Post-Fermentative Addition of Grape Seed Protein Hydrolysates and Their Impact on Wine Colour-Related Polyphenols
Abstract
1. Introduction
2. Materials and Methods
2.1. Chemicals and Solvents
2.2. Enzymatic Hydrolysis of Defatted Grape Seed Meal
2.3. Winemaking
2.4. HPLC-DAD Analysis of Polyphenolic Compounds
2.5. Spectrophotometric Colour Measurement
2.6. Visual Sensory Evaluation
2.7. Statistical Analysis
3. Results and Discussion
3.1. Phenolic Profile Evolution
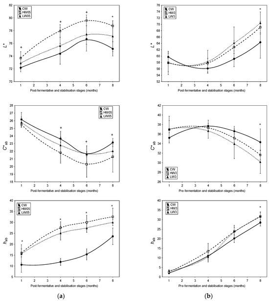
3.2. Colour Evolution
3.3. PCA Analysis
3.4. Visual Sensorial Evaluation
4. Conclusions
Supplementary Materials
Author Contributions
Funding
Institutional Review Board Statement
Informed Consent Statement
Data Availability Statement
Acknowledgments
Conflicts of Interest
References
- Casassa, L.F.; Harbertson, J.F. Extraction, Evolution, and Sensory Impact of Phenolic Compounds During Red Wine Maceration. Annu. Rev. Food Sci. Technol. 2014, 5, 83–109. [Google Scholar] [CrossRef] [PubMed]
- de Freitas, V.; Mateus, N. Formation of pyranoanthocyanins in red wines: A new and diverse class of anthocyanin derivatives. Anal. Bioanal. Chem. 2011, 401, 1463–1473. [Google Scholar] [CrossRef] [PubMed]
- Qi, M.-Y.; Huang, Y.-C.; Song, X.-X.; Ling, M.-Q.; Zhang, X.-K.; Duan, C.-Q.; Lan, Y.-B.; Shi, Y. Artificial saliva precipitation index (ASPI): An efficient evaluation method of wine astringency. Food Chem. 2023, 413, 135628. [Google Scholar] [CrossRef] [PubMed]
- Zhang, X.-K.; Jeffery, D.W.; Li, D.-M.; Lan, Y.-B.; Zhao, X.; Duan, C.-Q. Red wine coloration: A review of pigmented molecules, reactions, and applications. Compr. Rev. Food Sci. Food Saf. 2022, 21, 3834–3866. [Google Scholar] [CrossRef] [PubMed]
- Ferrer-Gallego, R.; Hernández-Hierro, J.M.; Rivas-Gonzalo, J.C.; Escribano-Bailón, M.T. Sensory evaluation of bitterness and astringency sub-qualities of wine phenolic compounds: Synergistic effect and modulation by aromas. Food Res. Int. 2014, 62, 1100–1107. [Google Scholar] [CrossRef]
- Andersen, O.M.; Markham, K.R. (Eds.) Flavonoids: Chemistry, Biochemistry and Applications, 1st ed.; CRC Press: Boca Raton, FL, USA, 2005. [Google Scholar] [CrossRef]
- McGhie, T.K.; Walton, M.C. The bioavailability and absorption of anthocyanins: Towards a better understanding. Mol. Nutr. Food Res. 2007, 51, 702–713. [Google Scholar] [CrossRef]
- Padayachee, A.; Netzel, G.; Netzel, M.; Day, L.; Zabaras, D.; Mikkelsen, D.; Gidley, M.J. Binding of polyphenols to plant cell wall analogues—Part 1: Anthocyanins. Food Chem. 2012, 134, 155–161. [Google Scholar] [CrossRef]
- Escribano-Bailón, M.T.; Santos-Buelga, C. Anthocyanin copigmentation—Evaluation, mechanisms and implications for the Colour of Red Wines. Curr. Org. Chem. 2012, 16, 715–723. [Google Scholar] [CrossRef]
- Kunsági-Máté, S.; Szabo, K.; Nikfardjam, M.P.; Kollar, L. Determination of the Thermodynamic Parameters of the Complex Formation Between Malvidin-3-O-Glucoside and Polyphenols. Copigmentation Effect in Red Wines. J. Biochem. Biophys. Methods 2006, 69, 113–119. [Google Scholar] [CrossRef]
- Cao, S.; Liu, L.; Lu, Q.; Xu, Y.; Pan, S.; Wang, K. Integrated effects of ascorbic acid, flavonoids and sugars on thermal degradation of anthocyanins in blood orange juice. Eur. Food Res. Technol. 2009, 228, 975–983. [Google Scholar] [CrossRef]
- de Rosso, V.V.; Mercadante, A.Z. Evaluation of colour and stability of anthocyanins from tropical fruits in an isotonic soft drink system. Innov. Food Sci. Emerg. Technol. 2007, 8, 347–352. [Google Scholar] [CrossRef]
- Alin, D.; Poiana, M.-A.; Florin, S.; Alina, G.; Gergen, I. Changes in the chromatic properties of red vines from Vitis vinifera L.cv. Merlot and Pinot Noir during the course of aging in bottle. J. Food Agric. Environ. 2010, 8, 20–24. [Google Scholar]
- Mira de Orduña, R. Climate change associated effects on grape and wine quality and production. Food Res. Int. 2010, 43, 1844–1855. [Google Scholar] [CrossRef]
- López, M.-I.; Sánchez, M.-T.; Díaz, A.; Ramírez, P.; Morales, J. Influence of a deficit irrigation regime during ripening on berry composition in grapevines (Vitis vinifera L.) grown in semi-arid areas. Int. J. Food Sci. Nutr. 2007, 58, 491–507. [Google Scholar] [CrossRef]
- Acharya, D.P.; Sanguansri, L.; Augustin, M.A. Binding of resveratrol with sodium caseinate in aqueous solutions. Food Chem. 2013, 141, 1050–1054. [Google Scholar] [CrossRef] [PubMed]
- Siebert, K.J. Effects of Protein−Polyphenol Interactions on Beverage Haze, Stabilization, and Analysis. J. Agric. Food Chem. 1999, 47, 353–362. [Google Scholar] [CrossRef]
- Zhou, R.; Dong, X.; Song, L.; Jing, H. Interaction mode and nanoparticle formation of bovine serum albumin and anthocyanin in three buffer solutions. J. Lumin. 2014, 155, 244–250. [Google Scholar] [CrossRef]
- Zuo, H.; Tang, L.; Li, S.; Huang, J. Combined multispectroscopic and molecular docking investigation on the interaction between delphinidin-3-O-glucoside and bovine serum albumin. Luminescence 2014, 30, 110–117. [Google Scholar] [CrossRef] [PubMed]
- Lang, Y.; Li, B.; Gong, E.; Shu, C.; Si, X.; Gao, N.; Zhang, W.; Cui, H.; Meng, X. Protective effects of α-casein or β-casein on the stability and antioxidant capacity of blueberry anthocyanins and their interaction mechanism. LWT-Food Sci. Technol. 2019, 115, 108434. [Google Scholar] [CrossRef]
- Zhang, L.; Yao, L.; Zhao, F.; Yu, A.; Zhou, Y.; Wen, Q.; Wang, J.; Zheng, T.; Chen, P. Protein and Peptide-Based Nanotechnology for Enhancing Stability, Bioactivity, and Delivery of Anthocyanins. Adv. Healthc. Mater. 2023, 12, 2300473. [Google Scholar] [CrossRef]
- Li, Y.; Yao, L.; Zhang, L.; Zhang, Y.; Zheng, T.; Liu, L.; Zhang, L. Enhanced physicochemical stabilities of cyanidin-3-O-glucoside via combination with silk fibroin peptide. Food Chem. 2021, 355, 129479. [Google Scholar] [CrossRef]
- Yao, L.; Xu, J.; Zhang, L.; Zheng, T.; Liu, L.; Zhang, L. Physicochemical stability-increasing effects of anthocyanin via a co-assembly approach with an amphiphilic peptide. Food Chem 2021, 362, 130101. [Google Scholar] [CrossRef]
- Xing, C.; Chen, P.; Zhang, L. Computational insight into stability-enhanced systems of anthocyanin with protein/peptide. Food Chem. Mol. Sci. 2023, 6, 100168. [Google Scholar] [CrossRef] [PubMed]
- Chung, C.; Rojanasasithara, T.; Mutilangi, W.; McClements, D.J. Enhanced stability of anthocyanin-based color in model beverage systems through whey protein isolate complexation. Food Res. Int. 2015, 76, 761–768. [Google Scholar] [CrossRef] [PubMed]
- Zang, Z.; Chou, S.; Geng, L.; Si, X.; Ding, Y.; Lang, Y.; Cui, H.; Gao, N.; Chen, Y.; Wang, M.; et al. Interactions of blueberry anthocyanins with whey protein isolate and bovine serum protein: Color stability, antioxidant activity, in vitro simulation, and protein functionality. LWT-Food Sci. Technol. 2021, 152, 112269. [Google Scholar] [CrossRef]
- He, Z.; Xu, M.; Zeng, M.; Qin, F.; Chen, J. Preheated milk proteins improve the stability of grape skin anthocyanins extracts. Food Chem. 2016, 210, 221–227. [Google Scholar] [CrossRef]
- Chamizo-González, F.; Estévez García, I.; Gordillo, B.; Manjón, E.; Escribano-Bailón, M.T.; Heredia, F.J.; González-Miret, M.L. First insights into the binding mechanism and colour effect of the interaction of grape seed 11S globulin with malvidin 3-O-glucoside by fluorescence spectroscopy, differential colorimetry and molecular modelling. Food Chem. 2023, 413, 135591. [Google Scholar] [CrossRef]
- Mora-Garrido, A.B.; Cejudo-Bastante, M.J.; Heredia, F.J.; Escudero-Gilete, M.L. Revalorization of residues from the industrial exhaustion of grape by-products. LWT-Food Sci. Technol. 2022, 156, 113057. [Google Scholar] [CrossRef]
- Cejudo-Bastante, M.J.; Oliva-Sobrado, M.; González-Miret, M.L.; Heredia, F.J. Optimisation of the methodology for obtaining enzymatic protein hydrolysates from an industrial grape seed meal residue. Food Chem. 2022, 370, 131078. [Google Scholar] [CrossRef] [PubMed]
- Mora-Garrido, A.B.; Escudero-Gilete, M.L.; Heredia, F.J.; Cejudo-Bastante, M.J. Enzymatic protein hydrolysates of a residue from grape by-products industry for winemaking application: Influence of the starting material and hydrolysis time. Cogent Food Agric. 2024, 10, 2314231. [Google Scholar] [CrossRef]
- Fulcrand, H.; Dueñas, M.; Salas, E.; Cheynier, V. Phenolic Reactions during Winemaking and Aging. Am. J. Enol. Vitic. 2006, 57, 289. [Google Scholar] [CrossRef]
- Canuti, V.; Puccioni, S.; Giovani, G.; Salmi, M.; Rosi, I.; Bertuccioli, M. Effect of Oenotannin Addition on the Composition of Sangiovese Wines from Grapes with Different Characteristics. Am. J. Enol. Vitic. 2012, 63, 220–231. [Google Scholar] [CrossRef]
- Parker, M.; Smith, P.A.; Birse, M.; Francis, I.L.; Kwiatkowski, M.J.; Lattey, K.A.; Liebich, B.; Herderich, M.J. The effect of pre- and post-ferment additions of grape derived tannin on Shiraz wine sensory properties and phenolic composition. Aust. J. Grape Wine Res. 2007, 13, 30–37. [Google Scholar] [CrossRef]
- Cejudo-Bastante, M.J.; Rodríguez-Morgado, B.; Jara-Palacios, M.J.; Rivas-Gonzalo, J.C.; Parrado, J.; Heredia, F.J. Pre-fermentative addition of an enzymatic grape seed hydrolysate in warm climate winemaking. Effect on the differential colorimetry, copigmentation and polyphenolic profiles. Food Chem. 2016, 209, 348–357. [Google Scholar] [CrossRef] [PubMed]
- Mora-Garrido, A.B.; Escudero-Gilete, M.L.; González-Miret, M.L.; Heredia, F.J.; Cejudo-Bastante, M.J. Effect of the addition of protein hydrolysates from grape seed meal residue to red wines in warm regions in the stabilization stage. LWT-Food Sci. Technol. 2024, 205, 116554. [Google Scholar] [CrossRef]
- Kottek, M.; Grieser, J.; Beck, C.; Rudolf, B.; Rubel, F. World Map of the Köppen-Geiger Climate Classification Updated. Meteorol. Z. 2006, 15, 259–263. [Google Scholar] [CrossRef] [PubMed]
- EU. Official Methods to Wine Analyses; Reglamento 440/2003; European Commission, European Union: Brussels, Belgium, 2003. [Google Scholar]
- Guadalupe, Z.; Palacios, A.; Ayestarán, B. Maceration Enzymes and Mannoproteins: A Possible Strategy To Increase Colloidal Stability and Color Extraction in Red Wines. J. Agric. Food Chem. 2007, 55, 4854–4862. [Google Scholar] [CrossRef]
- Heredia, F.J.; Álvarez, C.; González-Miret, M.L.; Ramírez, A. CromaLab, Análisis de Color. Registro General de la Propiedad Intelectual (SE-1052-04): Seville, Spain, 2004. [Google Scholar]
- CIE. Technical Report Colorimetry; Commission Internationale de l’Eclairage Central Bureau: Vienna, Austria, 2004. [Google Scholar]
- Boulton, R.B. A method for the assessment of copigmentation in red wines. In Proceedings of the 47th Annual Meeting of the American Society for Enology and Viticulture, Reno, NV, USA, 26–28 June 1996. [Google Scholar]
- Singleton, V.L.; Rossi, J.A. Colorimetry of Total Phenolics with Phosphomolybdic-Phosphotungstic Acid Reagents. Am. J. Enol. Vitic. 1965, 16, 144–158. [Google Scholar] [CrossRef]
- UNE-ISO 4121:2006; Sensory Analysis—Guidelines for the Use of Quantitative Response Scales (ISO 4121:2003). ISO: Geneva Switzerland, 2006.
- StatSoft Inc. STATISTICA (Data Analysis Software System), Version 8; StatSoft Inc.: Tulsa, OK, USA, 2007; Available online: www.statsoft.com (accessed on 1 January 2024).
- Gómez-Gallego, M.A.; Gómez García-Carpintero, E.; Sánchez-Palomo, E.; González Viñas, M.A.; Hermosín-Gutiérrez, I. Evolution of the phenolic content, chromatic characteristics and sensory properties during bottle storage of red single-cultivar wines from Castilla La Mancha region. Food Res. Int. 2013, 51, 554–563. [Google Scholar] [CrossRef]
- Davies, A.J.; Mazza, G. Copigmentation of simple and acylated anthocyanins with colorless phenolic compounds. J. Agric. Food Chem. 1993, 41, 716–720. [Google Scholar] [CrossRef]
- Baranac, J.M.; Petranović, N.A.; Dimitrić-Marković, J.M. Spectrophotometric Study of Anthocyan Copigmentation Reactions. 2. Malvin and the Nonglycosidized Flavone Quercetin. J. Agric. Food Chem. 1997, 45, 1694–1697. [Google Scholar] [CrossRef]
- Gómez-Míguez, M.; González-Manzano, S.; Escribano-Bailón, M.T.; Heredia, F.J.; Santos-Buelga, C. Influence of Different Phenolic Copigments on the Color of Malvidin 3-Glucoside. J. Agric. Food Chem. 2006, 54, 5422–5429. [Google Scholar] [CrossRef]
- Chung, C.; Rojanasasithara, T.; Mutilangi, W.; McClements, D.J. Stability improvement of natural food colors: Impact of amino acid and peptide addition on anthocyanin stability in model beverages. Food Chem. 2017, 218, 277–284. [Google Scholar] [CrossRef] [PubMed]
- Ferrer-Gallego, R.; Soares, S.; Mateus, N.; Rivas-Gonzalo, J.; Escribano-Bailón, M.T.; de Freitas, V. New Anthocyanin–Human Salivary Protein Complexes. Langmuir 2015, 31, 8392–8401. [Google Scholar] [CrossRef]
- Ferrer-Gallego, R.; Brás, N.F.; García-Estévez, I.; Mateus, N.; Rivas-Gonzalo, J.C.; de Freitas, V.; Escribano-Bailón, M.T. Effect of flavonols on wine astringency and their interaction with human saliva. Food Chem. 2016, 209, 358–364. [Google Scholar] [CrossRef]
- Fernandes, A.; Brás, N.F.; Mateus, N.; de Freitas, V. Understanding the molecular mechanism of anthocyanin binding to pectin. Langmuir 2014, 30, 8516–8527. [Google Scholar] [CrossRef]
- Ozdal, T.; Capanoglu, E.; Altay, F. A review on protein–phenolic interactions and associated changes. Food Res. Internat. 2013, 51, 954–970. [Google Scholar] [CrossRef]
- Charlton, A.J.; Baxter, N.J.; Khan, M.L.; Moir, A.J.G.; Haslam, E.; Davies, A.P.; Williamson, M.P. Polyphenol/peptide binding and precipitation. J. Agric. Food Chem. 2002, 50, 1593–1601. [Google Scholar] [CrossRef]





| Stage | CW | HW05 | LW05 | |
|---|---|---|---|---|
| Total glucoside derivatives of anthocyanins | 1 m | 246.99 ± 7.55 b | 192.76 ± 8.89 a | 189.91 ± 2.37 a |
| 4 m | 107.38 ± 11.53 b | 60.46 ± 3.73 a | 76.79 ± 5.22 a | |
| 8 m | 77.37 ± 5.64 b | 50.81 ± 3.65 a | 60.17 ± 4.45 a | |
| Total acetyl derivatives of anthocyanins | 1 m | 127.94 ± 3.08 b | 105.02 ± 3.99 a | 101.69 ± 0.40 a |
| 4 m | 59.33 ± 6.97 b | 34.96 ± 1.67 a | 43.24 ± 3.15 a | |
| 8 m | 41.33 ± 2.52 b | 29.31 ± 1.64 a | 33.93 ± 2.10 a | |
| Total p-coumaroyl derivatives of anthocyanins | 1 m | 74.34 ± 3.08 b | 59.02 ± 2.81 a | 57.49 ± 0.89 a |
| 4 m | 37.08 ± 4.30 b | 26.12 ± 0.64 a | 29.02 ± 1.43 a | |
| 8 m | 28.68 ± 1.18 c | 16.95 ± 0.45 a | 26.37 ± 0.77 b | |
| Total anthocyanins | 1 m | 449.31 ± 11.79 b | 356.79 ± 15.23 a | 349.08 ± 2.58 a |
| 4 m | 203.78 ± 22.75 b | 121.53 ± 6.01 a | 149.05 ± 9.78 a | |
| 8 m | 147.39 ± 9.35 b | 96.36 ± 6.51 a | 120.47 ± 7.32 a | |
| % copigmented anthocyanins | 1 m | 12.67 ± 0.51 | 15.05 ± 0.81 | 12.86 ± 1.18 |
| 4 m | 11.72 ± 0.34 c | 7.91 ± 0.28 a | 9.93 ± 1.17 bc | |
| 8 m | 5.01 ± 0.77 | 4.07 ± 1.29 | 4.86 ± 0.99 | |
| % polymerised anthocyanins | 1 m | 71.58 ± 1.48 a | 77.56 ± 1.64 b | 79.27 ± 2.08 b |
| 4 m | 98.80 ± 0.09 a | 99.92 ± 0.40 ab | 100.50 ± 0.95 b | |
| 8 m | 81.58 ± 1.08 a | 89.02 ± 1.72 b | 85.85 ± 0.47 b | |
| Total benzoic acids | 1 m | 27.90 ± 0.86 | 31.05 ± 4.94 | 25.00 ± 1.10 |
| 4 m | 46.10 ± 2.31 | 44.02 ± 1.73 | 44.19 ± 2.73 | |
| 8 m | 45.13 ± 4.73 b | 38.14 ± 0.83 ab | 36.91 ± 0.57 a | |
| Total hydroxycinnamic acid derivatives | 1 m | 62.91 ± 0.75 | 62.84 ± 1.07 | 62.79 ± 0.32 |
| 4 m | 66.32 ± 0.06 c | 64.15 ± 0.34 a | 64.72 ± 0.11 b | |
| 8 m | 60.32 ± 0.37 b | 59.41 ± 1.07 a | 59.78 ± 0.35 ab | |
| Total flavan-3-ols | 1 m | 64.24 ± 2.49 | 67.49 ± 2.36 | 67.33 ± 1.23 |
| 4 m | 82.93 ± 6.83 b | 57.89 ± 5.43 a | 65.25 ± 12.79 ab | |
| 8 m | 55.31 ± 0.94 b | 40.88 ± 4.13 a | 46.91 ± 2.30 a | |
| Total flavonols | 1 m | 19.60 ± 1.00 | 21.06 ± 1.64 | 19.98 ± 0.58 |
| 4 m | 29.36 ± 2.03 b | 24.09 ± 1.80 a | 25.28 ± 1.22 ab | |
| 8 m | 11.62 ± 0.48 | 10.17 ± 1.11 | 11.98 ± 0.96 | |
| Total phenolics (Folin–Ciocalteau) | 1 m | 2308.85 ± 48.05 | 2459.03 ± 88.38 | 2505.70 ± 120.70 |
| 4 m | 2430.98 ± 93.82 ab | 2247.55 ± 65.86 a | 2640.28 ± 117.33 b | |
| 8 m | 2578.40 ± 160.15 | 2382.20 ± 73.90 | 2509.28 ± 44.88 |
| Stage | CW | HW3 | LW3 | |
|---|---|---|---|---|
| Total glucoside derivatives of anthocyanins | 1 m | 332.80 ± 41.65 | 346.30 ± 6.67 | 325.37 ± 41.15 |
| 4 m | 133.91 ± 0.38 c | 75.97 ± 6.64 a | 95.45 ± 3.81 b | |
| 8 m | 45.76 ± 1.38 | 44.46 ± 0.79 | 44.21 ± 0.89 | |
| Total acetyl derivatives of anthocyanins | 1 m | 145.47 ± 11.69 | 159.90 ± 7.20 | 139.85 ± 6.99 |
| 4 m | 98.68 ± 9.12 b | 47.01 ± 2.39 a | 49.74 ± 2.53 a | |
| 8 m | 25.47 ± 0.32 | 25.49 ± 0.57 | 25.60 ± 0.26 | |
| Total p-coumaroyl derivatives of anthocyanins | 1 m | 99.99 ± 13.36 | 93.54 ± 10.17 | 74.39 ± 11.22 |
| 4 m | 44.13 ± 2.51 b | 31.24 ± 1.99 a | 31.10 ± 3.27 a | |
| 8 m | 27.45 ± 1.16 b | 24.12 ± 0.08 a | 24.24 ± 0.21 a | |
| Total anthocyanins | 1 m | 578.26 ± 66.65 | 599.75 ± 23.19 | 539.61 ± 38.20 |
| 4 m | 276.72 ± 9.24 c | 154.22 ± 9.12 a | 176.29 ± 7.95 b | |
| 8 m | 98.68 ± 1.59 b | 94.07 ± 1.37 a | 94.05 ± 1.03 a | |
| % copigmented anthocyanins | 1 m | 7.77 ± 0.05 | 6.46 ± 0.65 | 7.93 ± 1.44 |
| 4 m | 1.53 ± 0.18 | 1.29 ± 0.43 | 1.13 ± 0.06 | |
| 8 m | 6.14 ± 0.36 b | 4.50 ± 0.51 a | 5.20 ± 0.61 ab | |
| % polymerised anthocyanins | 1 m | 82.57 ± 1.43 | 82.22 ± 2.28 | 80.54 ± 2.78 |
| 4 m | 90.92 ± 1.13 a | 92.67 ± 1.19 ab | 93.64 ± 0.22 b | |
| 8 m | 95.04 ± 0.86 | 96.27 ± 0.92 | 95.91 ± 0.72 | |
| Total benzoic acids | 1 m | 210.69 ± 8.92 | 184.04 ± 32.44 | 165.56 ± 25.84 |
| 4 m | 142.21 ± 6.04 a | 155.05 ± 3.04 b | 149.80 ± 4.65 ab | |
| 8 m | 131.86 ± 13.08 | 126.93 ± 2.20 | 127.31 ± 3.60 | |
| Total hydroxycinnamic acid derivatives | 1 m | 80.56 ± 2.92 | 82.32 ± 3.43 | 81.65 ± 6.76 |
| 4 m | 71.60 ± 1.18 | 72.82 ± 0.60 | 71.71 ± 1.76 | |
| 8 m | 66.94 ± 1.58 | 65.53 ± 0.81 | 65.97 ± 0.70 | |
| Total flavan-3-ols | 1 m | 64.08 ± 6.67 b | 43.46 ± 4.86 a | 88.06 ± 2.79 c |
| 4 m | 41.66 ± 0.69 | 38.35 ± 1.53 | 38.71 ± 2.47 | |
| 8 m | 38.65 ± 6.54 b | 25.49 ± 0.22 a | 34.57 ± 0.74 ab | |
| Total flavonols | 1 m | 69.40 ± 1.76 | 65.66 ± 2.84 | 65.52 ± 1.06 |
| 4 m | 57.83 ± 2.79 | 56.75 ± 2.09 | 52.24 ± 3.29 | |
| 8 m | 43.04 ± 3.69 | 40.96 ± 1.24 | 41.19 ± 2.00 | |
| Total phenolics (Folin–Ciocalteau) | 1 m | 3119.83 ± 572.82 | 3428.83 ± 332.64 | 2723.97 ± 516.51 |
| 4 m | 3467.05 ± 220.55 | 3455.37 ± 572.40 | 3203.50 ± 397.34 | |
| 8 m | 2954.33 ± 406.04 | 2396.57 ± 210.08 | 2653.63 ± 202.19 |
Disclaimer/Publisher’s Note: The statements, opinions and data contained in all publications are solely those of the individual author(s) and contributor(s) and not of MDPI and/or the editor(s). MDPI and/or the editor(s) disclaim responsibility for any injury to people or property resulting from any ideas, methods, instructions or products referred to in the content. |
© 2024 by the authors. Licensee MDPI, Basel, Switzerland. This article is an open access article distributed under the terms and conditions of the Creative Commons Attribution (CC BY) license (https://creativecommons.org/licenses/by/4.0/).
Share and Cite
Mora-Garrido, A.B.; Escudero-Gilete, M.L.; González-Miret, M.L.; Heredia, F.J.; Cejudo-Bastante, M.J. Post-Fermentative Addition of Grape Seed Protein Hydrolysates and Their Impact on Wine Colour-Related Polyphenols. Beverages 2025, 11, 5. https://doi.org/10.3390/beverages11010005
Mora-Garrido AB, Escudero-Gilete ML, González-Miret ML, Heredia FJ, Cejudo-Bastante MJ. Post-Fermentative Addition of Grape Seed Protein Hydrolysates and Their Impact on Wine Colour-Related Polyphenols. Beverages. 2025; 11(1):5. https://doi.org/10.3390/beverages11010005
Chicago/Turabian StyleMora-Garrido, Ana Belén, M. Luisa Escudero-Gilete, M. Lourdes González-Miret, Francisco J. Heredia, and María Jesús Cejudo-Bastante. 2025. "Post-Fermentative Addition of Grape Seed Protein Hydrolysates and Their Impact on Wine Colour-Related Polyphenols" Beverages 11, no. 1: 5. https://doi.org/10.3390/beverages11010005
APA StyleMora-Garrido, A. B., Escudero-Gilete, M. L., González-Miret, M. L., Heredia, F. J., & Cejudo-Bastante, M. J. (2025). Post-Fermentative Addition of Grape Seed Protein Hydrolysates and Their Impact on Wine Colour-Related Polyphenols. Beverages, 11(1), 5. https://doi.org/10.3390/beverages11010005

