Modeling of Extreme Hydrological Events in the Baksan River Basin, the Central Caucasus, Russia
Abstract
1. Introduction
2. Background
2.1. The Baksan River Basin
2.2. Lakes Near the Bashkara Glacier
3. Data and Methods
3.1. Models Chain Composition
3.2. Data for Hydrodynamic Modelling
3.3. Hydrodynamic Modeling of the Outburst Floods from the Lakes Near the Bashkara Glacier
3.4. Data for Runoff Formation Modeling
3.5. Runoff Formation Model for the Baksan River Basin
3.6. Simulation Scenarios
3.6.1. Scenarios of the Bahkara Lake Outburst
3.6.2. Scenarios of Different Meteorological Conditions of Runoff Formation in the Baksan River Basin during the Outburst Flood
4. Results
4.1. Hydrodynamic Modeling of Glacial Lake Outburst Flood (GLOF) on 1 September 2017
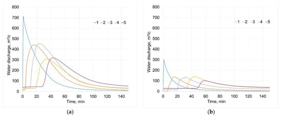
4.2. Scenario Modeling of Potential GLOF
4.3. Projected GLOF Impact on the Baksan River Peak Flow According to Scenario Modeling
5. Discussion
6. Conclusions
Author Contributions
Funding
Acknowledgments
Conflicts of Interest
Appendix A
| Parameter | Index | Before Calibration | After Calibration |
|---|---|---|---|
| Correction factor (multiplier) | |||
| Vertical saturated hydraulic conductivity, m/s | FAOPT | 297 | 2 |
| Horizontal saturated hydraulic conductivity, m/s | GFAOPT | 15 | 80 |
| Horizontal hydraulic conductivity of the zone B, m/s | GFBOPT | 65 | 4 |
| Parameter of potential evaporation, m/Pa | EKOPT | 0.8 | 0.9 |
| Thickness of soil horizon, m | ZAOPT | 1.5 | 2.0 |
| Degree-day factor, m/s/ °C | ALFOPT | 0.6 | 0.7 |
| Critical temperature snow/rain, °C | TCRpre | 2 | 5 |
| Water-holding capacity of snow, dimensionless | ULOPT | 0.3 | 1.7 |
| Parameter of spatial distribution of field capacity, dimensionless | PKexp | 2.15 | 2.00 |
| Critical temperature for snowmelt, °C | TCRst | 1 | −2 |
| Density of freshly fallen snow, g/cm2 | rnew | 0.10 | 0.04 |
| Maximum water-holding capacity of snow | ulmax | 0.09 | 0.11 |
| Parameter of snow densifying, dimensionless | cosed | 0.15 | 0.10 |
| Evapotranspiration share of the root zone in the active layer | evapk | 0.95 | 1 |
| Potential evaporation from snow cover, m/Pa | esnwa | 0.7 | 1 |
| Other parameters | |||
| Altitude temperature gradient, °C/m | gradT | −0.006 | −0.007 |
| Altitude precipitation gradient, dimensionless | gradP | 0.0003 | 0.0004 |
| Manning’s roughness coefficient for river bed of main rivers, s/m1/3 | n1 | 0.12 | 0.7 |
| Manning’s roughness coefficient for river bed of 2 order of tributaries, s/m1/3 | n2 | 0.13 | 0.7 |
References
- Shukla, P.R.; Skea, J.; Calvo Buendia, E.; Masson-Delmotte, V.; Pörtner, H.O.; Roberts, D.C.; Zhai, P.; Slade, R.; Connors, S.; Van Diemen, R.; et al. IPCC, 2019: Climate Change and Land: An IPCC Special Report on Climate Change, Desertification, Land Degradation, Sustainable land Management, Food Security, and Greenhouse Gas Fluxes in Terrestrial Ecosystems; IPCC: Geneva, Switzerland, 2019. [Google Scholar]
- Hock, R.; Rasul, G.; Adler, C.; Cáceres, B.; Gruber, S.; Hirabayashi, Y.; Jackson, M.; Kääb, A.; Kang, S.; Kutuzov, S.; et al. High mountain areas. In The Ocean and Cryosphere in a Changing Climate; Pörtner, H.-O., Roberts, D.C., Masson-Delmotte, V., Zhai, P., Tignor, M., Poloczanska, E., Mintenbeck, K., Nicolai, M., Okem, A., Petzold, J., et al., Eds.; Intergovernmental Panel on Climate Change: Geneva, Switzerland, 2019; pp. 131–202. [Google Scholar]
- Zemp, M.; Frey, H.; Gärtner-Roer, I.; Nussbaumer, S.U.; Hoelzle, M.; Paul, F.; Haeberli, W.; Denzinger, F.; Ahlstrøm, A.P.; Anderson, B.; et al. Historically unprecedented global glacier decline in the early 21st century. J. Glaciol. 2015, 61, 745–762. [Google Scholar] [CrossRef]
- Kutuzov, S.; Lavrentiev, I.; Smirnov, A.; Nosenko, G.; Petrakov, D. Volume changes of Elbrus glaciers from 1997 to 2017. Front. Earth Sci. 2019, 7, 153. [Google Scholar] [CrossRef]
- Tashilova, A.; Ashabokov, B.; Kesheva, L.; Teunova, N. Analysis of climate change in the Caucasus region: End of the 20th–Beginning of the 21st Century. Climate 2019, 7, 11. [Google Scholar] [CrossRef]
- Toropov, P.A.; Aleshina, M.A.; Grachev, A.M. Large-scale climatic factors driving glacier recession in the Greater Caucasus, 20th–21st century. Int. J. Climatol. 2019, 39, 4703–4720. [Google Scholar] [CrossRef]
- Shahgedanova, M.; Hagg, W.; Zacios, M.; Popovnin, V. An Assessment of the recent past and future climate change, glacier retreat, and runoff in the caucasus region using dynamical and statistical downscaling and HBV-ETH hydrological model. In Regional Aspects of Climate-Terrestrial-Hydrologic Interactions in Non-boreal Eastern Europe; Springer: Dordrecht, The Netherlands, 2009; pp. 63–72. [Google Scholar]
- Frey, H.; Haeberli, W.; Linsbauer, A.; Huggel, C.; Paul, F. A multi-level strategy for anticipating future glacier lake formation and associated hazard potentials. Nat. Hazards Earth Syst. Sci. 2010, 10, 339–352. [Google Scholar] [CrossRef]
- Singh, S.P.; Bhaskar, I.B.-K.; Karky, S.; Sharma, E. Climate Change in the Hindu Kush-Himalayas The State of Current Knowledge; International Centre for Integrated Mountain Development: Lalitpur, Nepal, 2011; ISBN 9789291152209. [Google Scholar]
- Allen, S.K.; Rastner, P.; Arora, M.; Huggel, C.; Stoffel, M. Lake outburst and debris flow disaster at Kedarnath, June 2013: Hydrometeorological triggering and topographic predisposition. Landslides 2016, 13, 1479–1491. [Google Scholar] [CrossRef]
- Linsbauer, A.; Paul, F.; Haeberli, W. Modeling glacier thickness distribution and bed topography over entire mountain ranges with glabtop: Application of a fast and robust approach. J. Geophys. Res. Earth Surf. 2012, 117. [Google Scholar] [CrossRef]
- Colonia, D.; Torres, J.; Haeberli, W.; Schauwecker, S.; Braendle, E.; Giraldez, C.; Cochachin, A. Compiling an inventory of glacier-bed overdeepenings and potential new lakes in de-glaciating areas of the Peruvian Andes: Approach, first results, and perspectives for adaptation to climate change. Water 2017, 9, 336. [Google Scholar] [CrossRef]
- Haeberli, W. Brief communication: On area- and slope-related thickness estimates and volume calculations for unmeasured glaciers. Cryosphere Discuss. 2016, 1–18. [Google Scholar] [CrossRef]
- Carrivick, J.L.; Tweed, F.S. A global assessment of the societal impacts of glacier outburst floods. Glob. Planet. Change 2016, 144, 1–16. [Google Scholar] [CrossRef]
- Harrison, S.; Kargel, J.S.; Huggel, C.; Reynolds, J.; Shugar, D.H.; Betts, R.A.; Emmer, A.; Glasser, N.; Haritashya, U.K.; Klimeš, J.; et al. Climate change and the global pattern of moraine-dammed glacial lake outburst floods. Cryosphere 2018, 12, 1195–1209. [Google Scholar] [CrossRef]
- Geertsema, M.; Clague, J.J. Jökulhlaups at Tulsequah Glacier, northwestern British Columbia, Canada. Holocene 2005, 15, 310–316. [Google Scholar] [CrossRef]
- Russell, A.J.; Carrivick, J.L.; Ingeman-Nielsen, T.; Yde, J.C.; Williams, M. A new cycle of jökulhlaups at russell glacier, kangerlussuaq, west greenland. J. Glaciol. 2011, 57, 238–246. [Google Scholar] [CrossRef]
- Richardson, S.D.; Reynolds, J.M. An overview of glacial hazards in the Himalayas. Quat. Int. 2000, 65–66, 31–47. [Google Scholar] [CrossRef]
- Veh, G.; Korup, O.; Specht, S.; Roessner, S.; Walz, A. Unchanged frequency of moraine-dammed glacial lake outburst floods in the Himalaya. Nat. Clim. Change 2019. [Google Scholar] [CrossRef]
- Komori, J.; Koike, T.; Yamanokuchi, T.; Tshering, P. Glacial lake outburst events in the Bhutan Himalayas. Glob. Environ. Res. 2012, 16, 59–70. [Google Scholar]
- Wang, S.; Zhou, L. Glacial lake outburst flood disasters and integrated risk management in China. Int. J. Disaster Risk Sci. 2017, 8, 493–497. [Google Scholar] [CrossRef]
- Gurung, D.R.; Khanal, N.R.; Bajracharya, S.R.; Tsering, K.; Joshi, S.; Tshering, P.; Chhetri, L.K.; Lotay, Y.; Penjor, T. Lemthang Tsho glacial Lake outburst flood (GLOF) in Bhutan: Cause and impact. Geoenviron. Disasters 2017, 4. [Google Scholar] [CrossRef]
- Erokhin, S.A.; Zaginaev, V.V.; Meleshko, A.A.; Ruiz-Villanueva, V.; Petrakov, D.A.; Chernomorets, S.S.; Viskhadzhieva, K.S.; Tutubalina, O.V.; Stoffel, M. Debris flows triggered from non-stationary glacier lake outbursts: The case of the Teztor Lake complex (Northern Tian Shan, Kyrgyzstan). Landslides 2018, 15, 83–98. [Google Scholar] [CrossRef]
- Narama, C.; Daiyrov, M.; Duishonakunov, M.; Tadono, T.; Sato, H.; Kääb, A.; Ukita, J.; Abdrakhmatov, K. Large drainages from short-lived glacial lakes in the Teskey Range, Tien Shan Mountains, Central Asia. Nat. Hazards Earth Syst. Sci. 2018, 18, 983–995. [Google Scholar] [CrossRef]
- Petrakov, D.A.; Chernomorets, S.S.; Viskhadzhieva, K.S.; Dokukin, M.D.; Savernyuk, E.A.; Petrov, M.A.; Erokhin, S.A.; Tutubalina, O.V.; Glazyrin, G.E.; Shpuntova, A.M.; et al. Putting the poorly documented 1998 GLOF disaster in Shakhimardan River valley (Alay Range, Kyrgyzstan/Uzbekistan) into perspective. Sci. Total Environ. 2020, 724. [Google Scholar] [CrossRef] [PubMed]
- Zaginaev, V.; Ballesteros-Cánovas, J.A.; Erokhin, S.; Matov, E.; Petrakov, D.; Stoffel, M. Reconstruction of glacial lake outburst floods in northern Tien Shan: Implications for hazard assessment. Geomorphology 2016, 269, 75–84. [Google Scholar] [CrossRef]
- Ross, L.; Pérez-Santos, I.; Parady, B.; Castro, L.; Valle-Levinson, A.; Schneider, W. Glacial lake outburst flood (GLOF) events and water response in a patagonian fjord. Water 2020, 12, 248. [Google Scholar] [CrossRef]
- Emmer, A. Geomorphologically effective floods from moraine-dammed lakes in the Cordillera Blanca, Peru. Quat. Sci. Rev. 2017, 177, 220–234. [Google Scholar] [CrossRef]
- Wilson, R.; Glasser, N.F.; Reynolds, J.M.; Harrison, S.; Anacona, P.I.; Schaefer, M.; Shannon, S. Glacial lakes of the Central and Patagonian Andes. Glob. Planet. Change 2018, 162, 275–291. [Google Scholar] [CrossRef]
- Emmer, A.; Merkl, S.; Mergili, M. Spatiotemporal patterns of high-mountain lakes and related hazards in western Austria. Geomorphology 2015, 246, 602–616. [Google Scholar] [CrossRef]
- Shaw, J.; Stacey, C.D.; Wu, Y.; Lintern, D.G. Anatomy of the Kitimat fiord system, British Columbia. Geomorphology 2017, 293, 108–129. [Google Scholar] [CrossRef]
- Petrakov, D.; Krylenko, I.V.; Chernomorets, S.; Tutubalina, O.; Krylenko, I.N.; Shakhmina, M.S. Debris flow hazard of glacial lakes in the Central Caucasus. In Proceedings of the International Conference on Debris-Flow Hazards Mitigation: Mechanics, Prediction, and Assessment, Chengdu, China, 10–13 September 2007; pp. 703–714. [Google Scholar]
- Petrakov, D.A.; Tutubalina, O.V.; Aleinikov, A.A.; Chernomorets, S.S.; Evans, S.G.; Kidyaeva, V.M.; Krylenko, I.N.; Norin, S.V.; Shakhmina, M.S.; Seynova, I.B. Monitoring of Bashkara Glacier lakes (Central Caucasus, Russia) and modelling of their potential outburst. Nat. Hazards 2012, 61, 1293–1316. [Google Scholar] [CrossRef]
- Dokukin, M.D.; Khatkutov, A.V. Lakes near the glacier Maliy Azau on the Elbrus (Central Caucasus): Dynamics and outbursts. Ice Snow 2016, 56, 472–479. [Google Scholar] [CrossRef]
- Perov, V.; Chernomorets, S.; Budarina, O.; Savernyuk, E.; Leontyeva, T. Debris flow hazards for mountain regions of Russia: Regional features and key events. Nat. Hazards 2017, 88, 199–235. [Google Scholar] [CrossRef]
- Tielidze, L.G.; Bolch, T.; Wheate, R.D.; Kutuzov, S.S.; Lavrentiev, I.I.; Zemp, M. Supra-glacial debris cover changes in the Greater Caucasus from 1986 to 2014. Cryosphere 2020, 14, 585–598. [Google Scholar] [CrossRef]
- Milner, A.M.; Khamis, K.; Battin, T.J.; Brittain, J.E.; Barrand, N.E.; Füreder, L.; Cauvy-Fraunié, S.; Gíslason, G.M.; Jacobsen, D.; Hannah, D.M.; et al. Glacier shrinkage driving global changes in downstream systems. Proc. Natl. Acad. Sci. USA 2017, 114, 9770–9778. [Google Scholar] [CrossRef] [PubMed]
- Chen, Y.M.; Liu, C.H.; Shih, H.J.; Chang, C.H.; Chen, W.B.; Yu, Y.C.; Su, W.R.; Lin, L.Y. An operational forecasting system for flash floods in mountainous areas in Taiwan. Water 2019, 11, 2100. [Google Scholar] [CrossRef]
- Borga, M.; Gaume, E.; Creutin, J.D.; Marchi, L. Surveying flash floods: Gauging the ungauged extremes. Hydrol. Process. 2008, 22, 3883–3885. [Google Scholar] [CrossRef]
- Ruiz-Villanueva, V.; Díez-Herrero, A.; Stoffel, M.; Bollschweiler, M.; Bodoque, J.M.; Ballesteros, J.A. Dendrogeomorphic analysis of flash floods in a small ungauged mountain catchment (Central Spain). Geomorphology 2010, 118, 383–392. [Google Scholar] [CrossRef]
- Allen, S.K.; Linsbauer, A.; Randhawa, S.S.; Huggel, C.; Rana, P.; Kumari, A. Glacial lake outburst flood risk in Himachal Pradesh, India: An integrative and anticipatory approach considering current and future threats. Nat. Hazards 2016, 84, 1741–1763. [Google Scholar] [CrossRef]
- Din, K.; Tariq, S.; Mahmood, A.; Rasul, G. Temperature and precipitation: GLOF triggering indicators in Gilgit-Baltistan, Pakistan. Pak. J. Meteorol. 2014, 10, 20. [Google Scholar]
- Schwanghart, W.; Worni, R.; Huggel, C.; Stoffel, M.; Korup, O. Uncertainty in the Himalayan energy-water nexus: Estimating regional exposure to glacial lake outburst floods. Environ. Res. Lett. 2016, 11. [Google Scholar] [CrossRef]
- Worni, R.; Huggel, C.; Clague, J.J.; Schaub, Y.; Stoffel, M. Coupling glacial lake impact, dam breach, and flood processes: A modeling perspective. Geomorphology 2014, 224, 161–176. [Google Scholar] [CrossRef]
- Mergili, M.; Schneider, D.; Worni, R.; Schneider, J.F. Glacial lake outburst floods in the Pamir of Tajikistan: Challenges in prediction and modelling. Ital. J. Eng. Geol. Environ. 2011, 973–982. [Google Scholar] [CrossRef]
- Westoby, M.J.; Glasser, N.F.; Brasington, J.; Hambrey, M.J.; Quincey, D.J.; Reynolds, J.M. Modelling outburst floods from moraine-dammed glacial lakes. Earth Sci. Rev. 2014, 134, 137–159. [Google Scholar] [CrossRef]
- Westoby, M.J.; Brasington, J.; Glasser, N.F.; Hambrey, M.J.; Reynolds, J.M.; Hassan, M.A.A.M.; Lowe, A. Numerical modelling of glacial lake outburst floods using physically based dam-breach models. Earth Surf. Dyn. 2015, 3, 171–199. [Google Scholar] [CrossRef]
- Anacona, P.I.; Mackintosh, A.; Norton, K. Reconstruction of a glacial lake outburst flood (GLOF) in the Engaño valley, chilean patagonia: Lessons for GLOF risk management. Sci. Total Environ. 2015, 527–528, 1–11. [Google Scholar] [CrossRef] [PubMed]
- Mergili, M.; Pudasaini, S.P.; Emmer, A.; Fischer, J.T.; Cochachin, A.; Frey, H. Reconstruction of the 1941 GLOF process chain at Lake Palcacocha (Cordillera Blanca, Peru). Hydrol. Earth Syst. Sci. 2020, 24, 93–114. [Google Scholar] [CrossRef]
- Omani, N.; Srinivasan, R.; Karthikeyan, R.; Smith, P. Hydrological modeling of highly glacierized basins (Andes, Alps, and Central Asia). Water 2017, 9, 111. [Google Scholar] [CrossRef]
- Hagg, W.; Shahgedanova, M.; Mayer, C.; Lambrecht, A.; Popovnin, V. A sensitivity study for water availability in the Northern Caucasus based on climate projections. Glob. Planet. Change 2010, 73, 161–171. [Google Scholar] [CrossRef]
- Wang, X.; Yang, T.; Xu, C.Y.; Yong, B.; Shi, P. Understanding the discharge regime of a glacierized alpine catchment in the Tianshan Mountains using an improved HBV-D hydrological model. Glob. Planet. Chang. 2019, 172, 211–222. [Google Scholar] [CrossRef]
- Gurtz, J.; Lang, H.; Verbunt, M.; Zappa, M. The use of hydrological models for the simulation of climate change impacts on mountain hydrology. In Global Change and Mountain Regions; Springer: Dordrecht, The Netherlands, 2005; pp. 343–354. [Google Scholar]
- Wortmann, M.; Krysanova, V.; Kundzewicz, Z.W.; Su, B.; Li, X. Assessing the influence of the Merzbacher Lake outburst floods on discharge using the hydrological model SWIM in the Aksu headwaters, Kyrgyzstan/NW China. Hydrol. Process. 2014, 28, 6337–6350. [Google Scholar] [CrossRef]
- Zhang, L.; Lu, J.; Chen, X.; Sauvage, S.; Sánchez Pérez, J. Stream flow simulation and verification in ungauged zones by coupling hydrological and hydrodynamic models: A case study of the Poyang Lake ungauged zone. Hydrol. Earth Syst. Sci. Discuss. 2017, 1–26. [Google Scholar] [CrossRef]
- Chernomorets, S.; Petrakov, D.; Aleynikov, A.A.; Bekkiev, M.Y.; Viskhadzhieva, K.; Dokukin, M.D.; Kalov, R.; Kidyaeva, V.; Krylenko, V.; Krylenko, I.V.; et al. The outburst of Bashkara glacier lake (Central Caucasus, Russia). Earth’s Cryosphere 2018, XXII. [Google Scholar] [CrossRef]
- RGI Consortium. Randolph Glacier Inventory-A Dataset of Global Glacier Outlines: Version 6.0; Global Land Ice Measurements from Space: Boulder, CO, USA, 2017. [Google Scholar]
- Rets, E.P.; Durmanov, I.N.; Kireeva, M.B. Peak runoff in the north Caucasus: Recent trends in magnitude, variation and timing. Water Res. 2019, 46, S56–S66. [Google Scholar] [CrossRef]
- Rets, K.P.; Dzhamalov, R.G.; Kireeva, M.B.; Frolova, N.L.; Durmanov, I.N.; Telegina, A.A.; Telegina, E.A.; Grigoriev, V.Y. Recent trends of river runoff in the North Caucasus. Geogr. Environ. Sustain. 2018, 11, 61–70. [Google Scholar] [CrossRef]
- Limareva, N.; Cabos Narvaez, W.D.; Izquierdo, A.; Sein, D. The climate change of the Caucasus as a result of the global warming. Sovrem. Nauka Innovacii 2017, 18, 19–33. [Google Scholar]
- Chernokulsky, A.; Kozlov, F.; Zolina, O.; Bulygina, O.; Mokhov, I.I.; Semenov, V.A. Observed changes in convective and stratiform precipitation in Northern Eurasia over the last five decades. Environ. Res. Lett. 2019, 14, 045001. [Google Scholar] [CrossRef]
- Seinova, I.B.; Andreev, Y.B.; Krylenko, I.N.; Bogachenko, E.M.; Feoktistova, I.G. Experience of the debris flows forecast in the conditions of glacier degradation in the Central Caucasus. Georisk 2018, 12, 26–37. [Google Scholar]
- Core Writing Team; Pachauri, R.K.; Meyer, L.A. IPCC, 2014: Climate Change 2014: Synthesis Report. Contribution of Working Groups I, II and III to the Fifth Assessment Report of the Intergovernmental Panel on Climate Change; IPCC: Geneva, Switzerland, 2014. [Google Scholar]
- Kovalev, P.V. Traces of ancient glaciation on the Northern slope of the Central Caucasus and glaciological observations (1957–1958). Inf. Collect. Work Int. Hydrol. Year 1964, 10, 112–131. [Google Scholar]
- Lecomte, L.; Köllner, F.; Petrakov, D.; Chernomorets, S.; Shakhmina, M.; Hamran, S.-E.; Juliussen, H.; Kääb, A. Geophysics in glacial-hazard initiation zones, Russian Caucasus. In Proceedings of the Near Surface 2010—16th European Meeting of Environmental and Engineering Geophysics, Zurich, Switzerland, 6–8 September 2010. [Google Scholar] [CrossRef]
- Kanungo, T.; Mount, D.M.; Netanyahu, N.S.; Piatko, C.D.; Silverman, R.; Wu, A.Y. An efficient k-means clustering algorithms: Analysis and implementation. IEEE Trans. Pattern Anal. Mach. Intell. 2002, 24, 881–892. [Google Scholar] [CrossRef]
- Baryshnikov, N.B. Hydraulic Resistances of Riverbeds; RGGMU Publishing House: Saint Petersburg, Russia, 2003. [Google Scholar]
- Belikov, V.V.; Kochetkov, V.V. Programmnyi Kompleks STREAM_2D Dlya Rascheta Techenii, Deformatsii dna i Perenosa Zagryaznenii v Otkrytykh Potokakh (Software Complex STREAM_2D to Calculate Streams, Bottom Deformation, and Pollutants Transfer in Open Flows); Rospatent: Moscow, Russia, 2014.
- Aleksyuk, A.I.; Belikov, V.V. The uniqueness of the exact solution of the Riemann problem for the shallow water equations with discontinuous bottom. J. Comput. Phys. 2019, 390, 232–248. [Google Scholar] [CrossRef]
- Belikov, V.V.; Krylenko, I.N.; Alabyan, A.M.; Sazonov, A.A.; Glotko, A.V. Two-dimensional hydrodynamic flood modelling for populated valley areas of Russian rivers. Proc. Int. Assoc. Hydrol. Sci. 2015, 370, 69–74. [Google Scholar] [CrossRef]
- Krylenko, I.; Alabyan, A.; Aleksyuk, A.; Belikov, V.; Sazonov, A.; Zavyalova, E.; Pimanov, I.; Potryasaev, S.; Zelentsov, V. Modeling ice-jam floods in the frameworks of an intelligent system for river monitoring. Water Res. 2020, 47, 387–398. [Google Scholar] [CrossRef]
- Kidyaeva, V.M.; Petrakov, D.A.; Krylenko, I.N.; Aleynikov, A.A.; Stoffel, M.; Graf, C. Experience of modeling the outburst of the Bashkar lakes. Georisk 2018, 12, 38–46. [Google Scholar]
- Kidyaeva, V.; Chernomorets, S.; Krylenko, I.; Wei, F.; Petrakov, D.; Su, P.; Yang, H.; Xiong, J. Modeling potential scenarios of the Tangjiashan Lake outburst and risk assessment in the downstream valley. Front. Earth Sci. 2017, 11, 579–591. [Google Scholar] [CrossRef]
- Rets, E.; Popovnin, V.; Toropov, P.; Smirnov, A.; Tokarev, I.; Ju, N.C.; Budantseva, N.A.; Vasil’chuk, Y.; Kireeva, M.; Ekaykin, A.; et al. Djankuat glacier station in the North Caucasus, Russia: A database of glaciological, hydrological, and meteorological observations and stable isotope sampling results during 2007–2017. Earth Syst. Sci. Data 2019, 11, 1463–1481. [Google Scholar] [CrossRef]
- Motovilov, Y.G.; Gottschalk, L.; Engeland, K.; Belokurov, A. ECOMAG—Regional Model of Hydrological Cycle. Application to the NOPEX Region; Water Problems Institute of the Russian Academy of Sciences: Moscow, Russia, 1999. [Google Scholar]
- Motovilov, Y.G. Hydrological simulation of river basins at different spatial scales: 2. test results. Water Res. 2016, 43. [Google Scholar] [CrossRef]
- Motovilov, Y.G.; Gottschalk, L.; Engeland, K.; Rodhe, A. Validation of a distributed hydrological model against spatial observations. Agric. Forest Meteorol. 1999, 98–99. [Google Scholar] [CrossRef]
- Motovilov, Y.G. Hydrological simulation of river basins at different spatial scales: 1. Generalization and averaging algorithms. Water Res. 2016, 43, 429–437. [Google Scholar] [CrossRef]
- Gelfan, A.; Motovilov, Y.; Krylenko, I.; Moreido, V.; Zakharova, E. Testing the robustness of the physically-based ECOMAG model with respect to changing conditions. Hydrol. Sci. J. 2015, 60, 1266–1285. [Google Scholar] [CrossRef]
- Gelfan, A.; Gustafsson, D.; Motovilov, Y.; Arheimer, B.; Kalugin, A.; Krylenko, I.; Lavrenov, A. Climate change impact on the water regime of two great Arctic rivers: Modeling and uncertainty issues. Clim. Chang. 2017, 141, 499–515. [Google Scholar] [CrossRef]
- Garrick, M.; Cunnane, C.; Nash, J.E. A criterion of efficiency for rainfall-runoff models. J. Hydrol. 1978, 36, 375–381. [Google Scholar] [CrossRef]
- Byers, A.C.; Rounce, D.R.; Shugar, D.H.; Lala, J.M.; Byers, E.A.; Regmi, D. A rockfall-induced glacial lake outburst flood, Upper Barun Valley, Nepal. Landslides 2019, 16, 533–549. [Google Scholar] [CrossRef]
- Bajracharya, B.; Shrestha, A.B.; Rajbhandari, L. Glacial lake outburst floods in the Sagarmatha region. Mt. Res. Dev. 2007, 27, 336–344. [Google Scholar] [CrossRef]
- Dokukin, M.D.; Kalov, R.K.; Chernomorets, S.S.; Gyaurgiev, A.V.; Khadzhiev, M.M. The snow-ice-rock avalanche on Bashkara glacier in the Adyl-Su valley (Central Caucasus) on April 24, 2019. Earth’s Cryosphere 2020, XXIV, 55–60. [Google Scholar] [CrossRef]
- Chisolm, R.; Somos-Valenzuela, M.; Rivas Gomez, D.; Mckinney, D.C.; Portocarrero Rodriguez, C. Modeling a Glacial Lake Outburst Flood Process. Chain: The Case of Lake Palcacocha and Huaraz, Peru; European Geosciences Union: Munich, Germany, 2016; Volume 18. [Google Scholar]
- Lala, J.M.; Rounce, D.R.; McKinney, D.C. Modeling the glacial lake outburst flood process chain in the Nepal Himalaya: Reassessing Imja Tsho’s hazard. Hydrol. Earth Syst. Sci. 2018, 22, 3721–3737. [Google Scholar] [CrossRef]
- Somos-Valenzuela, M.A.; Chisolm, R.E.; Rivas, D.S.; Portocarrero, C.; McKinney, D.C. Modeling a glacial lake outburst flood process chain: The case of Lake Palcacocha and Huaraz, Peru. Hydrol. Earth Syst. Sci. 2016, 20, 2519–2543. [Google Scholar] [CrossRef]
- Christen, M.; Kowalski, J.; Bartelt, P. RAMMS: Numerical simulation of dense snow avalanches in three-dimensional terrain. Cold Reg. Sci. Technol. 2010, 63, 1–14. [Google Scholar] [CrossRef]
- Hu, Y.X.; Yu, Z.Y.; Zhou, J.W. Numerical simulation of landslide-generated waves during the 11 October 2018 Baige landslide at the Jinsha River. Landslides 2020, 17. [Google Scholar] [CrossRef]
- Volz, C.; Rousselot, P.; Vetsch, D.; Mueller, R.; Faeh, R.; Boes, R. Numerical modeling of dam breaching processes due to overtopping flow. In Proceedings of the 8th ICOLD European Club Symposium, Innsbruck, Austria, 22–23 September 2010. [Google Scholar]
- Somos-Valenzuela, M.; Mckinney, D.; Byers, A.; Rounce, D.; Portocarrero, C.; Lamsal, D. Assessing Downstream Flood Impacts Due to a Potential GLOF from Imja Tsho in Nepal. Hydrol. Earth Syst. Sci. 2015, 19, 1401–1412. [Google Scholar] [CrossRef]
- Carrivick, J.L.; Manville, V.; Graettinger, A.; Cronin, S.J. Coupled fluid dynamics-sediment transport modelling of a Crater Lake break-out lahar: Mt. Ruapehu, New Zealand. J. Hydrol. 2010, 388, 399–413. [Google Scholar] [CrossRef]
- Alho, P.; Roberts, M.J.; Käyhkö, J. Estimating the inundation area of a massive, hypothetical jökulhlaup from northwest Vatnajökull, Iceland. Nat. Hazards 2007, 41, 21–42. [Google Scholar] [CrossRef]
- Wang, W.; Yang, X.; Yao, T. Evaluation of ASTER GDEM and SRTM and their suitability in hydraulic modelling of a glacial lake outburst flood in southeast Tibet. Hydrol. Process. 2012, 26, 213–225. [Google Scholar] [CrossRef]
- Alho, P.; Aaltonen, J. Comparing a 1D hydraulic model with a 2D hydraulic model for the simulation of extreme glacial outburst floods. Hydrol. Process. 2008, 22, 1537–1547. [Google Scholar] [CrossRef]
- Worni, R.; Huggel, C.; Stoffel, M. Glacial lakes in the Indian Himalayas—From an area-wide glacial lake inventory to on-site and modeling based risk assessment of critical glacial lakes. Sci. Total Environ. 2013, 468–469, S71–S84. [Google Scholar] [CrossRef] [PubMed]
- FLO-2D Software Inc. FLO-2D; Reference Manual; FLO-2D Software Inc.: Nutrioso, AZ, USA, 2009. [Google Scholar]
- Belikov, V.; Militeev, A. Two-layer mathematical model of catastrophic floods. Comput. Technol. 1992, 1, 167–174. [Google Scholar]
- O’Brien, J.S.; Julien, P.Y.; Fullerton, W.T. Two-dimensional water flood and mudflow simulation. J. Hydraul. Eng. 1993, 119, 244–261. [Google Scholar] [CrossRef]
- Gnezdilov, Y.A.; Ivashchenko, E.N.; Krasnykh, N.Y. Estimation of the hypothetical outburst of Bashkara Lake. In Proceedings of the North Caucasian Institute for Water-works and Ameliorative Construction (Sevkavgiprovodhoz), Pytigorsk, Russia; 2007; pp. 123–145. [Google Scholar]
- Vinogradov, Y.B. Glacial Outburst Floods and Mudflows; Hydrometeoizdat: Leningrad, Russia, 1977. [Google Scholar]
- Huggel, C.; Haeberli, W.; Kääb, A.; Bieri, D.; Richardson, S. An assessment procedure for glacial hazards in the Swiss Alps. Can. Geotech. J. 2004, 41, 1068–1083. [Google Scholar] [CrossRef]
- Lavrentiev, I.; Petrakov, D.; Kutuzov, S.; Kovalenko, N.; Smirnov, A. Assessment of the development of glacial lakes in the Central Caucasus. Ice Snow 2020, 60, 343–360. [Google Scholar] [CrossRef]












| Local Time, 1/09/2017 | Roughness Coefficient | |||||
|---|---|---|---|---|---|---|
| Shkhelda Camp | Elbrus Settl. | Channels | Floodplain | Forested Floodplain | ||
| Observed (locals poll) | 1:20 | 1:30 | ||||
| Model parameters set | 1 | 1:16 | 1:25 | 0.020 | 0.030 | 0.035 |
| 2 | 1:21 | 1:32 | 0.050 | 0.060 | 0.070 | |
| 3 | 1:20 | 1:30 | 0.045 | 0.050 | 0.055 | |
| Period, Years | NSE, Daily | PBIAS, % | ||
|---|---|---|---|---|
| Tyrnyauz | Zayukovo | Tyrnyauz | Zayukovo | |
| 2000–2008 (calibration) | 0.82 | 0.85 | −1.71 | +3.24 |
| 2009–2017 (validation) | 0.90 | 0.90 | +5.98 | +3.58 |
| № | Scenario | Description |
|---|---|---|
| hd0 | Occurred outburst, hydrodynamic modelling only | Modeling the actual outburst flood on 1 September 2017 |
| hd1 | Possible next outburst in case of rock avalanche, hydrodynamic modelling only | Modeling the potential re-outburst in case of rock avalanche |
| hd2 | Possible next outburst, hydrodynamic modelling only | Modeling the potential re-outburst in case of dam failure |
| rf1a+hd0 | Occurred outburst, runoff formation modeling based on observed meteorology, autumn | Modeling the actual outburst flood on 1 September 2017 taking into account observed autumn meteorological conditions |
| rf1s+hd0 | Occurred outburst, runoff formation modeling based on observed meteorology, summer | Modeling the actual outburst flood taking into account observed summer meteorological conditions |
| rf1a+hd2 | Possible next outburst, runoff formation modeling based on observed meteorology, autumn | Modeling the potential re-outburst taking into account observed autumn meteorological conditions |
| rf1s+hd2 | Possible next outburst, runoff formation modeling based on observed meteorology, summer | Modeling the potential re-outburst taking into account observed summer meteorological conditions |
| rf2a+hd0 | Occurred outburst, runoff formation modeling based onprojected meteorology, autumn | Modeling the actual outburst flood on 1 September 2017 taking into account projected autumn meteorological conditions |
| rf2s+hd0 | Occurred outburst, runoff formation modeling based onprojected meteorology, summer | Modeling the actual outburst flood on 1 September 2017 taking into account projected summer meteorological conditions |
| rf2a+hd2 | Possible next outburst, runoff formation modeling based on projected meteorology, autumn | Modeling the potential re-outburst taking into account projected autumn meteorological conditions |
| rf2s+hd2 | Possible next outburst, runoff formation modeling based on projected meteorology, summer | Modeling the potential re-outburst taking into account projected summer meteorological conditions |
Publisher’s Note: MDPI stays neutral with regard to jurisdictional claims in published maps and institutional affiliations. |
© 2021 by the authors. Licensee MDPI, Basel, Switzerland. This article is an open access article distributed under the terms and conditions of the Creative Commons Attribution (CC BY) license (http://creativecommons.org/licenses/by/4.0/).
Share and Cite
Kornilova, E.D.; Krylenko, I.N.; Rets, E.P.; Motovilov, Y.G.; Bogachenko, E.M.; Krylenko, I.V.; Petrakov, D.A. Modeling of Extreme Hydrological Events in the Baksan River Basin, the Central Caucasus, Russia. Hydrology 2021, 8, 24. https://doi.org/10.3390/hydrology8010024
Kornilova ED, Krylenko IN, Rets EP, Motovilov YG, Bogachenko EM, Krylenko IV, Petrakov DA. Modeling of Extreme Hydrological Events in the Baksan River Basin, the Central Caucasus, Russia. Hydrology. 2021; 8(1):24. https://doi.org/10.3390/hydrology8010024
Chicago/Turabian StyleKornilova, Ekaterina D., Inna N. Krylenko, Ekaterina P. Rets, Yuri G. Motovilov, Evgeniy M. Bogachenko, Ivan V. Krylenko, and Dmitry A. Petrakov. 2021. "Modeling of Extreme Hydrological Events in the Baksan River Basin, the Central Caucasus, Russia" Hydrology 8, no. 1: 24. https://doi.org/10.3390/hydrology8010024
APA StyleKornilova, E. D., Krylenko, I. N., Rets, E. P., Motovilov, Y. G., Bogachenko, E. M., Krylenko, I. V., & Petrakov, D. A. (2021). Modeling of Extreme Hydrological Events in the Baksan River Basin, the Central Caucasus, Russia. Hydrology, 8(1), 24. https://doi.org/10.3390/hydrology8010024

