou, C.; Gu, Q.; Zhou, X.; Xia, Z.; Muhammad, W.I.; Tang, Q.; Liang, M.; Lin, B.; Qin, G. Ruminal microbiota composition associated with ruminal fermentation parameters and milk yield in lactating buffalo in Guangxi, China-A preliminary study. J. Anim. Physiol. Anim. Nutr. (Berl.) 2019, 103, 1374–1379. [Google Scholar] [CrossRef]
- Carberry, C.A.; Kenny, D.A.; Han, S.; McCabe, M.S.; Waters, S.M. Effect of phenotypic residual feed intake and dietary forage content on the rumen microbial community of beef cattle. Appl. Environ. Microbiol. 2012, 78, 4949–4958. [Google Scholar] [CrossRef]
- Wallace, R.J.; Rooke, J.A.; McKain, N.; Duthie, C.A.; Hyslop, J.J.; Ross, D.W.; Waterhouse, A.; Watson, M.; Roehe, R. The rumen microbial metagenome associated with high methane production in cattle. BMC Genom. 2015, 16, 839. [Google Scholar] [CrossRef] [PubMed]
- Mizrahi, I.; Jami, E. Review: The compositional variation of the rumen microbiome and its effect on host performance and methane emission. Animal 2018, 12, s220–s232. [Google Scholar] [CrossRef]
- Halmemies-Beauchet-Filleau, A.; Rinne, M.; Lamminen, M.; Mapato, C.; Ampapon, T.; Wanapat, M.; Vanhatalo, A. Review: Alternative and novel feeds for ruminants: Nutritive value, product quality and environmental aspects. Animal 2018, 12, s295–s309. [Google Scholar] [CrossRef] [PubMed]
- Bakshi, M.P.S.; Wadhwa, M.; Makkar, H.P.S. Waste to worth: Vegetable wastes as animal feed. CAB Rev. 2016, 11, N012. [Google Scholar] [CrossRef]
- Arco-Pérez, A.; Ramos-Morales, E.; Yáñez-Ruiz, D.R.; Abecia, L.; Martín-García, A.I. Nutritive evaluation and milk quality of including of tomato or olive by-products silages with sunflower oil in the diet of dairy goats. Anim. Feed Sci. Technol. 2017, 232, 57–70. [Google Scholar] [CrossRef]
- Krause, D.O.; Nagaraja, T.G.; Wright, A.D.G.; Callaway, T.R. Board-invited review: Rumen microbiology: Leading the way in microbial ecology. J. Anim. Sci. 2013, 91, 331–341. [Google Scholar] [CrossRef] [PubMed]
- Matthews, C.; Crispie, F.; Lewis, E.; Reid, M.; O’Toole, P.W.; Cotter, P.D. The rumen microbiome: A crucial consideration when optimising milk and meat production and nitrogen utilisation efficiency. Gut Microbes 2019, 10, 115–132. [Google Scholar] [CrossRef]
- Association of Official Analytical Chemists (AOAC). Official Methods of Analysis, 13th ed.; AOAC International: Arlington, WA, USA, 1980. [Google Scholar]
- EMA. VICHGL9: Guideline on Good Clinical Practice. 2000. Available online: https://www.ema.europa.eu/en/vich-gl9-good-clinical-practices (accessed on 12 April 2018).
- Van Keulen, J.; Young, B.A. Evaluation of Acid-Insoluble Ash as a Natural Marker in Ruminant Digestibility Studies. J. Anim. Sci. 1977, 4, 282–287. [Google Scholar] [CrossRef]
- Salter, S.J.; Cox, M.J.; Turek, E.M.; Calus, S.T.; Cookson, W.O.; Moffatt, M.F.; Turner, P.; Parkhill, J.; Loman, N.J.; Walker, A.W. Reagent contamination can critically impact sequence-based microbiome analyses. BMC Biol. 2014, 12, 87. [Google Scholar] [CrossRef]
- Eisenhofer, R.; Minich, J.J.; Marotz, C.; Cooper, A.; Knight, R.; Weyrich, L.S. Contamination in Low Microbial Biomass Microbiome Studies: Issues and Recommendations. Trends Microbiol. 2019, 27, 105–117. [Google Scholar] [CrossRef] [PubMed]
- Knight, R.; Vrbanac, A.; Taylor, B.C.; Aksenov, A.; Callewaert, C.; Debelius, J.; Gonzalez, A.; Kosciolek, T.; McCall, L.I.; McDonald, D.; et al. Best practices for analysing microbiomes. Nat. Rev. Microbiol. 2018, 16, 410–422. [Google Scholar] [CrossRef] [PubMed]
- Callahan, B.J.; McMurdie, P.J.; Rosen, M.J.; Han, A.W.; Johnson, A.J.; Holmes, S.P. DADA2: High-resolution sample inference from Illumina amplicon data. Nat. Methods 2016, 13, 581–585. [Google Scholar] [CrossRef] [PubMed]
- Hall, M.; Beiko, R.G. 16S rRNA Gene Analysis with QIIME2. Methods Mol. Biol. 2018, 1849, 113–129. [Google Scholar] [CrossRef]
- Katoh, K.; Standley, D.M. MAFFT multiple sequence alignment software version 7: Improvements in performance and usability. Mol. Biol. Evolut. 2013, 30, 772–780. [Google Scholar] [CrossRef]
- Bokulich, N.A.; Kaehler, B.D.; Rideout, J.R.; Dillon, M.; Bolyen, E.; Knight, R.; Huttley, G.A.; Caporaso, J.G. Optimizing taxonomic classification of marker-gene amplicon sequences with QIIME 2’s q2-feature-classifier plugin. Microbiome 2018, 6, 90. [Google Scholar] [CrossRef] [PubMed]
- Estaki, M.; Jiang, L.; Bokulich, N.A.; McDonald, D.; González, A.; Kosciolek, T.; Martino, C.; Zhu, Q.; Birmingham, A.; Vázquez-Baeza, Y.; et al. QIIME 2 enables comprehensive end-to-end analysis of diverse microbiome data and comparative studies with publicly available data. Curr. Protoc. Bioinform. 2020, 70, e100. [Google Scholar] [CrossRef]
- DeSantis, T.Z.; Hugenholtz, P.; Larsen, N.; Rojas, M.; Brodie, E.L.; Keller, K.; Huber, T.; Dalevi, D.; Hu, P.; Andersen, G.L. Greengenes, a chimera-checked 16S rRNA gene database and workbench compatible with ARB. Appl. Environ. Microbiol. 2006, 72, 5069–5072. [Google Scholar] [CrossRef]
- Bokulich, N.A.; Dillon, M.R.; Zhang, Y.; Rideout, J.R.; Bolyen, E.; Li, H.; Albert, P.S.; Caporaso, J.G. q2-longitudinal: Longitudinal and paired-sample analyses of microbiome data. MSystems 2018, 3. [Google Scholar] [CrossRef]
- Price, M.N.; Dehal, P.S.; Arkin, A.P. FastTree: Computing large minimum evolution trees with profiles instead of a distance matrix. Mol. Biol. Evolut. 2009, 26, 1641–1650. [Google Scholar] [CrossRef]
- DeCandia, A.L.; Brenner, L.J.; King, J.L.; vonHoldt, B.M. Ear mite infection is associated with altered microbial communities in genetically depauperate Santa Catalina Island foxes (Urocyon littoralis catalinae). Mol. Ecol. 2020, 29, 1463–1475. [Google Scholar] [CrossRef]
- Borriello, G.; Paradiso, R.; Catozzi, C.; Brunetti, R.; Roccabianca, P.; Riccardi, M.G.; Cecere, B.; Lecchi, C.; Fusco, G.; Ceciliani, F.; et al. Cerumen microbial community shifts between healthy and otitis affected dogs. PLoS ONE 2020, 15, e0241447. [Google Scholar] [CrossRef]
- Mandal, S.; Van Treuren, W.; White, R.A.; Eggesbø, M.; Knight, R.; Peddada, S.D. Analysis of composition of microbiomes: A novel method for studying microbial composition. Microb. Ecol. Health Dis. 2015, 26, 27663. [Google Scholar] [CrossRef] [PubMed]
- Altschul, S.F.; Gish, W.; Miller, W.; Myers, E.W.; Lipman, D.J. Basic local alignment search tool. J. Mol. Biol. 1990, 215, 403–410. [Google Scholar] [CrossRef]
- Lozupone, C.; Knight, R. UniFrac: A new phylogenetic method for comparing microbial communities. Appl. Environ. Microbiol. 2005, 71, 8228–8235. [Google Scholar] [CrossRef]
- Anderson, M.J. A new method for non-parametric multivariate analysis of variance. Austral Ecol. 2001, 26, 32–46. [Google Scholar] [CrossRef]
- Prajapati, V.S.; Purohit, H.J.; Raje, D.V.; Parmar, N.; Patel, A.B.; Jones, O.A.H.; Joshi, C.G. The effect of a high-roughage diet on the metabolism of aromatic compounds by rumen microbes: A metagenomic study using Mehsani buffalo (Bubalus bubalis). Appl. Microbiol. Biotechnol. 2016, 100, 1319–1331. [Google Scholar] [CrossRef] [PubMed]
- Catozzi, C.; Sanchez Bonastre, A.; Francino, O.; Lecchi, C.; De Carlo, E.; Vecchio, D.; Martucciello, A.; Fraulo, P.; Bronzo, V.; Cuscó, A.; et al. The microbiota of water buffalo milk during mastitis. PLoS ONE 2017, 12, e0184710. [Google Scholar] [CrossRef]
- Wallace, R.J. Ruminal microbial metabolism of peptides and amino acids. J. Nutr. 1996, 126, 1326S–1334S. [Google Scholar] [CrossRef]
- Leser, T.D.; Amenuvor, J.Z.; Jensen, T.K.; Lindecrona, R.H.; Boye, M.; Møller, K. Culture-independent analysis of gut bacteria: The pig gastrointestinal tract microbiota revisited. Appl. Environ. Microbiol. 2002, 68, 673–690. [Google Scholar] [CrossRef]
- Huo, W.; Zhu, W.; Mao, S. Impact of subacute ruminal acidosis on the diversity of liquid and solid-associated bacteria in the rumen of goats. World J. Microbiol. Biotechnol. 2014, 30, 669–680. [Google Scholar] [CrossRef]
- Brulc, J.M.; Antonopoulos, D.A.; Miller, M.E.; Wilson, M.K.; Yannarell, A.C.; Dinsdale, E.A.; Edwards, R.E.; Frank, E.D.; Emerson, J.B.; Wacklin, P.; et al. Gene-centric metagenomics of the fiber-adherent bovine rumen microbiome reveals forage specific glycoside hydrolases. Proc. Natl. Acad. Sci. USA 2009, 106, 1948–1953. [Google Scholar] [CrossRef] [PubMed]
- Jami, E.; Mizrahi, I. Composition and similarity of bovine rumen microbiota across individual animals. PLoS ONE 2012, 7, e33306. [Google Scholar] [CrossRef]
- Bland, S.D.; Venable, E.B.; McPherson, J.L.; Atkinson, R.L. Characterization of the microbial communities along the gastrointestinal tract of sheep by 454 pyrosequencing analysis. Asian-Australas. J. Anim. Sci. 2017, 30, 100–110. [Google Scholar] [CrossRef]
- Venable, E.B.; Fenton, K.A.; Braner, V.M.; Reddington, C.E.; Halpin, M.J.; Heitz, S.A.; Francis, J.M.; Gulson, N.A.; Goyer, C.L.; Bland, S.D.; et al. Effects of feeding management on the equine cecal microbiota. J. Equine Vet. Sci. 2017, 49, 113–121. [Google Scholar] [CrossRef]
- Holman, D.B.; Brunelle, B.W.; Trachsel, J.; Allen, H.K. Meta-analysis To Define a Core Microbiota in the Swine Gut. MSystems 2017, 2, e00004-17. [Google Scholar] [CrossRef] [PubMed]
- Vasta, V.; Daghio, M.; Cappucci, A.; Buccioni, A.; Serra, A.; Viti, C.; Mele, M. Invited review: Plant polyphenols and rumen microbiota responsible for fatty acid biohydrogenation, fiber digestion, and methane emission: Experimental evidence and methodological approaches. J. Dairy Sci. 2019, 102, 3781–3804. [Google Scholar] [CrossRef] [PubMed]
- Atherly, T.; Ziemer, C.J. Bacteroides isolated from four mammalian hosts lack host-specific 16S rRNA gene phylogeny and carbon and nitrogen utilization patterns. MicrobiologyOpen 2014, 3, 225–238. [Google Scholar] [CrossRef]
- Shkoporov, A.N.; Chaplin, A.V.; Khokhlova, E.V.; Shcherbakova, V.A.; Motuzova, O.V.; Bozhenko, V.K.; Kafarskaia, L.I.; Efimov, B.A. Alistipes inops sp. nov. and Coprobacter secundus sp. nov., isolated from human faeces. Int. J. Syst. Evol. Microbiol. 2015, 65, 4580–4588. [Google Scholar] [CrossRef]
- Beitz, D.C. Carbohydrate metabolism. In Dukes’ Physiology of Domestic Animals, 12th ed.; Reese, W.O., Ed.; Cornell Univ. Press: New York, NY, USA, 2004; pp. 501–515. [Google Scholar] [CrossRef]
- Hood, R.L.; Thompson, E.H.; Allen, C.E. The role of acetate, propionate, and glucose as substrates for lipogenesis in bovine tissues. Int. J. Biochem. 1972, 3, 598–606. [Google Scholar] [CrossRef]
- Górka, P.; Kowalski, Z.M.; Zabielski, R.; Guilloteau, P. Invited review: Use of butyrate to promote gastrointestinal tract development in calves. J. Dairy Sci. 2018, 101, 4785–4800. [Google Scholar] [CrossRef]
- Dill-McFarland, K.A.; Weimer, P.J.; Breaker, J.D.; Suen, G. Diet Influences Early Microbiota Development in Dairy Calves without Long-Term Impacts on Milk Production. Appl. Environ. Microbiol. 2019, 85, e02141-18. [Google Scholar] [CrossRef]
- Cook, G.M.; Rainey, F.A.; Chen, G.; Stackebrandt, E.; Russell, J.B. Emendation of the description of Acidaminococcus fermentans, a trans-aconitate- and citrateoxidizing bacterium. Int. J. Syst. Bacteriol. 1994, 44, 576–578. [Google Scholar] [CrossRef] [PubMed]
- Ley, R.E.; Turnbaugh, P.; Klein, S.; Gordon, J.I. Microbial ecology: Human gut microbes associated with obesity. Nature 2006, 444, 1022–1023. [Google Scholar] [CrossRef]
- Tseng, C.H.; Wu, C.Y. The gut microbiome in obesity. J. Formos. Med. Assoc. 2019, 118 (Suppl. 1), S3–S9. [Google Scholar] [CrossRef] [PubMed]
- Watanabe, Y.; Suzuki, R.; Koike, S.; Nagashima, K.; Mochizuki, M.; Forster, R.J.; Kobayashi, Y. In vitro evaluation of cashew nut shell liquid as a methane-inhibiting and propionate-enhancing agent for ruminants. J. Dairy Sci. 2010, 93, 5258–5267. [Google Scholar] [CrossRef]
- Sinisgalli, C.; Vezza, T.; Diez-Echave, P.; Ostuni, A.; Faraone, I.; Hidalgo-Garcia, L.; Russo, D.; Armentano, M.F.; Garrido-Mesa, J.; Rodriguez-Cabezas, M.E.; et al. The Beneficial Effects of Red Sun-Dried Capsicum annuum L. Cv Senise Extract with Antioxidant Properties in Experimental Obesity are Associated with Modulation of the Intestinal Microbiota. Mol. Nutr. Food Res. 2021, 65, e2000812. [Google Scholar] [CrossRef]
- Rastmanesh, R. High polyphenol, low probiotic diet for weight loss because of intestinal microbiota interaction. Chem. Biol. Interact. 2011, 189, 1–8. [Google Scholar] [CrossRef] [PubMed]
- Sicilia, T.; Bub, A.; Rechkemmer, G.; Kraemer, K.; Hoppe, P.P.; Kulling, S.E. Novel lycopene metabolites are detectable in plasma of preruminant calves after lycopene supplementation. J. Nutr. 2005, 135, 2616–2621. [Google Scholar] [CrossRef] [PubMed]
- Yeoman, C.J.; White, B.A. Gastrointestinal tract microbiota and probiotics in production animals. Annu. Rev. Anim. Biosci. 2014, 2, 469–486. [Google Scholar] [CrossRef] [PubMed]
- Perea, K.; Perz, K.; Olivo, S.K.; Williams, A.; Lachman, M.; Ishaq, S.L.; Thomson, J.; Yeoman, C.J. Feed efficiency in lambs involves changes in ruminal, colon, and small-intestine-located microbiota. J. Anim. Sci. 2017, 95, 2585–2592. [Google Scholar] [CrossRef]
- Kim, C.Y.; Kim, B.K.; Kim, Y.J.; Lee, S.H.; Kim, Y.S.; Kim, J.H. Longitudinal evaluation of the relationship between low socioeconomic status and incidence of chronic obstructive pulmonary disease: Korean genome and epidemiology study (KoGES). Int. J. Chronic Obstr. Pulm. Dis. 2021, 15, 3447–3454. [Google Scholar] [CrossRef] [PubMed]
- Benchaar, C.; Hassanat, F.; Gervais, R.; Chouinard, P.Y.; Petit, H.V.; Massé, D.I. Methane production, digestion, ruminal fermentation, nitrogen balance, and milk production of cows fed corn silage- or barley silage-based diets. J. Dairy Sci. 2014, 97, 961–974. [Google Scholar] [CrossRef] [PubMed]









| Feed | Diet (kg) | |
|---|---|---|
| Traditional | Alternative | |
| Triticale Silage | 8.0 | |
| Tomato peel | 12.0 | |
| Wheat Straw | 6.0 | 7.0 |
| Concentrate | 2.0 | 2.2 |
| Total | 16 | 21.2 |
| Composition (% Dry Matter Intake) | ||
| Dry Matter (kg) | 9.7 | 9.4 |
| CP | 6.9 | 6.0 |
| Fat | 2.8 | 2.1 |
| NDF | 65.8 | 68.1 |
| NSC | 13.2 | 13.8 |
| Ash | 11.3 | 10.0 |
| NSC/CP | 1.9 | 2.3 |
| Genera | |||||
|---|---|---|---|---|---|
| Mean | SD | Rumen Traditional a | Mean | SD | Rumen Alternative |
| 19.0 | 5.4 | g_Prevotella | 25.3 | 1.7 | g_Prevotella |
| 12.3 | 3.2 | g_Rikenellaceae_RC9_gut_group | 7.4 | 1.7 | g_Rikenellaceae_RC9_gut_group |
| 6.4 | 3.7 | g_Christensenellaceae_R-7_group | 6.7 | 2.6 | g_Christensenellaceae_R-7_group |
| 4.3 | 2.9 | g_Ruminobacter | 6.5 | 3.7 | g_Ruminobacter |
| 4.2 | 1.4 | g_Succiniclasticum | 3.4 | 0.9 | g_Succiniclasticum |
| 4.1 | 1.8 | g_Butyrivibrio | 3.3 | 4.1 | g_Succinivibrionaceae_UCG-002 |
| 3.1 | 0.9 | g_F082 | 3.1 | 1.9 | g_NK4A214_group |
| 3.1 | 0.8 | g_Papillibacter | 3.0 | 6.2 | g_Acinetobacter |
| 2.8 | 1.3 | o_Rhodospirillales;f__uncultured;g__uncultured | 2.9 | 1.0 | g_Butyrivibrio |
| 2.6 | 4.4 | g_Succinivibrionaceae_UCG-002 | 2.6 | 0.5 | g_F082 |
| 2.2 | 0.6 | g_Lachnospiraceae_AC2044_group | 2.5 | 0.7 | g_Candidatus_Saccharimonas |
| 2.2 | 0.7 | g_NK4A214_group | 2.2 | 1.0 | g_Ruminococcus |
| 2.2 | 1.6 | g_Fibrobacter | |||
| 2.1 | 4.6 | g_Escherichia-Shigella | |||
| 2.1 | 0.7 | g_Candidatus_Saccharimonas | |||
| Mean | SD | Intestine Traditional | Mean | SD | Intestine Alternative |
| 19.9 | 7.4 | f_Peptostreptococcaceae; | 17.8 | 12.7 | g_Escherichia-Shigella |
| 15.5 | 18.5 | g_Escherichia-Shigella | 9.4 | 24.0 | g_Aeromonas |
| 9.8 | 5.9 | g_Turicibacter | 8.3 | 24.2 | g_Shewanella |
| 8.9 | 4.7 | g_Christensenellaceae_R-7_group | 8.1 | 4.7 | g_Rikenellaceae_RC9_gut_group |
| 7.9 | 4.2 | g_Romboutsia | 3.8 | 3.8 | g_Solibacillus |
| 5.6 | 3.2 | g_Paraclostridium | 3.6 | 3.4 | g_Bacteroides |
| 5.1 | 3.2 | g_Clostridium_sensu_stricto_1 | 3.5 | 6.0 | g_Lysinibacillus |
| 3.4 | 4.0 | g_Prevotella | 3.4 | 2.0 | g_UCG-005 |
| 2.7 | 2.5 | g_Paeniclostridium | 2.8 | 5.8 | g_Acinetobacter |
| 2.4 | 1.9 | g_Candidatus_Saccharimonas | 2.5 | 1.9 | f_Lachnospiraceae; |
| 2.1 | 2.6 | g_Rikenellaceae_RC9_gut_group | |||
| Mean | SD | Feces Traditional | Mean | SD | Feces Alternative |
| 9.9 | 4.0 | g_Rikenellaceae_RC9_gut_group | 13.5 | 14.5 | g_Acinetobacter |
| 6.9 | 2.5 | g_Bacteroides | 11.7 | 8.9 | g_Escherichia-Shigella |
| 5.0 | 1.8 | f_Lachnospiraceae; | 8.9 | 1.7 | g_Rikenellaceae_RC9_gut_group |
| 4.5 | 1.5 | g_Alistipes | 4.3 | 2.0 | g_Bacteroides |
| 4.4 | 6.6 | g_Escherichia-Shigella | 4.2 | 2.3 | g_Bacteroidales_RF16_group |
| 4.2 | 2.2 | g_Bacteroidales_RF16_group | 3.8 | 1.1 | f_Lachnospiraceae; |
| 4.1 | 0.8 | f_Oscillospiraceae;g_uncultured | 3.5 | 2.8 | g_Solibacillus |
| 3.9 | 1.5 | g_UCG-010 | 3.5 | 1.7 | g_UCG-005 |
| 3.8 | 1.2 | g_UCG-005 | 3.1 | 1.0 | g_Alistipes |
| 3.7 | 2.4 | g_Christensenellaceae_R-7_group | 2.8 | 2.1 | g_UCG-010 |
| 3.2 | 1.0 | g_Eubacterium_coprostanoligenes_group | 2.8 | 1.1 | g_Eubacterium_coprostanoligenes_group |
| 2.8 | 0.9 | o_Bacteroidales;f_uncultured;g__uncultured | 2.4 | 2.3 | g_Lysinibacillus |
| 2.7 | 1.6 | f_Lachnospiraceae;g_uncultured | |||
| 2.5 | 2.3 | g_Alloprevotella | |||
| 2.3 | 0.9 | g__Prevotellaceae_UCG-004 | |||
| 2.1 | 1.4 | c__Gammaproteobacteria; | |||
| Body Site | Test | Index/Matrix | H | p-Value |
|---|---|---|---|---|
| Rumen | Kruscal–Wallis | Observed ASVs | 0.516102 | 0.472509 |
| Kruscal–Wallis | Pielou evenness | 2.765714 | 0.096304 | |
| Large intestine | Kruscal–Wallis | Observed ASVs | 1.651429 | 0.198765 |
| Kruscal–Wallis | Pielou evenness | 1.285714 | 0.256839 | |
| Feces | Kruscal–Wallis | Observed ASVs | 0.012867 | 0.909688 |
| Kruscal–Wallis | Pielou evenness | 0.012867 | 0.909688 |
| Body Site | Test | Matrix | Pseudo-F | p-Value |
|---|---|---|---|---|
| Rumen | PERMANOVA | Bray–Curtis | 3.007807 | 0.001 |
| PERMANOVA | UnWeighted UniFrac | 2.301941 | 0.007 | |
| PERMANOVA | Weighted UniFrac | 1.400113 | 0.25 | |
| Large intestine | PERMANOVA | Bray–Curtis | 10.595599 | 0.001 |
| PERMANOVA | UnWeighted UniFrac | 10.118457 | 0.001 | |
| PERMANOVA | Weighted UniFrac | 4.569653 | 0.002 | |
| Feces | PERMANOVA | Bray–Curtis | 3.609716 | 0.002 |
| PERMANOVA | UnWeighted UniFrac | 3.074413 | 0.009 | |
| PERMANOVA | Weighted UniFrac | 5.124755 | 0.009 |
| Constituent of Diet | Traditionally Fed | Alternatively Fed |
|---|---|---|
| OM | 74.3 ± 0.7 | 76.6 ± 0.7 |
| CP | 69.0 ± 1.4 | 65.1 ± 1.4 |
| FC | 85.9 ± 0.9 A | 80.5 ± 0.9 B |
| NDF | 81.4 ± 0.5 A | 76.9 ± 0.5 B |
| ADF | 64.0 ± 0.5 A | 59.2 ± 0.1 B |
| Ash | 42.3 ± 1.3 A | 54.2 ± 1.3 B |
| GE | 82.9 ± 0.3 A | 77.0 ± 0.4 B |
Publisher’s Note: MDPI stays neutral with regard to jurisdictional claims in published maps and institutional affiliations. |
© 2021 by the authors. Licensee MDPI, Basel, Switzerland. This article is an open access article distributed under the terms and conditions of the Creative Commons Attribution (CC BY) license (https://creativecommons.org/licenses/by/4.0/).
Share and Cite
Paradiso, R.; Borriello, G.; Bolletti Censi, S.; Salzano, A.; Cimmino, R.; Galiero, G.; Fusco, G.; De Carlo, E.; Campanile, G. Different Non-Structural Carbohydrates/Crude Proteins (NCS/CP) Ratios in Diet Shape the Gastrointestinal Microbiota of Water Buffalo. Vet. Sci. 2021, 8, 96. https://doi.org/10.3390/vetsci8060096
Paradiso R, Borriello G, Bolletti Censi S, Salzano A, Cimmino R, Galiero G, Fusco G, De Carlo E, Campanile G. Different Non-Structural Carbohydrates/Crude Proteins (NCS/CP) Ratios in Diet Shape the Gastrointestinal Microbiota of Water Buffalo. Veterinary Sciences. 2021; 8(6):96. https://doi.org/10.3390/vetsci8060096
Chicago/Turabian StyleParadiso, Rubina, Giorgia Borriello, Sergio Bolletti Censi, Angela Salzano, Roberta Cimmino, Giorgio Galiero, Giovanna Fusco, Esterina De Carlo, and Giuseppe Campanile. 2021. "Different Non-Structural Carbohydrates/Crude Proteins (NCS/CP) Ratios in Diet Shape the Gastrointestinal Microbiota of Water Buffalo" Veterinary Sciences 8, no. 6: 96. https://doi.org/10.3390/vetsci8060096
APA StyleParadiso, R., Borriello, G., Bolletti Censi, S., Salzano, A., Cimmino, R., Galiero, G., Fusco, G., De Carlo, E., & Campanile, G. (2021). Different Non-Structural Carbohydrates/Crude Proteins (NCS/CP) Ratios in Diet Shape the Gastrointestinal Microbiota of Water Buffalo. Veterinary Sciences, 8(6), 96. https://doi.org/10.3390/vetsci8060096

