On the Sensitivity of Standardized-Precipitation-Evapotranspiration and Aridity Indexes Using Alternative Potential Evapotranspiration Models
Abstract
1. Introduction
2. Materials and Methods
2.1. Study Area
2.2. Modelling Procedures
- 1.
- The water balance was estimated using the following equation for three different PET models:where P is the rainfall (mm), PET is the potential evapotranspiration (mm), k is the timescale (months) of the aggregation and n is the calculation month.
- 2.
3. Results
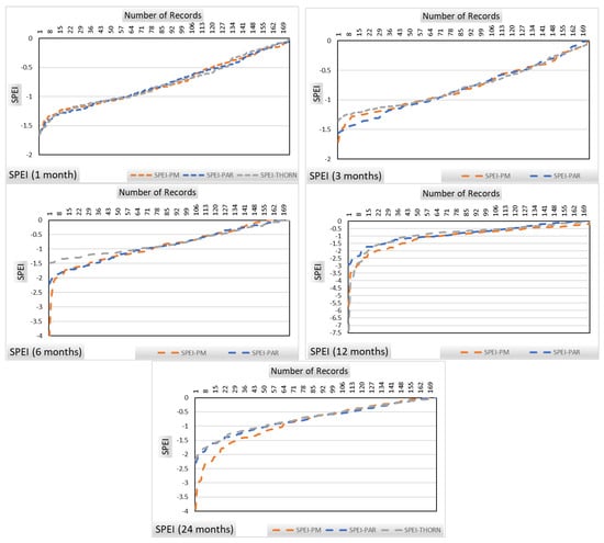
3.1. SPEI in Davis Gauge Station
- Severe to extreme droughts are observed for the periods 1984–1985 and 1991–1992 for SPEI for 6-month and 12-month timescales. Lower SPEI timescales (1 month to 3 months) show annual occurrence of mild to moderate drought conditions. Limited SPEI values for 1984 are slightly lower than −1.5, which is a cut-off referring to severe drought conditions.
- For scales up to 6 months, the droughts class severity is underestimated by both parametric and Thornthwaite models. The latter presents the highest deficiencies against drought classes when compared to the parametric model.
- A major drought event (1984–1986) seems to be underestimated substantially by both PET models for the 12-month and 24-month timescales. A moderate drought event for the period 1987–1988 seems to be underestimated by the parametric model and less so by the Thornthwaite model.
- Overall, the consideration of alternative PET models proves the sensitivity of the drought classification when SPEI is analyzed.
- All three PET models provide similar drought SPEI classification up to 3-month timescales.
- The Thornthwaite model underestimates drought severe class in some 6-month events whereas the parametric model provides a more accurate classification of those events.
- The Thornthwaite model overestimates drought classes for 12-month events while the parametric model does the opposite.
- Both PET models (parametric, Thornthwaite) overestimate 24-month drought classes.
3.2. Error Analysis of the Total Sample
- SPEI-parametric and SPEI-Thornthwaite for up to 6 months provide similar drought classifications to the SPEI-PM index. The SPEI-parametric index shows better fit when compared to the SPEI-PM indexes. The latter proves that the PET parametric model has better performance than the PET Thornthwaite model.
- Drought severity is underestimated at 12 months by both SPEI-Thornthwaite and FSPEI-parametric models for limited drought events.
- A high classification variance is observed for SPEI at 24 months with both underestimating drought severity with SPEI-parametric and overestimating drought severity with SPEI-Thornthwaite.
3.3. Error Analysis of the Aridity Index
4. Discussion
- Potential evapotranspiration is the most complex meteorological process and significant numbers of simultaneous meteorological variables are required for its indirect estimation. The importance of simplified PET models is noteworthy. In this vein, the recent temperature-base parametric model can support drought studies when full meteorological gauges for estimating using the Penman–Monteith model are not available. As highlighted above parametric, the PET model outperforms the Thornthwaite PET model when the standardized precipitation-evapotranspiration index is assessed. The Thornthwaite PET model fails to provide accurate PET estimates, especially in arid and semi-arid areas and seems to be suitable for use only in warm climates where the temperature is the main PET driver.
- The parametric PET model is recommended for use throughout the majority of the Earth in both arid and humid environments. Further research for improving the model’s performance is proposed in tropical and sub-tropical environments, as is detailed by Tegos et al. (2017) [25] and dos Santos et al. (2021) [31].
- From previous studies, the parametric PET model, even though it is robust, tends to underestimate monthly summer PET peaks, and monthly summer PET peaks may impact the drought severity during water stressed seasons. Thus, the development of a PET stochastic model can provide further insights in drought studies [32,33] if a stochastic component is considered and embedded within a parsimony framework as set out in previous studies [34].
- New advanced computational tools associated with different drought indexes are necessary to support geoscientists to capture a holistic view of the phenomenon [37].
- Simple index approaches associated with top-down models have received criticism when the drought classification is considered under the short-term with a lack of gauge records. The recent development of multidimensional machine learning–based algorithms may provide opportunities for developing drought forecasting models [38,39,40]. Comparative analysis among the different drought indexes is also recommended in order to improve our knowledge on the drought natural hazard as a natural phenomenon [41], since the definition of the drought among different scientific disciplines remains challenging [42].
5. Conclusions
Author Contributions
Funding
Institutional Review Board Statement
Informed Consent Statement
Data Availability Statement
Acknowledgments
Conflicts of Interest
References
- Pandžić, K.; Likso, T.; Curić, O.; Mesić, M.; Pejić, I.; Pasarić, Z. Drought indices for the Zagreb-Grič Observatory with an overview of drought damage in agriculture in Croatia. Theor. Appl. Climatol. 2020, 142, 555–567. [Google Scholar] [CrossRef]
- Niemeyer, S. New drought indices. Options Méditerranéennes Série A Séminaires Méditerranéens 2008, 80, 267–274. [Google Scholar]
- Hao, Z.; Yuan, X.; Xia, Y.; Hao, F.; Singh, V.P. An overview of drought monitoring and prediction systems at regional and global scales. Bull. Am. Meteorol. Soc. 2017, 98, 1879–1896. [Google Scholar] [CrossRef]
- Heim, R.R., Jr. A review of twentieth-century drought indices used in the United States. Bull. Am. Meteorol. Soc. 2002, 83, 1149–1166. [Google Scholar] [CrossRef]
- Vicente-Serrano, S.M.; Beguería, S.; López-Moreno, J.I. A multiscalar drought index sensitive to global warming: The standardized precipitation evapotranspiration index. J. Clim. 2010, 23, 1696–1718. [Google Scholar] [CrossRef]
- Brleković, T.; Tadić, L. Hydrological Drought Assessment in a Small Lowland Catchment in Croatia. Hydrology 2022, 9, 79. [Google Scholar] [CrossRef]
- Emiru, N.C.; Recha, J.W.; Thompson, J.R.; Belay, A.; Aynekulu, E.; Manyevere, A.; Demissie, T.D.; Osano, P.M.; Hussein, J.; Molla, M.B.; et al. Impact of Climate Change on the Hydrology of the Upper Awash River Basin, Ethiopia. Hydrology 2021, 9, 3. [Google Scholar] [CrossRef]
- Kimaru, A.N.; Gathenya, J.M.; Cheruiyot, C.K. The temporal variability of rainfall and streamflow into lake Nakuru, Kenya, assessed using SWAT and hydrometeorological indices. Hydrology 2019, 6, 88. [Google Scholar] [CrossRef]
- Di Giuseppe, E.; Pasqui, M.; Magno, R.; Quaresima, S. A counting process approach for trend assessment of drought condition. Hydrology 2019, 6, 84. [Google Scholar] [CrossRef]
- Hui-Mean, F.; Yusop, Z.; Yusof, F. Drought analysis and water resource availability using standardised precipitation evapotranspiration index. Atmos. Res. 2018, 201, 102–115. [Google Scholar] [CrossRef]
- Beštáková, Z.; Strnad, F.; Vargas Godoy, M.R.; Singh, U.; Markonis, Y.; Hanel, M.; Máca, P.; Kyselý, J. Changes of the aridity index in Europe from 1950 to 2019. Theor. Appl. Climatol. 2022, 151, 587–601. [Google Scholar] [CrossRef]
- Budyko, M.I. Climate and Life; Academic Press: Cambridge, MA, USA, 1974. [Google Scholar]
- Stagge, J.H.; Tallaksen, L.M.; Xu, C.Y.; Van Lanen, H.A. Standardized precipitation-evapotranspiration index (SPEI): Sensitivity to potential evapotranspiration model and parameters. In Hydrology in a Changing World; Springer: Cham, Switzerland, 2014; Volume 363, pp. 367–373. [Google Scholar]
- Beguería, S.; Vicente-Serrano, S.M.; Reig, F.; Latorre, B. Standardized precipitation evapotranspiration index (SPEI) revisited: Parameter fitting, evapotranspiration models, tools, datasets and drought monitoring. Int. J. Climatol. 2014, 34, 3001–3023. [Google Scholar] [CrossRef]
- Wang, W.; Guo, B.; Zhang, Y.; Zhang, L.; Ji, M.; Xu, Y.; Zhang, X.; Zhang, Y. The sensitivity of the SPEI to potential evapotranspiration and precipitation at multiple timescales on the Huang-Huai-Hai Plain, China. Theor. Appl. Climatol. 2021, 143, 87–99. [Google Scholar] [CrossRef]
- Ortiz-Gómez, R.; Flowers-Cano, R.S.; Medina-García, G. Sensitivity of the RDI and SPEI Drought Indices to Different Models for Estimating Evapotranspiration Potential in Semiarid Regions. Water Resour. Manag. 2022, 36, 2471–2492. [Google Scholar] [CrossRef]
- Ogunrinde, A.T.; Olasehinde, D.A.; Olotu, Y. Assessing the sensitivity of standardized precipitation evapotranspiration index to three potential evapotranspiration models in Nigeria. Sci. Afr. 2020, 8, e00431. [Google Scholar] [CrossRef]
- Shi, L.; Feng, P.; Wang, B.; Li Liu, D.; Yu, Q. Quantifying future drought change and associated uncertainty in southeastern Australia with multiple potential evapotranspiration models. J. Hydrol. 2020, 590, 125394. [Google Scholar] [CrossRef]
- McMahon, T.A.; Finlayson, B.L.; Peel, M.C. Historical developments of models for estimating evaporation using standard meteorological data. Wiley Interdiscip. Rev. Water 2016, 3, 788–818. [Google Scholar] [CrossRef]
- McMahon, T.A.; Peel, M.C.; Lowe, L.; Srikanthan, R.; McVicar, T.R. Estimating actual, potential, reference crop and pan evaporation using standard meteorological data: A pragmatic synthesis. Hydrol. Earth Syst. Sci. 2013, 17, 1331–1363. [Google Scholar] [CrossRef]
- Kogan, F.; Guo, W. 2006–2015 mega-drought in the western USA and its monitoring from space data. Geomat. Nat. Hazards Risk 2015, 6, 651–668. [Google Scholar] [CrossRef]
- Monteith, J.L. Evaporation and environment. In Symposia of the Society for Experimental Biology; Cambridge University Press (CUP): Cambridge, UK, 1965; Volume 19, pp. 205–234. [Google Scholar]
- Thornthwaite, C.W. An approach toward a rational classification of climate. Geogr. Rev. 1948, 38, 55–94. [Google Scholar] [CrossRef]
- Tegos, A.; Malamos, N.; Koutsoyiannis, D. A parsimonious regional parametric evapotranspiration model based on a simplification of the Penman–Monteith formula. J. Hydrol. 2015, 524, 708–717. [Google Scholar] [CrossRef]
- Tegos, A.; Malamos, N.; Efstratiadis, A.; Tsoukalas, I.; Karanasios, A.; Koutsoyiannis, D. Parametric modelling of potential evapotranspiration: A global survey. Water 2017, 9, 795. [Google Scholar] [CrossRef]
- Tegos, A.; Malamos, N.; Koutsoyiannis, D. RASPOTION—A New Global PET Dataset by Means of Remote Monthly Temperature Data and Parametric Modelling. Hydrology 2022, 9, 32. [Google Scholar] [CrossRef]
- Koutsoyiannis, D.; Montanari, A. Climate Extrapolations in Hydrology: The Expanded Bluecat Methodology. Hydrology 2022, 9, 86. [Google Scholar] [CrossRef]
- Food and Agriculture Organization (FAO). Forest Resources Assessment 1990 Tropical Countries; Food and Agriculture Organization of the United Nations: Rome, Italy, 1993. [Google Scholar]
- UNESCO. Map of the world distribution of arid regions: Explanatory note. In MAP Technical Notes 7; UNESCO: Paris, Italy, 1979; p. 54. [Google Scholar]
- UNEP. World Atlas of Desertification; United Nations Environment Program: London, UK, 1992. [Google Scholar]
- dos Santos, A.A.; Moretti de Souza, J.L.; Rosa, S.L.K. Evapotranspiration with the Moretti-Jerszurki-Silva model for the Brazilian sub-tropical climate. Hydrol. Sci. J. 2021, 66, 2267–2279. [Google Scholar] [CrossRef]
- Dimitriadis, P.; Tegos, A.; Koutsoyiannis, D. Stochastic analysis of hourly to monthly potential evapotranspiration with a focus on the long-range dependence and application with reanalysis and ground-station data. Hydrology 2021, 8, 177. [Google Scholar] [CrossRef]
- Koutsoyiannis, D. HESS Opinions “A random walk on water”. Hydrol. Earth Syst. Sci. 2010, 14, 585–601. [Google Scholar] [CrossRef]
- Efstratiadis, A.; Nalbantis, I.; Koutsoyiannis, D. Hydrological modelling of temporally-varying catchments: Facets of change and the value of information. Hydrol. Sci. J. 2015, 60, 1438–1461. [Google Scholar] [CrossRef]
- Liu, Q.; Zhang, S.; Zhang, H.; Bai, Y.; Zhang, J. Monitoring drought using composite drought indices based on remote sensing. Sci. Total Environ. 2020, 711, 134585. [Google Scholar] [CrossRef]
- Wang, F.; Yang, H.; Wang, Z.; Zhang, Z.; Li, Z. Drought evaluation with CMORPH satellite precipitation data in the Yellow River Basin by using gridded standardized precipitation evapotranspiration index. Remote Sens. 2019, 11, 485. [Google Scholar] [CrossRef]
- Anderson, M.C.; Hain, C.; Wardlow, B.; Pimstein, A.; Mecikalski, J.R.; Kustas, W.P. Evaluation of drought indices based on thermal remote sensing of evapotranspiration over the continental United States. J. Clim. 2011, 24, 2025–2044. [Google Scholar] [CrossRef]
- Tigkas, D.; Vangelis, H.; Proutsos, N.; Tsakiris, G. Incorporating aSPI and eRDI in Drought Indices Calculator (DrinC) Software for Agricultural Drought Characterisation and Monitoring. Hydrology 2022, 9, 100. [Google Scholar] [CrossRef]
- Markonis, Y.; Kumar, R.; Hanel, M.; Rakovec, O.; Máca, P.; AghaKouchak, A. The rise of compound warm-season droughts in Europe. Sci. Adv. 2021, 7, eabb9668. [Google Scholar] [CrossRef] [PubMed]
- AghaKouchak, A.; Pan, B.; Mazdiyasni, O.; Sadegh, M.; Jiwa, S.; Zhang, W.; Love, C.A.; Madadgar, S.; Papalexiou, S.M.; Davis, S.J.; et al. Status and prospects for drought forecasting: Opportunities in artificial intelligence and hybrid physical–statistical forecasting. Philos. Trans. R. Soc. A 2022, 380, 20210288. [Google Scholar] [CrossRef]
- Myronidis, D.; Fotakis, D.; Ioannou, K.; Sgouropoulou, K. Comparison of ten notable meteorological drought indices on tracking the effect of drought on streamflow. Hydrol. Sci. J. 2018, 63, 2005–2019. [Google Scholar] [CrossRef]
- Wilhite, D.A.; Glantz, M.H. Understanding: The drought phenomenon: The role of definitions. Water Int. 1985, 10, 111–120. [Google Scholar] [CrossRef]





| Sequence Number | Name | Meteorological Variables | Temporal Resolution | Time Period |
|---|---|---|---|---|
| 1 | Davis | Temperature, relative humidity, radiation, wind velocity | monthly | 1982–2013 |
| 2 | Gerber | Temperature, relative humidity, radiation, wind velocity | monthly | 1982–2013 |
| 3 | Durham | Temperature, relative humidity, radiation, wind velocity | monthly | 1982–2013 |
| 4 | Carmino | Temperature, relative humidity, radiation, wind velocity | monthly | 1982–2013 |
| 5 | Stratford | Temperature, relative humidity, radiation, wind velocity | monthly | 1982–2013 |
| 6 | Kettleman | Temperature, relative humidity, radiation, wind velocity | monthly | 1982–2013 |
| Drought Category | SPEI Value |
|---|---|
| No drought | >−0.5 |
| Mild drought | −0.5~−1 |
| Moderate drought | −1~−1.5 |
| Severe drought | −1.5~−2 |
| Extreme drought | <−2 |
| UNESCO (Penman) | UNEP (Thornthwaite) | |
|---|---|---|
| Aridity Climate Zone | AI values | |
| Hyper-arid | <0.03 | <0.05 |
| Arid | 0.03–0.2 | 0.05–0.2 |
| Semi-arid | 0.2–0.5 | 0.2–0.5 |
| Dry sub-humid | 0.5–0.75 | 0.5–0.65 |
| Humid | >0.75 | >0.65 |
| Station | RMSE (mm) | MBE (mm) | Correlation (r) | |||
|---|---|---|---|---|---|---|
| Parametric | Thornthwaite | Parametric | Thornthwaite | Parametric | Thornthwaite | |
| Davis | 67.6 | 642.6 | −6.2 | −637.7 | 0.57 | 0.27 |
| Gerber | 103.8 | 560.6 | 16.0 | −551.9 | 0.31 | 0.1 |
| Durham | 64.2 | 458.7 | 5.5 | −450.5 | 0.58 | 0.31 |
| Carmino | 65.1 | 643.3 | 3.2 | −640.0 | 0.64 | 0.63 |
| Stratford | 94.7 | 638.6 | 29.1 | −630.9 | 0.61 | 0.1 |
| Kettleman | 75.2 | 618.7 | −23.8 | −615.9 | 0.56 | 0.73 |
| Penman–Monteith | Parametric | Thornthwaite | ||||
|---|---|---|---|---|---|---|
| Station | AI Value | Climatic Zone | AI Value | Climatic Zone | AI Value | Climatic Zone |
| Davis | 0.320 | Semi-arid | 0.321 | Semi-arid | 0.571 | Sub-humid |
| Gerber | 0.465 | Semi-arid | 0.460 | Semi-arid | 0.762 | Sub-humid |
| Durham | 0.454 | Semi-arid | 0.452 | Semi-arid | 0.695 | Sub-humid |
| Carmino | 0.662 | Sub-humid | 0.660 | Sub-humid | 1.212 | Humid |
| Stratford | 0.133 | Arid | 0.128 | Arid | 0.224 | Semi-arid |
| Kettleman | 0.155 | Semi-arid | 0.158 | Semi-arid | 0.256 | Sub-humid |
Disclaimer/Publisher’s Note: The statements, opinions and data contained in all publications are solely those of the individual author(s) and contributor(s) and not of MDPI and/or the editor(s). MDPI and/or the editor(s) disclaim responsibility for any injury to people or property resulting from any ideas, methods, instructions or products referred to in the content. |
© 2023 by the authors. Licensee MDPI, Basel, Switzerland. This article is an open access article distributed under the terms and conditions of the Creative Commons Attribution (CC BY) license (https://creativecommons.org/licenses/by/4.0/).
Share and Cite
Tegos, A.; Stefanidis, S.; Cody, J.; Koutsoyiannis, D. On the Sensitivity of Standardized-Precipitation-Evapotranspiration and Aridity Indexes Using Alternative Potential Evapotranspiration Models. Hydrology 2023, 10, 64. https://doi.org/10.3390/hydrology10030064
Tegos A, Stefanidis S, Cody J, Koutsoyiannis D. On the Sensitivity of Standardized-Precipitation-Evapotranspiration and Aridity Indexes Using Alternative Potential Evapotranspiration Models. Hydrology. 2023; 10(3):64. https://doi.org/10.3390/hydrology10030064
Chicago/Turabian StyleTegos, Aristoteles, Stefanos Stefanidis, John Cody, and Demetris Koutsoyiannis. 2023. "On the Sensitivity of Standardized-Precipitation-Evapotranspiration and Aridity Indexes Using Alternative Potential Evapotranspiration Models" Hydrology 10, no. 3: 64. https://doi.org/10.3390/hydrology10030064
APA StyleTegos, A., Stefanidis, S., Cody, J., & Koutsoyiannis, D. (2023). On the Sensitivity of Standardized-Precipitation-Evapotranspiration and Aridity Indexes Using Alternative Potential Evapotranspiration Models. Hydrology, 10(3), 64. https://doi.org/10.3390/hydrology10030064

