Next Article in Journal
Investigating the Routes to Produce Cellulose Fibers from Agro-Waste: An Upcycling Process
Previous Article in Journal
Improved Hydrothermal Conversion of Pea Pod Biomass for Production of Platform Chemicals with Organic Acid Catalysts
 
 
Font Type:
Arial Georgia Verdana
Font Size:
Aa Aa Aa
Line Spacing:
Column Width:
Background:
Article

Ionogels in Aqueous Media: From Conductometric Probing of the Ionic Liquid Washout to the Design of More Stable Materials

by
Sergei Yu. Kottsov
1,
Alexandra O. Badulina
1,
Vladimir K. Ivanov
1,2,
Alexander E. Baranchikov
1,*,
Aleksey V. Nelyubin
1,
Nikolay P. Simonenko
1,
Nikita A. Selivanov
1,
Marina E. Nikiforova
1 and
Aslan Yu. Tsivadze
3
1
Kurnakov Institute of General and Inorganic Chemistry of the Russian Academy of Science, Leninsky Prospekt, 31, 119991 Moscow, Russia
2
Faculty of Materials Science, Lomonosov Moscow State University, Building 73, Leninskye Gory, 1, 119991 Moscow, Russia
3
Frumkin Institute of Physical Chemistry and Electrochemistry of the Russian Academy of Science, Leninsky Prospekt, 31 k. 4, 119071 Moscow, Russia
*
Author to whom correspondence should be addressed.
ChemEngineering 2024, 8(6), 111; https://doi.org/10.3390/chemengineering8060111
Submission received: 11 September 2024 / Revised: 3 October 2024 / Accepted: 10 October 2024 / Published: 1 November 2024

Abstract

Although the most promising applications of ionogels require their contact with aqueous media, few data are available on the stability of ionogels upon exposure to water. In this paper, a simple, easy-to-setup and precise method is presented, which was developed based on the continuous conductivity measurements of an aqueous phase, to study the washout of imidazolium ionic liquids (IL) from various silica-based ionogels immersed in water. The accuracy of the method was verified using HPLC, its reproducibility was confirmed, and its systematic errors were estimated. The experimental data show the rapid and almost complete (>90% in 5 h) washout of the hydrophilic IL (1-butyl-3-methylimidazolium dicyanamide) from the TMOS-derived silica ionogel. To lower the rate and degree of washout, several approaches were analysed, including decreasing IL content in ionogels, using ionogels in a monolithic form instead of a powder, constructing ionogels by gelation of silica in an ionic liquid, ageing ionogels after sol–gel synthesis and constructing ionogels from both hydrophobic IL and hydrophobic silica. All these approaches inhibited IL washout; the lowest level of washout achieved was ~14% in 24 h. Insights into the ionogels’ structure and composition, using complementary methods (XRD, TGA, FTIR, SEM, NMR and nitrogen adsorption), revealed the washout mechanism, which was shown to be governed by three main processes: the diffusion of (1) IL and (2) water, and (3) IL dissolution in water. Washout was shown to follow pseudo-second-order kinetics, with the kinetic constants being in the range of 0.007–0.154 mol−1·s−1.

1. Introduction

Ionic liquids (ILs) are salts with a melting point below 100 °C or near room temperature [1]. They usually comprise a large and highly asymmetric organic cation and a relatively small organic or inorganic anion. The chemical composition of ionic liquids hinders their crystallisation upon cooling and provides them with a set of unique properties [1,2]: high ionic conductivity [3], wide electrochemical stability windows [4], extremely low vapour pressures [5], high thermal stability [6] and great dissolving abilities for a wide range of ionic and molecular substances [7]. These characteristics make ionic liquids excellent solvents [8], electrolytes [9], catalysts and reaction media [10], extractants [11,12], lubricants [13], etc. However, ILs are generally expensive, relatively hard to synthesise and purify, and often toxic to the environment [14,15]. The latter drawback is exacerbated by a high level of solubility in aqueous media or industrial liquors of poorly soluble ionic liquids [16,17], resulting in uncontrolled and non-recoverable losses of high-cost and often harmful substances [18].
These drawbacks can be overcome by the confinement of ionic liquids in solid porous matrices; in other words, by using ionogels instead of pure ionic liquids [19]. Ionogels smartly synergise the beneficial properties inherent in ILs with the mechanical stiffness and constant shape of a solid phase. Ionogels are generally considered stable materials in most senses [19]: mechanically (they are highly and reversibly stretchable [20,21], they have a self-healing ability [22,23], and there is a low-to-negligible IL leakage from a self-standing sample); electrochemically (they have a wide electrochemical stability window [19]); thermally (ILs are usually more stable in ionogels due to confinement effects [24,25]); in terms of sustainability, (ionogel components are involatile and the properties of ionogels are virtually immune to minor changes in the environment [26,27]).
Ionogel-based materials are promising for the design of wearable electronics [28,29], advanced extraction technologies [11,30], water remediation [31,32] and desalination stations [30], underwater [27,33,34] or microfluidic devices [35,36,37,38], drug delivery systems [39], etc. Most of these applications imply the prolonged contact of the materials with moisture or even direct immersion in aqueous media. Thus, the ability of an ionogel to retain an ionic liquid and to withstand the ionic liquid’s washout and dissolution in an aqueous medium becomes the key property. Surprisingly, in the current literature, the stability of ionogels in aqueous media are often insubstantially postulated without any attempt to evaluate it, even qualitatively.
There are only a few reports available (Table 1) concerning the stability of ionogels in aqueous media. Most of them state the poor or awful stability of the materials, and significant IL washout has been reported for both silica-based [40,41] and polymer-based ionogels [20,34,42,43]. Most strikingly, Horowitz et al. reported a 99% washout of bis(trifluoromethylsulphonyl)imide (TFSI)-based ionic liquid from a silica matrix in a single washing cycle [41]. Presumably, ionic liquid washout is a crucial flaw of all ionogels, and, to date, there are hardly any known techniques to overcome it and virtually no adequate methods to estimate it quantitatively.
Recently, confinement in a solid matrix has been shown to reduce the solubility of ILs in aqueous media compared with bulk ILs, e.g., a two-fold decrease in solubility has been reported for tetrahexylammonium dicyanamide confined in silica [40]. Up to now, only one reliable approach has been reported to prevent the washout of ILs from ionogels, namely the construction of ionogels using hydrophobic solid matrices [42,43,44] and low water-soluble (hydrophobic) ILs. For example, the difference in IL washout for ionogels comprising imidazolium trifluoromethanesulfonate (higher solubility in water) in comparison with imidazolium TFSI (lower solubility in water) has been shown to be as much as 30% [34]. A fundamentally different method for reducing washout was proposed by Yang et al., who covered the polymer ionogel with an elastomer coating, which reduced washout from 90% (for the uncoated sample) to 1.2% (for the coated one) [45]. However, this approach is unsuitable for the most promising ionogel applications, as it shields the ionogel surface, breaking the contact between an ionic liquid and its environment.
Several approaches have been proposed to quantify washout from ionogels, namely, NMR spectroscopy [40], inductively coupled plasma optical emission spectroscopy [42], total organic carbon determination [43], titration [41] and the weighing of an ionogel sample during a washout experiment [20,34]. These methods are either hard to setup or inaccurate and labour-intensive. In the aforementioned report by Yang et al., discontinuous conductometry was used to monitor washout, but no critical evaluation of the method’s applicability, accuracy and repeatability was provided [45].
In the current work, a simple and convenient method is proposed for the monitoring of the ionic liquid washout from ionogels into an aqueous phase. The method is based on continuous conductometric measurements of an aqueous medium containing a submerged ionogel sample. Conductometry results were verified by high performance liquid chromatography measurements and the possible sources of errors were analysed. The conductometry measurements were used to assess the stability of ionogels prepared by different methods and having different compositions, which enabled IL washout to be reduced from 99% to 15% in 24 h. The analysis of the ionogel before and after washout, using advanced materials chemistry methods (FTIR, TGA, NMR, SEM and nitrogen adsorption), revealed the washout mechanism.
Silica-confined 3-alkyl-1-methylimidazolium (CnMIm) ILs were used as ionogel materials. CnMIm ILs are the most convenient ILs because of the versatility of their properties, particularly their solubility in water (from complete intermiscibility down to <1 wt.% [17]). Porous silica was also the material of choice for the preparation of ionogels due to the range of possibilities for tuning its chemical composition, structure and properties using convenient sol–gel routes [46,47,48].

2. Materials and Methods

2.1. Reagents

For the synthesis of silica-based ionogels, tetramethoxysilane (TMOS, 98%, Merck, Rahway, NJ, USA) and methyltrimethoxysilane (MTMS, 98%, Macklin, Shanghai, China), methanol (HPLC-grade, Khimmed, Moscow, Russia), HCl (reagent-grade, Sigma-Tek, Moscow, Russia) and NH4OH (25 wt.% aq. solution, reagent-grade, Khimmed, Moscow, Russia), were used.
For the synthesis of ionogels, the following ionic liquids, supplied by Macklin, were used as received (see Table S1 for the overview of the properties of the ILs [16,17,49,50]):
  • 1-butyl-3-methylimidazolium dicyanamide (BMIm DCA, 97%);
  • 1-ethyl-3-methylimidazolium bis(trifluoromethylsulfonyl)imide (EMIm TFSI, 97%);
  • 1-butyl-3-methylimidazolium bis(trifluoromethylsulfonyl)imide (BMIm TFSI, 98%);
  • 1-methyl-3-octylimidazolium bis(trifluoromethylsulfonyl)imide (OMIm TFSI, 97%).
In the experiments, acetonitrile (reagent-grade, Khimmed) and Milli-Q (Merck) grade water were also used.

2.2. Preparation of Ionogels

Information on the synthesis conditions of ionogel samples is summarised in Table 1.
For the synthesis of ionogels, the previously reported procedure [11] based on the gelation of silica in ionic liquid was modified. First, silica sol was obtained by dissolving TMOS and/or MTMS in a methanol–water mixture in a Si:CH3OH:H2O molar ratio of 1:3:3. Water was preliminarily acidified with HCl, to pH 2.1. The sol was stirred for 1 h and then added to the solution containing 2.58 mmol of IL in 0.5 mL of methanol. Next, 0.1 mL of 1.5 vol.% aq. NH4OH was added, and after stirring for 2–3 min, the resulting mixture was collected in medical plastic syringes (⌀ 14 mm) and stored for gelation for 3 days. After gelation, the syringes were opened and stored until a constant weight was achieved, at room temperature, to evaporate the solvent (approx. 3 days). The typical volume of the ionogels prepared was 0.6–1.5 mL (Table 2).
As references, porous silica samples were also synthesised by gelation in methanol. For this synthesis, silica sols were synthesised using 2.58 mmol of silica alkoxide (TMOS, TMOS:MTMS 1:1 mol, or MTMS) dissolved in 0.5 mL of pure methanol. For gelation, 0.1 mL of 1.5 vol.% aq. NH4OH was then added. The lyogels obtained were soaked in excess of isopropanol for a day, then the solvent was replaced by pure isopropanol. This washing procedure was repeated three times. Then, the isopropanol was removed with supercritical CO2 (Pcr = 73.8 bar, Tcr = 31 °C) at 150 bar and 50 °C for 3 h at 5 mL/min flow.
For the preparation of the ionogels via impregnation, i.e., the TMOS–C4DCA-monolith and TMOS–C4DCA-powder samples, TMOS monolithic samples of porous silica were used. Specifically, 2.58 mmol (0.500 mL) of BMIm DCA was added dropwise to the TMOS sample in a monolithic or powdered form.
The samples were characterised using complementary methods, including helium pycnometry, water contact angle measurements, nitrogen adsorption [51,52,53], XRD, FTIR, TGA, NMR and SEM. For the experimental details, see the “Analysis of ionogels” section in the Supplementary Materials.

2.3. Conductometry Assessment of the Washout of Ionic Liquids

To study the washout of the ionic liquids into aqueous media, continuous conductometry was used. The scheme of the experimental setup is presented in Figure 1a. The ionogel sample was placed in a strainer (1 mm mesh) and immersed in 500 mL of water under stirring (300 rpm). The electrodes of an Econics-Expert-002 conductometer connected (Econix-Expert Ltd., Rumyantsevo, Russia) to a PC were immersed in the aqueous phase to continuously record conductivity for 24 h. To calculate the concentration of IL in aqueous solutions, and hence the content of IL in ionogels, calibration curves were constructed (Figure 1b). The following parameters for quantifying washout are used throughout the manuscript: t1/2—half-washout time, t0.1 and t0.9—10% and 90% washout time, α(x)—IL washout degree in x h. Kinetic modelling of the experimental data (see Section 3.4) resulted in a qe—equilibrium washout level and k—washout rate constant.
To validate the quantitative results of conductometry, high performance liquid chromatography (HPLC) was used. During the washout experiments, several aliquots of the aqueous phase were sampled to independently determine IL concentrations by HPLC. For HPLC measurements, a Knauer chromatography system (Knauer Wissenschaftliche Geräte GmbH, Berlin, USA) was used, comprising a Smarline 1000 liquid pump and NanoChrome ChromCore 120 C18 reversed-phase LC column (250 × 4.8 mm, 5 μm particle size). H2O:MeCN:CF3COOH = 86.5:12.0:1.5 vol.% solution was used as a mobile phase. 20 μL aliquots of IL-containing solutions were injected into the chromatography system and processed in an isocratic mode at a flow rate of 1.1 mL/min at 25 °C. The chromatograph comprised an optical detector operating at a wavelength of λ = 212 nm for IL determination [54].
For the NMR analysis, 200 μL aliquots of aqueous solutions of the ionic liquids were evaporated at 50 °C until a constant weight was achieved, and the residuals were redissolved in mixed portions of 50 μL D6-DMSO and 10 μL of Cl2C=CClH (used as a standard). The 1H NMR spectra were collected with a Bruker Avance II-300 spectrometer (Billerica, MA, USA) operating at 300.211 MHz frequency, with inner stabilisation by deuterium.

3. Results and Discussion

3.1. Conductometric Measurements of Ionic Liquids Washout

The washout of an ionic liquid from an ionogel into an aqueous phase was assessed using a continuous conductometry approach. For this, the ionogel sample was immersed in a large excess of deionised water and the conductivity of the aqueous phase was recorded continuously (Figure 1a). Raw experimental data were then converted to IL concentration units using the calibration curves (Figure 1b).
Obviously, conductometry is not specific to ionic liquids and yields a total conductivity value that is influenced by all types of ions present in an aqueous phase; conductivity also depends on temperature. Thus, possible systematic errors were assessed. These errors can arise from the ionic compounds used to catalyse the gelation of ionogel silica matrices or which potentially can form during the gelation process. The contribution of such non-IL ions to the conductivity of an aqueous phase was estimated through an analysis of similar silica lyogels synthesised without any IL, (TMOS, TMOS-MTMS, MTMS samples). The contribution of the non-IL ions was found to be less than 5 μSm/cm after 24 h of measurement, and was negligible compared with typical values of conductivity (100–450 μSm/cm) achieved after the immersion of ionogel samples in water for a similar time period.
To eliminate the effect of temperature on the results of continuous conductivity measurements, the experimental vessel was thermostatted at 23–25 °C. Minor temperature changes during the measurements resulted in small conductivity drifts, which did not exceed 5%. To factor in the influence of temperature on conductivity, the corresponding corrections can be applied. For example, the measured temperature-dependent (T, °C) conductivity correction for the BMIm DCA aqueous solution in the range of 15–35 °C for an IL concentration of 5.16 mmol·L−1 (see Figure S1) was as follows:
σ 25 = σ T 0.0213 · T + 0.473   ; R 2 = 0.999
In the first experiments, the conductivity method was tested using the TMOS-C4DCA ionogel. After immersion of the monolithic sample in aqueous media, conductivity increased rapidly (Figure 2a). The results showed that almost half of the IL was washed out from the ionogel after only 40 min of the experiment, and 90% of the IL was washed out within ~5 h. After 24 h, only 0.8% of the IL remained in the material. A greater than 99% washout is close to the highest washout levels for ionogels measured elsewhere (e.g., the 99% washout of C6MIm TFSI [41]). Washout of the IL into the aqueous phase was confirmed by 1H NMR spectroscopy (Figure S2) [55].
To verify the results of conductometry measurements, high-performance liquid chromatography was used (HPLC), which is a conventional tool for the quantitative analysis of ILs [54,56]. As follows from Figure 2b, the HPLC data were in good agreement with the conductometric curve (R2 = 0.99), with a mean error of 2.7% and a highest absolute error of ~0.2 mmol·L−1.
To estimate the reproducibility of the measurements, another TMOS-C4DCA ionogel sample was prepared in a similar way; three independent conductometry runs were made using three ionogel portions of the same volume that were taken from a single batch. The kinetic curves obtained were almost identical (Figure S3) and were in line with the above data (a 90% washout level after 9 h). Lower final washout levels (92.6–90.4%) compared with the above sample (99%) were most probably due to the longer ageing time during the synthesis of the sample used for reproducibility measurements (approx. two weeks vs. three days). The estimation of the kinetic parameters for these three runs, (see Section 3.4 for the discussion), showed that the uncertainties were less than 1% for the equilibrium washout level (qe) and approx. 17% for the washout rate constant (k2).
Thus, the conductometry-based method can be regarded as being sufficiently accurate for the analysis of the washout of ionic liquids from ionogels.
The data described above indicated that the TMOS-C4DCA ionogel showed poor stability after immersion in water. Subsequent experiments aimed to quantify the washout stability of ionogels of different composition or that were synthesised using different approaches.

3.2. Approaches to Inhibit IL Washout: Method for Ionogel Preparation and the IL Content

The main advantage of sol–gel chemistry is the possibility to precisely control the composition and structure of a resulting material [57,58]. To obtain ionogels with hindered washout, several approaches were assessed. This section focuses on two approaches, namely the formation of the ionogel solid matrix directly in an ionic liquid and the use of ionogels with low IL content (Figure 3).
Generally, two methods are widely used for ionogel synthesis: (1) the impregnation of a solid with an ionic liquid and (2) the synthesis of a solid matrix in an ionic liquid. In this work, washout from the ionogels prepared using both of these approaches was analysed. For the experiments, TMOS-C4DCA, TMOS-C4DCA-monolith and TMOS-C4DCA-powder samples were used. From the experimental data (Figure 3a), it follows that stronger IL retention is inherent in ionogels synthesised by the gelation of silica in an ionic liquid. For example, for the TMOS-C4DCA sample, the half-washout time t1/2 was a third of that of the TMOS-C4DCA-monolith sample. It is probable that the synthesis of a silica matrix directly in an ionic liquid allows for the highly homogeneous distribution of the ionic liquid in a porous matrix so that its immobilisation in the smallest micropores becomes possible. Conversely, the impregnation of a porous solid with an ionic liquid can result in the incomplete filling of the pores and the partial collapse of the porous structure due to the surface tension [46,57,59]. The comparison of the washout rates for the TMOS-C4DCA-monolith and the TMOS-C4DCA-powder samples shows that the area of contact between the ionogel and the aqueous phase also plays an important role. From the impregnated powder, the IL washout reached 70% in just 1 min and more than 90% in 7 min, (the corresponding washout degrees for the TMOS-C4DCA sample were reached in 265 min).
The washout of an IL can also be hindered by a decrease in the IL content of an ionogel. From Figure 3b, it follows that a decrease in IL content in ionogels from 80 to 20 mol.% resulted in a six-fold increase in the half-washout time value (from 18 to 109 min). The residual content of the IL after 1 day was almost zero for the TMOS-C4DCA-20% sample and ~5% for the TMOS-C4DCA-80% sample. As expected, the washout curve for the ionogel containing 50 mol.% of the IL (TMOS-C4DCA sample) was between the curves for the samples containing 20 mol.% and 80 mol.% of the IL. For the TMOS-C4DCA sample, the half-washout time reached 40 min, and the residual IL content was ~1%. The inhibition of washout due to a decrease in the IL content of ionogel materials is most probably due to the slow diffusion of IL ions through the porous silica matrix having high adsorption capacity.
Thus, both the method for ionogel synthesis and the IL content in the ionogel were found to strongly affect the washout rate of an ionic liquid. Thus, to maximise the retention of ILs by the porous solid, it is desirable to use the lowest reasonable content of an IL in an ionogel, while the ionogel should preferably be synthesised by the polymerisation/polycondensation of a solid phase precursor directly in an ionic liquid. However. it should be bared in mind that the use of ionogels with low IL content has some obvious drawbacks, such as limited extraction ability, limited conductivity, etc. Moreover, during the synthesis, the ionogel with low IL content, (the TMOS-C4DCA-20% sample), was especially prone to shrinkage at the solvent evaporation stage and its synthesis in a monolithic form of a definite size was difficult. Therefore, for subsequent measurements, ionogels comprising 50 mol.% of ILs were used.

3.3. Approaches to Inhibit IL Washout: Hydrophobisation

Typical ionogels are two-phase materials with no direct chemical bonding formed between the matrix and the ionic liquid [60]. Thus, weak interactions (van der Waals forces, polar and dipole interactions, H-bonds, etc.) govern their physical stability and interaction with aqueous media [61]. Hydrophobic interactions are also expected to play a notable role in their physicochemical properties; thus, special attention must be paid to hydrophobicity effects.
The hydrophobicity of porous silica can easily be controlled by the choice of the precursors: a silica network formed during TMOS hydrolysis is highly hydrophilic, and the use of MTMS results in hydrophobic (and even superhydrophobic) silica due to the presence of low-polar Si–CH3 surface moieties in the structure [46,62,63,64].
The concept of hydrophobicity is often applied to ionic liquids, but this is slightly confusing, since the surface of the ILs, even the low-soluble ones, is wettable by water. In the context of ionic liquids, the term ‘hydrophobicity’ is used as a synonym for low solubility in water [16,65]. For CnMIm-based ILs, solubility is known to depend on the type of anion and the length of the alkyl chain attached to the imidazolium ring [16,65,66].
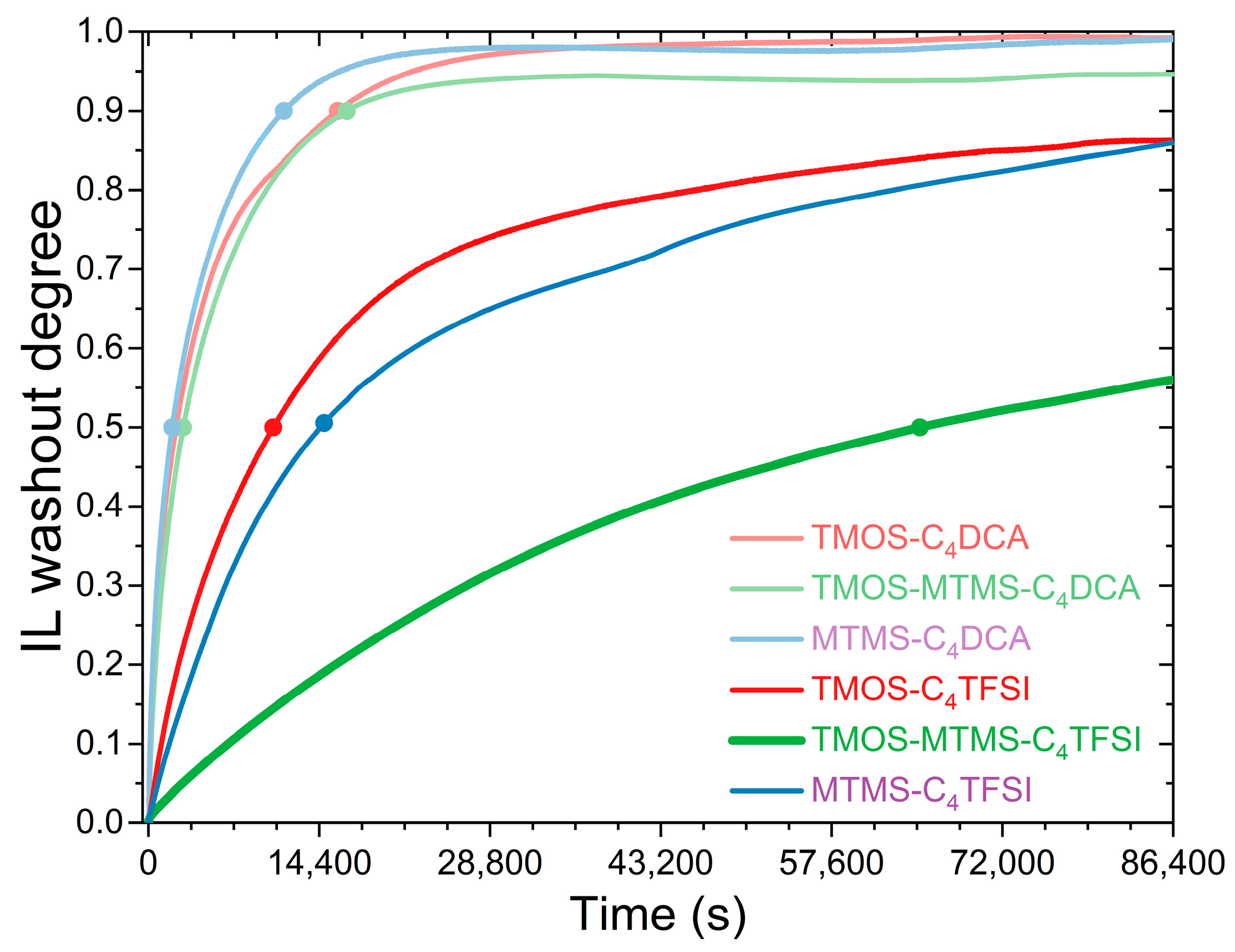
To assess the hydrophobicity effects on washout from ionogels, six ionogel samples were synthesised (See Table 1). They were obtained using various TMOS-to-MTMS ratios during the synthesis of the silica matrix (0, 50 or 100 mol.% MTMS in terms of) and different ionic liquids (e.g., hydrophilic BMIm DCA, which is completely miscible with water and hydrophobic BMIm TFSI, which has <1 wt.% solubility in water [17]). The content of the ionic liquid in each sample was identical and equal to 2.58 mol, while the IL fraction was 50 mol.%. The obtained outwash kinetic curves are shown in Figure 4; the discussion of the corresponding data is provided in Section 3.3.3.

3.3.1. Characterisation of the as Prepared Ionogels

The synthesised ionogels were transparent (BMIm DCA) or translucent (BMIm TFSI) cylindrical monoliths with no visible cracks or macroscopic defects (Figure 5). No IL leakage from the samples was observed after their storage on a flat surface, indicating the successful immobilisation of the ionic liquids in porous matrices.
The ionogels had a greater weight and volume (Table 2) than the corresponding IL-free silica samples (TMOS, TMOS-MTMS, MTMS). Their skeletal densities (1.29–1.38 g·cm−3 for the BMIm DCA-containing ionogels and 1.31–1.51 g·cm−3 for the BMIm TFSI-containing ionogels) were lower than those of bare porous silica (1.55–2.11 g·cm−3) and closer to pure ionic liquids (1.10 g·cm−3 for BMIm DCA and 1.48 g·cm−3 for BMIm TFSI).
The apparent density values for the ionogels were significantly lower (0.97–1.06 g·cm−3) than the corresponding skeletal density values, indicating the presence of open pores in their structure. The porosity of the ionogels (9–25%) was significantly lower than that of the control samples of the porous silica (the TMOS, TMOS-MTMS and MTMS samples), which amounted to 81–90%. It is most likely that the porosity of the ionogels was due to macropores that formed upon solvent evaporation during ionogel synthesis. This assumption is in line with the extremely low (<1 m2/g) specific surface area values for the ionogels (Figure S4).
The water contact angle of the ionogels varied from zero (the fast and complete absorption of a water droplet) to 83° and strongly depended on their composition, confirming the successful control of the hydrophobicity of the materials. The water contact angle for the ionogels can be increased by both increasing the MTMS content during silica gelation and using hydrophobic ionic liquids (e.g., BMIm TFSI).
XRD patterns of all the bare porous silica samples (Figure 6) showed an intense halo with a maximum at ~22–23°2θ. The position of the halo corresponds to characteristic distances of 3.9–4.0 Å, which are usually attributed to the size of two corner-sharing [SiO4] tetrahedra [67]. Importantly, in the XRD pattern of the MTMS-derived porous silica, an additional halo maximum was observed at ~9.5°2θ, which corresponds to a ~9.2 Å characteristic distance. This distance has been attributed elsewhere to the hydrophobic channels in the silica structure that form due to the interaction of Si–CH3 groups [68,69,70]. Note that a similar halo was not observed for the TMOS-MTMS sample; this was most probably due to the low concentration of Si–CH3 moieties, which was insufficient to form the channels.
XRD patterns for bare BMIm DCA and BMIm TFSI ionic liquids (Figure 6) showed two wide maxima at 12–14°2θ and 19–22°2θ, which have previously been interpreted as correlation lengths for the similarly charged and oppositely charged ions [71,72]. The lengths of these correlations were larger for BMIm TFSI (7.2 Å for the “similar” and 4.6 Å for the “opposite”) than for BMIm DCA (5.7 Å and 3.9 Å, respectively), and this is in line with the larger size of the TFSI anion, compared with the DCA.
Patterns characteristic of ILs can also be observed in the XRD data of the ionogels (Figure 6). For the ionogels comprising BMIm DCA, the halo at ~23 °2θ was broader than that for the bare SiO2, which was due to its superposition with the scattering from the ionic liquid. In the XRD patterns of the ionogels comprising BMIm TFSI, both halos characteristic of BMIm TFSI were present. In the XRD pattern of the MTMS-C4DCA ionogel, the peak, at ~10 °2θ, was also present, indicating the preservation of Si–CH3 hydrophobic channels in the structure of MTMS-derived ionogels. Interestingly, in the MTMS-C4DCA ionogel, the characteristic size of these channels (~7.6 Å) was smaller than that of the bare silica (9.2 Å), presumably indicating their contraction in the presence of the hydrophilic ionic liquid.
FTIR spectra (Figure 7) of the ionogels correspond to their presumed composition. In the IR spectra of the reference silica samples (Table S2, band assignment performed according to literature [73,74,75,76,77,78,79,80]), the bands characteristic of hydrated silica are present, including SiO2 stretching (548–569 cm−1, 766–803 cm−1, 905–948 cm−1, 1015–1060 cm−1 and 1102–1138 cm−1) and bending (422–438 cm−1) vibrations. For TMOS-MTMS and MTMS samples, the additional bands indicating the presence of Si–CH3 groups are located at 741–762 cm−1 (ρ(CH2)), 830–840 cm−1 (ν(Si–C)), 1273–1275 cm−1s(C–H)) and 1411–1415 cm−1as(C–H)). In the spectra of all the bare silica samples, the low-intensity vibration bands of methanol were also observed (δ(CH2) at 1369–1381 cm−1 and CH3 stretching at 2916–2978 cm−1). TMOS- and TMOS-MTMS-derived porous silica contained water molecules (the bands at 1620–1636 cm−1). All the vibrations of the silica framework were present in the ionogel spectra at nearly the same wavenumbers (see Tables S3 and S4), indicating the similar composition of porous frameworks formed in methanol and in the ionic liquid.
In the FTIR spectra of the ionogels, intense bands characteristic of ionic liquids were observed, e.g., imidazolium cation vibration bands at 1176–1186 cm−1 (δ(H–C–C) and δ(H–C–N)), 1459–1465 cm−1 (ρ(CH3) + ν(CN)), 1570–1573 cm−1 (ν(CH2(N), CH3(N))), as well as the anion vibration bands characteristic of DCA (2134–2136 cm−1, 2198–2200 cm−1 C≡N stretching) or TFSI (568 cm−1 δ(CF3), 747–569 cm−1 S–N–S stretching). The positions of some vibration bands of the anions were slightly shifted compared with those of bare ionic liquids. For example, the νas(C≡N) (B2) band for the DCA anion for the pure IL was located at 2192 cm−1, whereas, for the ionogel samples, it shifted to 2198–2200 cm−1. Similarly, the νs(S–N–S) band of the TFSI anion for the pure IL was located at 756 cm−1, whereas, in the ionogels, it shifted to 758–769 cm−1. Such shifts are usually discussed in terms of changes in the IL local structure under confinement and the interaction of the ions with the solid matrix [24,81]. All FTIR spectra of the ionogels also showed OH vibration bands at 3200–3750 cm−1, due to the presence of water and methanol molecules as well as the Si–OH groups.
The thermal analysis data (Figure 8) coincide with the data reported elsewhere [82,83,84] and show that, upon heating in air, bare ionic liquids decompose in two main stages. The first decomposition stage shows the maximum rate at 310 °C (for BMIm DCA) or at 474 °C (for BMIm TFSI); in the second stage, the maximum rate is at ~720 °C (for BMIm DCA) or at 593 °C (for BMIm TFSI). The complete combustion of the ILs in the air was reached upon heating to 760 °C (BMIm DCA) or 605 °C (BMIm TFSI). It is noteworthy that, upon heating to 100 °C, BMIm DCA showed a small (~10%) weight loss, indicating the presence of water traces, whereas BMIm TFSI showed no weight loss. This observation is in line with data on the solubility of these ILs in aqueous media.
The thermal decomposition of the ionogels also occurred in several steps (Figure 8). In the first step (<100 °C), water and methanol residues evaporated from the samples. For the BMIm DCA-containing ionogels, weight loss at the first stage reached 9–14%, which compares with figures of <3% for those containing BMIm TFSI. Above 200 °C, a notable weight loss among ionogels was observed, and this was due to the decomposition of both the ionic liquids and hydrated porous silica. For the ionogels, DTA signals corresponding to the IL decomposition were observed at lower temperatures than those for the bare ILs (3–32 °C lower for the first signal and ~40–90 °C lower for the second signal). It is most probable that these shifts indicate the decrease in thermal stability of imidazolium species upon confinement of the ionic liquids in porous solids. This observation corresponds to recently reported data [11,85,86].
The weights of the incombustible residues (SiO2) after heating of the ionogels to 900 °C were 19–21% (for the BMIm DCA-containing ionogels) or 12–14% (for the BMIm TFSI-containing ionogels). These data were almost consistent with the theoretical silica content in the samples, showing the 46–52% IL molar fraction (Table 3), whereas the theoretical value is 50 mol.%.
Thus, the analysis of the as prepared ionogels confirmed their chemical composition. In further experiments, the samples were submerged in an excess (500 mL) of MilliQ water for 24 h, under constant stirring. After the washout, the composition and structure of the samples was analysed; the results are discussed below, and the experimental data are presented in Table 2 and Table 3 and Figure 4, Figure 5, Figure 6 and Figure 7.

3.3.2. Changes in the Composition and Structure of Ionogels upon Washout

After the washout experiments, the samples retained their monolithic shape and became translucent to opaque (Figure 5). For some samples, minor cracking was observed (e.g., TMOS-C4DCA). The TMOS-MTMS-C4TFSI sample showed peculiar onion-like behaviour during the washout, the outer fragments of the monolith flaking off, exposing the inner core.
After washout, the weight of the majority of the ionogels decreased, indicating the loss of ionic liquid and its dissolution in the aqueous medium (Table 2). All the ionogel samples showed a significant increase in surface area (up to 16–380 m2·g−1, Figure S4) as a result of washout, confirming the loss of IL and the opening of silica pores. For the samples containing BMIm DCA, both apparent and skeletal densities after the washout reached approx. 1.0 g·cm−3, presumably indicating high water content in the samples. Conversely, after washout, BMIm TFSI-containing samples showed virtually no decrease in skeletal density values, while showing a notable increase in porosity (by 6–58%). The latter effect was most likely due to the desorption of the IL from the ionogels, which was not fully substituted by water.
XRD patterns of the ionogels following washout also changed significantly (Figure 6b). The relative intensity of the halos’ characteristic of ILs decreased, indicating their removal from the materials. The most dramatic changes in halo intensity were observed for the TMOS-C4DCA and TMOS-C4TFSI samples, where the halo almost disappeared. Interestingly, in the XRD patterns for some ionogels containing hydrophilic TMOS-derived silica (TMOS-C4DCA and TMOS-C4TFSI), an additional halo appeared at ~40 °2θ (~2.3 Å), which can be interpreted as the typical distance between molecules in liquid water [87].
FTIR data (Figure 7, Tables S3 and S4) confirmed that, after contact of the ionogels with water, the ILs were washed out. For the ionogels containing BMIm DCA, almost no bands inherent in IL (see for example, the most intense ν(C≡N) vibrations at 2126 cm−1 and 2192 cm−1) were registered after the washout experiments, indicating the almost complete removal of the IL. For the ionogels containing BMIm TFSI, most of the IL vibration bands were still present in the spectra of the washed-out samples (e.g., anion-specific bands at 568 cm−1, 608 cm−1, 653 cm−1 and 790 cm−1 and cation-specific bands at 3162–3169 cm−1), while their intensities were significantly lower than those for the as prepared ionogel samples. After washout, the ionogels synthesised using MTMS and BMIm TFSI (TMOS-MTMS-C4TFSI and MTMS-C4TFSI) samples showed the highest intensities of the bands inherent in the IL, e.g., vibrations at 1189–1194 cm−1 (δ(H–C–C) and δ(H–C–N) in the imidazolium ring) and 767–780 cm−1 (S–N–S stretching in the imidazolium ring). Note that the aforementioned bands were not registered in the spectra of the TMOS-C4TFSI sample with the hydrophilic silica matrix. The overall FTIR dataset indicated that IL washout can be hindered by hydrophobisation of the ionogels, either by the use of low-soluble ionic liquids, or the incorporation of hydrophobic silica moieties (Si-CH3) in their structure.
FTIR data indicated no noticeable changes in the silica composition after washout, indicating its stability after exposure to water. In the FTIR spectra of all the washed-out samples, vibration bands inherent in water molecules were observed, (at 1640 cm−1 δ(H-O-H); 3200–3740 cm−1 OH–stretching). The highest intensity of water vibration bands was observed for the most hydrophilic ionogels, which contained BMIm DCA, and the TMOS-C4TFSI sample.
Thermal analysis (Figure 8) showed a very high level of water content in most of the ionogels after washout: they lost 29–81% of their weight after heating to 100 °C. Predictably, the most hydrophobic sample, TMOS-MTMS-C4TFSI, after the washout showed almost no weight loss associated with water removal after heating. The IL decomposition stage, which is manifested by weight loss at 200–700 °C, accompanied by an exo-effect, was observed for the most hydrophobic samples only, namely MTMS-C4DCA and the ionogels containing BMIm TFSI. Note that the TMOS-MTMS-C4TFSI ionogel showed the greatest weight loss in the second stage (~70 wt.%), indicating the highest IL content.
The thermal analysis data (for quantification, see Table 3) confirmed a nearly complete washout for the TMOS-C4DCA sample. For the other BMIm DCA-containing ionogels, IL washout after contact with water was as high as 86–95%, but washout of the hydrophobic BMIm TFSI from the ionogels was significantly lower, e.g., for the TMOS-MTMS-C4TFSI sample, nearly 53% of the IL was retained.

3.3.3. The IL Washout from the Ionogels with Different Hydrophobicity

Conductometry data (Figure 4) showed that the ability of ionogels to withstand interaction with water depends strongly on the hydrophobicity of both the liquid and the solid phase. All the BMIm DCA-based ionogels showed rapid (half-washout time was less than 1 h, Table 4) and nearly complete (2–4% of the IL remained after 9 h) IL washout. The ionogels containing hydrophobic BMIm TFSI showed much slower washout rates (half-washout time increased to up to 3–18 h) and higher IL retention (14–43% after 24 h).
The influence of the hydrophobicity of the solid matrix on washout rate and IL retention was found to be more complex (Table 4).
For the BMIm DCA ionogel with a hydrophilic silica matrix (TMOS-C4DCA), the characteristic washout times were slightly higher (t1/2 by 20% and t0.9 by 40%) than those of the ionogel made from the hydrophobic silica (MTMS-C4DCA). It is most probable that this greater stability was due to the higher sorption and retention of hydrophilic BMIm DCA by hydrophilic TMOS-derived silica. The opposite effect was observed for the ionogels containing hydrophobic BMIm TFSI ionic liquid. Here, a slower rate of washout was observed for the ionogel with the hydrophobic matrix (the MTMS-C4TFSI sample), which had a 40% higher half-washout time than the ionogel with the hydrophilic matrix (the TMOS-C4TFSI sample).
The most pronounced positive effect on the washout stability of the ionogels was observed for the materials that were synthesised from both MTMS and TMOS so that they contained both hydrophobic and hydrophilic silica. These ionogels showed the slowest washout rate (t1/2 = 18 h) and the highest IL retention levels, e.g., the TMOS-MTMS-C4DCA sample retained only ~5% of the IL, while the TMOS-MTMS-C4TFSI sample retained 53%. Such a result was quite unusual, as the ionogel fabricated using only hydrophobic silica (MTMS) was expected to be more stable than the ionogel synthesised from the mixture of TMOS and MTMS.

3.3.4. The Role of the Microstructure of the Silica Matrix on the IL Washout Rate from Ionogels

To establish the reason for the greater washout stability of the TMOS-MTMS-C4TFSI ionogel, the washout of BMIm TFSI from TMOS-C4TFSI, TMOS-MTMS-C4TFSI and MTMS-C4TFSI ionogels, in both monolithic and powder form, was compared (Figure S5). No significant differences were found between the washout curves for the fine powders of the corresponding ionogels, whereas the monoliths showed dramatically different behaviour (Table 4). Thus, the reasons for the better stability of the TMOS-MTMS-C4TFSI ionogel are presumably related to structural aspects.
To compare the microstructure of the TMOS-C4TFSI, TMOS-MTMS-C4TFSI and MTMS-C4TFSI samples, the IL was removed from the ionogels by careful washing with acetonitrile, followed by drying in supercritical CO2, (for details, see Section “Analysis of ionogels” in Supplementary Materials) [46,57]. SEM images of the obtained samples (Figure 8a) showed a mesoporous structure characteristic of sol–gel porous silica. TMOS-C4TFSI and TMOS-MTMS-C4TFSI matrices showed a virtually identical porous microstructure, while the MTMS-C4TFSI sample was more dense, its particles exhibiting a flake-like morphology, which is consistent with recently reported observations [11,88].
To obtain a deeper insight into the structure of the ionogels’ matrices, low-temperature nitrogen adsorption measurements were carried out. The full nitrogen adsorption–desorption isotherms for all the samples present IUPAC type IV behaviour (Figure 9b), which is characteristic of mesoporous materials [52]. From these data, it follows that the TMOS-MTMS-C4TFSI matrix possesses a far greater specific surface area and greater specific volumes of micro- and mesopores than the MTMS-C4TFSI sample (Table 5). The greater specific surface area and pore volume of the TMOS-MTMS-C4TFSI matrix could provide more IL adsorption sites and greater ionic liquid retention value for the TMOS-MTMS-C4TFSI ionogel than the MTMS-C4TFSI ionogel. Higher sorption capacity might, however, not be the only important factor, as the TMOS-MTMS-C4TFSI ionogel also showed a lower water content after the washout experiment than the MTMS-C4TFSI sample (see Table 4).
In view of this, the unexpectedly small water contact angle for the MTMS reference sample (84 ± 10°, Table 2) should also be considered. It is well known that MTMS-derived porous silica (e.g., SiO2 aerogels) are usually reported to be highly hydrophobic, with a water contact angle > 130° [89,90,91]. In some cases; however, the synthesis of MTMS aerogels from diluted silicon alkoxide solutions can result in less hydrophobic, and even wettable, materials [92]. The exact reason for this effect remains unclear, but the formation of two types of pores is speculated, with either hydrophobic (methylated) or hydrophilic (silanolated) surfaces. The synthetic parameters chosen in this work are quite close to those reported in the abovementioned report [92]. Moreover, the XRD data (see Section 3.3.1) support the formation of hydrophobic channels in MTMS-derived silica, i.e., the segregation of methylated and hydroxylated moieties. On the other hand, in the TMOS-MTMS silica matrix, such segregation was not observed (see also Section 3.3.1); thus, all the pores in its structure are expected to possess moderate hydrophobicity.
It can be assumed, therefore, that the silica matrix in the MTMS-C4TFSI ionogel contains two types of pores, with hydrophobic and hydrophilic surfaces. After immersion of the ionogel in water, water molecules can readily diffuse in the bulk of the material through hydrophilic pores, facilitating the washout of the IL. Water diffusion in the TMOS-MTMS-C4TFSI ionogel with pores with nearly equal and moderate hydrophobicity is expected to be much slower, which inhibits IL washout.
This model is supported by the probing of the IL sorption states in ionogels with 19F NMR spectroscopy (Figure 9c). For the bare BMIm TFSI, the 19F signal is reported to be located at −80 ppm and to shift to lower values when the IL is immobilised in a porous solid [93]. In the NMR spectra of the ionogels (Figure 9c), the signal was located at −(80.9–81.0) ppm and had a very broadened shape (FWHM 2.1–2.8 ppm). The deconvolution of the spectra showed that, for the TMOS-C4TFSI and TMOS-MTMS-C4TFSI samples, only a single component of the NMR signal was present, while two NMR signal components were observed for the MTMS-C4TFSI sample (Figure S6). This observation supports the above model, and the latter two NMR components can be attributed to TFSI anions located in pores of hydrophobic and hydrophilic nature.

3.3.5. The Washout of ILs with Different Alkyl Chain Lengths

The alkyl chain length is known to affect the solubility of ionic liquids [16] due to hydrophobic intermolecular interactions [72,94,95]. The washout kinetic curves for TMOS-MTMS-based ionogels with different IL alkyl chain lengths (EMIm TFSI, BMIm TFSI and OMIm TFSI) are presented in Figure 10. The TMOS-MTMS-C2TFSI sample rapidly lost ionic liquid (α(11) exceeded 90%), while, for the TMOS-MTMS-C4TFSI sample, α(11) amounted to 61% and α(24) reached only 44%. For the TMOS-MTMS-C8TFSI sample, even greater stability was registered, with the degree of washout after 24 h reaching only 14%.
Table 6 presents an overview of the available experimental data on the quantitative assessment of the stability of different ionogel materials.

3.4. The Mechanism and Kinetics of ILs Washout

For ionogels, the fundamental stage of the washout process is the dissolution of ionic liquid in water, which occurs at the IL-water phase boundary. At the very start of washout, IL dissolution occurs directly at the ionogel surface. As washout proceeds, IL needs to diffuse from the bulk of the material to its surface to achieve contact with water. For ionogels with hydrophilic channels in their structure, the diffusion of water in the bulk of the material should also be considered, as this facilitates the diffusion and dissolution of ionic liquid. There are only a few options available for evaluating ionic liquid dissolution kinetics and the diffusion of a liquid through the ionogel bulk, and all of them use the reaction order kinetic formalism [96,97]:
ln q e q t = l n q e k 1 t   ( p s e u d o - 1 s t   o r d e r ) ,
t q t = 1 k 2 q e 2 + t q e   ( p s e u d o - 2 n d   o r d e r )
where qt and qe are actual and equilibrium IL washout levels, k1 and k2 are kinetic rate constants and t is time).
Liquid phase diffusion through the ionogel bulk usually obeys pseudo-second-order kinetics [11,96,97,98], while IL dissolution is believed to obey pseudo-first-order kinetics [99,100]. The study’s experiments have shown; however, that the dissolution of both bare BMIm DCA and bare BMIm TFSI in water obeys pseudo-second-order kinetics (R2 < 0.3 for the pseudo-first-order fitting; R2 = 0.999 for the pseudo-second-order, Figure S7). This result makes all the processes discussed above unresolvable.
The washout kinetics in relation to the ionogels, in all cases, closely followed pseudo-second-order kinetics (Figure S8 and Table 7), showing excellent fit parameter values (R2 > 0.93) and enabling the calculation of kinetic rate constants and equilibrium IL washout values. For BMIm DCA-containing ionogels, equilibrium IL washout levels, qe, were, as expected, near 1.0, while, for the BMIm TFSI-containing samples, they were 0.82–0.93, with the lowest values recorded for the TMOS-MTMS-C4TFSI ionogel. For BMIm DCA-containing ionogels, the washout rate constants (k2) were in the range of 0.15–0.21 mol−1·s−1, while for the ionogels containing low-soluble BMIm TFSI their values were lower by nearly one order of magnitude, 0.023–0.008 mol−1·s−1, with the slowest washout observed with the TMOS-MTMS-C4TFSI sample.

4. Conclusions

In this paper, the fundamental problem of ionogel instability as a result of ionic liquid washout into aqueous media has been discussed in detail. A convenient and robust conductometry-based method for the analysis of ionogel washout has been proposed, being the key result of the study. The results of the conductometric measurements have been verified with HPLC and some possible errors and levels of repeatability have been estimated. Changes in the structure and composition of ionogels after washout have been reported, with a focus on the washout mechanism. The results obtained indicate that the main stages of washout are ionic liquid dissolution in water, water diffusion into the ionogel bulk and ionic liquid diffusion onto the ionogel surface. Both ionic liquid dissolution in water and ionic liquid washout from ionogels obey pseudo-second-order kinetics. The conductometric method was also used to determine the key factors governing washout from silica ionogels: the preparation method, the ionic liquid-to-solid phase ratio, the solid phase microstructure, ionic liquid hydrophobicity (the type of anion and alkyl chain length) and the chemical composition of the silica matrix precursor (TMOS-to-MTMS ratio). The research has enabled improvements to the design of silica ionogels and reductions in the degree of imidazolium ionic liquid washout in water from 99% to 14%.
Based on the method developed in this paper, future studies would allow one to evaluate quantitatively the stability of other promising ionogel-based materials upon contact with water and to find the methods to further inhibit or even fully prevent the ionic liquid outwash from the ionogels. The comparative experimental assessment of the ionic liquid outwash from different solid matrices (e.g., zeolites, ordered mesoporous silicas, etc.) can refine the mechanism and determine the key steps in the outwash process.
The authors believe that the findings from this research will help to overcome a fundamental drawback of ionogels, namely ionic liquid washout into aqueous media. The findings will also open up new possibilities for the design of more efficient, environmentally friendly and sustainable ionogel-based extractants, sensors, wearable electronics, microfluidic devices and similar smart and advanced materials.

Supplementary Materials

The following supporting information can be downloaded at: https://www.mdpi.com/article/10.3390/chemengineering8060111/s1, Table S1: Some properties of the ionic liquids used for the experiments. “Analysis of ionogels” section; Figure S1: Temperature dependence of the conductivity of BMIm DCA water solution in the 15–35 °C temperature range; Figure S2: 1H NMR spectrum of the liquid sample taken after 1 h of the TMOS-C4DCA washout experiment; Figure S3: Reproducibility of washout kinetic curves: washout experiments for three TMOS-C4DCA ionogels obtained from a single batch; Figure S4: Specific surface area of the ionogels before and after the washout experiments; Table S2: IR vibration bands attribution for reference silica aerogels; Table S3: BMIm DCA ionogels and bare IL IR vibration bands attribution; Table S4: BMIm TFSI ionogels and bare IL IR vibration bands attribution; Figure S5: Washout kinetic curves for BMIm TFSI ionogels in the form of a monolith and the corresponding powder; Figure S6: 1st order derivative of 19F NMR intensity for BMIm TFSI ionogels, revealing two peak components for the MTMS-C4TFSI sample; Figure S7: Kinetic curves for the dissolution of BMIm DCA and BMIm TFSI in water and their fitting to pseudo-1st and pseudo-2nd order kinetic models; Figure S8: Comparation of pseudo-1st (1) and pseudo-2nd (b) order washout kinetic curves for TMOS-C4DCA sample.

Author Contributions

Conceptualization, S.Y.K., A.O.B., V.K.I. and A.E.B.; Data curation, S.Y.K. and A.O.B.; Formal analysis, S.Y.K. and A.O.B.; Funding acquisition, A.Y.T.; Investigation, S.Y.K., A.O.B., A.V.N., N.P.S., N.A.S. and M.E.N.; Methodology, S.Y.K. and A.E.B.; Project administration, V.K.I. and A.Y.T.; Resources, A.V.N., N.P.S., N.A.S. and M.E.N.; Supervision, V.K.I.; Validation, V.K.I. and A.E.B.; visualisation, S.Y.K.; Writing—original draft, S.Y.K.; Writing—review and editing, V.K.I. and A.E.B. All authors have read and agreed to the published version of the manuscript.

Funding

This work was supported by the Ministry of Science and Higher Education of Russia (grant agreement 075-15-2024-534).

Data Availability Statement

The original contributions presented in the study are included in the article and Supplementary Materials, further inquiries can be directed to the corresponding author.

Acknowledgments

This research was performed using the equipment of the JRC PMR IGIC RAS.

Conflicts of Interest

The authors declare no conflict of interest.

References

  1. Singh, S.K.; Savoy, A.W. Ionic liquids synthesis and applications: An overview. J. Mol. Liq. 2020, 297, 112038. [Google Scholar] [CrossRef]
  2. Plechkova, N.V.; Seddon, K.R. Applications of ionic liquids in the chemical industry. Chem. Soc. Rev. 2008, 37, 123–150. [Google Scholar] [CrossRef] [PubMed]
  3. Nancarrow, P.; Al-Othman, A.; Mital, D.K.; Döpking, S. Comprehensive analysis and correlation of ionic liquid conductivity data for energy applications. Energy 2021, 220, 119761. [Google Scholar] [CrossRef]
  4. Armand, M.; Endres, F.; MacFarlane, D.R.; Ohno, H.; Scrosati, B. Ionic-liquid materials for the electrochemical challenges of the future. Nat. Mater. 2009, 8, 621–629. [Google Scholar] [CrossRef]
  5. Najafabadi, M.S.; Lay, E.N. An empirical correlation for predicting vapor pressure of ionic liquids. J. Ion. Liq. 2022, 2, 100035. [Google Scholar] [CrossRef]
  6. Chen, Y.; Han, X.; Liu, Z.; Li, Y.; Sun, H.; Wang, H.; Wang, J. Thermal decomposition and volatility of ionic liquids: Factors, evaluation and strategies. J. Mol. Liq. 2022, 366, 120336. [Google Scholar] [CrossRef]
  7. Welton, T. Room-Temperature Ionic Liquids. Solvents for Synthesis and Catalysis. Chem. Rev. 1999, 99, 2071–2084. [Google Scholar] [CrossRef]
  8. Sowbhagyam, D.V. Ionic Liquids as Green Solvents: A Comprehensive Review. Int. Res. J. Adv. Eng. Hub 2024, 2, 220–224. [Google Scholar] [CrossRef]
  9. Wang, J.; Xu, L.; Jia, G.; Du, J. Challenges and Opportunities of Ionic Liquid Electrolytes for Rechargeable Batteries. Cryst. Growth Des. 2022, 22, 5770–5784. [Google Scholar] [CrossRef]
  10. Vekariya, R.L. A review of ionic liquids: Applications towards catalytic organic transformations. J. Mol. Liq. 2017, 227, 44–60. [Google Scholar] [CrossRef]
  11. Kottsov, S.Y.; Voshkin, A.A.; Baranchikov, A.E.; Fatyushina, E.V.; Levina, A.V.; Badulina, A.O.; Arhipenko, A.A.; Nikiforova, M.E.; Ivanov, V.K. Aliquat 336@SiO2 ionogels: Synthesis of, and insight into, iron(III) extraction mechanisms. J. Mol. Liq. 2024, 399, 124354. [Google Scholar] [CrossRef]
  12. Ventura, S.P.M.; e Silva, F.A.; Quental, M.V.; Mondal, D.; Freire, M.G.; Coutinho, J.A.P. Ionic-Liquid-Mediated Extraction and Separation Processes for Bioactive Compounds: Past, Present, and Future Trends. Chem. Rev. 2017, 117, 6984–7052. [Google Scholar] [CrossRef] [PubMed]
  13. Waheed, S.; Ahmed, A.; Abid, M.; Mufti, R.A.; Ferreira, F.; Bashir, M.N.; Shah, A.U.R.; Jafry, A.T.; Zulkifli, N.W.; Fattah, I.M.R. Ionic liquids as lubricants: An overview of recent developments. J. Mol. Struct. 2024, 1301, 137307. [Google Scholar] [CrossRef]
  14. Gonçalves, A.R.P.; Paredes, X.; Cristino, A.F.; Santos, F.J.V.; Queirós, C.S.G.P. Ionic Liquids—A Review of Their Toxicity to Living Organisms. Int. J. Mol. Sci. 2021, 22, 5612. [Google Scholar] [CrossRef]
  15. De Jesus, S.S.; Maciel Filho, R. Are ionic liquids eco-friendly? Renew. Sustain. Energy Rev. 2022, 157, 112039. [Google Scholar] [CrossRef]
  16. Ranke, J.; Othman, A.; Fan, P.; Müller, A. Explaining Ionic Liquid Water Solubility in Terms of Cation and Anion Hydrophobicity. Int. J. Mol. Sci. 2009, 10, 1271–1289. [Google Scholar] [CrossRef]
  17. Papaiconomou, N.; Yakelis, N.; Salminen, J.; Bergman, R.; Prausnitz, J.M. Synthesis and Properties of Seven Ionic Liquids Containing 1-Methyl-3-octylimidazolium or 1-Butyl-4-methylpyridinium Cations. J. Chem. Eng. Data 2006, 51, 1389–1393. [Google Scholar] [CrossRef]
  18. Zhou, J.; Sui, H.; Jia, Z.; Yang, Z.; He, L.; Li, X. Recovery and purification of ionic liquids from solutions: A review. RSC Adv. 2018, 8, 32832–32864. [Google Scholar] [CrossRef]
  19. Fan, X.; Liu, S.; Jia, Z.; Koh, J.J.; Yeo, J.C.C.; Wang, C.-G.G.; Surat’man, N.E.; Loh, X.J.; Le Bideau, J.; He, C.; et al. Ionogels: Recent advances in design, material properties and emerging biomedical applications. Chem. Soc. Rev. 2023, 52, 2497–2527. [Google Scholar] [CrossRef]
  20. Zhao, Y.; Gan, D.; Wang, L.; Wang, S.; Wang, W.; Wang, Q.; Shao, J.; Dong, X. Ultra-Stretchable, Adhesive, and Anti-Swelling Ionogel Based on Fluorine-Rich Ionic Liquid for Underwater Reliable Sensor. Adv. Mater. Technol. 2023, 8, 2201566. [Google Scholar] [CrossRef]
  21. Huang, C.; Jia, X.; Wang, D.; Sun, X.; Liang, Q.; Tian, R.; Guo, L.; Yang, J.; Song, H. Stretchable ionogels: Recent advances in design, toughening mechanisms, material properties and wearable devices applications. Chem. Eng. J. 2024, 490, 151850. [Google Scholar] [CrossRef]
  22. Zhang, M.; Tao, X.; Yu, R.; He, Y.; Li, X.; Chen, X.; Huang, W. Self-healing, mechanically robust, 3D printable ionogel for highly sensitive and long-term reliable ionotronics. J. Mater. Chem. A 2022, 10, 12005–12015. [Google Scholar] [CrossRef]
  23. Li, H.; Xu, F.; Li, Y.; Sun, J. Self-Healing Ionogel-Enabled Self-Healing and Wide-Temperature Flexible Zinc-Air Batteries with Ultra-Long Cycling Lives. Adv. Sci. 2024, 11, 2402193. [Google Scholar] [CrossRef] [PubMed]
  24. Alekseeva, O.V.; Shibaeva, V.D.; Noskov, A.V.; Ivanov, V.K.; Agafonov, A.V. Enhancing the Thermal Stability of Ionogels: Synthesis and Properties of Triple Ionic Liquid/Halloysite/MCC Ionogels. Molecules 2021, 26, 6198. [Google Scholar] [CrossRef]
  25. Alekseeva, O.V.; Shibaeva, V.D.; Noskov, A.V.; Agafonov, A.V. Phase transitions and thermal stability of ionic liquids entrapped in aluminosilicates. J. Mol. Liq. 2024, 405, 125086. [Google Scholar] [CrossRef]
  26. Zhao, Y.; Wang, F.; Liu, J.; Gan, D.; Lei, B.; Shao, J.; Wang, W.; Wang, Q.; Dong, X. Underwater Self-Healing and Recyclable Ionogel Sensor for Physiological Signal Monitoring. ACS Appl. Mater. Interfaces 2023, 15, 28664–28674. [Google Scholar] [CrossRef]
  27. Yu, Z.; Wu, P. Underwater Communication and Optical Camouflage Ionogels. Adv. Mater. 2021, 33, 2008479. [Google Scholar] [CrossRef]
  28. Hu, A.; Liu, C.; Cui, Z.; Cong, Z.; Niu, J. Wearable Sensors Adapted to Extreme Environments Based on the Robust Ionogel Electrolytes with Dual Hydrogen Networks. ACS Appl. Mater. Interfaces 2022, 14, 12713–12721. [Google Scholar] [CrossRef]
  29. Li, W.; Lin, K.; Chen, L.; Yang, D.; Ge, Q.; Wang, Z. Self-Powered Wireless Flexible Ionogel Wearable Devices. ACS Appl. Mater. Interfaces 2023, 15, 14768–14776. [Google Scholar] [CrossRef]
  30. Rizzo, C.; Andrews, J.L.; Steed, J.W.; D’Anna, F. Carbohydrate-supramolecular gels: Adsorbents for chromium(VI) removal from wastewater. J. Colloid Interface Sci. 2019, 548, 184–196. [Google Scholar] [CrossRef]
  31. Marullo, S.; Rizzo, C.; Dintcheva, N.T.; Giannici, F.; D’Anna, F. Ionic liquids gels: Soft materials for environmental remediation. J. Colloid Interface Sci. 2018, 517, 182–193. [Google Scholar] [CrossRef] [PubMed]
  32. Marullo, S.; D’Anna, F. How Ionic Liquid Gels Work on the Removal of Bisphenol A from Wastewater. ACS Mater. Au 2023, 3, 112–122. [Google Scholar] [CrossRef] [PubMed]
  33. Kang, B.; Gao, M.; Zhao, R.; Zhao, Z.; Song, S. Multi-environmentally stable and underwater adhesive DNA ionogels enabling flexible strain sensor. Polymer 2023, 272, 125844. [Google Scholar] [CrossRef]
  34. Xu, L.; Huang, Z.; Deng, Z.; Du, Z.; Sun, T.L.; Guo, Z.; Yue, K. A Transparent, Highly Stretchable, Solvent-Resistant, Recyclable Multifunctional Ionogel with Underwater Self-Healing and Adhesion for Reliable Strain Sensors. Adv. Mater. 2021, 33, 2105306. [Google Scholar] [CrossRef] [PubMed]
  35. Benito-Lopez, F.; Antoñana-Díez, M.; Curto, V.F.; Diamond, D.; Castro-López, V. Modular microfluidic valve structures based on reversible thermoresponsive ionogel actuators. Lab Chip 2014, 14, 3530–3538. [Google Scholar] [CrossRef]
  36. Catalan-Carrio, R.; Saez, J.; Fernández Cuadrado, L.Á.; Arana, G.; Basabe-Desmonts, L.; Benito-Lopez, F. Ionogel-based hybrid polymer-paper handheld platform for nitrite and nitrate determination in water samples. Anal. Chim. Acta 2022, 1205, 339753. [Google Scholar] [CrossRef]
  37. Akyazi, T.; Saez, J.; Elizalde, J.; Benito-Lopez, F. Fluidic flow delay by ionogel passive pumps in microfluidic paper-based analytical devices. Sens. Actuators B Chem. 2016, 233, 402–408. [Google Scholar] [CrossRef]
  38. Saez, J.; Catalan-Carrio, R.; Owens, R.M.; Basabe-Desmonts, L.; Benito-Lopez, F. Microfluidics and materials for smart water monitoring: A review. Anal. Chim. Acta 2021, 1186, 338392. [Google Scholar] [CrossRef]
  39. Kuddushi, M.; Xu, B.B.; Malek, N.; Zhang, X. Review of ionic liquid and ionogel-based biomaterials for advanced drug delivery. Adv. Colloid Interface Sci. 2024, 331, 103244. [Google Scholar] [CrossRef]
  40. Boudesocque, S.; Viau, L.; Dupont, L. Selective Cobalt over Nickel separation using neat and confined ionic liquids. J. Environ. Chem. Eng. 2020, 8, 104319. [Google Scholar] [CrossRef]
  41. Horowitz, A.I.; Wang, Y.; Panzer, M.J. Reclamation and reuse of ionic liquids from silica-based ionogels using spontaneous water-driven separation. Green Chem. 2013, 15, 3414. [Google Scholar] [CrossRef]
  42. Huang, T.-Y.; Ho, J.S.; Goh, S.; Chong, T.H. Ethanol recovery from dilute aqueous solution by perstraction using supported ionic liquid membrane (SILM). J. Clean. Prod. 2021, 298, 126811. [Google Scholar] [CrossRef]
  43. Jean, E.; Villemin, D.; Hlaibi, M.; Lebrun, L. Heavy metal ions extraction using new supported liquid membranes containing ionic liquid as carrier. Sep. Purif. Technol. 2018, 201, 1–9. [Google Scholar] [CrossRef]
  44. Kottsov, S.Y.; Badulina, A.O.; Trufanova, E.A.; Taran, G.S.; Baranchikov, A.E.; Nelubin, A.V.; Malkova, A.N.; Nikoforova, M.E.; Lermontov, S.A.; Ivanov, V.K. Stability of Ionogels in Contact with Water: Influence of Polymer Matrix Hydrophobicity and Ionic Liquid Solubility. Colloid J. 2024, 86. [Google Scholar] [CrossRef]
  45. Yang, H.; Li, C.; Tang, J. Soft elastomer coatings for ionogels. Extrem. Mech. Lett. 2022, 54, 101761. [Google Scholar] [CrossRef]
  46. Nicola, H.; Schubert, U.; Hüsing, N.; Schubert, U. Aerogels—Airy Materials: Chemistry, Structure, and Properties. Angew. Chem. Int. Ed. 1998, 37, 22–45. [Google Scholar] [CrossRef]
  47. Brinker, C.J.; Scherer, G.W.; Schaefer, D.; Assink, B.; Kay, B.; Keefer, K.; Ashley, C. Sol-Gel Science: The Physics and Chemistry of Sol-Gel Processing; Academic Press: New York, NY, USA, 1990; Volume 19901, pp. 47–64. [Google Scholar]
  48. Pierre, A.C. Introduction to Sol-Gel Processing; Springer International Publishing: Cham, Switzerland, 2020; ISBN 978-3-030-38143-1. [Google Scholar]
  49. Zec, N.; Bešter-Rogač, M.; Marolt, G.; Vraneš, M.; Gadžurić, S. Electrical and electrochemical behavior of [bmim][DCA] + γ-butyrolactone electrolyte. J. Chem. Thermodyn. 2016, 101, 293–299. [Google Scholar] [CrossRef]
  50. Waryo, T.T.; Qwesha, S.; Baker, P.G.; Iwuoha, E.I. Electrode Material Properties and Modelling of 1-Methyl-3-octylimmidazolium bis(trifluoromethylsulfonyl)imide Ionic Liquid/Paraffin Carbon Pastes. Int. J. Electrochem. Sci. 2016, 11, 4410–4426. [Google Scholar] [CrossRef]
  51. Rouquerol, J.; Llewellyn, P.; Rouquerol, F. Is the bet equation applicable to microporous adsorbents? Stud. Surf. Sci. Catal. 2007, 160, 49–56. [Google Scholar] [CrossRef]
  52. Thommes, M.; Kaneko, K.; Neimark, A.V.; Olivier, J.P.; Rodriguez-Reinoso, F.; Rouquerol, J.; Sing, K.S.W. Physisorption of gases, with special reference to the evaluation of surface area and pore size distribution (IUPAC Technical Report). Pure Appl. Chem. 2015, 87, 1051–1069. [Google Scholar] [CrossRef]
  53. Iacomi, P.; Llewellyn, P.L. pyGAPS: A Python-based framework for adsorption isotherm processing and material characterisation. Adsorption 2019, 25, 1533–1542. [Google Scholar] [CrossRef]
  54. Stepnowski, P.; Müller, A.; Behrend, P.; Ranke, J.; Hoffmann, J.; Jastorff, B. Reversed-phase liquid chromatographic method for the determination of selected room-temperature ionic liquid cations. J. Chromatogr. A 2003, 993, 173–178. [Google Scholar] [CrossRef]
  55. Kaszyńska, J.; Rachocki, A.; Bielejewski, M.; Tritt-Goc, J. Influence of cellulose gel matrix on BMIMCl ionic liquid dynamics and conductivity. Cellulose 2017, 24, 1641–1655. [Google Scholar] [CrossRef]
  56. Studzińska, S.; Buszewski, B. Study of retention mechanism of imidazolium-based ionic liquids in HPLC. J. Sep. Sci. 2010, 33, 1264–1273. [Google Scholar] [CrossRef]
  57. Pierre, A.C.; Pajonk, G.M. Chemistry of Aerogels and Their Applications. Chem. Rev. 2002, 102, 4243–4266. [Google Scholar] [CrossRef]
  58. Klein, L. Handbook of zeolite science and technology. Focus Catal. 2004, 2004, 8. [Google Scholar] [CrossRef]
  59. Weissmüller, J.; Duan, H.-L.; Farkas, D. Deformation of solids with nanoscale pores by the action of capillary forces. Acta Mater. 2010, 58, 1–13. [Google Scholar] [CrossRef]
  60. Manasa, C.; Basavanna, V.; Ningaiah, S. Ionic Liquid-Based Hybrid Materials: Ionogel Review. Biointerface Res. Appl. Chem. 2022, 13, 391. [Google Scholar] [CrossRef]
  61. Wan, X.; He, Y.; Xu, Z.; Li, C.; Yang, C. Progress of Hydrophobic Ionogels: A Review. Macromol. Rapid Commun. 2023, 44, 2200957. [Google Scholar] [CrossRef]
  62. Abolghasemi Mahani, A.; Motahari, S.; Mohebbi, A. Sol-gel derived flexible silica aerogel as selective adsorbent for water decontamination from crude oil. Mar. Pollut. Bull. 2018, 129, 438–447. [Google Scholar] [CrossRef]
  63. Malfait, W.J.; Zhao, S.; Verel, R.; Iswar, S.; Rentsch, D.; Fener, R.; Zhang, Y.; Milow, B.; Koebel, M.M. Surface Chemistry of Hydrophobic Silica Aerogels. Chem. Mater. 2015, 27, 6737–6745. [Google Scholar] [CrossRef]
  64. Yao, C.; Dong, X.; Gao, G.; Sha, F.; Xu, D. Microstructure and Adsorption Properties of MTMS/TEOS Co-precursor Silica Aerogels Dried at Ambient Pressure. J. Non. Cryst. Solids 2021, 562, 120778. [Google Scholar] [CrossRef]
  65. Rodrigues, R.F.; Freitas, A.A.; Canongia Lopes, J.N.; Shimizu, K. Ionic Liquids and Water: Hydrophobicity vs. Hydrophilicity. Molecules 2021, 26, 7159. [Google Scholar] [CrossRef] [PubMed]
  66. Yee, P.; Shah, J.K.; Maginn, E.J. State of Hydrophobic and Hydrophilic Ionic Liquids in Aqueous Solutions: Are the Ions Fully Dissociated? J. Phys. Chem. B 2013, 117, 12556–12566. [Google Scholar] [CrossRef]
  67. Cheng, S. New Interpretation of X-ray Diffraction Pattern of Vitreous Silica. Ceramics 2021, 4, 83–96. [Google Scholar] [CrossRef]
  68. Vareda, J.P.; García-González, C.A.; Valente, A.J.M.M.; Simón-Vázquez, R.; Stipetic, M.; Durães, L. Insights on toxicity, safe handling and disposal of silica aerogels and amorphous nanoparticles. Environ. Sci. Nano 2021, 8, 1177–1195. [Google Scholar] [CrossRef]
  69. Ochoa, M.; Durães, L.; Beja, A.M.; Portugal, A. Study of the suitability of silica based xerogels synthesized using ethyltrimethoxysilane and/or methyltrimethoxysilane precursors for aerospace applications. J. Sol-Gel Sci. Technol. 2012, 61, 151–160. [Google Scholar] [CrossRef]
  70. Orel, B.; Ješe, R.; Vilčnik, A.; Štangar, U.L. Hydrolysis and Solvolysis of Methyltriethoxysilane Catalyzed with HCl or Trifluoroacetic Acid: IR Spectroscopic and Surface Energy Studies. J. Sol-Gel Sci. Technol. 2005, 34, 251–265. [Google Scholar] [CrossRef]
  71. Rocha, M.A.A.; Neves, C.M.S.S.; Freire, M.G.; Russina, O.; Triolo, A.; Coutinho, J.A.P.; Santos, L.M.N.B.F. Alkylimidazolium Based Ionic Liquids: Impact of Cation Symmetry on Their Nanoscale Structural Organization. J. Phys. Chem. B 2013, 117, 10889–10897. [Google Scholar] [CrossRef]
  72. Russina, O.; Lo Celso, F.; Plechkova, N.; Jafta, C.J.; Appetecchi, G.B.; Triolo, A. Mesoscopic organization in ionic liquids. Top. Curr. Chem. 2017, 375, 58. [Google Scholar] [CrossRef]
  73. Al-Oweini, R.; El-Rassy, H. Synthesis and characterization by FTIR spectroscopy of silica aerogels prepared using several Si(OR)4 and R″Si(OR′)3 precursors. J. Mol. Struct. 2009, 919, 140–145. [Google Scholar] [CrossRef]
  74. Paschoal, V.H.; Faria, L.F.O.; Ribeiro, M.C.C. Vibrational Spectroscopy of Ionic Liquids. Chem. Rev. 2017, 117, 7053–7112. [Google Scholar] [CrossRef] [PubMed]
  75. Brotton, S.J.; Lucas, M.; Jensen, T.N.; Anderson, S.L.; Kaiser, R.I. Spectroscopic Study on the Intermediates and Reaction Rates in the Oxidation of Levitated Droplets of Energetic Ionic Liquids by Nitrogen Dioxide. J. Phys. Chem. A 2018, 122, 7351–7377. [Google Scholar] [CrossRef] [PubMed]
  76. Liu, J.; Zhou, W.; Chambreau, S.D.; Vaghjiani, G.L. Molecular Dynamics Simulations and Product Vibrational Spectral Analysis for the Reactions of NO2 with 1-Ethyl-3-methylimidazolium Dicyanamide (BMIM+DCA), 1-Butyl-3-methylimidazolium Dicyanamide (BMIM+DCA), and 1-Allyl-3-methylimidazolium Dicya. J. Phys. Chem. B 2020, 124, 4303–4325. [Google Scholar] [CrossRef]
  77. Noack, K.; Schulz, P.S.; Paape, N.; Kiefer, J.; Wasserscheid, P.; Leipertz, A. The role of the C2 position in interionic interactions of imidazolium based ionic liquids: A vibrational and NMR spectroscopic study. Phys. Chem. Chem. Phys. 2010, 12, 14153. [Google Scholar] [CrossRef]
  78. Grishina, E.P.; Ramenskaya, L.M.; Kudryakova, N.O.; Vagin, K.V.; Kraev, A.S.; Agafonov, A.V. Composite nanomaterials based on 1-butyl-3-methylimidazolium dicianamide and clays. J. Mater. Res. Technol. 2019, 8, 4387–4398. [Google Scholar] [CrossRef]
  79. Elmahdy, M.M.; Fahmy, T.; Aldhafeeri, K.A.; Ibnouf, E.O.; Riadi, Y. Optical and antibacterial properties of 1-butyl-3-methylimidazolium ionic liquids with trifluoromethanesulfonate or tetrafluoroborate anion. Mater. Chem. Phys. 2021, 264, 124369. [Google Scholar] [CrossRef]
  80. Liu, Z.; El Abedin, S.Z.; Endres, F. Raman and FTIR Spectroscopic Studies of 1-Ethyl-3-methylimidazolium Trifluoromethylsulfonate, its Mixtures with Water and the Solvation of Zinc Ions. ChemPhysChem 2015, 16, 970–977. [Google Scholar] [CrossRef]
  81. Agafonov, A.V.; Kudryakova, N.O.; Ramenskaya, L.M.; Grishina, E.P. The confinement and anion type effect on the physicochemical properties of ionic liquid/halloysite nanoclay ionogels. Arab. J. Chem. 2020, 13, 9090–9104. [Google Scholar] [CrossRef]
  82. Cao, Y.; Mu, T. Comprehensive Investigation on the Thermal Stability of 66 Ionic Liquids by Thermogravimetric Analysis. Ind. Eng. Chem. Res. 2014, 53, 8651–8664. [Google Scholar] [CrossRef]
  83. Xu, C.; Cheng, Z. Thermal Stability of Ionic Liquids: Current Status and Prospects for Future Development. Processes 2021, 9, 337. [Google Scholar] [CrossRef]
  84. Ngo, H.L.; LeCompte, K.; Hargens, L.; McEwen, A.B. Thermal properties of imidazolium ionic liquids. Thermochim. Acta 2000, 357–358, 97–102. [Google Scholar] [CrossRef]
  85. Putz, A.-M.; Len, A.; Trif, L.; Horváth, Z.E.; Almásy, L. Imidazolium Ionic Liquids as Designer Solvents Confined in Silica Nanopores. Gels 2022, 8, 388. [Google Scholar] [CrossRef]
  86. Singh, M.P.; Verma, Y.L.; Gupta, A.K.; Singh, R.K.; Chandra, S. Changes in dynamical behavior of ionic liquid in silica nano-pores. Ionics 2014, 20, 507–516. [Google Scholar] [CrossRef]
  87. Huang, C.; Wikfeldt, K.T.; Nordlund, D.; Bergmann, U.; McQueen, T.; Sellberg, J.; Pettersson, L.G.M.; Nilsson, A. Wide-angle X-ray diffraction and molecular dynamics study of medium-range order in ambient and hot water. Phys. Chem. Chem. Phys. 2011, 13, 19997. [Google Scholar] [CrossRef]
  88. Kottsov, S.Y.; Shmelev, M.A.; Baranchikov, A.E.; Kiskin, M.A.; Sharipov, A.U.; Efimov, N.N.; Rubtsova, I.K.; Nikolaevskii, S.A.; Kopitsa, G.P.; Khamova, T.V.; et al. Aerogel-Based Single-Ion Magnets: A Case Study of a Cobalt(II) Complex Immobilized in Silica. Molecules 2023, 28, 418. [Google Scholar] [CrossRef]
  89. Lermontov, S.A.; Malkova, A.N.; Kolmakova, A.A.; Sipyagina, N.A.; Kottsov, S.Y.; Baranchikov, A.E.; Ivanova, O.S.; Kaplan, M.A.; Baikin, A.S.; Kolmakov, A.G.; et al. Comparative Analysis of Superhydrophobic Elastic Polymethylsilsesquioxane Aerogels Prepared at Atmospheric Pressure and under Supercritical Conditions. Russ. Metall. 2022, 2022, 1253–1259. [Google Scholar] [CrossRef]
  90. Li, Y.; Du, A.; Shen, J.; Zhang, Z.; Wu, G.; Zhou, B. Temperature dependence of dynamic mechanical behaviors in low density MTMS-derived silica aerogel. J. Porous Mater. 2018, 25, 1229–1235. [Google Scholar] [CrossRef]
  91. Nowak, B.; Bonora, M.; Zuzga, M.; Werner, Ł.; Jackiewicz-Zagórska, A.; Gac, J.M. MTMS-based aerogel structure deposition on polypropylene fibrous filter—Surface layer effect and distribution control for improvement of oil aerosol separation properties. J. Environ. Chem. Eng. 2022, 10, 108410. [Google Scholar] [CrossRef]
  92. Sun, M.; Wu, L.; Wang, Y.; Wang, X.; Liu, Q.; Li, M.; Li, Z. Preparation and characterization of hydrophilic methylsilsesquioxane aerogels through adjusting the water/ethanol ratio. J. Porous Mater. 2023, 30, 681–690. [Google Scholar] [CrossRef]
  93. Cui, J.; Lin, X.; Zhao, W.; Cummings, P.T.; Pruski, M.; Kobayashi, T. NMR and Theoretical Study of In-Pore Diffusivity of Ionic Liquid–Solvent Mixtures. J. Phys. Chem. B 2022, 126, 4889–4898. [Google Scholar] [CrossRef] [PubMed]
  94. Li, S.; Xia, X. Structure Heterogeneity in Ionic Liquids. In Encyclopedia of Ionic Liquids; Springer: Singapore, 2021; pp. 1–6. [Google Scholar]
  95. Bernardes, C.E.S.; Shimizu, K.; Lobo Ferreira, A.I.M.C.; Santos, L.M.N.B.F.; Canongia Lopes, J.N. Structure and Aggregation in the 1,3-Dialkyl-imidazolium Bis(trifluoromethylsulfonyl)imide Ionic Liquid Family: 2. From Single to Double Long Alkyl Side Chains. J. Phys. Chem. B 2014, 118, 6885–6895. [Google Scholar] [CrossRef] [PubMed]
  96. Lu, D.; Qin, M.; Liu, C.; Deng, J.; Shi, G.; Zhou, T. Ionic Liquid-Functionalized Magnetic Metal–Organic Framework Nanocomposites for Efficient Extraction and Sensitive Detection of Fluoroquinolone Antibiotics in Environmental Water. ACS Appl. Mater. Interfaces 2021, 13, 5357–5367. [Google Scholar] [CrossRef]
  97. Kamaruddin, N.A.L.; Taha, M.F.; Wilfred, C.D. Synthesis and Characterization of Novel Thiosalicylate-based Solid-Supported Ionic Liquid for Removal of Pb(II) Ions from Aqueous Solution. Molecules 2023, 28, 830. [Google Scholar] [CrossRef]
  98. Plazinski, W.; Dziuba, J.; Rudzinski, W. Modeling of sorption kinetics: The pseudo-second order equation and the sorbate intraparticle diffusivity. Adsorption 2013, 19, 1055–1064. [Google Scholar] [CrossRef]
  99. Cao, Y.; Chen, Y.; Sun, X.; Zhang, Z.; Mu, T. Water sorption in ionic liquids: Kinetics, mechanisms and hydrophilicity. Phys. Chem. Chem. Phys. 2012, 14, 12252. [Google Scholar] [CrossRef]
  100. Cao, Y.; Chen, Y.; Lu, L.; Xue, Z.; Mu, T. Water Sorption in Functionalized Ionic Liquids: Kinetics and Intermolecular Interactions. Ind. Eng. Chem. Res. 2013, 52, 2073–2083. [Google Scholar] [CrossRef]
Figure 1. (a) The scheme of the experimental setup to assess the washout of ionic liquids from ionogels; (b) the conductivity of the ionic liquids used in the experiments vs. their concentration.
Figure 1. (a) The scheme of the experimental setup to assess the washout of ionic liquids from ionogels; (b) the conductivity of the ionic liquids used in the experiments vs. their concentration.
Chemengineering 08 00111 g001
Figure 2. (a) The conductometry washout experiment for the TMOS-C4DCA sample and (b) the comparison of washout levels assessed using conductometry and the HPLC measurements.
Figure 2. (a) The conductometry washout experiment for the TMOS-C4DCA sample and (b) the comparison of washout levels assessed using conductometry and the HPLC measurements.
Chemengineering 08 00111 g002
Figure 3. Kinetic washout curves for the TMOS-C4DCA-based ionogels with different (a) preparation methods (the gelation of silica directly in the IL or the impregnation of highly porous silica in powdered or monolithic form), and (b) IL content.
Figure 3. Kinetic washout curves for the TMOS-C4DCA-based ionogels with different (a) preparation methods (the gelation of silica directly in the IL or the impregnation of highly porous silica in powdered or monolithic form), and (b) IL content.
Chemengineering 08 00111 g003
Figure 4. Washout kinetic curves for the ionogels with different hydrophobicity of the silica matrices and the ionic liquids.
Figure 4. Washout kinetic curves for the ionogels with different hydrophobicity of the silica matrices and the ionic liquids.
Chemengineering 08 00111 g004
Figure 5. The appearance of the porous silica controls, and the ionogel samples before and after the washout experiments.
Figure 5. The appearance of the porous silica controls, and the ionogel samples before and after the washout experiments.
Chemengineering 08 00111 g005
Figure 6. (a) XRD patterns of the bare porous silica samples (the upper panel) and the as prepared ionogels and pure ionic liquids; (b) XRD patterns of ionogels after outwash experiments. The symbol * indicates the halo presumably corresponding to hydrophobic Si-CH3 channels in the MTMS-C4DCA ionogel.
Figure 6. (a) XRD patterns of the bare porous silica samples (the upper panel) and the as prepared ionogels and pure ionic liquids; (b) XRD patterns of ionogels after outwash experiments. The symbol * indicates the halo presumably corresponding to hydrophobic Si-CH3 channels in the MTMS-C4DCA ionogel.
Chemengineering 08 00111 g006
Figure 7. FTIR spectra of the bare silica samples, pure ionic liquids and the samples of silica-based ionogels containing BMIm DCA (a) and BMIm TFSI (b) ionic liquids.
Figure 7. FTIR spectra of the bare silica samples, pure ionic liquids and the samples of silica-based ionogels containing BMIm DCA (a) and BMIm TFSI (b) ionic liquids.
Chemengineering 08 00111 g007
Figure 8. TGA-DTA data for the (a) as prepared ionogels, and the (b) ionogels after the washout experiments.
Figure 8. TGA-DTA data for the (a) as prepared ionogels, and the (b) ionogels after the washout experiments.
Chemengineering 08 00111 g008
Figure 9. Microstructure of the BMIm TFSI@SiO2 ionogels. (a) SEM images and (b) nitrogen adsorption–desorption isotherms for the porous silica matrices obtained after the removal of IL from ionogels. (c) Probing the IL anion sorption sites in ionogels with 19F NMR spectroscopy. *—the inflexion point in MTMS-C4TFSI NMR signal indicating the presence of two components (see also Figure S6).
Figure 9. Microstructure of the BMIm TFSI@SiO2 ionogels. (a) SEM images and (b) nitrogen adsorption–desorption isotherms for the porous silica matrices obtained after the removal of IL from ionogels. (c) Probing the IL anion sorption sites in ionogels with 19F NMR spectroscopy. *—the inflexion point in MTMS-C4TFSI NMR signal indicating the presence of two components (see also Figure S6).
Chemengineering 08 00111 g009
Figure 10. The influence of alkyl chain length on the degree of washout from ionogels comprising CnMIm TFSI ionic liquids.
Figure 10. The influence of alkyl chain length on the degree of washout from ionogels comprising CnMIm TFSI ionic liquids.
Chemengineering 08 00111 g010
Table 1. The ionogel sample names, their composition and the synthesis method.
Table 1. The ionogel sample names, their composition and the synthesis method.
Sample NameMethod for the Synthesis of IonogelPorous Silica Composition,
T M O S T M O S   +   M T M S , mol.%
Ionic LiquidIL Fraction,
I L I L   +   S i O 2 , mol.%
TMOS-C4DCAGelation in ionic liquid0BMIm DCA50
TMOS-C4DCA-monolithImpregnation of silica monolith0BMIm DCA50
TMOS-C4DCA-powderImpregnation of silica powder0BMIm DCA50
TMOS-C4DCA-20%Gelation in ionic liquid0BMIm DCA20
TMOS-C4DCA-80%Gelation in ionic liquid0BMIm DCA80
TMOS-MTMS-C4DCAGelation in ionic liquid50BMIm DCA50
MTMS-C4DCAGelation in ionic liquid100BMIm DCA50
TMOS-C4TFSIGelation in ionic liquid0BMIm TFSI50
TMOS-MTMS-C4TFSIGelation in ionic liquid50BMIm TFSI50
MTMS-C4TFSIGelation in ionic liquid100BMIm TFSI50
TMOS-MTMS-C2TFSIGelation in ionic liquid50EMIm TFSI50
TMOS-MTMS-C8TFSIGelation in ionic liquid50OMIm TFSI50
TMOS *Gelation in methanol00
TMOS-MTMS *Gelation in methanol500
MTMS *Gelation in methanol100
* Reference samples of porous silica containing no IL.
Table 2. Texture properties and water contact angle of the porous silica and ionogel samples.
Table 2. Texture properties and water contact angle of the porous silica and ionogel samples.
SampleSample Volume,
V, cm3
Apparent Density,
ρapp, g·cm−3
Skeletal Density,
ρsk, g·cm−3
Porosity, P, %Water Contact Angle, θc, °Sample Weight
m, g
Reference porous silica
TMOS0.75 ± 0.010.212 ± 0.0042.105 ± 0.00990 ± 2N/A *0.157
TMOS-MTMS0.52 ± 0.010.331 ± 0.0081.76 ± 0.0281 ± 340 ± 40.173
MTMS0.57 ± 0.020.287 ± 0.0071.55 ± 0.0182 ± 384 ± 100.164
BMIm DCA ionogels, ρsk(IL) = 1.097 ± 0.002 g·cm−3
TMOS-C4DCA
As prepared1.15 ± 0.031.07 ± 0.021.3 ± 0.122 ± 128 ± 11.169
After washout0.94 ± 0.060.95 ± 0.071.168 ± 0.00519 ± 131 ± 20.888
TMOS-MTMS-C4DCA
As prepared0.66 ± 0.011.06 ± 0.021.38 ± 0.0123 ± 140 ± 20.700
After washout0.65 ± 0.011.00 ± 0.021.23 ± 0.0119 ± 172 ± 50.654
MTMS-C4DCA
As prepared0.67 ± 0.011.09 ± 0.021.285 ± 0.00516 ± 175 ± 40.756
After washout0.67 ± 0.010.97 ± 0.071.115 ± 0.00513 ± 172 ± 60.820
BMIm TFSI ionogels, ρsk(IL) = 1.476 ± 0.001 g·cm−3
TMOS-C4TFSI
As prepared1.25 ± 0.031.25 ± 0.031.37 ± 0.0113 ± 157 ± 71.495
After washout1.14 ± 0.030.97 ± 0.031.34 ± 0.0127 ± 127 ± 61.119
TMOS-MTMS-C4TFSI
As prepared0.78 ± 0.011.40 ± 0.021.51 ± 0.019 ± 163 ± 11.103
After washout **0.43 ± 0.020.63 ± 0.031.86 ± 0.0167 ± 473 ± 20.267
MTMS-C4TFSI
As prepared1.50 ± 0.030.97 ± 0.031.313 ± 0.00725 ± 183 ± 31.161
After washout0.92 ± 0.040.90 ± 0.041.31 ± 0.0931 ± 370 ± 80.833
* Water droplet was rapidly adsorbed by the sample. ** Upon the washout experiment the surface parts of the sample flaked off.
Table 3. Quantification of TGA data for the ionogels before and after the washout experiments.
Table 3. Quantification of TGA data for the ionogels before and after the washout experiments.
SampleWeight Loss, %Weight at 900 °C, %IL/(IL + SiO2), mol.%IL Washout Degree, %
30–100 °C200–700 °C
AttributionH2O and MeOH EvaporationDecomposition of ILSiO2
TMOS-C4DCA
As prepared14.463.720.048.291
After washout79.12.717.94.2
TMOS-MTMS-C4DCA
As prepared9.171.221.249.595
After washout69.42.427.72.5
MTMS-C4DCA
As prepared11.868.718.951.586
After washout28.514.955.57.3
TMOS-C4TFSI
As prepared2.883.912.549.090
After washout81.04.913.94.8
TMOS-MTMS-C4TFSI
As prepared0.485.214.346.047
After washout0.269.230.524.5
MTMS-C4TFSI
As prepared1.685.212.948.663
After washout50.030.219.518.1
Table 4. The kinetic parameters of the washout from the ionogels with different hydrophobicity of silica matrices and ionic liquids.
Table 4. The kinetic parameters of the washout from the ionogels with different hydrophobicity of silica matrices and ionic liquids.
Ionogel SampleHalf-Washout Time, t1/2, min90% Washout Time, t0.9, min1 Day Washout Degree, α (24 h)
TMOS-C4DCA392680.992
TMOS-MTMS-C4DCA492790.947
MTMS-C4DCA331900.991
TMOS-C4TFSI1750.863
TMOS-MTMS-C4TFSI10840.560
MTMS-C4TFSI2410.852
Table 5. Texture properties of BMIm TFSI@SiO2 ionogels matrices.
Table 5. Texture properties of BMIm TFSI@SiO2 ionogels matrices.
Ionogel Sample (After the IL Removal)TMOS-C4TFSITMOS-MTMS-C4TFSIMTMS-C4TFSI
Surface area SBET, m2·g−1749973558
BET constant, CBET10587108
DR micropore volume, VDR, cm3·g−10.300.420.25
DR sorption potential, EDR, kJ·mol−14.623.423.43
BJH cumulative pore volume, VBJH, cm3·g−1
  • by desorption
2.32.30.8
  • by adsorption
2.32.90.8
BJH mean pore size, <dBJH> nm
  • by desorption
223310
  • by adsorption
222011
Table 6. Comparison of the existing data on ionogel stability in aqueous media.
Table 6. Comparison of the existing data on ionogel stability in aqueous media.
Ionic LiquidMatrixThe Highest/Lowest Outwash LevelFactors Governing
the Outwash
IL Detection MethodRef.
Tetraalkylammonium DCASilica0.04/0.023%Bare IL vs. confined IL1H NMR[40]
Various CnMIm-basedSilica99/89%Titration[41]
EMIm TFSI, EMIm OTFPolymer45/10%IL hydrophobicityWeighting[34]
Cyphos® (Syensqo, Brussels, Belgium) 102, 105, 109Polymer membrane500/100 ppmType of hydrophobic polymerICP-OES[42]
Isooctylmethylimidazolium D2EHPPolymer membrane11%Total organic carbon[43]
BMIm TFSIPolymer5%Anion interaction with matrixWeighting[20]
EMIm ethylsulphatePolymer90/1.2%Shielding of the ionogel surface with elasomerConductometry[45]
Various CnMIm-basedSilica99/14%Preparation method, IL fraction, IL and matrix hydrophobicity, ionogel ageingConductometryThis study
Table 7. Pseudo-second-order fitting of ionogel washout kinetic curves.
Table 7. Pseudo-second-order fitting of ionogel washout kinetic curves.
SampleEquilibrium Washout Level, qeKinetic Rate Constant, k, mol−1·s−1R2
TMOS-DCA1.034(1.543 ± 0.001) × 10−10.991
TMOS-MTMS-DCA0.992(1.600 ± 0.002) × 10−10.976
MTMS-DCA1.021(2.079 ± 0.002) × 10−10.978
TMOS-TFSI0.933(4.347 ± 0.002) × 10−20.999
TMOS-MTMS-TFSI0.825(7.542 ± 0.003) × 10−30.998
MTMS-TFSI0.906(2.672 ± 0.001) × 10−20.987
TMOS-MTMS-C2TFSI1.019(3.620 ± 0.005) × 10−20.933
TMOS-MTMS-C8TFSI0.244(2.503 ± 0.001) × 10−20.999
Disclaimer/Publisher’s Note: The statements, opinions and data contained in all publications are solely those of the individual author(s) and contributor(s) and not of MDPI and/or the editor(s). MDPI and/or the editor(s) disclaim responsibility for any injury to people or property resulting from any ideas, methods, instructions or products referred to in the content.

Share and Cite

MDPI and ACS Style

Kottsov, S.Y.; Badulina, A.O.; Ivanov, V.K.; Baranchikov, A.E.; Nelyubin, A.V.; Simonenko, N.P.; Selivanov, N.A.; Nikiforova, M.E.; Tsivadze, A.Y. Ionogels in Aqueous Media: From Conductometric Probing of the Ionic Liquid Washout to the Design of More Stable Materials. ChemEngineering 2024, 8, 111. https://doi.org/10.3390/chemengineering8060111

AMA Style

Kottsov SY, Badulina AO, Ivanov VK, Baranchikov AE, Nelyubin AV, Simonenko NP, Selivanov NA, Nikiforova ME, Tsivadze AY. Ionogels in Aqueous Media: From Conductometric Probing of the Ionic Liquid Washout to the Design of More Stable Materials. ChemEngineering. 2024; 8(6):111. https://doi.org/10.3390/chemengineering8060111

Chicago/Turabian Style

Kottsov, Sergei Yu., Alexandra O. Badulina, Vladimir K. Ivanov, Alexander E. Baranchikov, Aleksey V. Nelyubin, Nikolay P. Simonenko, Nikita A. Selivanov, Marina E. Nikiforova, and Aslan Yu. Tsivadze. 2024. "Ionogels in Aqueous Media: From Conductometric Probing of the Ionic Liquid Washout to the Design of More Stable Materials" ChemEngineering 8, no. 6: 111. https://doi.org/10.3390/chemengineering8060111

APA Style

Kottsov, S. Y., Badulina, A. O., Ivanov, V. K., Baranchikov, A. E., Nelyubin, A. V., Simonenko, N. P., Selivanov, N. A., Nikiforova, M. E., & Tsivadze, A. Y. (2024). Ionogels in Aqueous Media: From Conductometric Probing of the Ionic Liquid Washout to the Design of More Stable Materials. ChemEngineering, 8(6), 111. https://doi.org/10.3390/chemengineering8060111

Article Metrics

Back to TopTop