Antimicrobial Activity of Chitosan from Different Sources Against Non-Saccharomyces Wine Yeasts as a Tool for Producing Low-Sulphite Wine
Abstract
1. Introduction
2. Materials and Methods
2.1. Yeast Strains
2.2. Evaluation of SO2 and Chitosan Tolerance During Inoculated Fermentations
2.3. Screening for Resistance to Commercial and Insect-Based Chitosan
2.4. Use of Antimicrobial Treatments During Inoculated Fermentations at Laboratory Scale
2.5. Wine Analysis
2.5.1. Chemical Analysis
2.5.2. Chromatic Characteristics
2.5.3. Polyphenols Content Detection
2.5.4. Antioxidant Activity
2.5.5. Aromatic Compounds
2.6. Statistical Analysis
3. Results and Discussion
3.1. Influence of SO2 and Chitosan on Viability of Non-Saccharomyces Strains During Inoculated Fermentations
3.2. Evaluation of Strain Resistance to Commercial and Insect-Based Chitosan
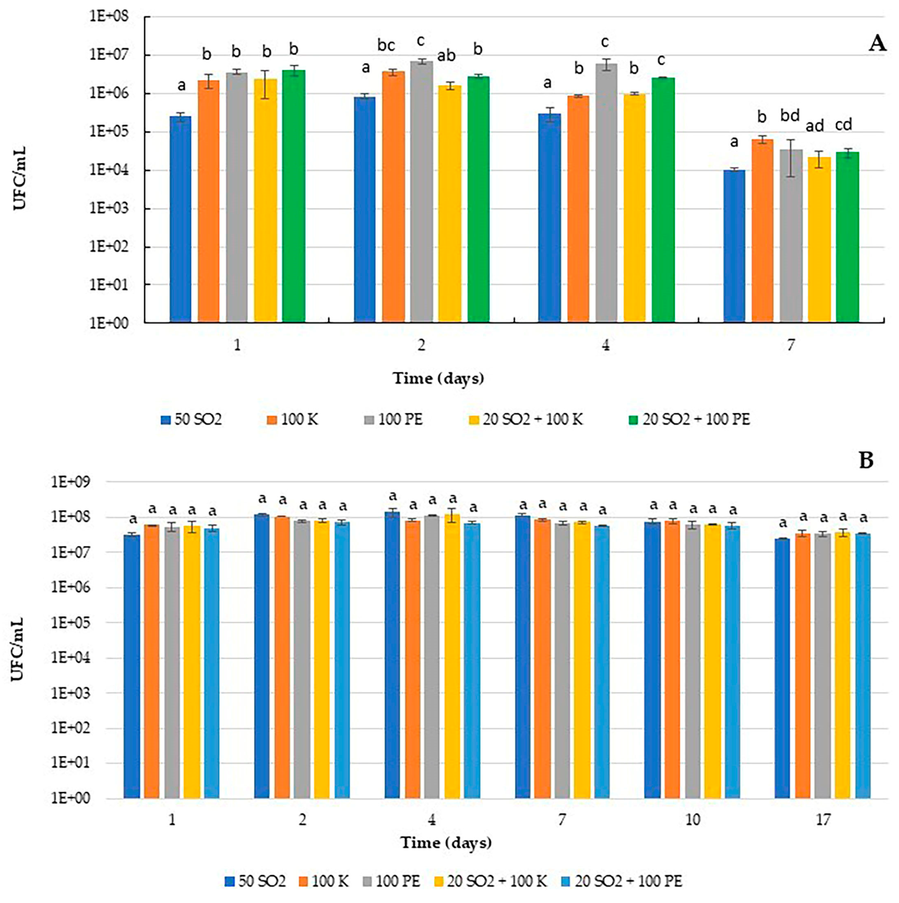
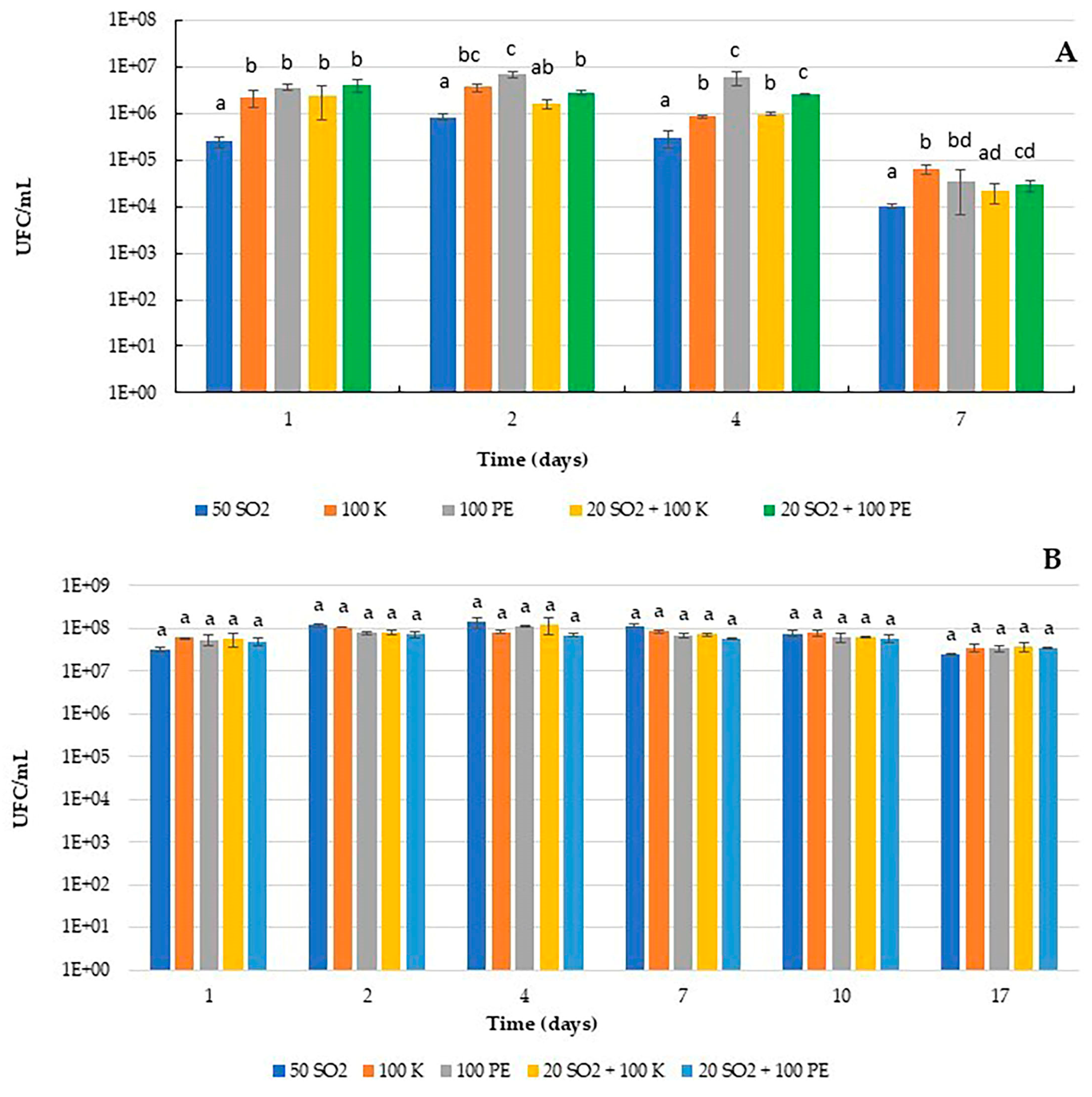
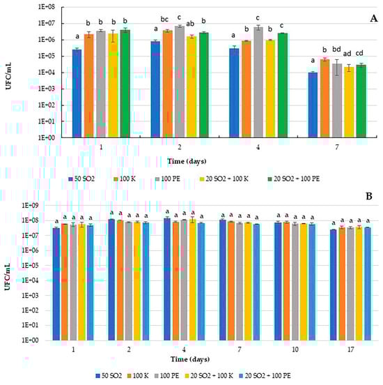
3.3. Effect of Antimicrobial Treatments During Inoculated Lab-Scale Fermentations
3.4. Analyses of Experimental Wines Obtained with Different Antimicrobial Treatments
4. Conclusions
Author Contributions
Funding
Data Availability Statement
Acknowledgments
Conflicts of Interest
References
- Mas, A.; Beltran, G.; Torija, M.J. Microbiological Control of Alcoholic Fermentation. Ecocycles 2020, 6, 57–72. [Google Scholar] [CrossRef]
- Guerrero, R.F.; Cantos-Villar, E. Demonstrating the Efficiency of Sulphur Dioxide Replacements in Wine: A Parameter Review. Trends Food Sci. Technol. 2015, 42, 27–43. [Google Scholar] [CrossRef]
- Ailer, Š.; Jakabová, S.; Benešová, L.; Ivanova-Petropulos, V. Wine Faults: State of Knowledge in Reductive Aromas, Oxidation and Atypical Aging, Prevention, and Correction Methods. Molecules 2022, 27, 3535. [Google Scholar] [CrossRef] [PubMed]
- Vally, H.; Misso, N.L.A.; Madan, V. Clinical Effects of Sulphite Additives. Clin. Exp. Allergy 2009, 39, 1643–1651. [Google Scholar] [CrossRef]
- Vally, H.; Misso, N.L.A. Adverse Reactions to the Sulphite Additives. Gastroenterol. Hepatol. Bed Bench 2012, 5, 16–23. [Google Scholar]
- Garcia-Fuentes, A.; Wirtz, S.; Vos, E.; Verhagen, H. Short Review of Sulphites as Food Additives. Eur. J. Nutr. Food Saf. 2015, 5, 113–120. [Google Scholar] [CrossRef]
- World Health Organization; Food and Agriculture Organization of the United Nations. Safety Evaluation of Certain Food Additives and Contaminants: Prepared by the Seventy-Third Meeting of the Joint FAO/WHO Expert Committee on Food Additives (JECFA), Geneva, Switzerland, 8–17 June 2010; World Health Organization: Geneva, Switzerland; Food and Agriculture Organization of the United Nations: Rome, Italy, 2011. [Google Scholar]
- Lisanti, M.T.; Blaiotta, G.; Nioi, C.; Moio, L. Alternative Methods to SO2 for Microbiological Stabilization of Wine. Compr. Rev. Food Sci. Food Saf. 2019, 18, 455–479. [Google Scholar] [CrossRef]
- Tedesco, F.; Siesto, G.; Pietrafesa, R.; Romano, P.; Salvia, R.; Scieuzo, C.; Falabella, P.; Capece, A. Chemical Methods for Microbiological Control of Winemaking: An Overview of Current and Future Applications. Beverages 2022, 8, 58. [Google Scholar] [CrossRef]
- Castro Marín, A.; Colangelo, D.; Lambri, M.; Riponi, C.; Chinnici, F. Relevance and Perspectives of the Use of Chitosan in Winemaking: A Review. Crit. Rev. Food Sci. Nutr. 2021, 61, 3450–3464. [Google Scholar] [CrossRef]
- Lárez Velásquez, C. Chitosan and Its Applications in Oenology. OENO One 2023, 57, 121–132. [Google Scholar] [CrossRef]
- Pellis, A.; Guebitz, G.M.; Nyanhongo, G.S. Chitosan: Sources, Processing and Modification Techniques. Gels 2022, 8, 393. [Google Scholar] [CrossRef] [PubMed]
- Harkin, C.; Mehlmer, N.; Woortman, D.V.; Brück, T.B.; Brück, W.M. Nutritional and Additive Uses of Chitin and Chitosan in the Food Industry. In Sustainable Agriculture Reviews 36: Chitin and Chitosan: Applications in Food, Agriculture, Pharmacy, Medicine and Wastewater Treatment; Springer: Berlin/Heidelberg, Germany, 2019; pp. 1–43. [Google Scholar]
- Triunfo, M.; Tafi, E.; Guarnieri, A.; Salvia, R.; Scieuzo, C.; Hahn, T.; Zibek, S.; Gagliardini, A.; Panariello, L.; Coltelli, M.B.; et al. Characterization of Chitin and Chitosan Derived from Hermetia illucens, a Further Step in a Circular Economy Process. Sci. Rep. 2022, 12, 6613. [Google Scholar] [CrossRef] [PubMed]
- OIV-ENO-338a-2009; International Code of Oenological Practices. Wines-Treatment Using Chitosan. International Organization of Vine and Wine (OIV): Paris, France, 2009.
- Chinnici, F.; Natali, N.; Riponi, C. Efficacy of Chitosan in Inhibiting the Oxidation of (+)-Catechin in White Wine Model Solutions. J. Agric. Food Chem. 2014, 62, 9868–9875. [Google Scholar] [CrossRef] [PubMed]
- Lopes, C.; Antelo, L.T.; Franco-Uría, A.; Alonso, A.A.; Pérez-Martín, R. Chitin Production from Crustacean Biomass: Sustainability Assessment of Chemical and Enzymatic Processes. J. Clean. Prod. 2018, 172, 4140–4151. [Google Scholar] [CrossRef]
- Amaral, L.; Silva, D.; Couto, M.; Nunes, C.; Rocha, S.M.; Coimbra, M.A.; Coimbra, A.; Moreira, A. Safety of Chitosan Processed Wine in Shrimp Allergic Patients. Ann. Allergy Asthma Immunol. 2016, 116, 462–463. [Google Scholar] [CrossRef]
- de Gier, S.; Verhoeckx, K. Insect (Food) Allergy and Allergens. Mol. Immunol. 2018, 100, 82–106. [Google Scholar] [CrossRef]
- van Huis, A. Potential of Insects as Food and Feed in Assuring Food Security. Annu. Rev. Entomol. 2013, 58, 563–583. [Google Scholar] [CrossRef]
- Scieuzo, C.; Franco, A.; Salvia, R.; Triunfo, M.; Addeo, N.F.; Vozzo, S.; Piccolo, G.; Bovera, F.; Ritieni, A.; Francia, A.D.; et al. Enhancement of Fruit Byproducts through Bioconversion by Hermetia illucens (Diptera: Stratiomyidae). Insect Sci. 2023, 30, 991–1010. [Google Scholar] [CrossRef]
- Guarnieri, A.; Triunfo, M.; Scieuzo, C.; Ianniciello, D.; Tafi, E.; Hahn, T.; Zibek, S.; Salvia, R.; De Bonis, A.; Falabella, P. Antimicrobial Properties of Chitosan from Different Developmental Stages of the Bioconverter Insect Hermetia illucens. Sci. Rep. 2022, 12, 8084. [Google Scholar] [CrossRef]
- Taillandier, P.; Joannis-Cassan, C.; Jentzer, J.-B.; Gautier, S.; Sieczkowski, N.; Granes, D.; Brandam, C. Effect of a Fungal Chitosan Preparation on Brettanomyces bruxellensis, a Wine Contaminant. J. Appl. Microbiol. 2015, 118, 123–131. [Google Scholar] [CrossRef]
- Portugal, C.; Sáenz, Y.; Rojo-Bezares, B.; Zarazaga, M.; Torres, C.; Cacho, J.; Ruiz-Larrea, F. Brettanomyces Susceptibility to Antimicrobial Agents Used in Winemaking: In Vitro and Practical Approaches. Eur. Food Res. Technol. 2014, 238, 641–652. [Google Scholar] [CrossRef]
- Petrova, B.; Cartwright, Z.M.; Edwards, C.G. Effectiveness of Chitosan Preparations against Brettanomyces bruxellensis Grown in Culture Media and Red Wines. OENO ONE 2016, 50, 49. [Google Scholar] [CrossRef]
- Nardi, T.; Vagnoli, P.; Minacci, A.; Gautier, S.; Sieczkowski, N. Evaluating the Impact of a Fungal-Origin Chitosan Preparation on Brettanomyces bruxellensis in the Context of Wine Aging. Wine Stud. 2014, 1, 4574. [Google Scholar] [CrossRef]
- Paulin, M.; Miot-Sertier, C.; Dutilh, L.; Brasselet, C.; Delattre, C.; Pierre, G.; Dubessay, P.; Michaud, P.; Doco, T.; Ballestra, P.; et al. Brettanomyces bruxellensis Displays Variable Susceptibility to Chitosan Treatment in Wine. Front. Microbiol. 2020, 11, 571067. [Google Scholar] [CrossRef] [PubMed]
- Ferreira, D.; Moreira, D.; Costa, E.M.; Silva, S.; Pintado, M.M.; Couto, J.A. The Antimicrobial Action of Chitosan Against the Wine Spoilage Yeast Brettanomyces/Dekkera. J. Chitin Chitosan Sci. 2013, 1, 240–245. [Google Scholar] [CrossRef]
- Miot-Sertier, C.; Paulin, M.; Dutilh, L.; Ballestra, P.; Albertin, W.; Masneuf-Pomarède, I.; Coulon, J.; Moine, V.; Vallet-Courbin, A.; Maupeu, J.; et al. Assessment of Chitosan Antimicrobial Effect on Wine Microbes. Int. J. Food Microbiol. 2022, 381, 109907. [Google Scholar] [CrossRef]
- Bağder Elmacı, S.; Gülgör, G.; Tokatlı, M.; Erten, H.; İşci, A.; Özçelik, F. Effectiveness of Chitosan against Wine-Related Microorganisms. Antonie Van. Leeuwenhoek 2015, 107, 675–686. [Google Scholar] [CrossRef]
- Capece, A.; Pietrafesa, R.; Siesto, G.; Romano, P. Biotechnological Approach Based on Selected Saccharomyces cerevisiae Starters for Reducing the Use of Sulfur Dioxide in Wine. Microorganisms 2020, 8, 738. [Google Scholar] [CrossRef]
- Siesto, G.; Pietrafesa, R.; Infantino, V.; Thanh, C.; Pappalardo, I.; Romano, P.; Capece, A. In Vitro Study of Probiotic, Antioxidant and Anti-Inflammatory Activities among Indigenous Saccharomyces cerevisiae Strains. Foods 2022, 11, 1342. [Google Scholar] [CrossRef]
- Legras, J.L.; Karst, F. Optimisation of Interdelta Analysis for Saccharomyces cerevisiae Strain Characterisation. FEMS Microbiol. Lett. 2003, 221, 249–255. [Google Scholar] [CrossRef]
- Capece, A.; Romaniello, R.; Siesto, G.; Romano, P. Diversity of Saccharomyces cerevisiae Yeasts Associated to Spontaneously Fermenting Grapes from an Italian “Heroic Vine-Growing Area”. Food Microbiol. 2012, 31, 159–166. [Google Scholar] [CrossRef] [PubMed]
- OIV-MA-AS2-07B; Chromatic Characteristics. Compendium of International Methods of Analysis. International Organization of Vine and Wine (OIV): Paris, France, 2009.
- Singleton, V.L.; Orthofer, R.; Lamuela-Raventós, R.M. Analysis of Total Phenols and Other Oxidation Substrates and Antioxidants by Means of Folin-Ciocalteu Reagent. In Methods in Enzymology; Elsevier: Amsterdam, The Netherlands, 1999; Volume 299, pp. 152–178. [Google Scholar]
- Sánchez-Moreno, C.; Larrauri, J.A.; Saura-Calixto, F. Free Radical Scavenging Capacity of Selected Red, Rosé and White Wines. J. Sci. Food Agric. 1999, 79, 1301–1304. [Google Scholar] [CrossRef]
- Capece, A.; Siesto, G.; Poeta, C.; Pietrafesa, R.; Romano, P. Indigenous Yeast Population from Georgian Aged Wines Produced by Traditional “Kakhetian” Method. Food Microbiol. 2013, 36, 447–455. [Google Scholar] [CrossRef] [PubMed]
- Hammer, Ø.; Harper, D.A.T. Past: Paleontological Statistics Software Package for Educaton and Data Anlysis. Palaeontol. Electron. 2001, 4, 1. [Google Scholar]
- Barbosa, C.; Lage, P.; Esteves, M.; Chambel, L.; Mendes-Faia, A.; Mendes-Ferreira, A. Molecular and Phenotypic Characterization of Metschnikowia pulcherrima Strains from Douro Wine Region. Fermentation 2018, 4, 8. [Google Scholar] [CrossRef]
- Jolly, N.P.; Augustyn, O.P.H.; Pretorius, I.S. The Effect of Non-Saccharomyces Yeasts on Fermentation and Wine Quality. S. Afr. J. Sci. 2003, 24, 55–62. [Google Scholar] [CrossRef]
- Comitini, F.; Gobbi, M.; Domizio, P.; Romani, C.; Lencioni, L.; Mannazzu, I.; Ciani, M. Selected Non-Saccharomyces Wine Yeasts in Controlled Multistarter Fermentations with Saccharomyces cerevisiae. Food Microbiol. 2011, 28, 873–882. [Google Scholar] [CrossRef]
- Picariello, L.; Rinaldi, A.; Blaiotta, G.; Moio, L.; Pirozzi, P.; Gambuti, A. Effectiveness of Chitosan as an Alternative to Sulfites in Red Wine Production. Eur. Food Res. Technol. 2020, 246, 1795–1804. [Google Scholar] [CrossRef]
- Domizio, P.; Romani, C.; Lencioni, L.; Comitini, F.; Gobbi, M.; Mannazzu, I.; Ciani, M. Outlining a Future for Non-Saccharomyces Yeasts: Selection of Putative Spoilage Wine Strains to Be Used in Association with Saccharomyces cerevisiae for Grape Juice Fermentation. Int. J. Food Microbiol. 2011, 147, 170–180. [Google Scholar] [CrossRef]
- Mendoza, L.M.; Vega-Lopez, G.A.; Fernández de Ullivarri, M.; Raya, R.R. Population and Oenological Characteristics of Non-Saccharomyces Yeasts Associated with Grapes of Northwestern Argentina. Arch. Microbiol. 2019, 201, 235–244. [Google Scholar] [CrossRef]
- Mančić, S.; Stamenković Stojanović, S.; Danilović, B.; Djordjević, N.; Malićanin, M.; Lazić, M.; Karabegović, I. Oenological Characterization of Native Hanseniaspora uvarum Strains. Fermentation 2022, 8, 92. [Google Scholar] [CrossRef]
- Guzzon, R.; Nardin, T.; Larcher, R. The Controversial Relationship between Chitosan and the Microorganisms Involved in the Production of Fermented Beverages. Eur. Food Res. Technol. 2022, 248, 751–765. [Google Scholar] [CrossRef]
- Stössel, P.; Leuba, J.L. Effect of Chitosan, Chitin and Some Aminosugars on Growth of Various Soilborne Phytopathogenic Fungi. J. Phytol. 1984, 111, 82–90. [Google Scholar] [CrossRef]
- Poznanski, P.; Hameed, A.; Orczyk, W. Chitosan and Chitosan Nanoparticles: Parameters Enhancing Antifungal Activity. Molecules 2023, 28, 2996. [Google Scholar] [CrossRef]
- Omura, Y.; Shigemoto, M.; Akiyama, T.; Saimoto, H.; Shigemasa, Y.; Nakamura, I.; Tsuchido, T. Antimicrobial Activity of Chitosan with Different Degrees of Acetylation and Molecular Weights. Biocontrol Sci. 2003, 8, 25–30. [Google Scholar] [CrossRef]
- Kong, M.; Chen, X.G.; Xing, K.; Park, H.J. Antimicrobial Properties of Chitosan and Mode of Action: A State of the Art Review. Int. J. Food Microbiol. 2010, 144, 51–63. [Google Scholar] [CrossRef]
- Hosseinnejad, M.; Jafari, S.M. Evaluation of Different Factors Affecting Antimicrobial Properties of Chitosan. Int. J. Biol. Macromol. 2016, 85, 467–475. [Google Scholar] [CrossRef]
- Kisko, G.; Sharp, R.; Roller, S. Chitosan Inactivates Spoilage Yeasts but Enhances Survival of Escherichia coli O157:H7 in Apple Juice. J. Appl. Microbiol. 2005, 98, 872–880. [Google Scholar] [CrossRef]
- Roller, S.; Covill, N. The Antifungal Properties of Chitosan in Laboratory Media and Apple Juice. Int. J. Food Microbiol. 1999, 47, 67–77. [Google Scholar] [CrossRef]
- Palmeira-de-Oliveira, A.; Passarinha, L.A.; Gaspar, C.; Palmeira-de-Oliveira, R.; Sarmento, B.; Martinez-de-Oliveira, J.; Pina-Vaz, C.; Rodrigues, A.G.; Queiroz, J.A. The Relationship between Candida Species Charge Density and Chitosan Activity Evaluated by Ion-Exchange Chromatography. J. Chromatog. B 2011, 879, 3749–3751. [Google Scholar] [CrossRef]
- Seyfarth, F.; Schliemann, S.; Elsner, P.; Hipler, U. Antifungal Effect of High- and Low-Molecular-Weight Chitosan Hydrochloride, Carboxymethyl Chitosan, Chitosan Oligosaccharide and N-Acetyl-d-Glucosamine against Candida albicans, Candida krusei and Candida glabrata. Int. J. Pharm. 2007, 353, 139–148. [Google Scholar] [CrossRef] [PubMed]
- Liu, H.; Du, Y.; Wang, X.; Sun, L. Chitosan Kills Bacteria through Cell Membrane Damage. Int. J. Food Microbiol. 2004, 95, 147–155. [Google Scholar] [CrossRef] [PubMed]
- Rabea, E.I.; Badawy, M.E.-T.; Stevens, C.V.; Smagghe, G.; Steurbaut, W. Chitosan as Antimicrobial Agent: Applications and Mode of Action. Biomacromolecules 2003, 4, 1457–1465. [Google Scholar] [CrossRef] [PubMed]
- Formosa, C.; Schiavone, M.; Martin-Yken, H.; François, J.M.; Duval, R.E.; Dague, E. Nanoscale Effects of Caspofungin against Two Yeast Species, Saccharomyces cerevisiae and Candida albicans. Antimicrob. Agents Chemother. 2013, 57, 3498–3506. [Google Scholar] [CrossRef]
- Nguyen, T.H.; Fleet, G.H.; Rogers, P.L. Composition of the Cell Walls of Several Yeast Species. Appl. Microbiol. Biotechnol. 1998, 50, 206–212. [Google Scholar] [CrossRef]
- Castro-Marín, A.; Buglia, A.G.; Riponi, C.; Chinnici, F. Volatile and Fixed Composition of Sulphite-Free White Wines Obtained after Fermentation in the Presence of Chitosan. LWT 2018, 93, 174–180. [Google Scholar] [CrossRef]
- Gómez-Rivas, L.; Escudero-Abarca, B.I.; Aguilar-Uscanga, M.G.; Hayward-Jones, P.M.; Mendoza, P.; Ramírez, M. Selective Antimicrobial Action of Chitosan against Spoilage Yeasts in Mixed Culture Fermentations. J. Ind. Microbiol. Biotechnol. 2004, 31, 16–22. [Google Scholar] [CrossRef]
- Sonni, F.; Cejudo Bastante, M.J.; Chinnici, F.; Natali, N.; Riponi, C. Replacement of Sulfur Dioxide by Lysozyme and Oenological Tannins during Fermentation: Influence on Volatile Composition of White Wines. J. Sci. Food Agric. 2009, 89, 688–696. [Google Scholar] [CrossRef]
- Herraiz, T.; Martin-Alvarez, P.J.; Reglero, G.; Herraiz, M.; Cabezudo, M.D. Differences between Wines Fermented with and without Sulphur Dioxide Using Various Selected Yeasts. J. Sci. Food Agric. 1989, 49, 249–258. [Google Scholar] [CrossRef]
- Spagna, G.; Barbagallo, R.N.; Pifferi, P.G. Fining Treatments of White Wines by Means of Polymeric Adjuvants for Their Stabilization against Browning. J. Agric. Food Chem. 2000, 48, 4619–4627. [Google Scholar] [CrossRef]
- Filipe-Ribeiro, L.; Cosme, F.; Nunes, F.M. Reducing the Negative Sensory Impact of Volatile Phenols in Red Wine with Different Chitosans: Effect of Structure on Efficiency. Food Chem. 2018, 242, 591–600. [Google Scholar] [CrossRef] [PubMed]
- Popa, M.-I.; Aelenei, N.; Popa, V.I.; Andrei, D. Study of the Interactions between Polyphenolic Compounds and Chitosan. React. Funct. Polym. 2000, 45, 35–43. [Google Scholar] [CrossRef]
- Mine Kurtbay, H.; Bekçi, Z.; Merdivan, M.; Yurdakoç, K. Reduction of Ochratoxin A Levels in Red Wine by Bentonite, Modified Bentonites, and Chitosan. J. Agric. Food Chem. 2008, 56, 2541–2545. [Google Scholar] [CrossRef] [PubMed]




| Species | Strain Code | Origin |
|---|---|---|
| Metschnikowia pulcherrima | AII-136 | Bees |
| 4-11; 4R1 | Grapes | |
| Lachancea thermotolerans | AII-134 | Bees |
| 4-14 | Grapes | |
| Pichia kluyveri | AII-110 | Bees |
| Pichia kudriavzevii | AII-177 | Bees |
| 4-16 | Grapes | |
| Pichia anomala | AII-186 | Bees |
| Candida zemplinina | TSE | Grapes |
| FCB6 | Fruit | |
| Hanseniaspora uvarum | 1P3; AP1 | Grapes |
| Hanseniaspora guilliermondii | 2R9; TM5-2 | Grapes |
| Hanseniaspora osmophila | ND1 | Grapes |
| Torulaspora delbrueckii | 425; LC2-1 | Grapes |
| Zygosaccharomyces bailii | CR1; CR2 | Grapes |
| Species | Strain Code | 50 mg/L SO2 | 100 mg/L Chitosan | 20 mg/L SO2 + 100 mg/L Chitosan |
|---|---|---|---|---|
| M. pulcherrima | AII-136 | 17.91 ± 0.88 | 18.68 ± 1.02 | 16.22 ± 1.24 |
| 4-11 | 74.92 ± 3.40 a | 19.41 ± 0.08 b | 44.76 ± 0.96 c | |
| 4R1 | 75.45 ± 3.31 a | 37.13 ± 3.74 b | 29.29 ± 1.02 b | |
| Z. bailii | CR-1 | 92.40 ± 3.22 a | 83.16 ± 1.55 b | 80.83 ± 0.98 b |
| CR-2 | 98.71 ± 1.83 a | 90.32 ± 2.38 b | 89.51 ± 1.54 b | |
| T. delbrueckii | 425 | 72.54 ± 2.25 a | 48.16 ± 1.44 b | 48.49 ± 2.45 b |
| LC2-1 | 93.81 ± 1.37 a | 74.49 ± 1.61 b | 96.49 ± 2.99 a | |
| H. uvarum | AP1 | 0.10 ± 0.04 a | 81.12 ± 0.71 b | 16.71 ± 2.14 c |
| 1P3 | 76.91 ± 3.08 a | 99.95 ± 0.11 b | 99.45 ± 0.78 b | |
| H. guilliermondii | 2R9 | 23.30 ± 0.42 a | 99.93 ± 0.11 b | 86.20 ± 0.88 c |
| TM5-2 | 6.36 ± 0.65 a | 59.15 ± 2.38 b | 60.41 ± 2.36 b | |
| H. osmophila | ND1 | 56.34 ± 2.43 a | 81.99 ± 3.71 b | 73.32 ± 4.69 b |
| L. thermotolerans | AII-134 | 22.31 ± 2.24 a | 82.63 ± 3.35 b | 59.43 ± 1.46 c |
| 4-14 | 41.94 ± 1.82 a | 80.15 ± 2.03 b | 58.39 ± 2.97 c | |
| C. zemplinina | TSE | 90.50 ± 5.31 | 99.88 ± 0.17 | 91.67 ± 1.89 |
| FCB6 | 52.20 ± 3.05 a | 99.40 ± 0.71 b | 78.88 ± 3.32 c | |
| P. kudriavzevii | AII-177 | 74.49 ± 1.91 a | 87.42 ± 2.75 b | 75.48 ± 1.28 a |
| 4-16 | 61.62 ± 3.65 a | 85.02 ± 3.14 b | 79.09 ± 1.99 b | |
| P. anomala | AII-186 | 76.02 ± 3.11 | 83.23 ± 0.29 | 84.01 ± 1.28 |
| 50 mg/L SO2 | 100 mg/L Commercial Chitosan | 100 mg/L Insect-Based Chitosan | 20 mg/L SO2 + 100 mg/L Commercial Chitosan | 20 mg/L SO2 + 100 mg/L Insect-Based Chitosan | |
|---|---|---|---|---|---|
| Ethanol | 15.31 ± 0.04 a | 15.18 ± 0.10 ab | 14.98 ± 0.05 b | 15.10 ± 0.08 ab | 15.12 ± 0.04 ab |
| Glucose + fructose | 0.30 ± 0.06 a | 0.56 ± 0.04 b | 0.45 ± 0.01 ab | 0.40 ± 0.07 ab | 0.50 ± 0.04 b |
| Total acidity | 9.35 ± 0.14 | 8.85 ± 0.10 | 9.03 ± 0.11 | 9.02 ± 0.13 | 8.85 ± 0.21 |
| Volatile acidity | 0.41 ± 0.02 a | 0.44 ± 0.02 a | 0.65 ± 0.01 b | 0.44 ± 0.06 ac | 0.59 ± 0.05 bc |
| Malic acid | 1.37 ± 0.01 a | 1.35 ± 0.01 a | 1.23 ± 0.06 b | 1.30 ± 0.01 ab | 1.21 ± 0.00 b |
| Acetaldehyde | 28.23 ± 0.40 | 30.48 ± 3.92 | 29.24 ± 1.30 | 26.40 ± 1.11 | 26.92 ± 0.34 |
| Ethyl acetate | 29.78 ± 0.51 a | 47.08 ± 2.07 bc | 49.94 ± 4.28 b | 38.51 ± 3.30 ac | 36.90 ± 1.38 ac |
| n-Propanol | 14.28 ± 0.04 a | 32.35 ± 2.09 b | 28.31 ± 1.85 bc | 24.33 ± 0.12 cd | 22.09 ± 0.37 d |
| Isobutanol | 27.74 ± 0.38 a | 26.23 ± 1.89 ab | 31.53 ± 0.33 ac | 27.00 ± 0.31 a | 30.95 ± 1.23 ac |
| n-butanol | 12.44 ± 0.16 | 11.95 ± 1.68 | 11.58 ± 0.39 | 11.95 ± 0.21 | 12.19 ± 0.48 |
| Acetoin | 6.02 ± 0.55 | 5.80 ± 0.63 | 4.70 ± 0.01 | 4.84 ± 0.28 | 4.83 ± 0.12 |
| 2-methyl-1-butanol | 84.04 ± 4.01 a | 85.14 ± 0.74 a | 71.91 ± 2.93 b | 81.02 ± 0.32 ab | 71.35 ± 2.63 b |
| 3-methyl-1-butanol | 221.71 ± 2.08 a | 207.26 ± 4.00 ab | 196.66 ± 6.69 b | 209.05 ± 1.62 ab | 195.30 ± 1.91 b |
| Total polyphenols | 1862.27 ± 48.82 a | 1446.58 ± 25.05 b | 1659.48 ± 1.28 c | 1703.28 ± 37.97 cd | 1790.10 ± 6.90 ad |
| % DPPH reduction | 40.48 ± 0.81 a | 33.66 ± 0.67 b | 36.53 ± 0.67 bc | 38.74 ± 1.60 ac | 40.04 ± 0.02 ac |
Disclaimer/Publisher’s Note: The statements, opinions and data contained in all publications are solely those of the individual author(s) and contributor(s) and not of MDPI and/or the editor(s). MDPI and/or the editor(s) disclaim responsibility for any injury to people or property resulting from any ideas, methods, instructions or products referred to in the content. |
© 2024 by the authors. Licensee MDPI, Basel, Switzerland. This article is an open access article distributed under the terms and conditions of the Creative Commons Attribution (CC BY) license (https://creativecommons.org/licenses/by/4.0/).
Share and Cite
Tedesco, F.; Pietrafesa, R.; Siesto, G.; Scieuzo, C.; Salvia, R.; Falabella, P.; Capece, A. Antimicrobial Activity of Chitosan from Different Sources Against Non-Saccharomyces Wine Yeasts as a Tool for Producing Low-Sulphite Wine. Beverages 2024, 10, 105. https://doi.org/10.3390/beverages10040105
Tedesco F, Pietrafesa R, Siesto G, Scieuzo C, Salvia R, Falabella P, Capece A. Antimicrobial Activity of Chitosan from Different Sources Against Non-Saccharomyces Wine Yeasts as a Tool for Producing Low-Sulphite Wine. Beverages. 2024; 10(4):105. https://doi.org/10.3390/beverages10040105
Chicago/Turabian StyleTedesco, Francesco, Rocchina Pietrafesa, Gabriella Siesto, Carmen Scieuzo, Rosanna Salvia, Patrizia Falabella, and Angela Capece. 2024. "Antimicrobial Activity of Chitosan from Different Sources Against Non-Saccharomyces Wine Yeasts as a Tool for Producing Low-Sulphite Wine" Beverages 10, no. 4: 105. https://doi.org/10.3390/beverages10040105
APA StyleTedesco, F., Pietrafesa, R., Siesto, G., Scieuzo, C., Salvia, R., Falabella, P., & Capece, A. (2024). Antimicrobial Activity of Chitosan from Different Sources Against Non-Saccharomyces Wine Yeasts as a Tool for Producing Low-Sulphite Wine. Beverages, 10(4), 105. https://doi.org/10.3390/beverages10040105

