Increasing the Adherence of Metallic Copper to the Surface of Titanium Hydride
Abstract
:1. Introduction
2. Materials and Methods
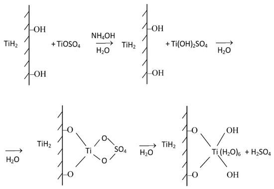
3. Results and Discussion
4. Conclusions
Author Contributions
Funding
Conflicts of Interest
References
- Matyukhin, P.V. The choice of iron-containing filling for composite radioprotective material. IOP Conf. Ser. Mater. Sci. Eng. 2018, 327, 032036. [Google Scholar] [CrossRef] [Green Version]
- Yastrebinsky, R.N.; Karnauhov, A.A.; Yastrebinskaya, A.V. Prospects for the use of neutron-shielding metal hydride materials in the construction of NPP power units. In Proceedings of the International Conference Industrial and Civil Construction, Belgorod, Russia, 18–19 January 2021; Volume 147, pp. 161–167. [Google Scholar] [CrossRef]
- Pavlenko, V.I.; Edamenko, O.D.; Cherkashina, N.I.; Kuprieva, O.V.; Noskov, A.V. Study of the attenuation coefficients of photon and neutron beams passing through titanium hydride. J. Surf. Investig. 2015, 9, 546–549. [Google Scholar] [CrossRef]
- Smithson, H.; Marianetti, C.A.; Morgan, D.; Van Der Ven, A.; Predith, A.; Ceder, G. First-principles study of the stability and electronic structure of metal hydrides. Phys. Rev. B Condens. Matter Mater. Phys. 2002, 66, 144107. [Google Scholar] [CrossRef] [Green Version]
- Yastrebinsky, R.N.; Karnauhov, A.A.; Yastrebinskaya, A.V. Improving the radiation-thermal stability of titanium hydride. J. Phys. Conf. Ser. 2020, 1515, 022002. [Google Scholar] [CrossRef]
- Cheng, Y.; Song, S.; Ma, H.; Su, J.; Han, T.; Shen, Z.; Meng, X. Hybrid H2/Ti dust explosion hazards during the production of metal hydride TiH2 in a closed vessel. Int. J. Hydrogen Energy 2019, 44, 11145–11152. [Google Scholar] [CrossRef]
- Cheng, Y.; Wu, H.; Liu, R.; Yao, Y.; Su, J.; Wang, W.; Shu, C. Combustion behaviors and explosibility of suspended metal hydride TiH2 dust. Int. J. Hydrogen Energy 2020, 45, 12216–12224. [Google Scholar] [CrossRef]
- Liu, X.; Guo, Z.; Ma, C.; Sheng, Y.; Yang, F. Study on preparing spherical nickel coated titanium powders by electroless plating and radio-frequency plasma. In Proceedings of the Ti 2011—the 12th World Conference on Titanium, Beijing, China, 19–24 June 2011; Volume 3, pp. 2220–2222. [Google Scholar]
- Wang, J.-J.; Hao, J.-J.; Guo, Z.-M.; Wang, Y.-M. Preparation of spherical tungsten and titanium powders by RF induction plasma processing. Rare Met. 2014, 34, 431–435. [Google Scholar] [CrossRef]
- Yang, S.; Gwak, J.-N.; Lim, T.-S.; Kim, Y.-J.; Yun, J.-Y. Preparation of Spherical Titanium Powders from Polygonal Titanium Hydride Powders by Radio Frequency Plasma Treatment. Mater. Trans. 2013, 54, 2313–2316. [Google Scholar] [CrossRef] [Green Version]
- Wu, X.-L.; Xu, S.; Pang, A.-M.; Cao, W.-G.; Liu, D.-B.; Zhu, X.-Y.; Xu, F.-Y.; Wang, X. Hazard evaluation of ignition sensitivity and explosion severity for three typical MH2 (M= Mg, Ti, Zr) of energetic materials. Def. Technol. 2020, 17, 1262–1268. [Google Scholar] [CrossRef]
- Chen, T.; Yang, C.; Liu, Z.; Ma, H.; Kang, L.; Wang, Z.; Zhang, W.; Li, D.; Li, N.; Li, Y. Revealing dehydrogenation effect and resultant densification mechanism during pressureless sintering of TiH2 powder. J. Alloys Compd. 2021, 873, 159792. [Google Scholar] [CrossRef]
- Cao, J.; Xiao, P.; Dai, K.; Li, C.; Zhang, X. Thermal dehydrogenation behavior of TiH2 and its dynamics calculation. Zhongguo Youse Jinshu Xuebao Chin. J. Nonferrous Met. 2014, 24, 733–738. [Google Scholar]
- Guo, F.; Jain, A.; Miyaoka, H.; Kojima, Y.; Ichikawa, T. Critical temperature and pressure conditions of degradation during thermochemical hydrogen compression: A case study of V-based hydrogen storage alloy. Energies 2020, 13, 2324. [Google Scholar] [CrossRef]
- Chirico, C.; Tsipas, S.A.; Wilczynski, P.; Gordo, E. Beta Titanium Alloys Produced from Titanium Hydride: Effect of Alloying Elements on Titanium Hydride Decomposition. Metals 2020, 10, 682. [Google Scholar] [CrossRef]
- Gao, H.; Shi, R.; Zhu, J.; Liu, Y.; Shao, Y.; Zhu, Y.; Zhang, J.; Li, L.; Hu, X. Interface effect in sandwich like Ni/Ti3C2 catalysts on hydrogen storage performance of MgH2. Appl. Surf. Sci. 2021, 564, 150302. [Google Scholar] [CrossRef]
- Gkomoza, P.; Lampropoulos, G.; Vardavoulias, M.; Pantelis, D.; Karakizis, P.; Sarafoglou, C. Microstructural investigation of porous titanium coatings, produced by thermal spraying techniques, using plasma atomization and hydride-dehydride powders, for orthopedic implants. Surf. Coatings Technol. 2018, 357, 947–956. [Google Scholar] [CrossRef]
- Hu, G.; Chen, Y.; Wang, M.; Liu, B.; Yan, S. Thermal control technology for the space station adjoint modular satellite based on new thermal control materials. IOP Conf. Ser. Mater. Sci. Eng. 2020, 793, 012031. [Google Scholar] [CrossRef] [Green Version]
- Ko, W.-S.; Park, K.B.; Park, H.-K. Density functional theory study on the role of ternary alloying elements in TiFe-based hydrogen storage alloys. J. Mater. Sci. Technol. 2021, 92, 148–158. [Google Scholar] [CrossRef]
- Krotov, D.M. Possibilities and problems of using MIM technology in manufacturing parts of aircraft elements made of titanium and titanium alloys. AIP Conf. Proc 2021, 2318, 020002. [Google Scholar] [CrossRef]
- Liu, T.; Chen, C.; Wang, F.; Li, X. Enhanced hydrogen storage properties of magnesium by the synergic catalytic effect of TiH1.971 and TiH1.5 nanoparticles at room temperature. J. Power Sources 2014, 267, 69–77. [Google Scholar] [CrossRef]
- Senkevich, K.; Pozhoga, O. Experimental Investigation of hydrogen absorption by commercial high alloyed Ti2AlNb-based alloy in cast and rapidly solidified state. Vacuum 2021, 191, 110379. [Google Scholar] [CrossRef]
- Sickafus, K.E.; Grimes, R.W.; Valdez, J.A.; Cleave, A.; Tang, M.; Ishimaru, M.; Corish, S.M.; Stanek, C.R.; Uberuaga, B. Radiation-induced amorphization resistance and radiation tolerance in structurally related oxides. Nat. Mater. 2007, 6, 217–223. [Google Scholar] [CrossRef] [PubMed]
- Young, K.; Ouchi, T.; Huang, B.; Nei, J.; Fetcenko, M. Studies of Ti1.5Zr5.5V0.5(MxNi1−x)9.5 (M=Cr, Mn, Fe, Co, Cu, Al): Part 1. Structural characteristics. J. Alloys Compd. 2010, 501, 236–244. [Google Scholar] [CrossRef]
- Zelekew, O.A.; Kuo, D.-H. Facile synthesis of SiO2@CuxO@TiO2 heterostructures for catalytic reductions of 4-nitrophenol and 2-nitroaniline organic pollutants. Appl. Surf. Sci. 2017, 393, 110–118. [Google Scholar] [CrossRef]
- Akhtar, M.A.; Ilyas, K.; Dlouhý, I.; Siska, F.; Boccaccini, A.R. Electrophoretic Deposition of Copper(II)–Chitosan Complexes for Antibacterial Coatings. Int. J. Mol. Sci. 2020, 21, 2637. [Google Scholar] [CrossRef] [Green Version]
- Ide, T.; Tsunemi, A.; Nakajima, H. Fabrication of Porous Copper with Directional Pores by Continuous Casting Technique Through Thermal Decomposition of Hydride. Met. Mater. Trans. A 2014, 45, 1418–1424. [Google Scholar] [CrossRef]
- Sahu, K.; Bisht, A.; Khan, S.A.; Pandey, A.; Mohapatra, S. Engineering of morphological, optical, structural, photocatalytic and catalytic properties of nanostructured CuO thin films fabricated by reactive DC magnetron sputtering. Ceram. Int. 2019, 46, 7499–7509. [Google Scholar] [CrossRef]
- Shehayeb, S.; Deschanels, X.; Ghannam, L.; Karame, I.; Toquer, G. Tandem selective photothermal absorbers based on EPD of CuO colloidal suspension coupled with dip-coated silica. Surf. Coatings Technol. 2021, 408, 126818. [Google Scholar] [CrossRef]
- Kucheryavyi, O.V.; Bratanich, T.I.; Skorokhod, V.V.; Kopylova, L.I.; Krapivka, N.A. Structural and phase mechanism and rate of interaction between TiCu, Ti3Cu4, and Ti2Cu3 intermetallic compounds and hydrogen. I. Formation and decomposition of intermetallic hydrides. Powder Met. Met. Ceram. 2012, 51, 234–242. [Google Scholar] [CrossRef]
- Nakajima, H.; Ide, T. Fabrication of Porous Copper with Directional Pores through Thermal Decomposition of Compounds. Met. Mater. Trans. A 2008, 39, 390–394. [Google Scholar] [CrossRef]
- Han, T.; Li, J.; Zhao, N.; He, C. Microstructure and properties of copper coated graphene nanoplates reinforced Al matrix composites developed by low temperature ball milling. Carbon 2019, 159, 311–323. [Google Scholar] [CrossRef]
- Semboshi, S.; Yamauchi, S.; Numakura, H. Formation of Titanium Hydride in Dilute Cu-Ti Alloy by Aging in Hydrogen Atmosphere and Its Effects on Electrical and Mechanical Properties. J. Jpn. Inst. Met. 2012, 76, 496–503. [Google Scholar] [CrossRef] [Green Version]
- Zhou, C.; Bowman, R.C.; Fang, Z.Z.; Lu, J.; Xu, L.; Sun, P.; Liu, H.; Wu, H.; Liu, Y. Amorphous TiCu-Based Additives for Improving Hydrogen Storage Properties of Magnesium Hydride. ACS Appl. Mater. Interfaces 2019, 11, 38868–38879. [Google Scholar] [CrossRef]
- Pronichev, D.; Gurevich, L.M.; Trykov, Y.P.; Trunov, M.D. Investigation of aluminum–copper bimetal-based intermetallide coating produced by contact melting method. Inorg. Mater. Appl. Res. 2016, 7, 97–101. [Google Scholar] [CrossRef]
- Semboshi, S.; Nishida, T.; Numakura, H. Microstructure and mechanical properties of Cu–3 at.% Ti alloy aged in a hydrogen atmosphere. Mater. Sci. Eng. A 2009, 517, 105–113. [Google Scholar] [CrossRef]
- Wu, H.; Zheng, Z.; Toe, C.Y.; Wen, X.; Hart, J.N.; Amal, R.; Ng, Y.H. A pulse electrodeposited amorphous tunnel layer stabilises Cu2O for efficient photoelectrochemical water splitting under visible-light irradiation. J. Mater. Chem. A 2020, 8, 5638–5646. [Google Scholar] [CrossRef]
- Zhao, H.; Guo, F.; Zhu, L.; He, J.; Yin, F. The effect of Cu addition on the crystallization behavior and tribological properties of reactive plasma sprayed TiCN–Cu coatings. Ceram. Int. 2019, 46, 8344–8351. [Google Scholar] [CrossRef]















Publisher’s Note: MDPI stays neutral with regard to jurisdictional claims in published maps and institutional affiliations. |
© 2021 by the authors. Licensee MDPI, Basel, Switzerland. This article is an open access article distributed under the terms and conditions of the Creative Commons Attribution (CC BY) license (https://creativecommons.org/licenses/by/4.0/).
Share and Cite
Pavlenko, V.I.; Gorodov, A.I.; Yastrebinsky, R.N.; Cherkashina, N.I.; Karnauhov, A.A. Increasing the Adherence of Metallic Copper to the Surface of Titanium Hydride. ChemEngineering 2021, 5, 72. https://doi.org/10.3390/chemengineering5040072
Pavlenko VI, Gorodov AI, Yastrebinsky RN, Cherkashina NI, Karnauhov AA. Increasing the Adherence of Metallic Copper to the Surface of Titanium Hydride. ChemEngineering. 2021; 5(4):72. https://doi.org/10.3390/chemengineering5040072
Chicago/Turabian StylePavlenko, Vyacheslav Ivanovich, Andrey Ivanovich Gorodov, Roman Nikolayevich Yastrebinsky, Natalia Igorevna Cherkashina, and Alexander Alexandrovich Karnauhov. 2021. "Increasing the Adherence of Metallic Copper to the Surface of Titanium Hydride" ChemEngineering 5, no. 4: 72. https://doi.org/10.3390/chemengineering5040072
APA StylePavlenko, V. I., Gorodov, A. I., Yastrebinsky, R. N., Cherkashina, N. I., & Karnauhov, A. A. (2021). Increasing the Adherence of Metallic Copper to the Surface of Titanium Hydride. ChemEngineering, 5(4), 72. https://doi.org/10.3390/chemengineering5040072

