Application of Elicitors, as Conventional and Nano Forms, in Viticulture: Effects on Phenolic, Aromatic and Nitrogen Composition of Tempranillo Wines
Abstract
:1. Introduction
2. Materials and Methods
2.1. Vineyard Site, Grapevine Treatments, Vinification and Samples
2.2. Determination of Enological Parameters of Wines
2.3. Analysis of Wine Phenolic Compounds by HPLC-DAD
2.3.1. Sample Preparation for the Analysis of Non-Anthocyanin Phenolic Compounds
2.3.2. Analysis of Phenolic Compounds by HPLC-DAD
2.4. Determination of Wine Aromatic Compounds by GC-MS
2.5. Analysis of Wine Nitrogen Compounds by HPLC-DAD
2.6. Sensory Analysis of the Wines
2.7. Statistical Analysis
3. Results and Discussion
3.1. Effect of MeJ and ACP-MeJ Foliar Applications on Wine Enological Parameters
3.2. Influence of the Foliar MeJ and ACP-MeJ Treatments on Wine Phenolic Compounds
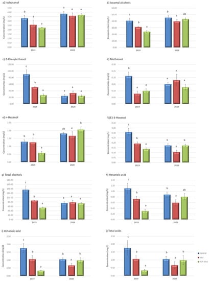
3.3. Effect of the Foliar MeJ and ACP-MeJ Applications on Wine Aromatic Compounds
3.4. Influence of the Foliar MeJ and ACP-MeJ Treatments on Wine Nitrogen Compounds
3.5. Wine Sensory Analysis
4. Conclusions
Author Contributions
Funding
Institutional Review Board Statement
Informed Consent Statement
Data Availability Statement
Acknowledgments
Conflicts of Interest
References
- Jamalian, S.; Truemper, C.; Pawelzik, E. Jasmonic and abscisic acid contribute to metabolism re-adjustment in strawberry leaves under NaCl stress. Int. J. Fruit Sci. 2020, 20 (Suppl. 2), S123–S144. [Google Scholar] [CrossRef]
 - Yue, X.; Shi, P.; Tang, Y.; Zhang, H.; Ma, X.; Ju, Y.; Zhang, Z. Effects of methyl jasmonate on the monoterpenes of Muscat Hamburg grapes and wine. J. Sci. Food Agric. 2021, 101, 3665–3675. [Google Scholar] [CrossRef] [PubMed]
 - Portu, J.; Santamaría, P.; López-Alfaro, I.; López, R.; Garde-Cerdán, T. Methyl jasmonate foliar application to Tempranillo vineyard improved grape and wine phenolic content. J. Agric. Food Chem. 2015, 63, 2328–2337. [Google Scholar] [CrossRef] [PubMed]
 - Portu, J.; López, R.; Baroja, E.; Santamaría, P.; Garde-Cerdán, T. Improvement of grape and wine phenolic content by foliar application to grapevine of three different elicitors: Methyl jasmonate, chitosan, and yeast extract. Food Chem. 2016, 201, 213–221. [Google Scholar] [CrossRef]
 - Portu, J.; López, R.; Santamaría, P.; Garde-Cerdán, T. Methyl jasmonate treatment to increase grape and wine phenolic content in Tempranillo and Graciano varieties during two growing seasons. Sci. Hortic. 2018, 240, 378–386. [Google Scholar] [CrossRef]
 - Wasternack, C.; Hause, B. Jasmonates: Biosynthesis, perception, signal transduction and action in plant stress response, growth and development. An update to the 2007 review in Annals of Botany. Ann. Bot. 2013, 111, 1021–1058. [Google Scholar] [CrossRef]
 - Li, J.; Zhang, K.; Meng, Y.; Hu, J.; Ding, M.; Bian, J.; Yan, M.; Han, J.; Zhou, M. Jasmonic acid/ethylene signaling coordinates hydroxycinnamic acid amides biosynthesis through ORA59 transcription factor. Plant J. 2018, 95, 444–457. [Google Scholar] [CrossRef]
 - Camposa, M.L.; Kanga, J.-H.; Howea, G.A. Jasmonate-triggered plant immunity. J. Chem. Ecol. 2014, 40, 657–675. [Google Scholar] [CrossRef]
 - Garde-Cerdán, T.; Portu, J.; López, R.; Santamaría, P. Effect of methyl jasmonate application to grapevine leaves on grape amino acid content. Food Chem. 2016, 203, 536–539. [Google Scholar] [CrossRef]
 - Flores, G.; Blanch, G.P.; del Castillo, M.L.R. Postharvest treatment with (-) and (+)-methyl jasmonate stimulates anthocyanin accumulation in grapes. LWT-Food Sci. Technol. 2015, 62, 807–812. [Google Scholar] [CrossRef] [Green Version]
 - Larrondo, F.; Gaudillère, J.P.; Krisa, S.; Decendi, A.; Deffieux, G.; Mérillon, J.M. Airborne methyl jasmonate induces stilbene accumulation in leaves and berries of grapevine plants. Am. J. Enol. Vitic. 2003, 54, 63–66. [Google Scholar]
 - Garde-Cerdán, T.; Gutiérrez-Gamboa, G.; Baroja, E.; Rubio-Bretón, P.; Pérez-Álvarez, E.P. Influence of methyl jasmonate foliar application to vineyard on grape volatile composition over three consecutive vintages. Food Res. Int. 2018, 112, 274–283. [Google Scholar] [CrossRef]
 - Marín-San Román, S.; Garde-Cerdán, T.; Baroja, E.; Rubio-Bretón, P.; Pérez-Álvarez, E.P. Foliar application of phenylalanine plus methyl jasmonate as a tool to improve Grenache grape aromatic composition. Sci. Hortic. 2020, 272, 109515. [Google Scholar] [CrossRef]
 - Ruiz-García, Y.; Romero-Cascales, I.; Gil-Muñoz, R.; Fernández-Fernández, J.I.; López-Roca, J.M.; Gómez-Plaza, E. Improving grape phenolic content and wine chromatic characteristics through the use of two different elicitors: Methyl jasmonate versus benzothiadiazole. J. Agric. Food Chem. 2012, 60, 1283–1290. [Google Scholar] [CrossRef]
 - Ruiz-García, Y.; Gómez-Plaza, E. Elicitors: A tool for improving fruit phenolic content. Agriculture 2013, 3, 33–52. [Google Scholar] [CrossRef]
 - Gil-Muñoz, R.; Bautista-Ortín, A.B.; Ruiz-García, Y.; Fernández-Fernández, J.I.; Gómez-Plaza, E. Improving phenolic and chromatic characteristics of Monastrell, Merlot and Syrah wines by using methyl jasmonate and benzothiadiazole. J. Int. Sci. Vigne Vin 2017, 51, 17–27. [Google Scholar]
 - Bindraban, P.S.; Dimkpa, C.O.; Pandey, R. Exploring phosphorus fertilizers and fertilization strategies for improved human and environmental health. Biol. Fertil. Soils 2020, 56, 299–317. [Google Scholar] [CrossRef]
 - Gaiotti, F.; Lucchetta, M.; Rodegher, G.; Lorenzoni, D.; Longo, E.; Boselli, E.; Cesco, S.; Belfiore, N.; Lovat, L.; Delgado-López, J.M.; et al. Urea-doped calcium phosphate nanoparticles as sustainable nitrogen nanofertilizers for viticulture: Implications on yield and quality of Pinot Gris grapevines. Agronomy 2021, 11, 1026. [Google Scholar] [CrossRef]
 - Pérez-Álvarez, E.P.; Ramírez-Rodríguez, G.B.; Carmona, F.J.; Martínez-Vidaurre, J.M.; Masciocchi, N.; Guagliardi, A.; Garde-Cerdán, T.; Delgado-López, J.M. Towards a more sustainable viticulture: Foliar application of N-doped calcium phosphate nanoparticles on Tempranillo grapes. J. Sci. Food Agric. 2021, 101, 1307–1313. [Google Scholar] [CrossRef]
 - Parra-Torrejón, B.; Ramírez-Rodríguez, G.B.; Giménez-Bañón, M.J.; Moreno-Olivares, J.D.; Paladines-Quezada, D.F.; Gil-Muñoz, R.; Delgado-López, J.M. Nanoelicitors with prolonged retention and sustained release to produce beneficial compounds in wines. Environ. Sci. Nano 2021, 8, 3524–3535. [Google Scholar] [CrossRef]
 - Pérez-Álvarez, E.P.; Rubio-Bretón, P.; Intrigliolo, D.S.; Parra-Torrejón, B.; Ramírez-Rodríguez, G.B.; Delgado-López, J.M.; Garde-Cerdán, T. Year, watering regime and foliar methyl jasmonate doped nanoparticles treatments: Effects on must nitrogen compounds in Monastrell grapes. Sci. Hortic. 2022, 297, 110944. [Google Scholar] [CrossRef]
 - Gil-Muñoz, R.; Giménez-Bañón, M.J.; Moreno-Olivares, J.D.; Paladines-Quezada, D.F.; Bleda-Sánchez, J.A.; Fernández-Fernández, J.I.; Parra-Torrejón, B.; Ramírez-Rodríguez, G.B.; Delgado-López, J.M. Effect of methyl jasmonate doped nanoparticles on nitrogen composition of Monastrell grapes and wines. Biomolecules 2021, 11, 1631. [Google Scholar] [CrossRef]
 - Xiong, L.; Wang, P.; Hunter, M.N.; Kopittke, P.M. Bioavailability and movement of hydroxyapatite nanoparticles (HA-NPs) applied as a phosphorus fertiliser in soils. Environ. Sci. Nano 2018, 5, 2888–2898. [Google Scholar] [CrossRef]
 - Epple, M. Review of potential health risks associated with nanoscopic calcium phosphate. Acta Biomater. 2018, 77, 1–14. [Google Scholar] [CrossRef] [PubMed]
 - OIV. Compendium of Internationals Methods of Wine and Must Analysis; OIV: Paris, France, 2016. [Google Scholar]
 - Ribéreau-Gayon, P.; Stonestreet, E. Determination of anthocyanins in red wine. [Le dosage des anthocyanes dans le vin rouge]. Bull. Soc. Chim. Fr. 1965, 9, 2649–2652. [Google Scholar]
 - Castillo-Muñoz, N.; Fernández-González, M.; Gómez-Alonso, S.; García-Romero, E.; Hermosín-Gutiérrez, I. Red-color related phenolic composition of Garnacha Tintorera (Vitis vinifera L.) grapes and red wines. J. Agric. Food Chem. 2009, 57, 7883–7891. [Google Scholar] [CrossRef]
 - Garde-Cerdán, T.; Rubio-Bretón, P.; Marín-San Román, S.; Baroja, E.; Sáenz de Urturi, I.; Pérez-Álvarez, E.P. Study of wine volatile composition of Tempranillo versus Tempranillo blanco, a new white grape variety. Beverages 2021, 7, 72. [Google Scholar] [CrossRef]
 - Garde-Cerdán, T.; Martínez-Gil, A.M.; Lorenzo, C.; Lara, J.F.; Pardo, F.; Salinas, M.R. Implications of nitrogen compounds during alcoholic fermentation from some grape varieties at different maturation stages and cultivation systems. Food Chem. 2011, 124, 106–116. [Google Scholar] [CrossRef]
 - OIV. Resolution OIV/Concours 332A/2009. OIV Standard for International Wine and Spirituous Beverages of Vitivinicultural Origin Competitions. Annex 3.1. Score Sheet. 2009. Available online: https://www.oiv.int/public/medias/4661/oiv-concours-332a-2009-en.pdf (accessed on 20 July 2022).
 - Gutiérrez-Gamboa, G.; Garde-Cerdán, T.; Rubio-Bretón, P.; Pérez-Álvarez, E.P. Seaweed foliar applications at two dosages to Tempranillo blanco (Vitis vinifera L.) grapevines in two seasons: Effects on grape and wine volatile composition. Food Res. Int. 2020, 130, 108918. [Google Scholar] [CrossRef]
 - Pérez-Álvarez, E.P.; Garde-Cerdán, T.; Cabrita, M.J.; García-Escudero, E.; Peregrina, F. Influence on wine biogenic amine composition of modifications to soil N availability and grapevine N by cover crops. J. Sci. Food Agric. 2017, 97, 4800–4806. [Google Scholar] [CrossRef]
 - Gil-Muñoz, R.; Fernández-Fernández, J.I.; Vila-López, R.; Martinez-Cutillas, A. Anthocyanin profile in Monastrell grapes in six different areas from Denomination of Origen Jumilla during ripening stage. Int. J. Food Sci. Technol. 2010, 45, 1870–1877. [Google Scholar] [CrossRef]
 - Ortega-Regules, A.; Romero-Cascales, I.; López-Roca, J.M.; Ros-García, J.M.; Gómez-Plaza, E. Anthocyanin fingerprint of grapes: Environmental and genetic variations. J. Sci. Food Agric. 2006, 86, 1460–1467. [Google Scholar] [CrossRef]
 - Kelebek, H.; Canbas, A.; Selli, S. HPLC-DAD-MS analysis of anthocyanins in rose wine made from cv. Okuzgiozu grapes, and effect of maceration time on anthocyanin content. Chromatographia 2007, 66, 207–212. [Google Scholar] [CrossRef]
 - Vezzulli, S.; Civardi, S.; Ferrari, F.; Bavaresco, L. Methyl jasmonate treatment as a trigger of resveratrol synthesis in cultivated grapevine. Am. J. Enol. Vitic. 2007, 58, 530–533. [Google Scholar]
 - Fernández-Marín, M.I.; Puertas, B.; Guerrero, R.F.; García-Parrilla, M.C.; Cantos-Villar, E. Preharvest methyl jasmonate and postharvest UVC treatments: Increasing stilbenes in wine. J. Food Sci. 2014, 79, C310–C317. [Google Scholar] [CrossRef]
 - Burns, T.R.; Osborne, J.P. Impact of malolactic fermentation on the color and color stability of Pinot noir and Merlot Wine. Am. J. Enol. Vitic. 2013, 64, 370–377. [Google Scholar] [CrossRef]
 - Boulton, R. The copigmentation of anthocyanins and its role in the color of red wine: A critical review. Am. J. Enol. Vitic. 2001, 52, 67–87. [Google Scholar]
 - Cassasa, L.F.; Harbertson, J.F. Extraction, evolution and sensory impact of phenolic compounds during red wine maceration. Annu. Rev. Food Sci. Technol. 2014, 5, 83–109. [Google Scholar] [CrossRef]
 - Souquet, J.M.; Cheynier, V.; Brossaud, F.; Moutounet, M. Polymeric proanthocyanidins from grape skins. Phytochemistry 1996, 43, 509–512. [Google Scholar] [CrossRef]
 - Gonzalo-Diago, A.; Dizy, M.; Fernández-Zurbano, P. Contribution of low molecular weight phenols to bitter taste and mouthfell properties in red wines. Food Chem. 2014, 154, 187–198. [Google Scholar] [CrossRef]
 - Garrido, J.; Borges, F. Wine and grape polyphenols- A chemical perspective. Food Res. Int. 2013, 54, 1844–1858. [Google Scholar] [CrossRef]
 - Suárez, R.; Suárez-Lepe, J.A.; Morata, A.; Calderón, F. The production of ethylphenols in wine by yeast of the genera Brettanomyces and Dekkera: A review. Food Chem. 2007, 102, 10–21. [Google Scholar] [CrossRef]
 - Bavaresco, L.; Fregoni, C.; Van Zeller De Macedo Basto Goçalves, M.I.; Vezzulli, S. Physiology and molecular biology of grapevine stilbenes: An update. In Grapevine Molecular Physiology and Biotechnology; Roubelakis-Angelakis, K.A., Ed.; Springer Science+Business Media, B.V.: Dordrecht, The Netherlands, 2009; pp. 341–364. [Google Scholar]
 - Gil-Muñoz, R.; Fernández-Fernández, J.I.; Crespo-Villegas, O.; Garde-Cerdán, T. Elicitors used as a tool to increase stilbenes in grapes and wines. Food Res. Int. 2017, 98, 34–39. [Google Scholar] [CrossRef] [PubMed]
 - Guth, H. Quantitation and sensory studies of character impact odorants of different white wine varieties. J. Agric. Food Chem. 1997, 45, 3027–3032. [Google Scholar] [CrossRef]
 - Ferreira, V.; López, R.; Cacho, J.F. Quantitative determination of the odorants of young red wines from different grape varieties. J. Sci. Food Agric. 2000, 80, 1659–1667. [Google Scholar] [CrossRef]
 - Garde-Cerdán, T.; Jarauta, I.; Salinas, M.R.; Ancín-Azpilicueta, C. Comparative study of the volatile composition in wines obtained from traditional vinification and from the Ganimede method. J. Sci. Food Agric. 2008, 88, 1777–1785. [Google Scholar] [CrossRef]
 - Rapp, A.; Mandery, H. Wine aroma. Experientia 1986, 42, 873–884. [Google Scholar] [CrossRef]
 - Pozo-Bayón, M.A.; G-Alegría, E.; Polo, M.C.; Tenorio, C.; Martín-Álvarez, P.J.; Calvo De La Banda, M.T.; Ruiz-Larrea, F.; Moreno-Arribas, M.V. Wine volatile and amino acid composition after malolactic fermentation: Effect of Oenococcus oeni and Lactobacillus plantarum starter cultures. J. Agric. Food Chem. 2005, 53, 8729–8735. [Google Scholar] [CrossRef]
 



| 2019 | 2020 | |||||
|---|---|---|---|---|---|---|
| Control | MeJ | ACP-MeJ | Control | MeJ | ACP-MeJ | |
| Alcoholic degree (%, v/v) | 13.97 ± 0.31 b | 12.57 ± 0.25 a | 12.93 ± 0.64 a | 12.47 ± 0.70 a | 12.18 ± 1.59 a | 12.42 ± 0.12 a | 
| pH | 3.96 ± 0.07 a | 3.90 ± 0.10 a | 3.97 ± 0.08 a | 3.66 ± 0.08 a | 3.70 ± 0.04 a | 3.70 ± 0.09 a | 
| Total acidity (g/L) * | 4.27 ± 0.10 b | 4.08 ± 0.06 ab | 3.96 ± 0.15 a | 4.43 ± 0.59 a | 4.38 ± 0.23 a | 4.26 ± 0.17 a | 
| Volatile acidity (g/L) ** | 0.23 ± 0.02 a | 0.28 ± 0.03 b | 0.24 ± 0.02 a | 0.22 ± 0.02 b | 0.18 ± 0.01 a | 0.21 ± 0.02 b | 
| Lactic acid (g/L) | 1.32 ± 0.10 a | 1.36 ± 0.07 a | 1.36 ± 0.13 a | 0.86 ± 0.07 a | 1.14 ± 0.15 b | 0.99 ± 0.13 ab | 
| YAN (mg N/L) | 18.06 ± 2.08 a | 41.65 ± 3.90 c | 27.50 ± 1.16 b | 30.36 ± 0.54 a | 28.40 ± 12.49 a | 27.35 ± 8.26 a | 
| Total phenols (mg/L) | 2440.83 ± 123.16 a | 2160.37 ± 221.12 a | 2300.20 ± 236.75 a | 1116.63 ± 106.69 a | 1263.07 ± 224.95 a | 1231.77 ± 75.81 a | 
| Total anthocyanins (mg/L) | 1117.33 ± 69.97 ab | 1225.67 ± 98.64 b | 1019.67 ± 97.01 a | 130.99 ± 20.13 a | 158.53 ± 18.35 a | 155.49 ± 11.41 a | 
| Color index | 18.27 ± 1.03 b | 17.53 ± 1.81 ab | 15.06 ± 0.80 a | 6.05 ± 0.55 a | 7.70 ± 2.13 a | 7.12 ± 0.53 a | 
| TPI | 70.83 ± 3.47 a | 66.43 ± 7.95 a | 64.55 ± 5.79 a | 36.82 ± 4.05 a | 41.04 ± 8.69 a | 40.39 ± 2.33 a | 
| 2019 | 2020 | |||||
|---|---|---|---|---|---|---|
| Control | MeJ | ACP-MeJ | Control | MeJ | ACP-MeJ | |
| Delphinidin-3-O-glc | 14.67 ± 2.72 a | 17.06 ± 1.23 a | 15.15 ± 1.64 a | 6.48 ± 0.67 a | 11.03 ± 1.09 b | 7.42 ± 0.66 a | 
| Cyanidin-3-O-glc | 2.21 ± 0.06 a | 2.44 ± 0.41 a | 2.03 ± 0.28 a | 1.57 ± 0.07 a | 1.78 ± 0.19 a | 1.67 ± 0.04 a | 
| Petunidin-3-O-glc | 20.48 ± 3.40 a | 22.94 ± 3.45 a | 21.37 ± 1.49 a | 13.81 ± 2.37 a | 18.22 ± 1.49 b | 14.18 ± 7.61 a | 
| Peonidin-3-O-glc | 6.38 ± 0.60 a | 9.43 ± 0.84 b | 6.59 ± 0.52 a | 2.83 ± 0.56 a | 4.11 ± 0.55 b | 3.03 ± 0.21 a | 
| Malvidin-3-O-glc | 89.68 ± 8.97 a | 101.81 ± 5.10 a | 94.83 ± 4.25 a | 82.84 ± 8.04 a | 80.27 ± 17.19 a | 84.50 ± 4.07 a | 
| Total non-acylated | 133.42 ± 15.69 a | 153.68 ± 9.56 a | 139.96 ± 8.17 a | 107.53 ± 11.53 a | 115.40 ± 18.82 a | 110.81 ± 5.49 a | 
| Delphinidin-3-O-acglc | 2.51 ± 0.24 a | 2.68 ± 0.13 a | 2.51 ± 0.17 a | 2.39 ± 0.19 a | 2.48 ± 0.38 a | 2.42 ± 0.03 a | 
| Cyanidin-3-O-acglc | 1.35 ± 0.00 a | 1.37 ± 0.00 b | 1.35 ± 0.01 a | 1.36 ± 0.01 b | 1.37 ± 0.01 b | 1.34 ± 0.00 a | 
| Petunidin-3-O-acglc | 2.61 ± 0.20 a | 2.67 ± 0.15 a | 2.59 ± 0.14 a | 2.59 ± 0.23 a | 2.64 ± 0.44 a | 2.64 ± 0.02 a | 
| Peonidin-3-O-acglc | 2.12 ± 0.07 a | 2.60 ± 0.26 b | 2.17 ± 0.03 a | 1.74 ± 0.10 a | 1.81 ± 0.17 a | 1.78 ± 0.03 a | 
| Malvidin-3-O-acglc | 5.93 ± 0.46 a | 6.24 ± 0.09 a | 6.25 ± 0.33 a | 6.73 ± 0.44 a | 6.25 ± 0.94 a | 6.72 ± 0.23 a | 
| Delphinidin-3-O-cmglc | 3.76 ± 0.35 a | 4.28 ± 0.37 a | 4.04 ± 0.41 a | 3.81 ± 0.57 a | 3.59 ± 0.68 a | 4.05 ± 0.11 a | 
| Cyanidin-3-O-cmglc | 1.79 ± 0.09 a | 2.09 ± 0.17 b | 1.87 ± 0.10 ab | 1.79 ± 0.11 a | 1.89 ± 0.29 a | 1.84 ± 0.01 a | 
| Petunidin-3-O-cmglc | 2.90 ± 0.19 a | 3.30 ± 0.16 a | 3.12 ± 0.39 a | 2.86 ± 0.35 a | 3.19 ± 0.45 a | 2.93 ± 0.05 a | 
| Peonidin-3-O-cmglc | 2.37 ± 0.11 a | 2.91 ± 0.23 b | 2.52 ± 0.13 a | 2.28 ± 0.20 a | 2.44 ± 0.48 a | 2.35 ± 0.06 a | 
| Malvidin-3-O-cis-cmglc | 1.71 ± 0.03 a | 1.74 ± 0.01 a | 1.84 ± 0.07 b | 1.82 ± 0.02 a | 1.70 ± 0.09 a | 1.83 ± 0.06 a | 
| Malvidin-3-O-trans-cmglc | 9.33 ± 0.46 a | 10.37 ± 0.38 a | 10.41 ± 1.08 a | 9.84 ± 1.52 a | 11.45 ± 2.60 a | 10.30 ± 0.53 a | 
| Malvidin-3-O-cfglc | 1.99 ± 0.09 a | 2.23 ± 0.17 b | 2.04 ± 0.03 ab | 1.59 ± 0.06 a | 1.59 ± 0.26 a | 1.65 ± 0.03 a | 
| Total acylated | 38.37 ± 2.22 a | 42.48 ± 0.97 a | 40.71 ± 2.68 a | 38.80 ± 3.65 a | 40.41 ± 6.21 a | 39.85 ± 0.99 a | 
| Total anthocyanins | 171.80 ± 17.75 a | 193.92 ± 14.13 a | 176.46 ± 17.25 a | 146.33 ± 15.18 a | 155.81 ± 24.83 a | 150.66 ± 5.81 a | 
| Vitisin A | 2.00 ± 0.16 b | 1.73 ± 0.04 a | 1.74 ± 0.01 a | 1.51 ± 0.02 a | 1.53 ± 0.04 a | 1.52 ± 0.04 a | 
| Vitisin B | 1.97 ± 0.12 a | 2.18 ± 0.18 a | 2.06 ± 0.04 a | 1.78 ± 0.05 a | 1.85 ± 0.23 a | 1.94 ± 0.02 a | 
| 2019 | 2020 | |||||
|---|---|---|---|---|---|---|
| Control | MeJ | ACP-MeJ | Control | MeJ | ACP-MeJ | |
| Flavonols | ||||||
| Myricetin-3-glcU | 12.16 ± 1.20 a | 10.40 ± 1.63 a | 11.47 ± 0.46 a | 6.64 ± 0.39 a | 6.71 ± 0.62 a | 8.80 ± 1.04 b | 
| Myricetin-3-gal | 15.56 ± 0.34 a | 13.33 ± 1.19 a | 14.14 ± 1.53 a | 8.14 ± 1.05 a | 9.49 ± 1.06 ab | 12.17 ± 2.01 b | 
| Myricetin-3-glc | 110.56 ± 6.68 a | 105.43 ± 17.27 a | 102.34 ± 3.46 a | 31.94 ± 6.38 a | 47.86 ± 5.78 b | 51.43 ± 3.08 b | 
| Quercetin-3-glcU | 85.40 ± 11.76 b | 60.07 ± 6.79 a | 83.28 ± 5.93 b | 11.35 ± 1.11 a | 13.12 ± 1.76 a | 16.93 ± 2.02 b | 
| Quercetin-3-glc | 94.97 ± 11.20 b | 74.64 ± 6.63 a | 78.78 ± 7.67 ab | 57.77 ± 6.23 a | 76.74 ± 9.28 b | 78.10 ± 7.89 b | 
| Laricitrin-3-glc | 17.50 ± 1.22 a | 15.95 ± 1.78 a | 16.45 ± 0.34 a | 10.79 ± 0.37 a | 11.79 ± 1.22 a | 14.98 ± 1.21 b | 
| Kaempferol-3-gal | 1.58 ± 0.23 a | 1.30 ± 0.23 a | 1.46 ± 0.10 a | 0.16 ± 0.01 a | 0.19 ± 0.03 ab | 0.22 ± 0.04 b | 
| Kaempferol-3-glcU + 3-glc | 7.24 ± 1.14 b | 4.95 ± 0.61 a | 4.50 ± 0.87 a | 0.70 ± 0.10 a | 0.78 ± 0.07 ab | 0.97 ± 0.13 b | 
| Isorhamnetin-3-glc | 1.73 ± 0.24 a | 1.66 ± 0.28 a | 1.46 ± 0.14 a | 0.23 ± 0.04 a | 0.38 ± 0.04 b | 0.37 ± 0.01 b | 
| Syringetin-3-glc | 11.25 ± 1.06 a | 10.67 ± 1.73 a | 10.45 ± 0.26 a | 8.92 ± 0.59 a | 10.40 ± 1.24 ab | 12.01 ± 1.69 b | 
| Free-myricetin | 12.56 ± 0.46 b | 15.85 ± 2.44 c | 7.74 ± 0.65 a | 18.61 ± 3.15 a | 30.71 ± 5.01 ab | 35.77 ± 8.77 b | 
| Free-quercetin | 18.85 ± 1.69 b | 18.73 ± 3.00 b | 9.69 ± 1.17 a | 14.36 ± 1.39 a | 17.09 ± 2.46 a | 24.01 ± 4.52 b | 
| Free-kaempferol | 10.09 ± 0.69 b | 11.42 ± 1.48 b | 5.48 ± 0.52 a | 3.95 ± 0.32 a | 3.93 ± 0.09 a | 4.37 ± 0.73 a | 
| Free-laricitrin | 2.34 ± 0.06 a | 2.36 ± 0.22 a | 2.09 ± 0.29 a | 4.70 ± 0.29 a | 5.37 ± 1.12 a | 5.45 ± 0.85 a | 
| Free-isorhamnetin + syringetin | 0.54 ± 0.05 b | 0.64 ± 0.07 b | 0.33 ± 0.03 a | 0.38 ± 0.03 a | 0.40 ± 0.05 a | 0.38 ± 0.07 a | 
| Total flavonols | 402.34 ± 29.87 a | 343.84 ± 40.47 a | 339.59 ± 43.65 a | 178.57 ± 6.30 a | 225.67 ± 55.20 a | 260.12 ± 41.43 a | 
| Flavanols | ||||||
| Catechin | 16.62 ± 1.12 a | 18.37 ± 2.85 a | 17.74 ± 2.56 a | 8.18 ± 1.57 a | 8.17 ± 1.05 a | 7.49 ± 1.52 a | 
| Epicatechin | 19.02 ± 1.22 a | 18.49 ± 3.53 a | 16.60 ± 1.46 a | 10.07 ± 1.46 a | 14.32 ± 2.04 b | 12.28 ± 1.33 ab | 
| Epicatechin-3-gallate | 17.24 ± 1.84 a | 16.71 ± 3.22 a | 16.38 ± 1.86 a | n.d. | n.d. | n.d. | 
| Epigallocatechin | 1.50 ± 0.23 a | 2.32 ± 0.37 b | 1.83 ± 0.32 ab | 6.14 ± 0.93 a | 7.45 ± 0.73 a | 8.22 ± 1.31 a | 
| Procyanidin B1 | 7.47 ± 0.96 a | 15.93 ± 1.11 b | 7.95 ± 1.24 a | 2.64 ± 0.42 a | 4.46 ± 0.57 b | 4.01 ± 0.60 b | 
| Procyanidin B2 | 16.34 ± 1.50 b | 8.06 ± 1.53 a | 9.31 ± 0.77 a | n.d. | n.d. | n.d. | 
| Total flavanols | 81.99 ± 2.40 a | 87.77 ± 16.59 a | 75.51 ± 9.57 a | 26.13 ± 4.77 a | 35.72 ± 3.47 b | 32.01 ± 4.52 ab | 
| Hydroxybenzoic acid | ||||||
| Gallic acid | 29.84 ± 4.11 b | 20.17 ± 2.87 a | 26.62 ± 0.72 b | 14.46 ± 1.04 a | 18.89 ± 1.26 b | 16.24 ± 2.58 ab | 
| Hydroxycinnamic acids (HCAs) | ||||||
| trans-Caftaric acid | 4.42 ± 0.53 b | 2.27 ± 0.51 a | 2.99 ± 0.68 a | 9.19 ± 1.00 a | 12.23 ± 1.04 b | 8.80 ± 1.47 a | 
| trans + cis-Coutaric acids | 2.65 ± 0.29 c | 1.70 ± 0.32 b | 0.92 ± 0.14 a | 7.07 ± 0.71 a | 8.98 ± 0.83 b | 7.58 ± 0.65 ab | 
| trans-Fertaric acid | 1.12 ± 0.10 a | 0.93 ± 0.14 a | 0.97 ± 0.23 a | 1.48 ± 0.04 a | 1.90 ± 0.28 b | 1.87 ± 0.18 b | 
| Caffeic acid | 30.43 ± 0.71 b | 22.49 ± 2.48 a | 29.30 ± 1.93 b | 12.11 ± 2.28 a | 14.50 ± 3.05 a | 14.52 ± 3.09 a | 
| p-Coumaric acid | 10.52 ± 0.98 ab | 7.95 ± 0.10 a | 10.79 ± 2.10 b | 7.30 ± 1.46 a | 8.35 ± 1.55 a | 8.82 ± 1.73 a | 
| Ferulic acid | 2.31 ± 0.29 a | 1.83 ± 0.31 a | 2.23 ± 0.11 a | 2.08 ± 0.37 a | 2.63 ± 0.30 a | 2.61 ± 0.41 a | 
| Total HCAs | 52.19 ± 3.53 a | 43.97 ± 10.35 a | 49.30 ± 8.58 a | 39.24 ± 2.48 a | 48.36 ± 3.65 b | 44.06 ± 5.48 ab | 
| Stilbenes | ||||||
| trans-Piceid | 3.55 ± 0.22 a | 3.43 ± 0.56 a | 3.27 ± 0.12 a | 0.87 ± 0.08 a | 1.56 ± 0.20 b | 1.62 ± 0.10 b | 
| cis-Piceid | 0.24 ± 0.04 a | 0.47 ± 0.06 b | 0.38 ± 0.07 b | 0.95 ± 0.13 ab | 0.87 ± 0.09 a | 1.19 ± 0.16 b | 
| trans-Resveratrol | 0.58 ± 0.02 a | 0.74 ± 0.12 b | 0.51 ± 0.06 a | 1.87 ± 0.07 a | 2.96 ± 0.22 b | 2.97 ± 0.58 b | 
| cis-Resveratrol | 0.63 ± 0.10 a | 0.67 ± 0.06 a | 0.61 ± 0.04 a | 0.50 ± 0.04 a | 0.73 ± 0.15 b | 0.75 ± 0.11 b | 
| Total stilbenes | 5.15 ± 0.43 a | 5.23 ± 1.11 a | 4.86 ± 0.18 a | 4.28 ± 0.37 a | 5.93 ± 0.91 a | 6.07 ± 1.53 a | 
| 2019 | 2020 | |||||
|---|---|---|---|---|---|---|
| Control | MeJ | ACP-MeJ | Control | MeJ | ACP-MeJ | |
| Aspartic acid | 0.07 ± 0.02 a | 1.40 ± 0.46 b | 0.54 ± 0.27 a | 7.27 ± 0.65 b | 6.67 ± 0.56 b | 4.16 ± 0.68 a | 
| Glutamic acid | 3.44 ± 0.88 a | 5.73 ± 2.25 a | 5.34 ± 0.96 a | 16.38 ± 1.32 b | 17.88 ± 4.51 b | 9.62 ± 1.03 a | 
| Asparagine | 3.36 ± 0.82 a | 5.78 ± 1.23 b | 4.90 ± 1.00 ab | 8.22 ± 1.31 a | 7.62 ± 1.12 a | 6.43 ± 1.13 a | 
| Serine | 3.17 ± 1.01 a | 3.13 ± 1.49 a | 3.39 ± 0.33 a | 7.71 ± 1.11 a | 7.44 ± 1.00 a | 6.31 ± 0.43 a | 
| Glutamine | 2.79 ± 0.20 a | 1.99 ± 0.95 a | 1.95 ± 0.20 a | 6.89 ± 1.01 a | 5.27 ± 1.33 a | 6.17 ± 0.79 a | 
| Histidine | 5.25 ± 1.10 a | 5.51 ± 1.44 a | 4.91 ± 0.24 a | 13.10 ± 2.38 b | 7.83 ± 1.43 a | 11.93 ± 2.52 ab | 
| Glycine | 6.48 ± 0.41 a | 8.85 ± 1.89 ab | 9.11 ± 0.91 b | 15.29 ± 2.04 a | 14.80 ± 3.26 a | 12.47 ± 1.72 a | 
| Threonine + Citrulline | 1.82 ± 0.22 a | 3.46 ± 1.13 b | 2.98 ± 0.21 ab | 10.62 ± 1.23 a | 8.12 ± 1.82 a | 9.28 ± 1.70 a | 
| Arginine | 6.02 ± 0.28 a | 6.51 ± 0.36 a | 6.17 ± 0.93 a | 7.09 ± 1.85 b | 4.34 ± 0.69 a | 6.82 ± 0.62 b | 
| Alanine | 3.52 ± 0.99 a | 8.05 ± 3.37 a | 7.64 ± 1.78 a | 26.21 ± 5.20 b | 21.56 ± 2.53 ab | 17.13 ± 1.70 a | 
| γ-Aminobutyric acid | 9.06 ± 1.37 a | 16.69 ± 5.17 b | 15.29 ± 2.24 ab | 14.24 ± 1.83 b | 15.17 ± 2.61 b | 6.13 ± 0.78 a | 
| Proline | 647.05 ± 45.92 a | 726.77 ± 110.61 a | 742.09 ± 52.52 a | 2172.04 ± 120.58 ab | 1816.80 ± 218.65 a | 2243.38 ± 189.88 b | 
| Tyrosine | 0.63 ± 0.05 a | 1.96 ± 1.72 a | 0.94 ± 0.15 a | 6.68 ± 0.67 c | 4.94 ± 0.80 b | 2.98 ± 0.42 a | 
| Valine | 0.67 ± 0.06 a | 2.32 ± 1.72 a | 1.22 ± 0.30 a | 7.46 ± 0.96 b | 6.34 ± 0.87 b | 4.13 ± 0.57 a | 
| Methionine | 0.56 ± 0.10 a | 0.86 ± 0.47 a | 0.59 ± 0.20 a | 1.69 ± 0.28 b | 1.39 ± 0.28 b | 0.53 ± 0.12 a | 
| Cysteine | 0.44 ± 0.06 b | 0.27 ± 0.06 a | 0.27 ± 0.08 a | 0.36 ± 0.04 a | 0.38 ± 0.06 a | 0.39 ± 0.06 a | 
| Isoleucine + Tryptophan | 0.93 ± 0.07 a | 1.87 ± 0.96 a | 1.53 ± 0.10 a | 7.60 ± 0.76 b | 7.25 ± 0.90 b | 5.02 ± 0.93 a | 
| Leucine | 1.40 ± 0.32 a | 4.84 ± 1.00 c | 3.44 ± 0.03 b | 12.94 ± 2.44 b | 7.72 ± 0.90 a | 4.94 ± 0.96 a | 
| Phenylalanine | 0.94 ± 0.19 a | 2.77 ± 0.68 c | 1.83 ± 0.23 b | 9.52 ± 1.49 b | 5.66 ± 0.72 a | 4.46 ± 0.64 a | 
| Ornithine | 3.26 ± 0.25 a | 49.27 ± 23.18 b | 8.90 ± 1.41 a | 33.74 ± 3.30 c | 16.98 ± 1.40 a | 25.49 ± 2.89 b | 
| Lysine | 2.42 ± 0.40 a | 8.03 ± 0.87 c | 4.13 ± 0.61 b | 26.88 ± 3.35 b | 19.89 ± 3.20 a | 14.78 ± 1.31 a | 
| Total amino acids | 703.27 ± 41.79 a | 866.04 ± 121.48 a | 827.17 ± 63.60 a | 2411.95 ± 135.64 a | 2004.05 ± 237.31 a | 2402.55 ± 208.62 a | 
| Total amino acids without Pro | 56.22 ± 7.14 a | 139.27 ± 27.70 b | 85.08 ± 11.11 a | 239.91 ± 23.20 b | 187.25 ± 21.38 a | 159.17 ± 19.26 a | 
| Treatment (T) | Season (S) | ||||||
|---|---|---|---|---|---|---|---|
| Control | MeJ | ACP-MeJ | 2019 | 2020 | Interaction (T × S) | ||
| Visual | Clarity | 3.84 a | 3.83 a | 3.99 a | 3.77 a | 4.02 a | N.S. | 
| Color | 7.75 a | 7.59 a | 7.93 a | 7.75 a | 7.78 a | N.S. | |
| Odor | Intensity | 5.81 a | 5.69 a | 5.73 a | 5.87 a | 5.62 a | N.S. | 
| Genuineness | 3.65 a | 3.74 a | 4.14 b | 4.09 b | 3.64 a | * | |
| Quality | 11.50 a | 11.36 a | 12.34 b | 12.26 b | 11.24 a | * | |
| Taste | Intensity | 5.68 a | 5.55 a | 5.99 a | 5.95 b | 5.56 a | N.S. | 
| Genuineness | 3.68 a | 3.74 a | 4.11 a | 3.87 a | 3.85 a | N.S. | |
| Quality | 14.86 a | 14.71 a | 15.47 a | 15.35 a | 14.71 a | N.S. | |
| Persistence | 5.94 a | 5.69 a | 6.07 a | 6.01 a | 5.82 a | N.S. | |
| Harmony | 8.62 a | 8.62 a | 9.03 b | 8.86 a | 8.65 a | N.S. | |
| Total rating | 71.34 a | 70.55 a | 74.67 b | 73.67 b | 70.89 a | N.S. | |
Publisher’s Note: MDPI stays neutral with regard to jurisdictional claims in published maps and institutional affiliations.  | 
© 2022 by the authors. Licensee MDPI, Basel, Switzerland. This article is an open access article distributed under the terms and conditions of the Creative Commons Attribution (CC BY) license (https://creativecommons.org/licenses/by/4.0/).
Share and Cite
Pérez-Álvarez, E.P.; Sáenz de Urturi, I.; Rubio-Bretón, P.; Marín-San Román, S.; Murillo-Peña, R.; Parra-Torrejón, B.; Ramírez-Rodríguez, G.B.; Delgado-López, J.M.; Garde-Cerdán, T. Application of Elicitors, as Conventional and Nano Forms, in Viticulture: Effects on Phenolic, Aromatic and Nitrogen Composition of Tempranillo Wines. Beverages 2022, 8, 56. https://doi.org/10.3390/beverages8030056
Pérez-Álvarez EP, Sáenz de Urturi I, Rubio-Bretón P, Marín-San Román S, Murillo-Peña R, Parra-Torrejón B, Ramírez-Rodríguez GB, Delgado-López JM, Garde-Cerdán T. Application of Elicitors, as Conventional and Nano Forms, in Viticulture: Effects on Phenolic, Aromatic and Nitrogen Composition of Tempranillo Wines. Beverages. 2022; 8(3):56. https://doi.org/10.3390/beverages8030056
Chicago/Turabian StylePérez-Álvarez, Eva P., Itziar Sáenz de Urturi, Pilar Rubio-Bretón, Sandra Marín-San Román, Rebeca Murillo-Peña, Belén Parra-Torrejón, Gloria B. Ramírez-Rodríguez, José M. Delgado-López, and Teresa Garde-Cerdán. 2022. "Application of Elicitors, as Conventional and Nano Forms, in Viticulture: Effects on Phenolic, Aromatic and Nitrogen Composition of Tempranillo Wines" Beverages 8, no. 3: 56. https://doi.org/10.3390/beverages8030056
APA StylePérez-Álvarez, E. P., Sáenz de Urturi, I., Rubio-Bretón, P., Marín-San Román, S., Murillo-Peña, R., Parra-Torrejón, B., Ramírez-Rodríguez, G. B., Delgado-López, J. M., & Garde-Cerdán, T. (2022). Application of Elicitors, as Conventional and Nano Forms, in Viticulture: Effects on Phenolic, Aromatic and Nitrogen Composition of Tempranillo Wines. Beverages, 8(3), 56. https://doi.org/10.3390/beverages8030056
        
