Estimation of Reference Evapotranspiration Using Spatial and Temporal Machine Learning Approaches
Abstract
1. Introduction
2. Materials and Methods
2.1. Study Area Climate and Reference Evapotranspiration (ETo)
2.2. Models Structure and Application
- (i)
- Tmin, Tmax: temperature based (GEP1, SVM1, LR1, RF1)
- (ii)
- Tmin, Tmax, Rs: radiation-based (GEP2, SVM2, LR2, RF2)
- (iii)
- Tmin, Tmax, W: mass transfer based (GEP3, SVM3, LR3, RF3).
2.3. K-Fold Cross-Validation
2.4. Evaluation Criteria
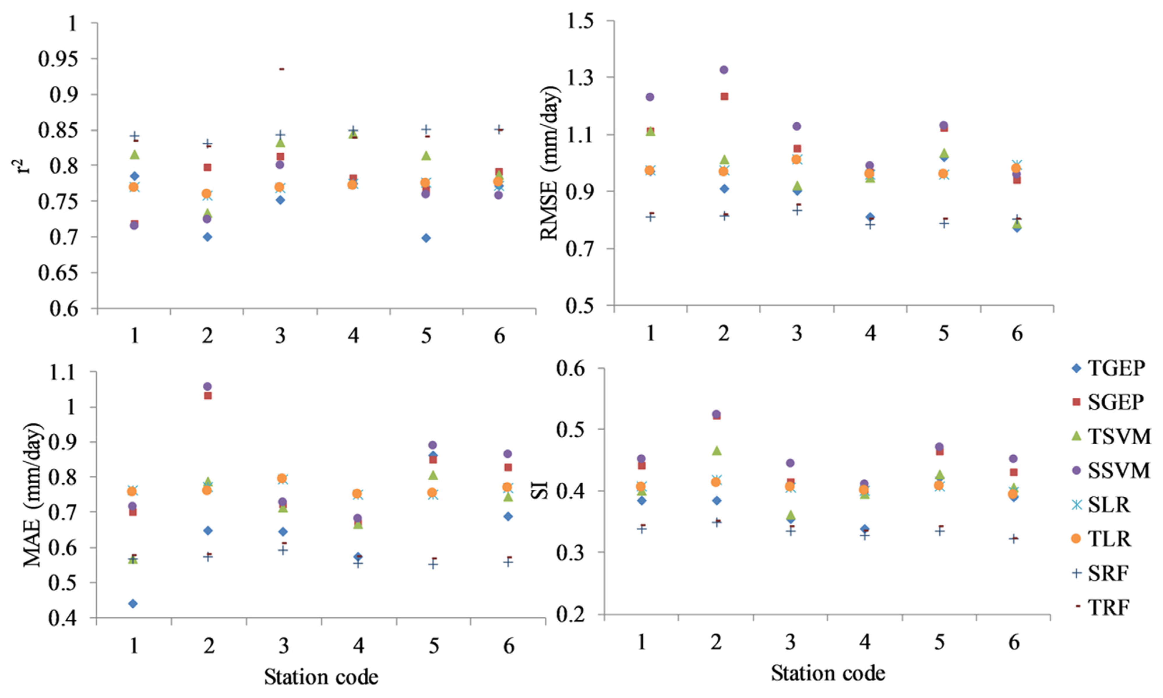
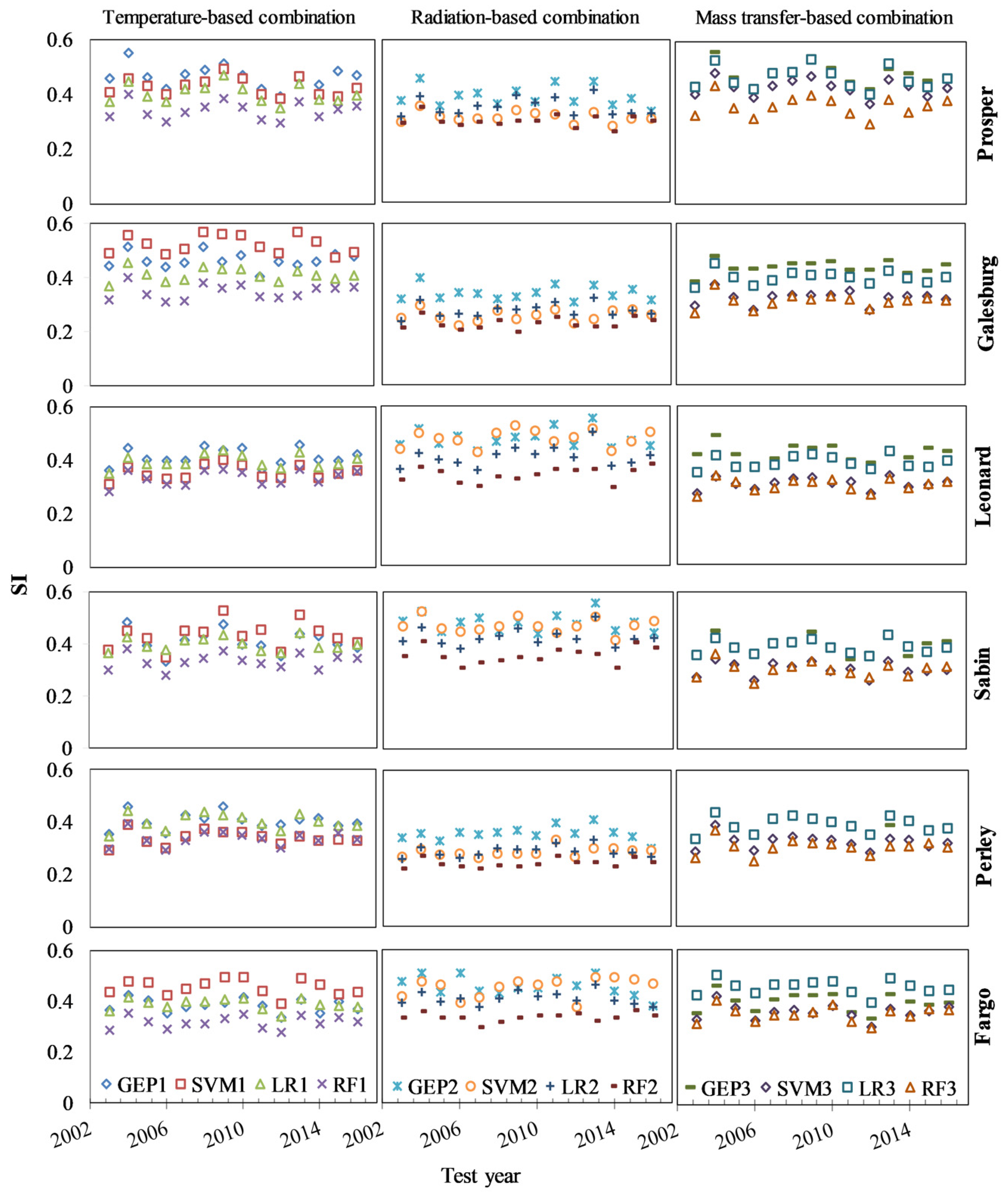
3. Results and Discussions
4. Conclusions
Author Contributions
Funding
Institutional Review Board Statement
Informed Consent Statement
Conflicts of Interest
References
- Allen, R.G.; Pereira, L.S.; Howell, T.A.; Jensen, M.E. Evapotranspiration information reporting: I. Factors governing measurement accuracy. Agric. Water Manag. 2011, 98, 899–920. [Google Scholar] [CrossRef]
- Niaghi, A.R.; Majnooni-Heris, A.; Haghi, D.Z.; Mahtabi, G. Evaluate several potential evapotranspiration methods for regional use in Tabriz, Iran. J. Appl. Environ. Biol. Sci. 2013, 3, 31–41. [Google Scholar]
- Anderson, M.C.; Allen, R.G.; Morse, A.; Kustas, W.P. Use of Landsat thermal imagery in monitoring evapotranspiration and managing water resources. Remote Sens. Environ. 2012. [Google Scholar] [CrossRef]
- Kabenge, I.; Irmak, S.; Meyer, G.E.; Gilley, J.E.; Knezevic, S.; Arkebauer, T.J.; Woodward, D.; Moravek, M. Evapotranspiration and surface energy balance of a common reed-dominated riparian system in the platte river Basin, Central Nebraska. Trans. ASABE 2013, 56, 135–153. [Google Scholar] [CrossRef]
- O’Brien, P.L.; Acharya, U.; Alghamdi, R.; Niaghi, A.R.; Sanyal, D.; Wirtz, J.; Daigh, A.L.M.; DeSutter, T.M. Hydromulch Application to Bare Soil: Soil Temperature Dynamics and Evaporative Fluxes. Agric. Environ. Lett. 2018, 3, 180014. [Google Scholar] [CrossRef]
- Niaghi, A.R.; Jia, X.; Scherer, T.F.; Steele, D.D. Measurement of Non-Irrigated Turfgrass Evapotranspiration Rate in the Red River Valley. Vadose Zone J. 2019, 18, 180202. [Google Scholar] [CrossRef]
- Chávez, J.L.; Howell, T.A.; Copeland, K.S. Evaluating eddy covariance cotton ET measurements in an advective environment with large weighing lysimeters. Irrig. Sci. 2009, 28, 35–50. [Google Scholar] [CrossRef]
- Valayamkunnath, P.; Sridhar, V.; Zhao, W.; Allen, R.G. Intercomparison of surface energy fluxes, soil moisture, and evapotranspiration from eddy covariance, large-aperture scintillometer, and modeling across three ecosystems in a semiarid climate. Agric. For. Meteorol. 2018, 248, 22–47. [Google Scholar] [CrossRef]
- Niaghi, A.R.; Haji Vand, R.; Asadi, E.; Majnooni-Heris, A. Evaluation of Single and Dual Crop Coefficient Methods for Estimation of Wheat. Adv. Environ. Biol. 2015, 9, 963–971. [Google Scholar]
- Elnmer, A.; Khadr, M.; Kanae, S.; Tawfik, A. Mapping daily and seasonally evapotranspiration using remote sensing techniques over the Nile delta. Agric. Water Manag. 2019, 213, 682–692. [Google Scholar] [CrossRef]
- Nagler, P.L.; Scott, R.L.; Westenburg, C.; Cleverly, J.R.; Glenn, E.P.; Huete, A.R. Evapotranspiration on western U.S. rivers estimated using the Enhanced Vegetation Index from MODIS and data from eddy covariance and Bowen ratio flux towers. Remote Sens. Environ. 2005, 97, 337–351. [Google Scholar] [CrossRef]
- Wagle, P.; Bhattarai, N.; Gowda, P.H.; Kakani, V.G. Performance of five surface energy balance models for estimating daily evapotranspiration in high biomass sorghum. ISPRS J. Photogramm. Remote Sens. 2017, 128, 192–203. [Google Scholar] [CrossRef]
- Partal, T.; Cigizoglu, H.K. Prediction of daily precipitation using wavelet-neural networks. Hydrol. Sci. J. 2009, 54, 234–246. [Google Scholar] [CrossRef]
- Torres, A.F.; Walker, W.R.; McKee, M. Forecasting daily potential evapotranspiration using machine learning and limited climatic data. Agric. Water Manag. 2011, 98, 553–562. [Google Scholar] [CrossRef]
- Adnan, R.M.; Chen, Z.; Yuan, X.; Kisi, O.; El-Shafie, A.; Kuriqi, A.; Ikram, M. Reference evapotranspiration modeling using new heuristic methods. Entropy 2020, 22, 547. [Google Scholar] [CrossRef]
- Fan, J.; Yue, W.; Wu, L.; Zhang, F.; Cai, H.; Wang, X.; Lu, X.; Xiang, Y. Evaluation of SVM, ELM and four tree-based ensemble models for predicting daily reference evapotranspiration using limited meteorological data in different climates of China. Agric. For. Meteorol. 2018, 263, 225–241. [Google Scholar] [CrossRef]
- Shiri, J.; Kişi, Ö.; Landeras, G.; López, J.J.; Nazemi, A.H.; Stuyt, L.C.P.M. Daily reference evapotranspiration modeling by using genetic programming approach in the Basque Country (Northern Spain). J. Hydrol. 2012, 414–415, 302–316. [Google Scholar] [CrossRef]
- Kisi, O.; Guven, A. Evapotranspiration Modeling Using Linear Genetic Programming Technique. J. Irrig. Drain. Eng. 2010, 136, 715–723. [Google Scholar]
- Shiri, J.; Nazemi, A.H.; Sadraddini, A.A.; Landeras, G.; Kisi, O.; Fakheri Fard, A.; Marti, P. Comparison of heuristic and empirical approaches for estimating reference evapotranspiration from limited inputs in Iran. Comput. Electron. Agric. 2014, 108, 230–241. [Google Scholar] [CrossRef]
- Wen, X.; Si, J.; He, Z.; Wu, J.; Shao, H.; Yu, H. Support-Vector-Machine-Based Models for Modeling Daily Reference Evapotranspiration With Limited Climatic Data in Extreme Arid Regions. Water Resour. Manag. 2015, 29, 3195–3209. [Google Scholar] [CrossRef]
- Kisi, O. Evapotranspiration modelling from climatic data using a neural computing technique. Hydrol. Process. 2007, 21, 1925–1934. [Google Scholar] [CrossRef]
- Odhiambo, L.O.; Yoder, R.E.; Yoder, D.C.; Hines, J.W. Optimization of Fuzzy Evapotranspiration Model Through Neural Training with Input–Output Examples. Trans. ASAE 2013, 44, 1625–1633. [Google Scholar] [CrossRef]
- Trajkovic, S.; Todorovic, B.; Stankovic, M. Closure to “Forecasting of Reference Evapotranspiration by Artificial Neural Networks” by Slavisa Trajkovic, Branimir Todorovic, and Miomir Stankovic. J. Irrig. Drain. Eng. 2005, 131, 391–392. [Google Scholar] [CrossRef]
- Falamarzi, Y.; Palizdan, N.; Huang, Y.F.; Lee, T.S. Estimating evapotranspiration from temperature and wind speed data using artificial and wavelet neural networks (WNNs). Agric. Water Manag. 2014, 140, 26–36. [Google Scholar] [CrossRef]
- Hassan, M.A.; Khalil, A.; Kaseb, S.; Kassem, M.A. Exploring the potential of tree-based ensemble methods in solar radiation modeling. Appl. Energy 2017, 203, 897–916. [Google Scholar] [CrossRef]
- Feng, Y.; Cui, N.; Gong, D.; Zhang, Q.; Zhao, L. Evaluation of random forests and generalized regression neural networks for daily reference evapotranspiration modelling. Agric. Water Manag. 2017, 193, 163–173. [Google Scholar] [CrossRef]
- Tabari, H.; Kisi, O.; Ezani, A.; Hosseinzadeh Talaee, P. SVM, ANFIS, regression and climate based models for reference evapotranspiration modeling using limited climatic data in a semi-arid highland environment. J. Hydrol. 2012, 444–445, 78–89. [Google Scholar]
- Shirsath, P.B.; Singh, A.K. A Comparative Study of Daily Pan Evaporation Estimation Using ANN, Regression and Climate Based Models. Water Resour. Manag. 2010, 24, 1571–1581. [Google Scholar] [CrossRef]
- Pour-Ali Baba, A.; Shiri, J.; Kisi, O.; Fard, A.F.; Kim, S.; Amini, R. Estimating daily reference evapotranspiration using available and estimated climatic data by adaptive neuro-fuzzy inference system (ANFIS) and artificial neural network (ANN). Hydrol. Res. 2013, 44, 131. [Google Scholar] [CrossRef]
- Feng, Y.; Peng, Y.; Cui, N.; Gong, D.; Zhang, K. Modeling reference evapotranspiration using extreme learning machine and generalized regression neural network only with temperature data. Comput. Electron. Agric. 2017, 136, 71–78. [Google Scholar] [CrossRef]
- Vogt, M. Support Vector Machines for Identification and Classification Problems in Control Engineering. Autom 2008, 56, 391. [Google Scholar] [CrossRef]
- Singh, R.; Helmers, M.J. Improving crop growth simulation in the hydrologic model drain mod to simulate corn yields in subsurface drained landscapes. Am. Soc. Agric. Biol. Eng. Annu. Int. Meet. 2008 2008, 2, 856–873. [Google Scholar]
- Wu, W.; Wang, X.; Xie, D.; Liu, H. Soil water content forecasting by support vector machine in purple hilly region. In IFIP International Federation for Information Processing; Springer: Boston, MA, USA, 2008; Volume 258, pp. 223–230. ISBN 9780387772509. [Google Scholar]
- Kisi, O.; Cimen, M. Reply to the Discussion of “Evapotranspiration modelling using support vector machines” by R. J. Abrahart et al. Hydrol. Sci. J. 2010, 55, 1451–1452. [Google Scholar] [CrossRef]
- Shiri, J.; Kişi, Ö. Comparison of genetic programming with neuro-fuzzy systems for predicting short-term water table depth fluctuations. Comput. Geosci. 2011, 37, 1692–1701. [Google Scholar] [CrossRef]
- Sanford, W.E.; Selnick, D.L. Estimation of Evapotranspiration across the Conterminous United States Using a Regression with Climate and Land-Cover Data. J. Am. Water Resour. Assoc. 2013, 49, 217–230. [Google Scholar] [CrossRef]
- Perugu, M.; Singam, A.J.; Kamasani, C.S.R. Multiple Linear Correlation Analysis of Daily Reference Evapotranspiration. Water Resour. Manag. 2013, 27, 1489–1500. [Google Scholar] [CrossRef]
- Khoshravesh, M.; Sefidkouhi, M.A.G.; Valipour, M. Estimation of reference evapotranspiration using multivariate fractional polynomial, Bayesian regression, and robust regression models in three arid environments. Appl. Water Sci. 2015, 7, 1911–1922. [Google Scholar] [CrossRef]
- Alipour, A.; Yarahmadi, J.; Mahdavi, M. Comparative Study of M5 Model Tree and Artificial Neural Network in Estimating Reference Evapotranspiration Using MODIS Products. J. Climatol. 2014, 2014, 1–11. [Google Scholar] [CrossRef]
- Pérez, J.Á.M.; García-Galiano, S.G.; Martin-Gorriz, B.; Baille, A. Satellite-based method for estimating the spatial distribution of crop evapotranspiration: Sensitivity to the priestley-taylor coefficient. Remote Sens. 2017, 9, 611. [Google Scholar] [CrossRef]
- Shiri, J. Improving the performance of the mass transfer-based reference evapotranspiration estimation approaches through a coupled wavelet-random forest methodology. J. Hydrol. 2018, 561, 737–750. [Google Scholar] [CrossRef]
- NDAWN North Dakota Agricultural Weather Network. Available online: https://ndawn.ndsu.nodak.edu/ (accessed on 21 December 2020).
- ASCE-EWRI. The ASCE standardized reference evapotranspiration equation: ASCE-EWRI Standardization of Reference Evapotranspiration Task Committe Report. Am. Soc. Civ. Eng. 2005. [Google Scholar] [CrossRef]
- Angeline, P.J. Genetic programming: On the programming of computers by means of natural selection. Biosystems 2003, 33, 69–73. [Google Scholar] [CrossRef]
- Ferreira, C. Gene Expression Programming: A New Adaptive Algorithm for Solving Problems. arXiv 2001, arXiv:cs/0102027. [Google Scholar]
- Sharifi, S.S.; Rezaverdinejad, V.; Nourani, V. Estimation of daily global solar radiation using wavelet regression, ANN, GEP and empirical models: A comparative study of selected temperature-based approaches. J. Atmos. Solar-Terrestrial Phys. 2016, 149, 131–145. [Google Scholar] [CrossRef]
- Shiri, J.; Sadraddini, A.A.; Nazemi, A.H.; Kisi, O.; Landeras, G.; Fakheri Fard, A.; Marti, P. Generalizability of Gene Expression Programming-based approaches for estimating daily reference evapotranspiration in coastal stations of Iran. J. Hydrol. 2014, 508, 1–11. [Google Scholar] [CrossRef]
- Cortes, C.; Vapnik, V. Support-Vector Networks. Mach. Learn. 1995, 20, 273–297. [Google Scholar] [CrossRef]
- Vapnik, V. The Support Vector Method of Function Estimation. In Nonlinear Modeling; Springer US: Boston, MA, USA, 2011; pp. 55–85. [Google Scholar]
- Azimi, V.; Salmasi, F.; Entekhabi, N.; Tabari, H.; Niaghi, A. Optimization of Deficit Irrigation Using Non-Linear Programming (Case Study: Mianeh Region, Iran). Ijagcs.com 2013, 252–260. [Google Scholar]
- Géron, A. Hands-On Machine Learning with Scikit-Learn & TensorFlow; O’Reilly Media, Inc.: Sebastopol, CA, USA, 2017; ISBN 9781491962299. [Google Scholar]





| Station | Parameter | Unit | Xmax | Xmin | Xmean | SX | CV | CSX |
|---|---|---|---|---|---|---|---|---|
| Prosper, ND | Tmax | °C | 37.9 | 24.3 | 11.3 | 14.3 | 1.27 | −0.37 |
| Tmin | °C | −29.8 | −38.1 | −0.8 | 13.0 | −16.73 | −0.28 | |
| WS | m s−1 | 14.2 | 0.9 | 4.2 | 1.8 | 0.43 | 0.55 | |
| Rh | % | 100 | 13.8 | 68.6 | 15.6 | 0.23 | −0.14 | |
| RS | MJ m−2 | 31.1 | 0.3 | 13.2 | 7.9 | 0.60 | 0.51 | |
| ETo | mm | 11.4 | 0 | 2.4 | 2.03 | 0.84 | 0.92 | |
| Galesburg, ND | Tmax | °C | 36.8 | 23.6 | 10.9 | 14.2 | 1.30 | −0.33 |
| Tmin | °C | −28.9 | −37.3 | −1.0 | 12.7 | −12.41 | −0.28 | |
| WS | m s−1 | 12.8 | 0.7 | 3.9 | 1.6 | 0.41 | 0.45 | |
| Rh | % | 100 | 18.8 | 68.1 | 15.2 | 0.22 | −0.09 | |
| RS | MJ m−2 | 30.7 | 0.2 | 12.8 | 7.9 | 0.61 | 0.51 | |
| ETo | mm | 10.6 | 0 | 2.3 | 1.97 | 0.85 | 1.03 | |
| Leonard, ND | Tmax | °C | 38.3 | 23.6 | 11.5 | 14.2 | 1.23 | −0.39 |
| Tmin | °C | −28.6 | −37.7 | −0.6 | 12.9 | −21.05 | −0.28 | |
| WS | m s−1 | 13.2 | 0.9 | 4.2 | 1.7 | 0.42 | 0.50 | |
| Rh | % | 100 | 17.85 | 67.40 | 15.3 | 0.23 | −0.02 | |
| RS | MJ m−2 | 31.6 | 8.1 | 13.6 | 8.1 | 0.60 | 0.51 | |
| ETo | mm | 10.6 | 0 | 2.5 | 2.09 | 0.85 | 0.77 | |
| Sabin, MN | Tmax | °C | 37.8 | 24.3 | 11.2 | 14.1 | 1.26 | −0.33 |
| Tmin | °C | −30.2 | −38.5 | −0.2 | 13.0 | −73.34 | −0.24 | |
| WS | m s−1 | 12.7 | 0.5 | 4.0 | 1.7 | 0.42 | 0.46 | |
| Rh | % | 100 | 18.70 | 68.80 | 14.9 | 0.22 | −0.08 | |
| RS | MJ m−2 | 31.6 | 0.4 | 13.0 | 7.9 | 0.61 | 0.51 | |
| ETo | mm | 10.1 | 0 | 2.4 | 2.02 | 0.86 | 0.85 | |
| Perley, MN | Tmax | °C | 37.3 | 24.1 | 10.9 | 14.3 | 1.31 | −0.36 |
| Tmin | °C | −30.5 | −40.7 | −0.7 | 13.1 | −18.07 | −0.30 | |
| WS | m s−1 | 11.8 | 0.8 | 4.1 | 1.7 | 0.41 | 0.48 | |
| Rh | % | 100 | 17.22 | 69.10 | 14.9 | 0.22 | −0.08 | |
| RS | MJ m−2 | 31.3 | 0.4 | 12.8 | 7.9 | 0.61 | 0.51 | |
| ETo | mm | 10.9 | 0 | 2.3 | 2.02 | 0.84 | 1.12 | |
| Fargo, ND | Tmax | °C | 39.6 | 25.6 | 11.4 | 14.2 | 1.24 | −0.36 |
| Tmin | °C | −29.5 | −36.8 | 0.6 | 13.0 | 21.89 | −0.23 | |
| WS | m s−1 | 11.3 | 0.8 | 3.8 | 1.5 | 0.39 | 0.40 | |
| Rh | % | 100 | 15.55 | 66.19 | 14.9 | 0.23 | −0.05 | |
| RS | MJ m−2 | 31.0 | 0.1 | 12.8 | 7.9 | 0.61 | 0.52 | |
| ETo | mm | 10.5 | 0 | 2.5 | 2.07 | 0.84 | 0.92 |
| Number of Chromosomes | 30 | One-Point Recombination Rate | 0.3 |
|---|---|---|---|
| Head of the size | 8 | Two-point recombination rate | 0.3 |
| Number of genes | 3 | Gene recombination rate | 0.1 |
| Linking function | Addition | Gene transposition rate | 0.1 |
| Fitness function error type | RMSE | Insertion sequence transposition rate | 0.1 |
| Mutation rate | 0.044 | Root insertion sequence transposition | 0.1 |
| Inversion rate | 0.1 | Penalizing tool | parsimony pressure |
| Evaluation Criteria | Input Combination | ||||||||||||
|---|---|---|---|---|---|---|---|---|---|---|---|---|---|
| 1 (Temperature-Based) | 2 (Radiation-Based) | 3 (Mass-transfer-based) | |||||||||||
| Approach | GEP | SVM | LR | RF | GEP | SVM | LR | RF | GEP | SVM | LR | RF | |
| R2 | T S | 0.75 0.78 | 0.80 0.75 | 0.77 0.77 | 0.85 0.84 | 0.85 0.87 | 0.91 0.85 | 0.88 0.88 | 0.92 0.93 | 0.77 0.77 | 0.86 0.77 | 0.78 0.78 | 0.86 0.88 |
| RMSE (mm/day) | T S | 0.90 1.07 | 0.97 1.13 | 0.97 0.98 | 0.82 0.80 | 0.71 0.76 | 0.72 0.77 | 0.68 0.69 | 0.57 0.55 | 0.72 0.91 | 0.73 0.93 | 0.94 0.95 | 0.73 0.69 |
| MAE (mm/day) | T S | 0.64 0.84 | 0.71 0.82 | 0.76 0.77 | 0.58 0.57 | 0.50 0.57 | 0.54 0.61 | 0.51 0.52 | 0.38 0.36 | 0.64 0.69 | 0.62 0.67 | 0.75 0.76 | 0.53 0.49 |
| SI | T S | 0.38 0.44 | 0.41 0.46 | 0.40 0.40 | 0.34 0.33 | 0.29 0.32 | 0.30 0.33 | 0.28 0.29 | 0.24 0.23 | 0.35 0.38 | 0.33 0.36 | 0.39 0.39 | 0.30 0.28 |
Publisher’s Note: MDPI stays neutral with regard to jurisdictional claims in published maps and institutional affiliations. |
© 2021 by the authors. Licensee MDPI, Basel, Switzerland. This article is an open access article distributed under the terms and conditions of the Creative Commons Attribution (CC BY) license (http://creativecommons.org/licenses/by/4.0/).
Share and Cite
Rashid Niaghi, A.; Hassanijalilian, O.; Shiri, J. Estimation of Reference Evapotranspiration Using Spatial and Temporal Machine Learning Approaches. Hydrology 2021, 8, 25. https://doi.org/10.3390/hydrology8010025
Rashid Niaghi A, Hassanijalilian O, Shiri J. Estimation of Reference Evapotranspiration Using Spatial and Temporal Machine Learning Approaches. Hydrology. 2021; 8(1):25. https://doi.org/10.3390/hydrology8010025
Chicago/Turabian StyleRashid Niaghi, Ali, Oveis Hassanijalilian, and Jalal Shiri. 2021. "Estimation of Reference Evapotranspiration Using Spatial and Temporal Machine Learning Approaches" Hydrology 8, no. 1: 25. https://doi.org/10.3390/hydrology8010025
APA StyleRashid Niaghi, A., Hassanijalilian, O., & Shiri, J. (2021). Estimation of Reference Evapotranspiration Using Spatial and Temporal Machine Learning Approaches. Hydrology, 8(1), 25. https://doi.org/10.3390/hydrology8010025

