Influences of Fermentation Conditions on the Chemical Composition of Red Dragon Fruit (Hylocereus polyrhizus) Wine
Abstract
1. Introduction
2. Materials and Methods
2.1. Materials
2.2. Experimental Methods
2.2.1. Sample Preparation
Yeast Strains and Fermentation Setup
2.2.2. Chemicals and Equipment
2.2.3. Methods
- V: Volume of the sample used for titration (mL)
- V2: Volume of 0.1 N NaOH consumed in titration (mL)
- K: The amount of acid (in grams) equivalent to 1 mL of 0.1 N NaOH. For milk and fermented foods, the result is expressed as lactic acid, K = 0.0090K = 0.0090K = 0.0090
- A-is the optical absorbance at wavelength 660 nm [32].
- Absorbance of the sample at pH 1.0 measured at a wavelength of 520 nm;
- Absorbance of the sample at pH 1.0 measured at a wavelength of 700 nm;
- Absorbance of the sample at pH 4.5 measured at a wavelength of 520 nm;
- Absorbance of the sample at pH 4.5 measured at a wavelength of 700 nm.
2.2.4. Optimization of Fermentation Parameters
- (1)
- Fermentation Tank: A temperature-controlled vessel where the fermentation takes place. The tank is equipped with an agitation system to ensure continuous mixing.
- (2)
- Agitation System: Ensures the homogeneity of the fermenting mixture, preventing sedimentation of yeast cells and facilitating efficient fermentation.
- (3)
- System Monitor: Includes sensors that continuously monitor critical parameters such as pH, temperature, and oxygen levels to ensure optimal fermentation conditions.
- (4)
- Pump: Used to introduce the mixture of dragon fruit juice, enzyme, and yeast into the fermentation tank.
- (5)
- Airlock: Maintains anaerobic conditions by preventing the ingress of external air; essential for anaerobic fermentation.
- (6)
- Sensors Probe: Measures the fermentation parameters, ensuring real-time monitoring and adjustments to maintain ideal conditions.
- (7)
- Sample Outlet: Located at the bottom of the tank, this outlet allows for the periodic collection of samples for analysis to track the progress and quality of the fermentation process.
2.2.5. Analytical Methods
3. Results
3.1. Comparative Nutritional and Phytochemical Profiles of Dragon Fruit Varieties
3.2. Influence of Fermentation Time
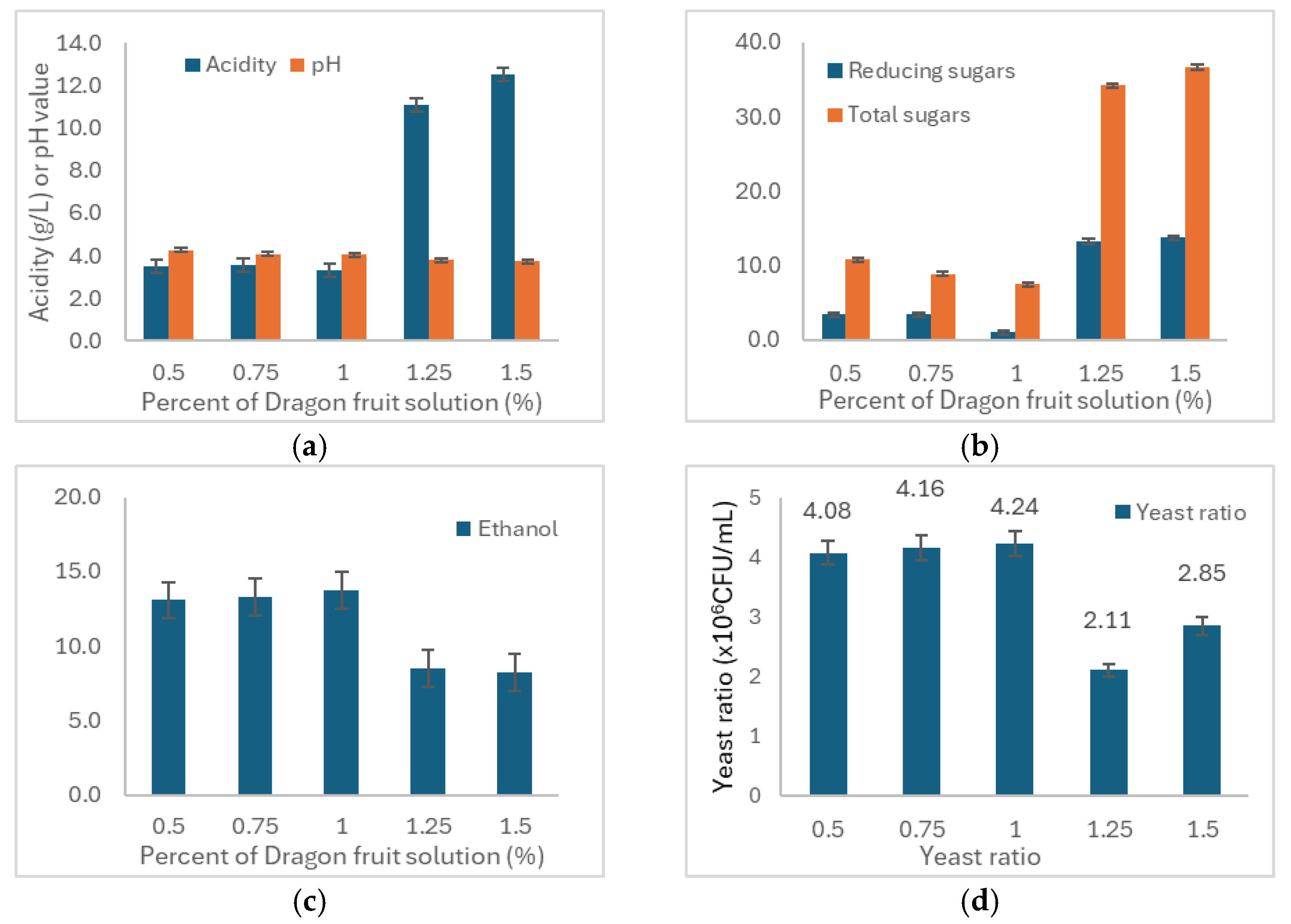
3.3. Effects of Dragon Fruit Solution Concentration on Fermentation Dynamics
3.4. Optimization of Yeast Strain and Concentration
3.5. Factors Influencing Sensory Evaluation
3.6. Impact of Fermentation on the Biochemical and Nutritional Properties of H. polyrhizus
4. Discussion
5. Conclusions
Author Contributions
Funding
Data Availability Statement
Acknowledgments
Conflicts of Interest
References
- Golino, D.A. Trade in grapevine plant materials: Local, national and worldwide perspectives. Am. J. Enol. Vitic. 2000, 51, 216–221. [Google Scholar]
- Jiang, X.; Lu, Y.; Liu, S.Q. Effects of pectinase treatment on the physicochemical and oenological properties of red dragon fruit wine fermented with Torulaspora delbrueckii. LWT 2020, 132, 109929. [Google Scholar] [CrossRef]
- Thang, N.; Thai, P.M.; Dat, V.H.; Van Ngoc, V.T. Agricultural exports from Vietnam to China. Agric. In Trade between China and the Greater Mekong Subregion Countries: A Value Chain Analysis; Menon, J., Roth, V., Eds.; ISEAS Publishing: Singapore, 2022; pp. 256–267. [Google Scholar]
- Chakraborty, K.; Saha, J.; Raychaudhuri, U.; Chakraborty, R. Tropical fruit wines: A mini review. Nat. Prod. 2014, 10, 219–228. [Google Scholar]
- Yu, Z.H.; Gao, L.; Liu, Y.; Tian, Y.; Zhao, L.; Sun, X.; Wang, L.; Liu, M.; Yu, L. Winemaking characteristics of red-fleshed dragon fruit from three locations in Guizhou Province, China. Food Sci. Nutr. 2021, 9, 2508–2516. [Google Scholar] [CrossRef]
- Tenore, G.C.; Novellino, E.; Basile, A. Nutraceutical potential and antioxidant benefits of red pitaya (Hylocereus polyrhizus) extracts. J. Funct. Foods 2012, 4, 129–136. [Google Scholar] [CrossRef]
- German, J.B.; Walzem, R.L. The health benefits of wine. Annu. Rev. Nutr. 2000, 20, 561–593. [Google Scholar] [CrossRef] [PubMed]
- Sudiarta, I.W.; Saputra, I.W.R.; Singapurwa, N.M.A.S.; Candra, I.P.; Semariyani, A.A.M. Ethanol and methanol levels of red dragon fruit wine (Hylocereus costaricensis) with the treatment of sugar and fermentation time. J. Phys. Conf. Ser. 2021, 1869, 012032. [Google Scholar] [CrossRef]
- Foong, J.H.; Hon, W.M.; Ho, C.W. Bioactive compounds determination in fermented liquid dragon fruit (Hylocereus polyrhizus). Borneo Sci. 2012, 31, 37–56. [Google Scholar]
- Wang, X.; Liu, X.; Long, J.; Shen, K.; Qiu, S.; Wang, Y.; Huang, Y. Isolation, screening, and application of aroma-producing yeast for red dragon fruit wine. Food Biosci. 2024, 59, 103878. [Google Scholar] [CrossRef]
- Huan, P.T.; Hien, N.M.; Anh, N.H.T. Optimization of alcoholic fermentation of dragon fruit juice using response surface methodology. Food Res. 2020, 4, 1529–1536. [Google Scholar] [CrossRef]
- Guigou, M.; Lareo, C.; Pérez, L.V.; Lluberas, M.E.; Vázquez, D.; Ferrari, M.D. Bioethanol production from sweet sorghum: Evaluation of post-harvest treatments on sugar extraction and fermentation. Biomass Bioenergy 2011, 35, 3058–3062. [Google Scholar] [CrossRef]
- Hocking, M.B.; Hocking, M.B. Fermentation processes. Mod. Chem. Technol. Emiss. Control 1985, 338–377. [Google Scholar]
- Silcox, H.E.; Lee, S.B. Fermentation. Ind. Eng. Chem. 1948, 40, 1602–1608. [Google Scholar] [CrossRef]
- Thommes, K.; Strezov, V. Fermentation of biomass. Biomass Process. Technol. 2014, 257, 52. [Google Scholar]
- Minh, N.P.; Nhan, N.P.T.; Tha, D.T.; Thuy, L.K.; Khai, L.Q.; Tu, L.N. Different Aspects Affecting to Production of Dragon Fruit (Hylocereus undatus) Nectar. J. Pharm. Sci. Res. 2019, 11, 1040–1043. [Google Scholar]
- Ha, H.P.; Trang, V.T.; Nghia, N.C.; Son, V.H. Development of Freeze-dried red dragon fruit yoghurt containing probiotics. Red 2021, 31, 14–18. [Google Scholar]
- Luu, T.T.H.; Le, T.L.; Huynh, N.; Quintela-Alonso, P. Dragon fruit: A review of health benefits and nutrients and its sustainable development under climate changes in Vietnam. Czech J. Food Sci. 2021, 39, 71–94. [Google Scholar] [CrossRef]
- Le, P.T. Research processing process of fermented juice from red dragon fruit (Hylocereus polyrhizus): Research processing process of fermented juice from red dragon fruit (Hylocereus polyrhizus). JSTGU 2021, 1, 20–30. [Google Scholar]
- Mai, H.T.Q.; Pham, V.T.; Do, V.L.; Phuc, T.B.; Truc, T.T.; Ngan, T.T.K. Production process of a carbonated drink from red flesh dragon fruit (Hylocereus polyrhizus). Mater. Sci. Forum 2022, 1048, 514–523. [Google Scholar] [CrossRef]
- Vietnam National Technical Regulation TCVN 7523:2014; Specifications and Test Methods for Dragon Fruit. Vietnam National Technical Regulation: Hanoi, Vietnam, 2014.
- Mussa, S.B.; Sharaa, I.E. Analysis of vitamin C (ascorbic acid) contents packed fruit juice by UV-spectrophotometry and redox titration methods. IOSR J. Appl. Phys. 2014, 6, 46–52. [Google Scholar] [CrossRef]
- Sánchez-Rangel, J.C.; Benavides, J.; Heredia, J.B.; Cisneros-Zevallos, L.; Jacobo-Velázquez, D.A. The Folin–Ciocalteu assay revisited: Improvement of its specificity for total phenolic content determination. Anal. Methods 2013, 5, 5990–5999. [Google Scholar] [CrossRef]
- Minh, T.N.; Xuan, T.D.; Van, T.M.; Andriana, Y.; Viet, T.D.; Khanh, T.D.; Tran, H.D. Phytochemical analysis and potential biological activities of essential oil from rice leaf. Molecules 2019, 24, 546. [Google Scholar] [CrossRef] [PubMed]
- Rathod, B.B.; Murthy, S.; Bandyopadhyay, S. Is this solution pink enough? A smartphone tutor to resolve the eternal question in phenolphthalein-based titration. J. Chem. Educ. 2019, 96, 486–494. [Google Scholar] [CrossRef]
- Teixeira, R.S.S.; da Silva, A.S.A.; Ferreira-Leitão, V.S.; da Silva Bon, E.P. Amino acids interference on the quantification of reducing sugars by the 3,5-dinitrosalicylic acid assay mislead carbohydrase activity measurements. Carbohydr. Res. 2012, 363, 33–37. [Google Scholar] [CrossRef] [PubMed]
- Majstorovic, D.M.; Zivkovic, E.M.; Kijevčanin, M.L. Density, viscosity, and refractive index data for a ternary system of wine congeners (ethyl butyrate + diethyl succinate + isobutanol) in the temperature range from 288.15 to 323.15 K and at atmospheric pressure. J. Chem. Eng. Data 2017, 62, 275–291. [Google Scholar] [CrossRef]
- Martyniak, B.; Bolton, J.; Kuksin, D.; Shahin, S.M.; Chan, L.L.Y. A novel concentration and viability detection method for Brettanomyces using the Cellometer image cytometry. J. Ind. Microbiol. Biotechnol. 2017, 44, 119–128. [Google Scholar] [CrossRef] [PubMed]
- Urraca, R.; Sanz-Garcia, A.; Tardaguila, J.; Diago, M.P. Estimation of total soluble solids in grape berries using a hand-held NIR spectrometer under field conditions. J. Sci. Food Agric. 2016, 96, 3007–3016. [Google Scholar] [CrossRef] [PubMed]
- Hu, Y.B.; Chen, L.C.; Mou, L. Quality control of potentiometric pH measurements with a combination of NBS and Tris buffers at salinities from 20 to 40 and pH from 7.2 to 8.6. J. Oceanogr. 2022, 78, 467–473. [Google Scholar] [CrossRef]
- Başkan, K.S.; Tütem, E.; Akyüz, E.; Özen, S.; Apak, R. Spectrophotometric total reducing sugars assay based on cupric reduction. Talanta 2016, 147, 162–168. [Google Scholar] [CrossRef]
- Pettinati, J.D.; Swift, C.E.; Cohen, E.H. Moisture and fat analysis of meat and meat products: A review and comparison of methods. J. Assoc. Off. Anal. Chem. 1973, 56, 544–561. [Google Scholar] [CrossRef]
- Hurtado, N.H.; Morales, A.L.; González-Miret, M.L.; Escudero-Gilete, M.L.; Heredia, F.J. Colour, pH stability and antioxidant activity of anthocyanin rutinosides isolated from tamarillo fruit (Solanum betaceum Cav.). Food Chem. 2009, 117, 88–93. [Google Scholar] [CrossRef]
- Choo, K.Y.; Kho, C.; Ong, Y.Y.; Thoo, Y.Y.; Lim, L.H.; Tan, C.P.; Ho, C.W. Fermentation of red dragon fruit (Hylocereus polyrhizus) for betalains concentration. Int. Food Res. J. 2018, 25, 2539–2546. [Google Scholar]
- Lourith, N.; Kanlayavattanakul, M. Antioxidant and stability of dragon fruit peel colour. Agro. Food Ind. Hi Tech 2013, 24, 56–58. [Google Scholar]
- Vidal, J.C.; Bonel, L.; Ezquerra, A.; Hernández, S.; Bertolín, J.R.; Cubel, C.; Castillo, J.R. Electrochemical affinity biosensors for detection of mycotoxins: A review. Biosens. Bioelectron. 2013, 49, 146–158. [Google Scholar] [CrossRef] [PubMed]
- Villamor, R.R.; Evans, M.A.; Ross, C.F. Effects of ethanol, tannin, and fructose concentrations on sensory properties of model red wines. Am. J. Enol. Vitic. 2013, 64, 342–348. [Google Scholar] [CrossRef]
- Alarcón-Flores, M.I.; Romero-González, R.; Vidal, J.L.M.; Frenich, A.G. Multiclass determination of phytochemicals in vegetables and fruits by ultra high performance liquid chromatography coupled to tandem mass spectrometry. Food Chem. 2013, 141, 1120–1129. [Google Scholar] [CrossRef]
- Millon, M. Wine: A Global History; Reaktion Books; The University of Chicago Press: Chicago, IL, USA, 2013. [Google Scholar]
- Hu, L.; Liu, R.; Wang, X.; Zhang, X. The sensory quality improvement of citrus wine through co-fermentations with selected non-Saccharomyces yeast strains and Saccharomyces cerevisiae. Microorganisms 2020, 8, 323. [Google Scholar] [CrossRef]
- Wakchaure, G.C.; Kumar, S.; Meena, K.K.; Rane, J.; Pathak, H. Dragon fruit cultivation in India: Scope, constraints and policy issues. Tech. Bull. 2021, 27, 47. [Google Scholar]
- Tran, D.H.; Yen, C.R.; Chen, Y.K.H.; Le, T.K.O. Dragon Fruit Production and Consumption in Vietnam; Agricultural Experimental Institute, Fengshan Tropical Horticulture Experimental Branch, National Pingtung University of Science and Technology, Department of Agricultural Production: Kaohsiung, Taiwan, 2015; pp. 15–22. [Google Scholar]
- Longhi, S.J.; Martín, M.C.; Fontana, A.; de Ambrosini, V.I.M. Different approaches to supplement polysaccharide-degrading enzymes in vinification: Effects on color extraction, phenolic composition, antioxidant activity and sensory profiles of Malbec wines. Food Res. Int. 2022, 157, 111447. [Google Scholar] [CrossRef]
- Berovič, M.; Mavri, J.; Wondra, M.; Košmerl, T.; Bavčar, D. Influence of temperature and carbon dioxide on fermentation of cabernet sauvignon must. Food Technol. Biotechnol. 2003, 41, 353–359. [Google Scholar]
- Jiang, X.; Lu, Y.; Liu, S.Q. Effects of Different Yeasts on Physicochemical and Oenological Properties of Red Dragon Fruit Wine Fermented with Saccharomyces cerevisiae, Torulaspora delbrueckii and Lachancea thermotolerans. Microorganisms 2020, 8, 315. [Google Scholar] [CrossRef]
- Niyomvong, N.; Sritawan, R.; Keabpimai, J.; Trakunjae, C.; Boondaeng, A. Comparison of the Chemical Properties of Vinegar Obtained via One-Step Fermentation and Sequential Fermentation from Dragon Fruit and Pineapple. Beverages 2022, 8, 74. [Google Scholar] [CrossRef]
- Torija, M.J.; Rozes, N.; Poblet, M.; Guillamón, J.M.; Mas, A. Effects of fermentation temperature on the strain population of Saccharomyces cerevisiae. Int. J. Food Microbiol. 2003, 80, 47–53. [Google Scholar] [CrossRef]
- Belda, I.; Navascués, E.; Marquina, D.; Santos, A.; Calderon, F.; Benito, S. Dynamic analysis of physiological properties of Torulaspora delbrueckii in wine fermentations and its incidence on wine quality. Appl. Microbiol. Biotechnol. 2015, 99, 1911–1922. [Google Scholar] [CrossRef] [PubMed]
- Perrone, B.; Giacosa, S.; Rolle, L.; Cocolin, L.; Rantsiou, K. Investigation of the dominance behavior of Saccharomyces cerevisiae strains during wine fermentation. Int. J. Food Microbiol. 2013, 165, 156–162. [Google Scholar] [CrossRef]
- Querol, A.; Barrio, E.; Ramón, D. Population dynamics of natural Saccharomyces strains during wine fermentation. Int. J. Food Microbiol. 1994, 21, 315–323. [Google Scholar] [CrossRef]
- Mouret, J.R.; Cadière, A.; Aguera, E.; Rollero, S.; Ortiz-Julien, A.; Sablayrolles, J.M.; Dequin, S. Dynamics and quantitative analysis of the synthesis of fermentative aromas by an evolved wine strain of Saccharomyces cerevisiae. Yeast 2015, 32, 257–269. [Google Scholar] [PubMed]
- Gueddari-Aourir, A.; García-Alaminos, A.; García-Yuste, S.; Alonso-Moreno, C.; Canales-Vázquez, J.; Zafrilla, J.E. The carbon footprint balance of a real-case wine fermentation CO2 capture and utilization strategy. Renew. Sustain. Energy Rev. 2022, 157, 112058. [Google Scholar] [CrossRef]
- Ali, A.; Sharma, N.; Vishwakarma, P.K.; Chavda, D. Exploring Dragon Fruit in India: From Taxonomy to Nutritional Benefits and Sustainable Cultivation Practices. Appl. Fruit Sci. 2024, 1, 1–15. [Google Scholar]
- Jalgaonkar, K.; Mahawar, M.K.; Bibwe, B.; Kannaujia, P. Postharvest profile, processing and waste utilization of dragon fruit (Hylocereus spp.): A review. Food Rev. Int. 2022, 38, 733–759. [Google Scholar] [CrossRef]
- Muzaifa, M.; Rohaya, S.; Nilda, C.; Harahap, K.R. Kombucha fermentation from cascara with addition of red dragon fruit (Hylocereus polyrhizus): Analysis of alcohol content and total soluble solid. In Proceedings of the International Conference on Tropical Agrifood, Feed and Fuel (ICTAFF 2021), Balikpapan, Indonesia 7 September 2021; Atlantis Press: Amsterdam, The Netherlands, 2022; pp. 125–129. [Google Scholar]
- Wong, Y.M.; Siow, L.F. Effects of heat, pH, antioxidant, agitation and light on betacyanin stability using red-fleshed dragon fruit (Hylocereus polyrhizus) juice and concentrate as models. J. Food Sci. Technol. 2015, 52, 3086–3092. [Google Scholar] [CrossRef] [PubMed]
- Panjaitan, R.G.P. Anti-diabetic activity of the red dragon fruit peel (Hylocereus polyrhizus) in ethanol extract against diabetic rats. Pharmacogn. J. 2021, 13, 1079–1085. [Google Scholar] [CrossRef]
- Cauilan, P.L. Hepatoprotective potential of Hylocereus polyrhizus (dragon fruit) on carbon tetrachloride induced hepatic damages in albino wistar rats. Int. J. Sci. Basic Appl. Res. 2019, 46, 49–61. [Google Scholar]
- Hutkins, R.W. Wine fermentation. In Wine Fermentation; Blackwell Publishing: Ames, IA, USA, 2006; pp. 349–396. [Google Scholar]
- Amerine, M.A.; Singleton, V.L. Wine: An Introduction; University of California Press: Berkeley, CA, USA, 1976. [Google Scholar]
- Lea, A.G.; Drilleau, J.F. Cidermaking. In Fermented Beverage Production; Springer: Boston, MA, USA, 2003; pp. 59–87. [Google Scholar]
- Ma, Y.; Li, T.; Xu, X.; Ji, Y.; Jiang, X.; Shi, X.; Wang, B. Investigation of volatile compounds, microbial succession, and their relation during spontaneous fermentation of Petit Manseng. Front. Microbiol. 2021, 12, 717387. [Google Scholar] [CrossRef] [PubMed]
- Shi, X.; Liu, Y.; Ma, Q.; Wang, J.; Luo, J.; Suo, R.; Sun, J. Effects of low temperature on the dynamics of volatile compounds and their correlation with the microbial succession during the fermentation of Longyan wine. LWT 2022, 154, 112661. [Google Scholar] [CrossRef]
- Zhao, C.; Su, W.; Mu, Y.; Jiang, L.; Mu, Y. Correlations between microbiota with physicochemical properties and volatile flavor components in black glutinous rice wine fermentation. Food Res. Int. 2020, 138, 109800. [Google Scholar] [CrossRef]
- Ndlovu, T. Mannoprotein Production and Wine Haze Reduction by Wine Yeast Strains. Doctoral Dissertation, Stellenbosch University, Stellenbosch, South Africa, 2012. [Google Scholar]
- Tadioto, V.; Giehl, A.; Cadamuro, R.D.; Guterres, I.Z.; dos Santos, A.A.; Bressan, S.K.; Werlang, L.; Stambuk, B.U.; Fongaro, G.; Silva, I.T.; et al. Bioactive Compounds from and against Yeasts in the One Health Context: A Comprehensive Review. Fermentation 2023, 9, 363. [Google Scholar] [CrossRef]










| Parameter | Vitamin C (mg AA/100 g) | Polyphenols (mg GAE/100 g) | Total Sugars (g/L) | Reducing Sugars (g/L) | Antioxidant Activity DPPH (%) | Dry-Matter Content (°Bx) | Acidity (g/L) | pH | Anthocyanins (mg/L) |
|---|---|---|---|---|---|---|---|---|---|
| H. polyrhizus | 29.74 ± 5.60 a | 39.18 ± 0.56 a | 84.93 ± 0.52 a | 73.84 ± 0.15 a | 38.23 ± 2.06 a | 13.00 ± 0.40 a | 2.31 ± 0.02 c | 3.96 ± 0.01 b | 345.66 ± 6.02 a |
| H. megalanthus | 41.63 ± 2.38 b | 7.80 ± 0.96 c | 84.81 ± 0.81 a | 49.79 ± 0.09 c | 27.57 ± 3.21 c | 12.00 ± 0.10 b | 5.21 ± 0.02 b | 4.85 ± 0.02 a | 299.72 ± 11.01 b |
| H. costaricensis | 14.46 ± 6.05 c | 12.41 ± 1.00 bc | 81.79 ± 0.62 ab | 66.28 ± 0.22 b | 31.19 ± 2.96 b | 13.00 ± 0.60 a | 4.45 ± 0.08 b | 3.92 ± 0.01 b | 330.15 ± 6.02 ab |
| H. undatus | 16.04 ± 6.78 c | 18.45 ± 1.82 b | 66.89 ± 0.30 c | 60.52 ± 0.22 b | 28.55 ± 2.33 c | 12.00 ± 0.50 b | 7.24 ± 0.01 a | 4.28 ± 0.0 ab | 312.28 ± 7.01 b |
| Parameter | Fruit Juice Made from H. polyrhizus before Fermentation | Fruit Juice Made from H. polyrhizus after Fermentation |
|---|---|---|
| Vitamin C (mg AA/100 g) | 29.74 ± 5.60 | 11.36 ± 0.05 |
| Polyphenols (mg GAE/100 g) | 39.18 ± 0.56 | 55.042 ± 3.31 |
| Total Sugars (g/L) | 84.93 ± 0.52 | 13.48 ± 1.11 |
| Reducing Sugars (g/L) | 73.84 ± 0.15 | 9.88 ± 0.19 |
| Antioxidant Activity DPPH (%) | 38.23 ± 2.06 | 45.69 ± 1.63 |
| Dry-Matter Content (Brix) | 13.00 ± 0.40 | 11.17 ± 0.89 |
| Acidity (g/L) | 2.31 ± 0.02 | 5.59 ± 0.02 |
| pH | 3.96 ± 0.01 | 4.35 ± 0.03 |
| Anthocyanins (mg/L) | 345.66 ± 6.02 | 250.34 ± 5.25 |
Disclaimer/Publisher’s Note: The statements, opinions and data contained in all publications are solely those of the individual author(s) and contributor(s) and not of MDPI and/or the editor(s). MDPI and/or the editor(s) disclaim responsibility for any injury to people or property resulting from any ideas, methods, instructions or products referred to in the content. |
© 2024 by the authors. Licensee MDPI, Basel, Switzerland. This article is an open access article distributed under the terms and conditions of the Creative Commons Attribution (CC BY) license (https://creativecommons.org/licenses/by/4.0/).
Share and Cite
Ngoc, T.B.; Thinh, P.V.; Mui, D.T.; Uyen, L.H.; Ngan, N.N.K.; Tran, N.T.K.; Khang, P.H.T.; Huy, L.Q.; Minh, T.N.; Trung, N.Q. Influences of Fermentation Conditions on the Chemical Composition of Red Dragon Fruit (Hylocereus polyrhizus) Wine. Beverages 2024, 10, 61. https://doi.org/10.3390/beverages10030061
Ngoc TB, Thinh PV, Mui DT, Uyen LH, Ngan NNK, Tran NTK, Khang PHT, Huy LQ, Minh TN, Trung NQ. Influences of Fermentation Conditions on the Chemical Composition of Red Dragon Fruit (Hylocereus polyrhizus) Wine. Beverages. 2024; 10(3):61. https://doi.org/10.3390/beverages10030061
Chicago/Turabian StyleNgoc, Truong Bao, Pham Van Thinh, Dang Thuy Mui, Le Hanh Uyen, Nguyen Ngoc Kim Ngan, Ngo Thi Kim Tran, Pham Hoang Tien Khang, Le Quang Huy, Truong Ngoc Minh, and Nguyen Quang Trung. 2024. "Influences of Fermentation Conditions on the Chemical Composition of Red Dragon Fruit (Hylocereus polyrhizus) Wine" Beverages 10, no. 3: 61. https://doi.org/10.3390/beverages10030061
APA StyleNgoc, T. B., Thinh, P. V., Mui, D. T., Uyen, L. H., Ngan, N. N. K., Tran, N. T. K., Khang, P. H. T., Huy, L. Q., Minh, T. N., & Trung, N. Q. (2024). Influences of Fermentation Conditions on the Chemical Composition of Red Dragon Fruit (Hylocereus polyrhizus) Wine. Beverages, 10(3), 61. https://doi.org/10.3390/beverages10030061

