Sign in to use this feature.

Years

Between: -

Subjects

remove_circle_outline
remove_circle_outline
remove_circle_outline
remove_circle_outline
remove_circle_outline
remove_circle_outline
remove_circle_outline
remove_circle_outline
remove_circle_outline

Journals

remove_circle_outline
remove_circle_outline
remove_circle_outline
remove_circle_outline
remove_circle_outline
remove_circle_outline
remove_circle_outline
remove_circle_outline
remove_circle_outline
remove_circle_outline
remove_circle_outline

Article Types

Countries / Regions

remove_circle_outline
remove_circle_outline
remove_circle_outline
remove_circle_outline

Search Results (1,952)

Search Parameters:
Keywords = rumen

Order results
Result details
Results per page
Select all
Export citation of selected articles as:
20 pages, 1665 KB  
Review
Production, Transport, and Metabolism of Volatile Fatty Acids in the Yak Rumen: Unraveling the Unique Mechanisms Underpinning High-Altitude Adaptation
by Zhenyu Zhu, Jianbo Zhang, Ali Mujtaba Shah, Qunying Zhang, Binqiang Bai and Lizhuang Hao
Microorganisms 2026, 14(3), 696; https://doi.org/10.3390/microorganisms14030696 - 19 Mar 2026
Abstract
Volatile fatty acids (VFAs), the primary end-products of microbial fermentation in the ruminant forestomach, supply approximately 70% of the host’s energy requirements and play a pivotal role in maintaining energy homeostasis. While the mechanisms governing ruminal VFA production, absorption, and metabolism are well-characterized [...] Read more.
Volatile fatty acids (VFAs), the primary end-products of microbial fermentation in the ruminant forestomach, supply approximately 70% of the host’s energy requirements and play a pivotal role in maintaining energy homeostasis. While the mechanisms governing ruminal VFA production, absorption, and metabolism are well-characterized in common ruminants like dairy and beef cattle, a systematic integration of these processes in yaks, an iconic species long-adapted to the extreme Qinghai–Tibet Plateau, remains incomplete. This review synthesizes current knowledge on the entire VFA pathway in the yak rumen, from production to tissue metabolism. We detail the critical roles of functional microbes, including fibrolytic bacteria and Prevotella, in VFA synthesis and how their activity is dynamically regulated by dietary composition and seasonal shifts. Building on the unique structural features of the yak rumen epithelium, the review analyzes VFA absorption mechanisms involving both passive diffusion and carrier-mediated transport. Furthermore, we systematically outline the metabolic fates and energy partitioning strategies of VFAs across the rumen epithelium, liver, and peripheral tissues. This synthesis aims to elucidate the highly efficient and adaptive physiological basis of VFA metabolism that underpins the yak’s exceptional ability to utilize energy under the low-energy conditions of the high-altitude environment. Ultimately, this work seeks to provide a theoretical foundation for understanding plateau-adapted energy efficiency and to inform precision nutritional strategies for ruminants in alpine regions. Full article
(This article belongs to the Section Veterinary Microbiology)
Show Figures

Figure 1

15 pages, 1951 KB  
Article
Effects of Isoacid Supplementation on In Vitro Rumen Fermentation, Nutrient Degradability and Bacterial Community Diversity Using Corn Silage–Highland Barley Straw as Substrates in Yaks
by Can Luo, Fei Jiang, Anyi Zhong, Xinjue He, Xi Liu, Yanling Huang and Yanhua Gao
Microorganisms 2026, 14(3), 692; https://doi.org/10.3390/microorganisms14030692 - 19 Mar 2026
Abstract
This study investigated the effects of isoacid supplementation on in vitro rumen fermentation characteristics, nutrient degradability, and bacterial community diversity in yaks using corn silage–highland barley straw-based substrates. An in vitro fermentation experiment was conducted with a substrate consisting of 80% whole-plant corn [...] Read more.
This study investigated the effects of isoacid supplementation on in vitro rumen fermentation characteristics, nutrient degradability, and bacterial community diversity in yaks using corn silage–highland barley straw-based substrates. An in vitro fermentation experiment was conducted with a substrate consisting of 80% whole-plant corn silage and 20% highland barley straw. Treatments included a control (without isoacids) and four isoacid supplemental levels (0.1%, 0.2%, 0.3%, and 0.4% of substrate dry matter, DM), each with six replicates. A 72 h in vitro gas production experiment was performed to measure cumulative gas production, fermentation parameters, nutrient degradability, and bacterial community diversity. Cumulative gas production increased by 12.96% with 0.2% isoacid supplementation compared to the control (p < 0.05). The contents of microbial protein (MCP), acetate, propionate, and total volatile fatty acids (TVFA) exhibited quadratic responses to the increasing isoacid dosage (p < 0.05). Specifically, MCP content reached a maximum of 0.76 mg/mL with 0.2% isoacids, representing a 31.03% increase compared to the control (p < 0.05). TVFA content was highest (146.85 mmoL/L) at 0.2% isoacid supplementation, with a 16.40% increase compared to the control (p < 0.05). Acetate content increased by 17.99% (p < 0.05), while propionate tended to increase with 0.2% isoacid supplementation (p = 0.08). Supplementation with 0.2% and 0.4% isoacids did not alter the bacterial composition and diversity (p > 0.05). However, at the genus level, g_Ruminococcus, g__Elusimicrobium, g_norank_f_Atopobiaceae, g_norank_o_Coriobacteriales, and g_Romboutsia were identified as differential biomarkers showing significant responses to isoacid supplementation (p < 0.05). Mantel-test analysis revealed positive correlation between g_Ruminococcus abundance and NH3-N content (r < 0.4, p < 0.05); g_Romboutsia abundance and acetate content (r < 0.40, p < 0.05); g_Defluviitaleaceae_UCG-011 abundance and both NH3-N content and the pH of rumen fluid (r < 0.40, p < 0.05); g_norank_o_Coriobacteriales abundance and rumen pH (r < 0.40, p < 0.01). Supplementation with 0.2% isoacids to corn silage–barley straw substrates improved in vitro rumen fermentation characteristics in yaks, which was associated with altered abundances of key bacterial genera including g_Ruminococcus, g__Elusimicrobium, g_norank_f_Atopobiaceae, g_norank_o_Coriobacteriales. Full article
(This article belongs to the Section Veterinary Microbiology)
Show Figures

Figure 1

19 pages, 1807 KB  
Article
Metagenomic Insights into the Effects of Dietary Thymol on the Structure and Function of the Rumen Microbial Community in Beef Steers Consuming Forage
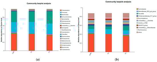
by Emma P. Fukuda, Yuan Lu, Emily Fowler, Russell W. Jessup and Merritt L. Drewery
Animals 2026, 16(6), 950; https://doi.org/10.3390/ani16060950 - 18 Mar 2026
Abstract
While essential oils are gaining momentum as a strategy to modulate rumen function and potentially reduce enteric methane in cattle, little is known about how their bioactive components, terpenes, affect rumen microbes. Our objective was to evaluate how in vivo doses of thymol [...] Read more.
While essential oils are gaining momentum as a strategy to modulate rumen function and potentially reduce enteric methane in cattle, little is known about how their bioactive components, terpenes, affect rumen microbes. Our objective was to evaluate how in vivo doses of thymol affect the structure and function of the rumen microbial community via whole genome shotgun sequencing (WGS). Four beef steers were used in a 4 × 4 Latin square with four 28 d periods. Steers consumed ad libitum forage and received one of four thymol doses (0 [CON], 120 [120-T], 240 [240-T], and 480 [480-T] mg/kg forage intake). Rumen contents were separated into liquid and solid fractions, DNA was extracted, analyzed via WGS, and assessed with orthogonal contrasts. After FDR correction, no taxa were affected by thymol; however, raw p-values demonstrated responses to thymol supplementation for solid-associated uncultured Lachnospiraceae bacterium (p = 0.04), uncultured Methanobrevibacter (p = 0.05), and uncultured Coriobacteriaceae bacterium (p = 0.02). Liquid-associated uncultured Prevotellaceae bacterium (p = 0.03), Prevotella sp. (p = 0.04), and Bacteroides sp. (p = 0.02) also responded to thymol, with the highest abundances observed at various thymol doses. Genes involved in energy production and amino acid metabolism transport were observed at the highest abundances at 240-T, while genes associated with cell cycle control, cell division, and chromosome partitioning were present in the highest abundances at 120-T. The findings suggest that thymol exerts dose-dependent effects on rumen microbial abundances and functional pathways, with 240 mg/kg forage intake appearing to be the most effective dose to downregulate methanogenic enzymes while also enhancing the enzymes associated with metabolism without negatively impacting microbial diversity. Full article
Show Figures

Figure 1

20 pages, 1751 KB  
Review
Integrating Precision Livestock Farming and Genomic Tools for Heat Stress Mitigation in South African Dairy Cattle
by Mokgaetji Lebogang Papo, Keabetswe Tebogo Ncube, Simon Lashmar, Mamokoma Catherine Modiba and Bohani Mtileni
Animals 2026, 16(6), 947; https://doi.org/10.3390/ani16060947 - 18 Mar 2026
Abstract
Heat stress is a significant problem in dairy production that has detrimental effects on milk production, animal well-being and reproductive function. These effects are predicted to worsen due to climate change. With a focus on South African production systems, this review assesses the [...] Read more.
Heat stress is a significant problem in dairy production that has detrimental effects on milk production, animal well-being and reproductive function. These effects are predicted to worsen due to climate change. With a focus on South African production systems, this review assesses the potential of combining precision livestock farming (PLF) and genomic selection (GS) technology to identify, measure and reduce heat stress in dairy cattle. In addition to PLF tools like wearable sensors, rumen boluses, infrared thermography, GPS- and weather-based decision-support systems, pertinent literature was reviewed to evaluate genomic approaches such as heritability estimates and genome-wide association studies identifying selection signatures for thermotolerance. While advances in genomic techniques have improved the identification of thermotolerance markers and the accuracy of breeding values for heat tolerance, evidence from recent studies shows that PLF technologies can accurately detect early physiological and behavioural indicators of heat stress in real time. The ability to select climate-resilient animals under realistic farm conditions is improved by combining high-resolution phenotypic data from PLF systems with genetic data. Overall, the review concludes that combining PLF and GS provides a useful and complementary approach to enhance the detection of heat stress, facilitate well-informed management choices and hasten the development of thermotolerant dairy cattle, all of which contribute to more sustainable dairy production under rising temperatures. Full article
(This article belongs to the Section Animal System and Management)
Show Figures

Figure 1

27 pages, 942 KB  
Article
Effects of Protein Supplementation and Microbial Inoculation on Fermentation Quality, Aerobic Stability, and In Vitro Digestibility of Maize Silage
by Michael Vuma, Moses M. Ratsaka, Julius T. Tjelele, Thomas Langa, Bhutikini D. Nkosi and Ingrid M. M. Malebana
Fermentation 2026, 12(3), 155; https://doi.org/10.3390/fermentation12030155 - 16 Mar 2026
Abstract
The study evaluated the effects of replacing soybean meal (SBM) with marula oilcake (MOC) at equal inclusion (10% fresh weight) levels in whole-crop maize silage treated with or without lactic acid bacteria inoculants on fermentation characteristics, nutritive value, aerobic stability, and in vitro [...] Read more.
The study evaluated the effects of replacing soybean meal (SBM) with marula oilcake (MOC) at equal inclusion (10% fresh weight) levels in whole-crop maize silage treated with or without lactic acid bacteria inoculants on fermentation characteristics, nutritive value, aerobic stability, and in vitro nutrient degradability. Maize was ensiled with SBM or MOC in a non-iso-nitrogenous 2 × 3 factorial design and either inoculated or uninoculated with Lalsil Fresh or Sil-All 4×4 for 90 days. Protein sources differed significantly (p < 0.05). The MOC showed high DM, EE, GE, and ADL, whereas SBM had high CP, ash, and IVOMD. Fibre fractions (aNDF and ADF) were similar (p > 0.05). The SBM control showed significantly high (p < 0.05) LA, NH3-N, CP, IVOMD, propionic acid, and early gas production, indicating efficient fermentation. The SBM + Lalsil maintained low pH, and early OM, CP, and GE degradability. The SBM + Sil-All achieved the highest (p < 0.05) OM, NDF, and ADF degradability and acetic acid production than other treatments. The MOC control showed low (p < 0.05) pH, high fibre and GE, reduced butyric acid, and low 48 h gas production, indicating slower fermentation but improved stability. The MOC + Lalsil had high (p < 0.05) DM, low CO2 and yeasts and moulds, and the highest (p < 0.05) CP degradability, propionic acid, and peak gas production at 12 h. The MOC + Sil-All showed high (p < 0.05) GE and WSC with peak GE degradation at 12 h, but low NDF degradability and reduced gas production. Overall, SBM improved degradability and fermentation efficiency, particularly with Sil-All, whereas MOC enhanced energy density and aerobic stability, with Lalsil optimising protein utilisation. Matching inoculant type to protein source is essential to optimise silage quality and rumen fermentation. Further research should assess different inoculant inclusion rates and include a maize-only control, and evaluate protein source inclusion under iso-nitrogenous conditions to allow more accurate comparisons. Full article
Show Figures

Figure 1

15 pages, 670 KB  
Article
Genomic and Plasmid Distribution of Clinically Relevant Antibiotic Resistance Genes in Pets and Free-Roaming Dogs in an Urban Area of Central Mexico
by María Daniela Frade-Pérez, Rosa Martha Pérez-Serrano, Sergio Francisco Cornelio-Martínez, María Laura González-Dávalos, Yezenia Rubio-Venegas, Enrique Flores-Gasca, Alfredo Varela-Echavarría and María Ofelia Mora-Izaguirre
Pets 2026, 3(1), 15; https://doi.org/10.3390/pets3010015 - 15 Mar 2026
Abstract
Dogs, especially as pets but also an increasing number of stray dogs, share environments with humans, facilitating the transfer of antibiotic resistance genes (ARGs) between genetic compartments, with zoonotic and public health implications that must be addressed within One Health. In this cross-sectional [...] Read more.
Dogs, especially as pets but also an increasing number of stray dogs, share environments with humans, facilitating the transfer of antibiotic resistance genes (ARGs) between genetic compartments, with zoonotic and public health implications that must be addressed within One Health. In this cross-sectional comparative study, we explored the distribution of seven selected clinically relevant ARGs in both genomic DNA (gDNA) and plasmid DNA (pDNA), and the phenotypic resistance profile of the cultivable microbiota, between pet dogs (PeDs, n = 12) and free-roaming dogs (FRDs, n = 10) in Mexico. Tetracycline resistance genes (tetQ, tetW, and tetM) predominated in both compartments (40% to 100%), suggesting the presence of a core tetracycline-associated resistome. In contrast, plasmid-associated differences were group-specific: in pDNA cfxA was enriched in FRDs (90%) and tetK in PeDs (42%), whereas blaTEM-1 and ermC were absent in two dog populations. Cultivable bacteria from both groups exhibited phenotypic multidrug resistance, particularly by β-lactams, macrolides, lincosamides, and tetracyclines. FRDs also harbored pathogenic–zoonotic bacteria such as Yersinia enterocolitica, Campylobacter jejuni, and Enterococcus faecalis. Our findings indicated that FRDs and PeDs harbor substantial resistomes, with differences in plasmid-associated ARGs, revealing a transfer potential related to environmental exposure. Full article
(This article belongs to the Topic Research on Companion Animal Nutrition)
Show Figures

Graphical abstract

28 pages, 1727 KB  
Article
Impact of Algae Species from the Baltic Sea Region on Ruminal Fermentation Parameters and Methane Mitigation Using an In Vitro Gas Production System
by Sophia Brunnbauer, Ulrich Meyer, Jeannette Kluess, Fabian Billenkamp, Christian Visscher, Marlene Reich, Thomas Schweder, Christian Schulz, Mathias Paschen, Sven Dänicke and Dirk von Soosten
Ruminants 2026, 6(1), 18; https://doi.org/10.3390/ruminants6010018 - 11 Mar 2026
Viewed by 112
Abstract
This study evaluated the effects of four macroalgae (Colaconema spp., Ulva intestinalis, Ceramium spp., Pylaiella litoralis) and two microalgae (Haematococcus pluvialis, Porphyridium purpureum), chosen due to their local cultivability in the southern Baltic Sea region and potential [...] Read more.
This study evaluated the effects of four macroalgae (Colaconema spp., Ulva intestinalis, Ceramium spp., Pylaiella litoralis) and two microalgae (Haematococcus pluvialis, Porphyridium purpureum), chosen due to their local cultivability in the southern Baltic Sea region and potential gas-reducing properties reported for their taxa, on rumen fermentation and methane production. Therefore, the in vitro ANKOM Rf gas production system was used; three trials were conducted and gas kinetics, gas composition after 48 h of incubation, and short-chain fatty acids (SCFAs) were analyzed. For Trial 1.1, the algae biomasses were added at 4% to a conventional dairy diet and incubated in buffered rumen fluid for 48 h, to evaluate their potential as a supplement. In Trial 1.2, the polysaccharide-enriched algae extracts were added at 2% to the base diet using the same procedure, to investigate the role of the polysaccharide content. For Trial 2, the macroalgae biomasses were evaluated solely to assess their fermentation potential. The addition of the red alga Colaconema spp. (Colaconema) altered the SCFA profile with a shift towards propionate (rate of change in propionate concentration, ΔC3 = 1.216; p < 0.001), without compromising total SCFA yield. The same could be assessed for Ulva intestinalis (U. intestinalis), limited to Trial 2 (ΔC3 = 0.516; p < 0.001). The addition of U. intestinalis led to reduced initial gas production (p = 0.003), reaching the maximum gas production rate at 5.8 h of incubation, 0.3–0.7 h later than the others (5.1–5.5 h). While there was no significant methane reduction at the chosen inclusion rates, the results indicate that both algae influence the SCFA profile and therefore fermentation pattern, with U. intestinalis warranting further investigation on gas production dynamics. Full article
Show Figures

Figure 1

28 pages, 1745 KB  
Systematic Review
Microplastics as a Modifier of Polycyclic Aromatic Hydrocarbon (PAH) Toxicity: A Review on Context-Dependent Effects Across Organisms
by Cris Gel Loui A. Arcadio, Jay Rumen U. Maglupay, Andros M. Po, Jhosin Jaik B. Pardillo and Hernando P. Bacosa
Biology 2026, 15(6), 455; https://doi.org/10.3390/biology15060455 - 11 Mar 2026
Viewed by 172
Abstract
Microplastics and polycyclic aromatic hydrocarbons frequently co-occur in aquatic and terrestrial ecosystems, where their combined biological effects remain incompletely understood. Although both stressors exhibit well-documented individual toxicities, co-exposure studies report highly variable outcomes, ranging from enhanced or reduced toxicity to neutral responses. This [...] Read more.
Microplastics and polycyclic aromatic hydrocarbons frequently co-occur in aquatic and terrestrial ecosystems, where their combined biological effects remain incompletely understood. Although both stressors exhibit well-documented individual toxicities, co-exposure studies report highly variable outcomes, ranging from enhanced or reduced toxicity to neutral responses. This review synthesizes findings from 45 peer-reviewed studies examining single and combined microplastic–PAH exposures across aquatic vertebrates, invertebrates, plants, microorganisms, and cell-based systems. Rather than introducing novel toxic mechanisms, microplastics primarily modulate the probability, magnitude, and timing of conserved biological response pathways. Across taxa, oxidative stress, metabolic disruption, immune modulation, developmental impairment, and behavioral alterations emerge as recurrent endpoints, with responses strongly shaped by context. Particle size, polymer type, exposure concentration and duration, and organismal traits consistently determine whether microplastics enhance PAH bioavailability, reduce effective exposure through sorption, or result in mixed or negligible effects. Overall, the evidence indicates that microplastics function as dynamic modifiers of chemical stress rather than universal toxicity amplifiers. These findings underscore the limitations of single-contaminant risk frameworks and highlight the need for biology-centered, mixture-based approaches that account for exposure pathways, life-history traits, and conserved stress-response systems in ecological risk assessment. Full article
(This article belongs to the Section Toxicology)
Show Figures

Figure 1

12 pages, 982 KB  
Article
Integrating Diagnostic Tools for Early Recognition of Rumenitis in a Neonatal Calf
by Tolulope Grace Ogundipe, Gianfranco Militerno, Riccardo Rinnovati, Raffaele Scarpellini, Talita Bordoni, Arcangelo Gentile, Berihu Gebrekidan Teklehaymanot, Cinzia Benazzi and Marilena Bolcato
Animals 2026, 16(6), 870; https://doi.org/10.3390/ani16060870 - 11 Mar 2026
Viewed by 171
Abstract
Rumenitis is an inflammatory condition of the rumen, typically seen in adult cattle managed on high-energy diets. In calves, it is uncommon and often linked to ruminal drinking due to esophageal groove dysfunction. Early diagnosis is challenging due to nonspecific clinical signs. A [...] Read more.
Rumenitis is an inflammatory condition of the rumen, typically seen in adult cattle managed on high-energy diets. In calves, it is uncommon and often linked to ruminal drinking due to esophageal groove dysfunction. Early diagnosis is challenging due to nonspecific clinical signs. A one-month-old male Limousin calf was presented with persistent non-fetid fluid regurgitation, rhythmic mastication, inappetence, and progressive neurological signs. Clinical examination revealed signs of dehydration and neurological dysfunction. Laboratory evaluation demonstrated metabolic acidosis (pH 7.16), hyperkalemia, and elevated serum urea. Endoscopy identified diffuse mucosal hyperemia, erosions, and fluid accumulation in the rumen. Symptomatic and supportive therapy was initiated; however, the calf died spontaneously. Necropsy was therefore performed, and rumen samples were collected for histological and microbiological investigations. Histopathological analysis confirmed acute suppurative rumenitis. The microbiological culture of rumen and reticulum samples yielded mixed bacterial flora, including Escherichia coli and Proteus mirabilis. The fungal culture isolated Penicillium spp., Mucoraceae, Geotrichium spp., and Aspergillus fumigatus. This case details the value of integrating clinical examination, blood gas analysis, endoscopy, histopathology, and microbiology in diagnosing rumenitis in young calves. Although Limousin calves are not considered predisposed, management and feeding practices may play a critical role in disease onset. Rumenitis should be considered in calves presenting persistent regurgitation and neurological signs. Early, minimally invasive diagnostics such as endoscopy can improve diagnostic accuracy and inform timely clinical decision-making. Full article
(This article belongs to the Section Veterinary Clinical Studies)
Show Figures

Figure 1

14 pages, 1746 KB  
Article
Bioconversion of Organosolv Lignin by Rumen Bacterium: Isolation, Characterization and Metabolic Profiling
by Jéssica Pinheiro Silva, Jailson Novaes de Miranda, Sofia Chacon Prates Uchoa, Artur Carvalho Stranz, Rosália Loriano de Santana, Pedro Ricardo Vieira Hamann, Alonso R. Poma Ticona, Thomas Christopher Rhys Williams, Fernando Araripe Gonçalves Torres, Roberto Castellanos and Eliane Ferreira Noronha
Molecules 2026, 31(5), 903; https://doi.org/10.3390/molecules31050903 - 9 Mar 2026
Viewed by 221
Abstract
Residual lignin generated by pulp, paper, and biorefining industries is commonly burned for energy, despite its potential as a renewable source of aromatic compounds. Studies focusing on microbial lignin degradation contribute to lignin valorization and represent a sustainable strategy to enhance biomass circularity. [...] Read more.
Residual lignin generated by pulp, paper, and biorefining industries is commonly burned for energy, despite its potential as a renewable source of aromatic compounds. Studies focusing on microbial lignin degradation contribute to lignin valorization and represent a sustainable strategy to enhance biomass circularity. Here, we report the isolation of Klebsiella sp. IL2_9 from a ruminal consortium and demonstrate its ability to degrade and metabolize organosolv lignin. After 24 h of cultivation, the strain removed 22% of the initial lignin content. FTIR analysis revealed alterations in functional groups associated with guaiacyl and syringyl units, indicating structural modification of the polymer. GC–MS analyses further showed the consumption of lignin-derived aromatics, including vanillin, 2-aminobenzoic acid, and 4-hydroxybenzoic acid, along with the formation of vanillyl alcohol and phenyllactic acid derivatives. Overall, these findings highlight the potential of Klebsiella sp. IL2_9 as a promising biotechnological candidate for lignin valorization under anaerobic conditions. Full article
(This article belongs to the Special Issue Green Chemistry Strategies for Biomass Valorization)
Show Figures

Figure 1

16 pages, 286 KB  
Article
Effects of Variable Dietary Sorghum Proportions on the In Vitro Digestibility of Nutrients for Ruminants
by Narimane Kellali, Iván Mateos, Cristina Saro, Nedjoua Lakhdara, Mustapha Kerrour and María José Ranilla
Animals 2026, 16(5), 849; https://doi.org/10.3390/ani16050849 - 8 Mar 2026
Viewed by 199
Abstract
This study evaluated the effects of increasing proportions of sudangrass sorghum forage in ruminant diets, with or without polyethylene glycol (PEG), on rumen fermentation, gas and methane production, nutrient digestibility, and protein fermentation metabolites. Three experimental diets containing 20%, 40%, or 60% sorghum [...] Read more.
This study evaluated the effects of increasing proportions of sudangrass sorghum forage in ruminant diets, with or without polyethylene glycol (PEG), on rumen fermentation, gas and methane production, nutrient digestibility, and protein fermentation metabolites. Three experimental diets containing 20%, 40%, or 60% sorghum forage (S20, S40, and S60) were incubated in vitro with cattle rumen fluid. Incubations were performed with or without PEG used as a tannin-binding agent. After 24 h of incubation, gas and methane production, in vitro dry matter digestibility (DMD), neutral detergent fiber digestibility (NDFD), ammonia nitrogen concentration (N-NH3), and volatile fatty acid (VFA) production and profiles were measured. Increasing sorghum inclusion resulted in a significant reduction in DMD (p = 0.0012). In contrast, NDFD increased (p = 0.0005), likely due to differences in lignin content among diets. Methane production was unaffected by the proportion of sorghum, despite the increasing tannin content. PEG supplementation significantly increased N-NH3 concentration (p = 0.042) and isobutyric molar proportion (p < 0.0001), indicating enhanced rumen protein degradation following tannin neutralization. The total VFA concentration was not influenced by either sorghum level or PEG treatment. However, higher sorghum inclusion was associated with shifts in the VFA profiles toward higher acetate (p = 0.0023) and lower butyrate proportions (p = 0.0114). Overall, the results suggest that moderate levels of condensed tannins (CTs) in sorghum forage may alter rumen fermentation patterns without markedly reducing methane production. PEG supplementation further confirmed the biological activity of tannins, especially regarding protein metabolism. Therefore, sudangrass sorghum may be considered a viable forage option for ruminant diets, provided its inclusion level and tannin effects are carefully managed. Full article
(This article belongs to the Section Animal Nutrition)
16 pages, 1790 KB  
Article
Divergent Rumen Metabolic Profiles Underlying Breed-Specific Variations in Slaughter Performance and Visceral Organ Development in Beef Cattle
by Chenbo Zhou, Zhou Yang, Zhi Ren, Yongchen Liu, Ning Zhang, Yupeng Zhang, Zongrui Zhang, Yangqi Miao, Shuo Zhang, Dandan Zhang, Bo Li, Sujun Wu, Jing Cheng, Yawei Zhang, Yanjie Liu and Yuanqing Zhang
Agriculture 2026, 16(5), 598; https://doi.org/10.3390/agriculture16050598 - 5 Mar 2026
Viewed by 226
Abstract
Slaughter performance is a critical economic trait that varies across breeds, yet the rumen metabolic mechanisms driving these phenotypic differences remain unclear. The study involved 30 healthy 12-month-old beef cattle, with 10 animals from each of the three breeds: Chinese Simmental (ST), Taihang [...] Read more.
Slaughter performance is a critical economic trait that varies across breeds, yet the rumen metabolic mechanisms driving these phenotypic differences remain unclear. The study involved 30 healthy 12-month-old beef cattle, with 10 animals from each of the three breeds: Chinese Simmental (ST), Taihang Yun (TY), and Charolais (CL). The cattle were randomly assigned into three groups using a completely randomized design, and the average initial body weight was 549.78 ± 59.45 kg. A 130-day feeding trial (10-day pre-feeding period, 120-day main trial period) was conducted. By comparing the slaughter performance, relative organ weight, and rumen fluid metabolomic profiles, the study investigated breed-specific differences in meat quality and potential underlying metabolic patterns. The results showed that CL exhibited a superior carcass yield, with a significantly higher dressing percentage (62.38%, p = 0.013) and net meat percentage (56.54%, p = 0.028) than ST and TY, and a significantly lower backfat thickness (p = 0.006); ST had the highest proportion of premium cuts, relative to carcass weight (72.97%, p = 0.014), with prominent economic value, while TY had significantly higher weights of visceral organs, such as liver, kidney, small intestine and omasum, than CL (p < 0.05). Metabolomic analysis revealed that CL and ST had elevated levels of purine metabolism, nucleotide synthesis and cofactor biosynthesis compared to TY. In conclusion, CL and ST possess advantages in carcass yield supported by upregulated anabolic metabolism in the rumen, whereas TY prioritizes visceral organ development. These findings provide valuable insights into the physiological and metabolic divergences regulating the slaughter performance and regional adaptability across cattle breeds. Full article
(This article belongs to the Section Farm Animal Production)
Show Figures

Figure 1

17 pages, 1727 KB  
Article
In Vitro Degradation of Chlorpyrifos by the Ruminal Microbes: Insights from the Rumen Metagenome
by Pradeep Kumar Malik, Archit Mohapatra, Shraddha Trivedi, Atul Purushottam Kolte, Artabandhu Sahoo and Raghavendra Bhatta
Microorganisms 2026, 14(3), 581; https://doi.org/10.3390/microorganisms14030581 - 4 Mar 2026
Viewed by 249
Abstract
In vitro studies were conducted in a series to investigate if the ruminal microbes are capable of degrading chlorpyrifos. This in vitro study presents the results from three experiments: Exp. I was conducted without feed, while Exp II and III were conducted with [...] Read more.
In vitro studies were conducted in a series to investigate if the ruminal microbes are capable of degrading chlorpyrifos. This in vitro study presents the results from three experiments: Exp. I was conducted without feed, while Exp II and III were conducted with feed, either with or without methanol for dissolving chlorpyrifos, respectively. A basal diet comprising finger millet straw and concentrate was prepared. Incubation medium with feed but without chlorpyrifos served as the control. A total of six replicates each of control and chlorpyrifos spiked were used for the incubation. The pesticide concentration in the incubation medium before and after 24 h of incubation was analyzed using GC-MS/MS. The genomic DNA was isolated from the incubation fluid of the individual samples, and the shotgun metagenomic sequencing was performed. The clean reads were taxonomically classified using the Kraken2 database, and microbial classification at different taxonomic ranks was separated using Pavian v1.0. The microbial genes in the metagenome data were predicted and assigned functional roles using the MetaErg v1.2.3 pipeline. The assigned KEGG Orthology (KO), EC numbers (Enzyme Commission number), Gene Ontology (GO), and corresponding NCBI taxonomy information relevant to chlorpyrifos metabolism/degradation were retrieved. Results from the study revealed that the chlorpyrifos concentration was decreased from 5.78 to 1.64 ppm over 24 h of in vitro incubation with feed. Similar alpha and beta diversity indices between control and chlorpyrifos treatments revealed that the richness and the evenness of the microbial population were not affected by the presence of chlorpyrifos in the rumen fluid. There was no difference in the microbiota affiliated to the major phyla such as Bacteroidota, Fibrobacterota, Bacillota, and Pseudomonadota. The EC 3.1.8.1, EC 3.1.3.1, EC 1.14.13.-, and EC 1.1.1.- reported for chlorpyrifos degradation were not detected in the metagenome, and only EC 3.1.1.1 was identified, which demonstrated that degradation of chlorpyrifos was carried out by the affiliated enzyme carboxylesterase. The presence of GO:0004035, GO:0004364, GO:0019637, GO:0016791, and GO:0042178 in the metagenome strengthens that the chlorpyrifos degradation in the present study was primarily assigned to the rumen microbiota. This in vitro study provided insights into the rumen microbiota involved in the chlorpyrifos degradation and the initial clue that the rumen microbes are capable of degrading chlorpyrifos. Further, the animal studies in different species with the variable levels of chlorpyrifos are also warranted to confirm the efficacy of rumen microbes in mixed syntrophy and determine the threshold capabilities of the ruminal microbes. Full article
(This article belongs to the Special Issue Microbial Communities and Biodegradation)
Show Figures

Figure 1

17 pages, 1263 KB  
Article
Meat Quality Differences Between Ganan Tibetan Sheep and Tianzhu Tibetan Sheep Using Metabolomics and Rumen Microbiota Analyses
by Yayuan Yang, Xindong Luo, Di Lu, Pengcheng Du, Sanye Jier, Xiaohu Wu, Yanan Lv, Pengcheng Dong and Xuezhi Ding
Microorganisms 2026, 14(3), 575; https://doi.org/10.3390/microorganisms14030575 - 3 Mar 2026
Viewed by 266
Abstract
The objective of this study was to investigate the relationships between ruminal microbial communities and carcass traits associated with adipose accumulation in two Tibetan sheep breeds—Gannan and Tianzhu. A total of twenty Tibetan sheep (ten from each breed) were slaughtered, and samples of [...] Read more.
The objective of this study was to investigate the relationships between ruminal microbial communities and carcass traits associated with adipose accumulation in two Tibetan sheep breeds—Gannan and Tianzhu. A total of twenty Tibetan sheep (ten from each breed) were slaughtered, and samples of ruminal contents along with carcass trait data were collected for analysis. Ruminal microbial DNA was analyzed by 16S rRNA gene sequencing, and correlations between microbial composition and carcass traits were examined using correlation analysis and one-way ANOVA. The results showed that marbling score (p = 0.001) and longissimus lipid content (p = 0.007) were positively correlated with the Chao1 richness index, indicating that individuals with higher intramuscular fat content had greater ruminal microbial species richness. At the phylum level, Rikenellaceae RC9 gut group, Ruminococcaceae NK4A214 group were negatively correlated (p ≤ 0.05) with the above fat traits, whereas the abundance of the bacterial family Ruminococcus 1 was positively correlated with marbling score (p = 0.002). Stratified analysis by marbling grade further revealed associations with microbial richness (p ≤ 0.063), diversity (p = 0.044), and Ruminococcus 1 abundance (p < 0.001). However, microbial metabolic pathway prediction showed no significant differences (p ≥ 0.05) between the high- and low-marbling groups. In addition, several microbial taxa were positively correlated (p ≤ 0.05) with rib fat thickness and yield grade. In summary, ruminal microbial composition was closely associated with variations in carcass fat traits. Notably, most of the bacterial taxa associated with intramuscular and subcutaneous fat deposition did not overlap, suggesting that microbial metabolites may regulate fat deposition by influencing distinct adipogenic pathways in the host. Full article
(This article belongs to the Special Issue Rumen Microorganisms)
Show Figures

Figure 1

21 pages, 1211 KB  
Article
Effects of Substituting Dietary Corn with Grain Byproducts on Fattening Hu Sheep: Growth Performance, Rumen Fermentation, Energy-Nitrogen Metabolism and Greenhouse Gas Emissions
by Xianliu Wang, Na Ren, Zibin Zheng, Zhenyu Su, Chenxi Dong, Xiaoxiao Du, Jiaxin Qin, Wei Zhang and Liwen He
Animals 2026, 16(5), 786; https://doi.org/10.3390/ani16050786 - 3 Mar 2026
Viewed by 259
Abstract
Grain byproducts can serve as cost-effective alternatives to corn, but may lead to reduced production performance and increased greenhouse gas emissions. This study aimed to investigate the effects of replacing corn with the grain byproducts (wheat bran, sprayed corn bran) subjected to bacterial-enzymatic [...] Read more.
Grain byproducts can serve as cost-effective alternatives to corn, but may lead to reduced production performance and increased greenhouse gas emissions. This study aimed to investigate the effects of replacing corn with the grain byproducts (wheat bran, sprayed corn bran) subjected to bacterial-enzymatic fermentation treatment or not in Hu sheep, mainly focusing on production performance, energy-nitrogen metabolism, rumen fermentation and greenhouse gas emissions. A total of fifty-four 6-month-old Hu sheep were divided into three groups, with 6 pens per group and 3 sheep per pen, and then randomly allocated to one of the three dietary groups for 60 days, i.e., a control group (CON), a group (RC) that corn was partially (~42%) replaced with grain byproducts, and a group (BF) that corn was partially replaced by fermented grain byproducts. Compared with the CON group, the RC group showed numerically lower rumen total volatile fatty acid (TVFA) concentration and its propionate proportion, nitrogen retention content (NR; −10.22%) and its retention ratio (NR/NI decreased by 4.27 percentage points, absolute reduction from 24.30% to 20.04%), corresponding to a relative decrease of 17.6%.) as well as a numerically reduced net profit (−2.18%) with a decreased feed price (−¥0.16/kg TMR). Meanwhile, the RC group showed a significant increase in the relative abundance of Methanobrevibacter (p < 0.05), accompanied by numerically higher daily methane emissions (+6.14%) and emission intensity (+4.08%), although these methane-related differences did not reach statistical significance (p > 0.05). Compared to the RC group, the BF group resulted in a numerical increase in feed price (+¥0.03/kg TMR), net profit (+27.93%), TVFA concentration, propionate proportion, NR (+28.17%), NR/NI (an increase of 5.38 percentage points), the relative abundance of Prevotella, Shuttleworthia and Succinivibrio as well as the decrease of fecal nitrogen (FN; −12.29%), daily methane emissions (−8.75%), emission intensity (−5.83%) and the relative abundance of Methanobrevibacter. In summary, replacing dietary corn by 42% with wheat bran and sprayed corn bran numerically reduced formula cost and nitrogen utilization, while increasing methane emissions and methanogens abundance, without significantly affecting growth performance. This combination led to no improvement in economic returns for fattening Hu sheep. Bacterial-enzymatic fermentation treatment of these byproducts could mitigate these drawbacks, being superior energy-nitrogen metabolism and lower greenhouse gas emissions intensity, presenting a potential strategy for cost reduction and efficiency enhancement. Further research with larger sample sizes is warranted to confirm these findings and support broader application. Full article
(This article belongs to the Section Small Ruminants)
Show Figures

Figure 1

Back to TopTop