How the Infestation Level of Varroa destructor Affects the Distribution Pattern of Multi-Infested Cells in Worker Brood of Apis mellifera
Abstract
1. Introduction
2. Materials and Methods
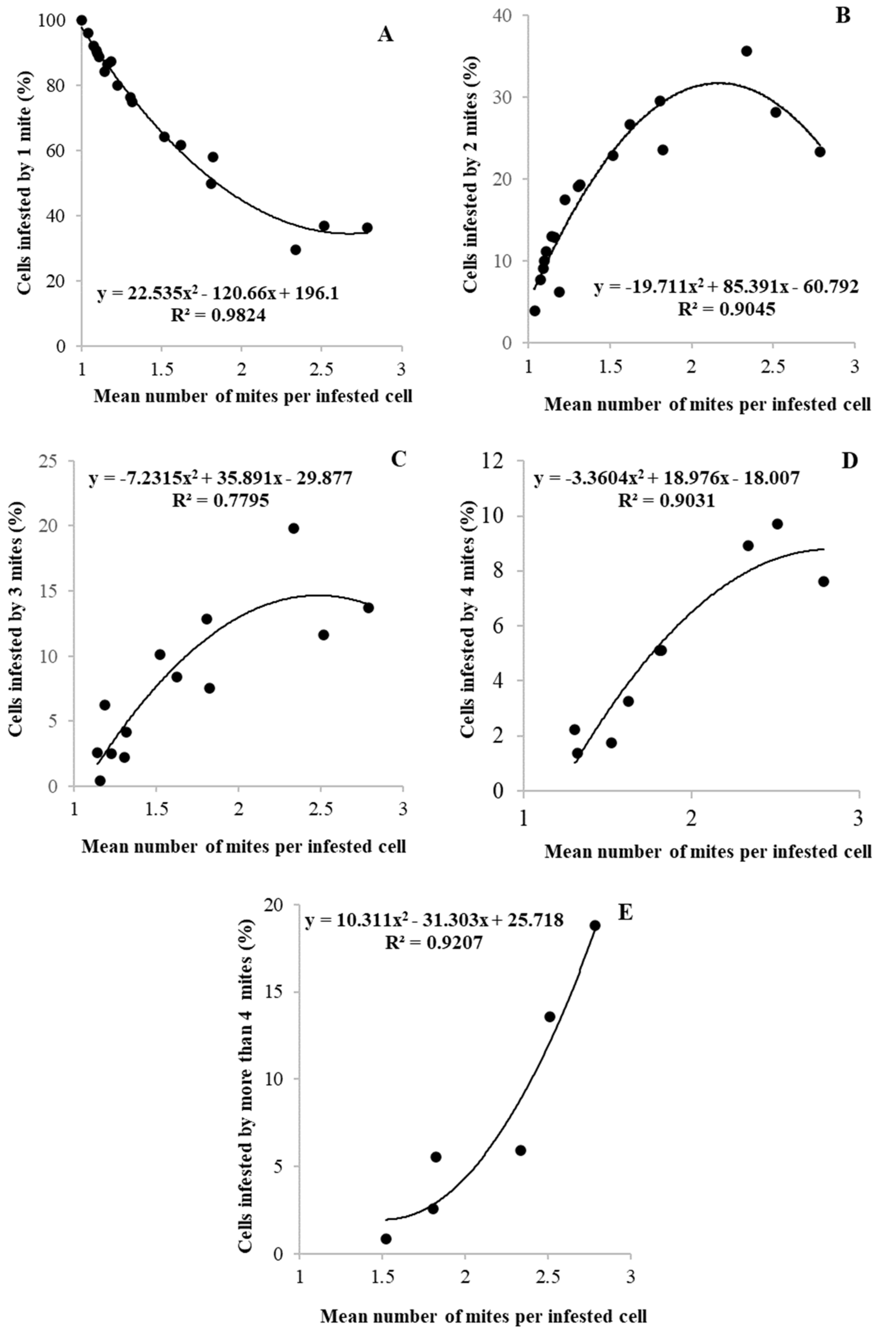
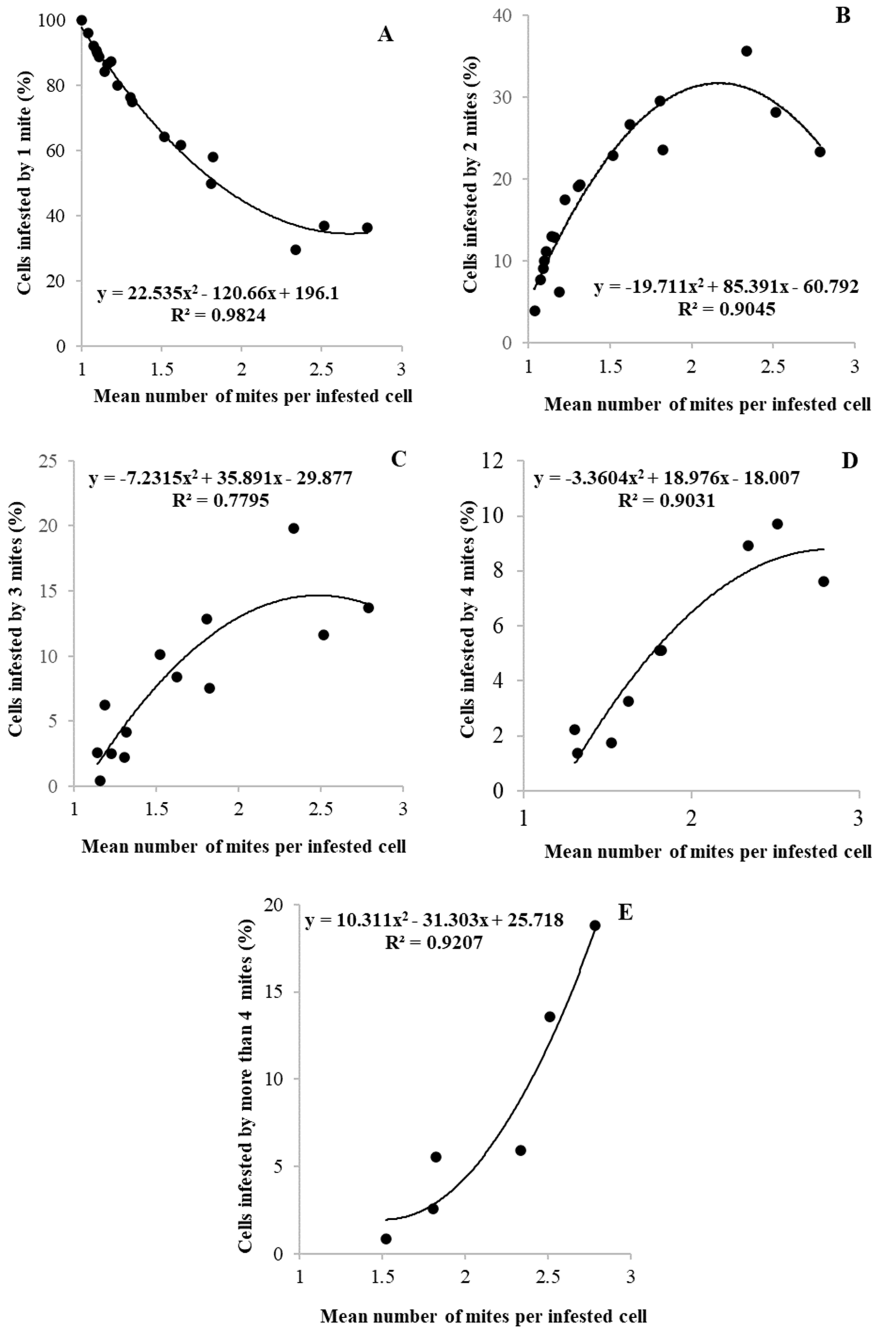
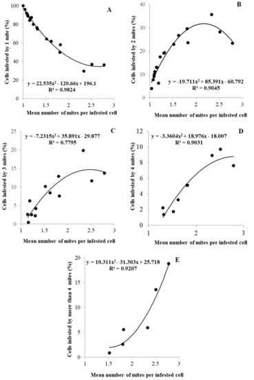
3. Results
4. Discussion
Author Contributions
Funding
Acknowledgments
Conflicts of Interest
References
- Rosenkranz, P.; Aumeier, P.; Ziegelmann, B. Biology and control of Varroa destructor. J. Invertebr. Pathol. 2010, 103, S96–S119. [Google Scholar] [CrossRef]
- Nazzi, F.; Le Conte, Y. Ecology of Varroa destructor, the major ectoparasite of the Western Honey Bee, Apis mellifera. Annu. Rev. Entomol. 2016, 61, 417–432. [Google Scholar] [CrossRef]
- Le Conte, Y.; Ellis, M.; Ritter, W. Varroa mites and honey bee health: Can Varroa explain part of the colony losses? Apidologie 2010, 41, 353–363. [Google Scholar] [CrossRef]
- Neumann, P.; Carreck, N.L. Honey bee colony losses. J. Apic. Res. 2010, 49, 1–6. [Google Scholar] [CrossRef]
- Calis, J.N.M.; Fries, I.; Ryrie, S.C. Population modelling of Varroa jacobsoni Oud. Apidologie 1999, 38, 111–124. [Google Scholar] [CrossRef]
- Fries, I.; Camazine, S.; Sneyd, J. Population Dynamics of Varroa jacobsoni: A Model and a Review. Bee World 1994, 75, 5–28. [Google Scholar] [CrossRef]
- Arechavaleta-Velasco, M.E.; Guzman-Novoa, E. Relative effect of four characteristics that restrain the population growth of the mite Varroa destructor in honey bee (Apis mellifera) colonies. Apidologie 2001, 32, 157–174. [Google Scholar] [CrossRef]
- Harris, J.W.; Harbo, J.R.; Villa, J.D.; Danka, R.G. Variable population growth of Varroa destructor (Mesostigmata: Varroidae) in colonies of honey bees (Hymenoptera: Apidae) during a 10-year period. Environ. Entomol. 2003, 32, 1305–1312. [Google Scholar] [CrossRef]
- Lodesani, M.; Crailsheim, K.; Moritz, R.F.A. Effect of some characters on the population growth of mite Varroa jacobsoni in Apis mellifera L. colonies and results of a bi-directional selection. J. Appl. Entomol. 2002, 126, 130–137. [Google Scholar] [CrossRef]
- Boot, W.J.; Schoenmaker, J.; Calis, J.N.M.; Beetsma, J. Invasion of Varroa jacobsoni into drone brood cells of the honey bee, Apis mellifera. Apidologie 1995, 26, 109–118. [Google Scholar] [CrossRef]
- Martin, S.J. Ontogenesis of the mite Varroa jacobsoni Oud. in worker brood of the honeybee Apis mellifera L. under natural conditions. Exp. Appl. Acarol. 1994, 18, 87–100. [Google Scholar] [CrossRef]
- Martin, S.J. Reproduction of Varroa jacobsoni in cells of Apis mellifera containing one or more mother mites and the distribution of these cells. J. Apic. Res. 1995, 34, 187–196. [Google Scholar] [CrossRef]
- Fuchs, S.; Langenbach, K. Multiple infestation of Apis mellifera L. brood cells and reproduction in Varroa jacobsoni Oud. Apidologie 1989, 20, 257–266. [Google Scholar] [CrossRef]
- Martin, S.J.; Medina, L.M. Africanized honey bees have unique tolerance to Varroa mites. Trends Parasitol. 2004, 20, 112–114. [Google Scholar] [CrossRef]
- Mondragon, L.; Martin, S.; Vandame, R. Mortality of mite offspring: A major component of Varroa destructor resistance in a population of Africanized bees. Apidologie 2006, 37, 67–74. [Google Scholar] [CrossRef]
- DeGrandi-Hoffman, G.; Curry, R. A mathematical model of Varroa mite (Varroa destructor Anderson and Trueman) and honeybee (Apis mellifera L.) population dynamics. Int. J. Acarol. 2004, 30, 259–274. [Google Scholar] [CrossRef]
- Martin, S.J. A population model for the ectoparasitic mite Varroa jacobsoni in honey bee (Apis mellifera) colonies. Ecol. Model. 1998, 109, 267–281. [Google Scholar] [CrossRef]
- Chiesa, F.; Milani, N. Some preliminary observations on the behaviour of Varroa jacobsoni Oud. on its natural host under laboratory conditions. In European Research on Varroatosis Control; Cavalloro, R., Ed.; Balkema: Rotterdam, The Netherlands, 1988; pp. 113–124. [Google Scholar]
- Floris, I. Dispersion indices and sampling plans for the honeybee (Apis mellifera ligustica Spin.) mite Varroa jacobsoni Oud. Apicoltura 1991, 7, 161–170. [Google Scholar]
- Floris, I. A sequential sampling technique for female adult mites of Varroa jacobsoni Oudemans in the sealed worker brood of Apis mellifera ligustica Spin. Apidologie 1997, 28, 63–70. [Google Scholar] [CrossRef][Green Version]
- Fuchs, S. Untersuchungen. zur quantitativen Abschägtzung des Befalls von Bienenvölkern mit Varroa jacobsoni Oudemans und zur Verteilung des Parasiten im Bienenvolk. Apidologie 1985, 16, 343–368. [Google Scholar] [CrossRef]
- Salvy, M.; Capowiez, Y.; Le Conte, Y.; Clément, J.L. Does the spatial distribution of the parasitic mite Varroa jacobsoni Oud. (Mesostigmata: Varroidae) in worker brood of honey bee Apis mellifera L. (Hymenoptera: Apidae) rely on an aggregative process? Naturwissenschaften 1999, 86, 540–543. [Google Scholar] [CrossRef] [PubMed]
- Southwood, T.R.E. Ecological Methods; Chapman and Hall: London, UK, 1970. [Google Scholar]
- Taylor, L.R. Assessing and interpreting the spatial distributions of insect populations. Ann. Rev. Entomol. 2016, 29, 321–357. [Google Scholar] [CrossRef]
- Accorti, M.; Barbattini, R.; Marchetti, S. La diagnosi ed il controllo di Varroa jacobsoni Oud. in campo: Proposta di unificazione delle metodologie nelle prove sperimentali. Apicoltura 1986, 2, 165–185. [Google Scholar]
- Dietemann, V.; Nazzi, F.; Martin, S.J.; Anderson, D.L.; Locke, B.; Delaplane, K.S.; Wauquiez, Q.; Tannahill, C.; Frey, E.; Ziegelmann, B.; et al. Standard methods for varroa research. J. Apic. Res. 2015, 52, 1–54. [Google Scholar] [CrossRef]
- Pappas, N.; Thrasyvoulou, A. Searching for an accurate method to evaluate the degree of Varroa infestation in honeybee colonies. In European Research on Varroatosis; Cavalloro, R., Ed.; Balkema: Rotterdam, The Netherlands, 1988; pp. 85–92. [Google Scholar]
- Rosenkranz, P. Distribution of Varroa females within the honeybee brood nest and consequences for biological control. Experts meeting CCE. In Proceedings of the Research Activities on Varroatosis in the European Countries, Thessaloniki, Greece, 26–28 September 1984. [Google Scholar]
- Natsopoulou, M.E.; McMahon, D.P.; Doublet, V.; Frey, E.; Rosenkranz, P.; Paxton, R.J. The virulent, emerging genotype B of Deformed wing virus is closely linked to overwinter honeybee worker loss. Sci. Rep. 2017, 7, 5242. [Google Scholar] [CrossRef]
- Barroso-Arévalo, S.; Fernández-Carrión, E.; Goyache, J.; Molero, F.; Puerta, F.; Sánchez-Vizcaíno, J.M. High load of Deformed wing virus and Varroa destructor infestation are related to weakness of honey bee colonies in Southern Spain. Front. Microbiol. 2019, 10, 1331. [Google Scholar] [CrossRef]
- Martin, S.J. The role of Varroa and viral pathogens in the collapse of honey bee colonies: A modeling approach. J. Appl. Ecol. 2001, 38, 1082–1093. [Google Scholar] [CrossRef]
- Wilkinson, D.; Smith, G.C. A model of the mite parasite, Varroa destructor, on honeybees (Apis mellifera) to investigate parameters important to mite population growth. Ecol. Model. 2002, 148, 263–275. [Google Scholar] [CrossRef]
- Fuchs, S. The distribution of Varroa jacobsoni on honeybee brood combs and within brood cells as a consequence of fluctuation infestation rates. In European Research on Varroatosis Control; Cavalloro, R., Ed.; Balkema: Rotterdam, The Netherlands, 1988; pp. 15–17. [Google Scholar]
- Boot, W.J.; Sisselaar, D.J.A.; Calis, J.N.M.; Beetsma, J. Factors affecting invasion of Varroa jacobsoni (Acari: Varroaidae) into honey bee, Apis mellifera (Hymenoptera: Apidae), brood cells. Bull. Entomol. Res. 1994, 84, 3–10. [Google Scholar] [CrossRef]
- Beaurepaire, A.L.; Krieger, K.J.; Moritz, R.F. Seasonal cycle of inbreeding and recombination of the parasitic mite Varroa destructor in honeybee colonies and its implications for the selection of acaricide resistance. Infect. Genet. Evol. 2017, 50, 49–54. [Google Scholar] [CrossRef]
- Floris, I. Osservazioni sull’infestazione da Varroa jacobsoni Oud di covata femminile opercolata di Apis mellifera ligustica Spin. In Proceedings of the Convegno Stato attuale e sviluppo della ricerca in apicoltura, Sassari, Italy, 25–26 October 1991; pp. 87–98. [Google Scholar]




| Comb | Number of Sealed Brood Cells | Number of Infested Cells | Number of Foundress Mites | Percentage of Infestation a | Mean Number of Foundress Mites Per Infested Cell |
|---|---|---|---|---|---|
| 1 | 483 | 8 | 8 | 1.7 | 1.0 |
| 2 | 1725 | 36 | 40 | 2.1 | 1.1 |
| 3 | 738 | 22 | 24 | 3.0 | 1.1 |
| 4 | 442 | 16 | 19 | 3.6 | 1.2 |
| 5 | 545 | 20 | 22 | 3.7 | 1.1 |
| 6 | 1378 | 51 | 53 | 3.7 | 1.0 |
| 7 | 374 | 26 | 28 | 7.0 | 1.1 |
| 8 | 445 | 40 | 49 | 9.0 | 1.2 |
| 9 | 738 | 89 | 116 | 12.1 | 1.3 |
| 10 | 1652 | 218 | 253 | 13.2 | 1.2 |
| 11 | 466 | 77 | 88 | 16.5 | 1.1 |
| 12 | 740 | 145 | 191 | 19.6 | 1.3 |
| 13 | 256 | 78 | 141 | 30.5 | 1.8 |
| 14 | 691 | 227 | 345 | 32.9 | 1.5 |
| 15 | 1040 | 368 | 597 | 35.4 | 1.6 |
| 16 | 1066 | 449 | 818 | 42.1 | 1.8 |
| 17 | 215 | 101 | 236 | 47.0 | 2.3 |
| 18 | 160 | 103 | 259 | 64.4 | 2.5 |
| 19 | 265 | 197 | 549 | 74.3 | 2.8 |
© 2020 by the authors. Licensee MDPI, Basel, Switzerland. This article is an open access article distributed under the terms and conditions of the Creative Commons Attribution (CC BY) license (http://creativecommons.org/licenses/by/4.0/).
Share and Cite
Floris, I.; Pusceddu, M.; Satta, A. How the Infestation Level of Varroa destructor Affects the Distribution Pattern of Multi-Infested Cells in Worker Brood of Apis mellifera. Vet. Sci. 2020, 7, 136. https://doi.org/10.3390/vetsci7030136
Floris I, Pusceddu M, Satta A. How the Infestation Level of Varroa destructor Affects the Distribution Pattern of Multi-Infested Cells in Worker Brood of Apis mellifera. Veterinary Sciences. 2020; 7(3):136. https://doi.org/10.3390/vetsci7030136
Chicago/Turabian StyleFloris, Ignazio, Michelina Pusceddu, and Alberto Satta. 2020. "How the Infestation Level of Varroa destructor Affects the Distribution Pattern of Multi-Infested Cells in Worker Brood of Apis mellifera" Veterinary Sciences 7, no. 3: 136. https://doi.org/10.3390/vetsci7030136
APA StyleFloris, I., Pusceddu, M., & Satta, A. (2020). How the Infestation Level of Varroa destructor Affects the Distribution Pattern of Multi-Infested Cells in Worker Brood of Apis mellifera. Veterinary Sciences, 7(3), 136. https://doi.org/10.3390/vetsci7030136

