The Role of Protein Adduction in Toxic Neuropathies of Exogenous and Endogenous Origin
Abstract
1. Introduction
2. γ-Diketone Neuropathy
2.1. Clinical Picture
2.2. Experimental Animal Neuropathy
2.3. Neurotoxic Properties of γ-Diketones
2.4. γ-Diketone Protein Adduction and Cross-Linking
2.5. Tissue Susceptibility to γ-Diketones
2.6. Summary
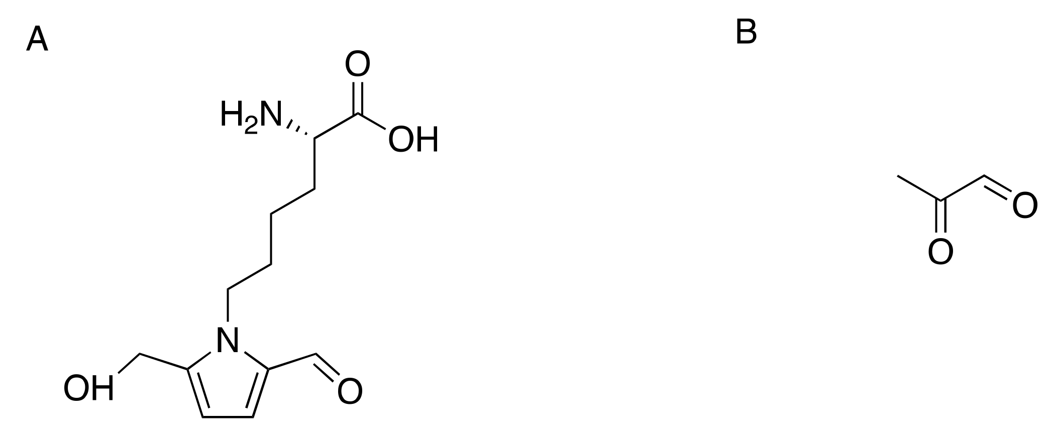
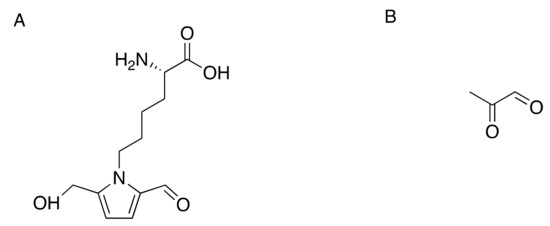
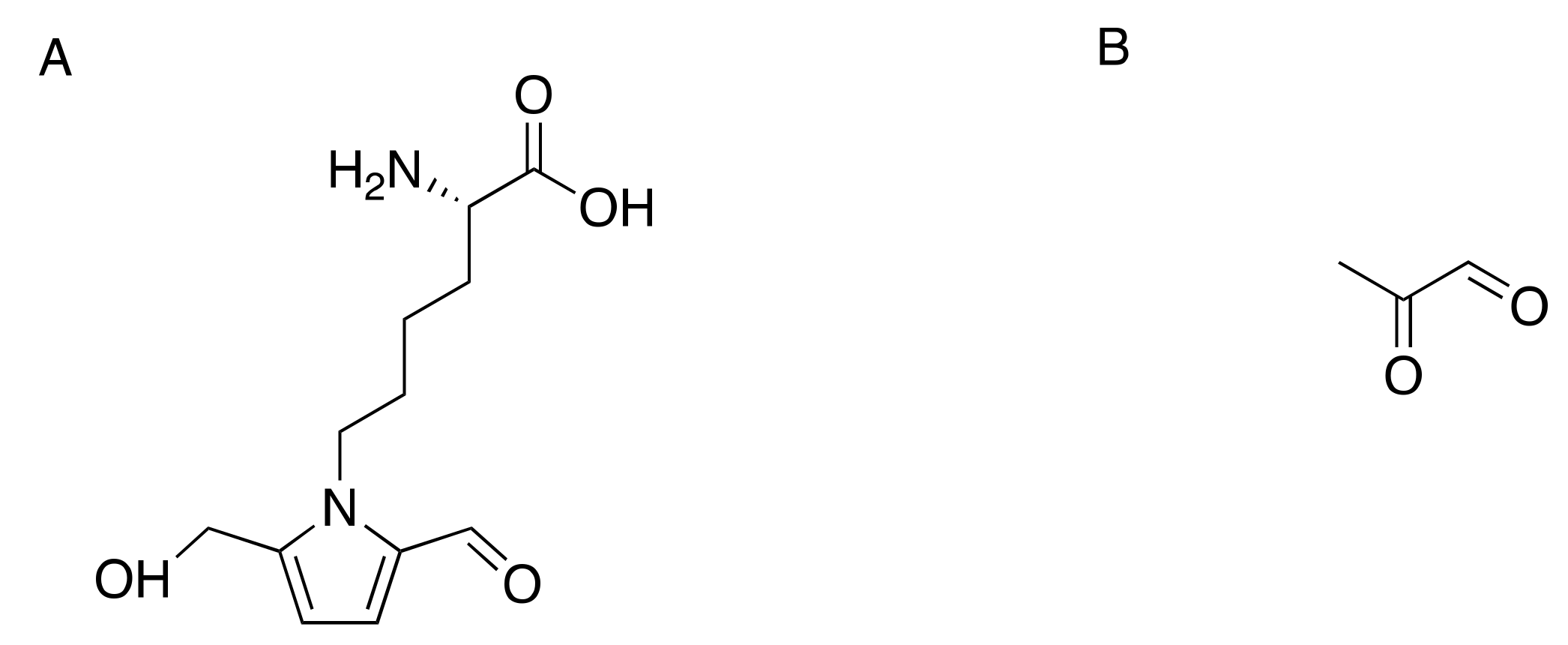
3. Endogenous 2,5-Hexanedione and Associated Pyrroles
4. Relationship to Neuropathies of Endogenous Origin
4.1. Central-Peripheral Distal Axonopathies
4.2. Type II-Diabetic Peripheral Neuropathy (T2DN)
4.2.1. Clinical and Neuropathological Features
4.2.2. Glycation End-Products
4.2.3. γ-Diketone-Derived Pyrroles
4.3. Uremic Neuropathy
4.4. Age-Associated Distal Axonopathy
5. Summary
Author Contributions
Funding
Institutional Review Board Statement
Informed Consent Statement
Data Availability Statement
Acknowledgments
Conflicts of Interest
References
- Herskowitz, A.; Ishii, N.; Schaumburg, H. N-hexane neuropathy. A syndrome occurring as a result of industrial exposure. N. Engl. J. Med. 1971, 285, 82–85. [Google Scholar] [CrossRef] [PubMed]
- Ishii, N.; Herskowitz, A.; Schaumburg, H.H. N-Hexane polyneuropathy: A clinical and experimental study. J. Neuropathol. Exp. Neurol. 1972, 31, 198. [Google Scholar]
- Mendell, J.R.; Saida, K.; Ganansia, M.F.; Jackson, D.B.; Weiss, H.; Gardier, R.W.; Chrisman, C.; Allen, N.; Couri, D.; O’Neill, J.; et al. Toxic polyneuropathy produced by methyl N-butyl ketone. Science 1974, 185, 787–789. [Google Scholar] [CrossRef] [PubMed]
- Allen, N.; Mendell, J.R.; Billmaier, D.J.; Fontaine, R.E.; O’Neill, J. Toxic polyneuropathy due to methyl n-butyl ketone. An industrial outbreak. Arch. Neurol. 1975, 32, 209–218. [Google Scholar] [CrossRef] [PubMed]
- Mallov, J.S. MBK neuropathy among spray painters. JAMA 1976, 235, 1455–1457. [Google Scholar] [CrossRef] [PubMed]
- Iida, M. Neurophysiological studies of n-hexane polyneuropathy in the sandal factory. Electroencephalogr. Clin. Neurophysiol. Suppl. 1982, 36, 671–681. [Google Scholar]
- Wang, J.D.; Chang, Y.C.; Kao, K.P.; Huang, C.C.; Lin, C.C.; Yeh, W.Y. An outbreak of N-hexane induced polyneuropathy among press proofing workers in Taipei. Am. J. Ind. Med. 1986, 10, 111–118. [Google Scholar] [CrossRef]
- Chang, C.M.; Yu, C.W.; Fong, K.Y.; Leung, S.Y.; Tsin, T.W.; Yu, Y.L.; Cheung, T.F.; Chan, S.Y. N-hexane neuropathy in offset printers. J. Neurol. Neurosurg. Psychiatry 1993, 56, 538–542. [Google Scholar] [CrossRef]
- Gluszcz-Zielinska, A. Occupational N-hexane neuropathy: Clinical and neurophysiological investigation. Med. Pr. 1999, 50, 31–36. [Google Scholar]
- Centers for Disease Control and Prevention. n-Hexane-related peripheral neuropathy among automotive technicians—California, 1999–2000. MMWR. Morb. Mortal. Wkly. Rep. 2001, 50, 1011–1013.
- Puri, V.; Chaudhry, N.; Tatke, M. N-hexane neuropathy in screen printers. Electromyogr. Clin. Neurophysiol. 2007, 47, 145–152. [Google Scholar]
- Huang, C.C. Polyneuropathy induced by n-hexane intoxication in Taiwan. Acta Neurol. Taiwan 2008, 17, 3–10. [Google Scholar]
- Misirli, H.; Domaç, F.M.; Somay, G.; Araal, O.; Ozer, B.; Adigüzel, T. N-hexane induced polyneuropathy: A clinical and electrophysiological follow up. Electromyogr. Clin. Neurophysiol. 2008, 48, 103–108. [Google Scholar]
- Kim, E.A.; Kang, S.K. Occupational neurological disorders in Korea. J. Korean Med. Sci. 2010, 25, S26–S35. [Google Scholar] [CrossRef]
- Pan, J.H.; Peng, C.Y.; Lo, C.T.; Dai, C.Y.; Wang, C.L.; Chuang, H.Y. n-Hexane intoxication in a Chinese medicine pharmaceutical plant: A case report. J. Med. Case Rep. 2017, 11, 120. [Google Scholar] [CrossRef]
- Neghab, M.; Soleimani, E.; Khamoushian, K. Electrophysiological studies of shoemakers exposed to sub-TLV levels of n-hexane. J. Occup. Health 2012, 54, 376–382. [Google Scholar] [CrossRef]
- Goto, I.; Matsumura, M.; Inoue, N.; Murai, Y.; Shida, K. Toxic polyneuropathy due to glue sniffing. J. Neurol. Neurosurg. Psychiatry 1974, 37, 848–853. [Google Scholar] [CrossRef][Green Version]
- Shirabe, T.; Tsuda, T.; Terao, A.; Araki, S. Toxic polyneuropathy due to glue-sniffing. Report of two cases with a light and electron-microscopic study of the peripheral nerves and muscles. J. Neurol. Sci. 1974, 21, 101–113. [Google Scholar] [CrossRef]
- Korobkin, R.; Asbury, A.K.; Sumner, A.J.; Nielsen, S.L. Glue-sniffing neuropathy. Arch. Neurol. 1975, 32, 158–162. [Google Scholar] [CrossRef]
- Towfighi, J.; Gonatas, N.K.; Pleasure, D.; Cooper, H.S.; McCree, L. Glue sniffer’s neuropathy. Neurology 1976, 26, 238–243. [Google Scholar] [CrossRef]
- Altenkirch, H.; Mager, J.; Stoltenburg, G.; Helmbrecht, J. Toxic polyneuropathies after sniffing a glue thinner. J. Neurol. 1977, 214, 137–152. [Google Scholar] [CrossRef] [PubMed]
- Tenenbein, M.; deGroot, W.; Rajani, K.R. Peripheral neuropathy following intentional inhalation of naphtha fumes. Can. Med. Assoc. J. 1984, 131, 1077–1079. [Google Scholar] [PubMed]
- Schaumburg, H.H.; Spencer, P.S. Degeneration in central and peripheral nervous systems produced by pure n-hexane: An experimental study. Brain 1976, 99, 183–192. [Google Scholar] [CrossRef] [PubMed]
- Spencer, P.S.; Schaumburg, H.H. Central-peripheral distal axonopathy—The pathology of dying-back polyneuropathies. In Progress in Neuropathology; Zimmerman, H.M., Ed.; Grune and Stratton: New York, NY, USA, 1976; Volume III, pp. 253–295. [Google Scholar]
- Griffin, J.W. Hexacarbon neurotoxicity. Neurobehav. Toxicol. Teratol. 1981, 3, 437–444. [Google Scholar]
- Spencer, P.S.; Schaumburg, H.H. Experimental neuropathy produced by 2,5-hexanedione—A major metabolite of the neurotoxic industrial solvent methyl n-butyl ketone. J. Neurol. Neurosurg. Psychiatry 1975, 38, 771–775. [Google Scholar] [CrossRef]
- Politis, M.J.; Pellegrino, R.G.; Spencer, P.S. Ultrastructural studies of the dying-back process. V. Axonal neurofilaments accumulate at sites of 2,5-hexanedione application: Evidence for nerve fibre dysfunction in experimental hexacarbon neuropathy. J. Neurocytol. 1980, 9, 505–516. [Google Scholar] [CrossRef]
- Spencer, P.S.; Schaumburg, H.H.; Sabri, M.I.; Veronesi, B. The enlarging view of hexacarbon neurotoxicity. Crit. Rev. Toxicol. 1980, 7, 279–356. [Google Scholar] [CrossRef]
- Spencer, P.S.; Schaumburg, H.H. Ultrastructural studies of the dying-back process. IV. Differential vulnerability of PNS and CNS fibers in experimental central-peripheral distal axonopathies. J. Neuropathol. Exp. Neurol. 1977, 36, 300–320. [Google Scholar] [CrossRef]
- Gagnaire, F.; Ensminger, A.; Marignac, B.; De Ceaurriz, J. Possible involvement of 1,2-diacetylbenzene in diethylbenzene-induced neuropathy in rats. J. Appl. Toxicol. 1991, 11, 261–268. [Google Scholar] [CrossRef]
- Gagnaire, F.; Marignac, B.; de Ceaurriz, J. Triethylbenzene-induced sensorimotor neuropathy in rats. J. Appl. Toxicol. 1993, 13, 123–128. [Google Scholar] [CrossRef]
- Tshala-Katumbay, D.D.; Palmer, V.S.; Lasarev, M.R.; Kayton, R.J.; Sabri, M.I.; Spencer, P.S. Monocyclic and dicyclic hydrocarbons: Structural requirements for proximal giant axonopathy. Acta Neuropathol. 2006, 112, 317–324. [Google Scholar] [CrossRef]
- Spencer, P.S. Neuroprotein targets of gamma-diketone metabolites of aliphatic and aromatic solvents that induce central-oeripheral axonopathy. Toxicol. Pathol. 2020, 48, 411–421. [Google Scholar] [CrossRef]
- Anthony, D.C.; Boekelheide, K.; Graham, D.G. The effect of 3,4-dimethyl substitution on the neurotoxicity of 2,5-hexanedione. I. Accelerated clinical neuropathy is accompanied by more proximal axonal swellings. Toxicol. Appl. Pharm. 1983, 71, 362–371. [Google Scholar] [CrossRef]
- Anthony, D.C.; Boekelheide, K.; Anderson, C.W.; Graham, D.G. The effect of 3,4-dimethyl substitution on the neurotoxicity of 2,5-hexanedione. II. Dimethyl substitution accelerates pyrrole formation and protein crosslinking. Toxicol. Appl. Pharm. 1983, 71, 372–382. [Google Scholar] [CrossRef]
- Kim, M.S.; Sabri, M.I.; Miller, V.H.; Kayton, R.J.; Dixon, D.A.; Spencer, P.S. 1,2-diacetylbenzene, the neurotoxic metabolite of a chromogenic aromatic solvent, induces proximal axonopathy. Toxicol. Appl. Pharm. 2001, 177, 121–131. [Google Scholar] [CrossRef]
- Zhan, C.-G.; Spencer, P.; Dixon, D.A. Computational insights into the chemical structures and mechanisms of the chromogenic and neurotoxic effects of aromatic γ-diketones. J. Phy. Chem. B 2003, 107, 2853–2861. [Google Scholar] [CrossRef]
- Trimpin, S.; Hsu, V.L.; Spencer, P.S.; Deinzer, M.L. Time-dependent 2,5-hexanedione adduction of lysine residues to isoindolium cation. 2021; Unpublished work. [Google Scholar]
- Spencer, P.S.; Kim, M.S.; Sabri, M.I. Aromatic as well as aliphatic hydrocarbon solvent axonopathy. Int J. Hyg. Environ. Health 2002, 205, 131–136. [Google Scholar] [CrossRef]
- DeCaprio, A.P. n-Hexane neurotoxicity: A mechanism involving pyrrole adduct formation in axonal cytoskeletal protein. Neurotoxicology 1987, 8, 199–210. [Google Scholar]
- DeCaprio, A.P.; Briggs, R.G.; Jackowski, S.J.; Kim, J.C. Comparative neurotoxicity and pyrrole-forming potential of 2,5-hexanedione and perdeuterio-2,5-hexanedione in the rat. Toxicol. Appl. Pharm. 1988, 92, 75–85. [Google Scholar] [CrossRef]
- Genter, M.B.; Szakal-Quin, G.; Anderson, C.W.; Anthony, D.C.; Graham, D.G. Evidence that pyrrole formation is a pathogenetic step in gamma-diketone neuropathy. Toxicol. Appl. Pharm. 1987, 87, 351–362. [Google Scholar] [CrossRef]
- Ichihara, G.; Amarnath, V.; Valentine, H.L.; Takeshita, T.; Morimoto, K.; Sobue, T.; Kawai, T.; Valentine, W.M. Pyrrole adducts in globin and plasma of workers exposed to hexane. Int. Arch. Occup. Environ. Health 2019, 92, 873–881. [Google Scholar] [CrossRef]
- Anthony, D.C.; Giangaspero, F.; Graham, D.G. The spatio-temporal pattern of the axonopathy associated with the neurotoxicity of 3,4-dimethyl-2,5-hexanedione in the rat. J. Neuropathol. Exp. Neurol. 1983, 42, 548–560. [Google Scholar] [CrossRef]
- Sanz, P.; Flores, I.C.; Soriano, T.; Repetto, G.; Repetto, M. In Vitro quantitative structure-activity relationship assessment of pyrrole adducts production by gamma-diketone-forming neurotoxic solvents. Toxicol. In Vitro 1995, 9, 783–787. [Google Scholar] [CrossRef]
- Kim, M.S.; Hashemi, S.B.; Spencer, P.S.; Sabri, M.I. Amino acid and protein targets of 1,2-diacetylbenzene, a potent aromatic gamma-diketone that induces proximal neurofilamentous axonopathy. Toxicol. Appl. Pharm. 2002, 183, 55–65. [Google Scholar] [CrossRef]
- Spencer, P.S.; Bischoff, M.C.; Schaumburg, H.H. On the specific molecular configuration of neurotoxic aliphatic hexacarbon compounds causing central—Peripheral distal axonopathy. Toxicol. Appl. Pharm. 1978, 44, 17–28. [Google Scholar] [CrossRef]
- Sabri, M.I.; Hashemi, S.B.; Lasarev, M.R.; Spencer, P.S. Axonopathy-inducing 1,2-diacetylbenzene forms adducts with motor and cytoskeletal proteins required for axonal transport. Neurochem. Res. 2007, 32, 2152–2159. [Google Scholar] [CrossRef]
- Tshala-Katumbay, D.; Monterroso, V.; Kayton, R.; Lasarev, M.; Sabri, M.; Spencer, P. Probing mechanisms of axonopathy. Part I: Protein targets of 1,2-diacetylbenzene, the neurotoxic metabolite of aromatic solvent 1,2-diethylbenzene. Toxicol. Sci. 2008, 105, 134–141. [Google Scholar] [CrossRef]
- Tshala-Katumbay, D.; Monterroso, V.; Kayton, R.; Lasarev, M.; Sabri, M.; Spencer, P. Probing mechanisms of axonopathy. Part II: Protein targets of 2,5-hexanedione, the neurotoxic metabolite of the aliphatic solvent n-hexane. Toxicol. Sci. 2009, 107, 482–489. [Google Scholar] [CrossRef]
- Sabri, M.I.; Hashemi, S.B.; Chohan, S.; Cranson, A.B.; Tshala-Katumbay, D.D.; Palmer, V.S.; Pounds, J.G.; Spencer, P.S. γ-Diketone toxicity: A role for stathmin in nerve and testes damage? In Proceedings of the Pacific Northwest Association of Toxicologists, 21st Annual Meeting, Bend, OR, USA, 17–19 September 2004. [Google Scholar]
- Liedtke, W.; Leman, E.E.; Fyffe, R.E.; Raine, C.S.; Schubart, U.K. Stathmin-deficient mice develop an age-dependent axonopathy of the central and peripheral nervous systems. Am. J. Pathol. 2002, 160, 469–480. [Google Scholar] [CrossRef]
- Spencer, P.S.; Sterman, A.B.; Horoupian, D.S.; Foulds, M.M. Neurotoxic fragrance produces ceroid and myelin disease. Science 1979, 204, 633–635. [Google Scholar] [CrossRef] [PubMed]
- Bis-Brewer, D.M.; Danzi, M.C.; Wuchty, S.; Zuchner, S. A network biology approach to unraveling inherited axonopathies. Sci. Rep. 2019, 9, 1692. [Google Scholar] [CrossRef] [PubMed]
- Mu, A.; Fung, T.S.; Kettenbach, A.N.; Chakrabarti, R.; Higgs, H.N. A complex containing lysine-acetylated actin inhibits the formin INF2. Nat. Cell Biol. 2019, 21, 592–602. [Google Scholar] [CrossRef]
- Kornienko, A.; La Clair, J.J. Covalent modification of biological targets with natural products through Paal-Knorr pyrrole formation. Nat. Prod. Rep. 2017, 34, 1051–1060. [Google Scholar] [CrossRef]
- DeCaprio, A.P.; Olajos, E.J.; Weber, P. Covalent binding of a neurotoxic n-hexane metabolite: Conversion of primary amines to substituted pyrrole adducts by 2,5-hexanedione. Toxicol. Appl. Pharm. 1982, 65, 440–450. [Google Scholar] [CrossRef]
- Graham, D.G.; Szakal-Quin, G.; Priest, J.W.; Anthony, D.C. In Vitro evidence that covalent crosslinking of neurofilaments occurs in gamma-diketone neuropathy. Proc. Natl. Acad. Sci. USA 1984, 81, 4979–4982. [Google Scholar] [CrossRef]
- DeCaprio, A.P. Mechanisms of in vitro pyrrole adduct autoxidation in 2,5-hexanedione-treated protein. Mol. Pharm. 1986, 30, 452–458. [Google Scholar]
- Kim, M.S.; Kim, M.K.; Kim, K.S.; Chung, J.H.; Kim, S.J.; Kim, J.H.; Kim, J.R.; Lee, J.; Yu, B.P.; Chung, H.Y. Cytotoxicity of 1,2-diacetylbenzene in human neuroblastoma SHSY5Y cells is mediated by oxidative stress. Toxicology 2008, 243, 216–223. [Google Scholar] [CrossRef]
- Rosenberg, C.K.; Anthony, D.C.; Szakal-Quin, G.; Genter, M.B.; Graham, D.G. Hyperbaric oxygen accelerates the neurotoxicity of 2,5-hexanedione. Toxicol. Appl. Pharm. 1987, 87, 374–379. [Google Scholar] [CrossRef]
- Boekelheide, K.; Fleming, S.L.; Allio, T.; Embree-Ku, M.E.; Hall, S.J.; Johnson, K.J.; Kwon, E.J.; Patel, S.R.; Rasoulpour, R.J.; Schoenfeld, H.A.; et al. 2,5-hexanedione-induced testicular injury. Annu. Rev. Pharm. Toxicol. 2003, 43, 125–147. [Google Scholar] [CrossRef]
- Li, X.; Wang, Q.; Li, M.; Wang, S.; Zhang, C.; Xie, K. Hair pyrrole adducts serve as biomarkers for peripheral nerve impairment induced by 2,5-hexanedione and n-hexane in rats. PLoS ONE 2018, 13, e0209939. [Google Scholar] [CrossRef]
- Yin, H.; Zhang, C.; Guo, Y.; Shao, X.; Zeng, T.; Zhao, X.; Xie, K. Biological exposure indices of pyrrole adducts in serum and urine for hazard assessment of n-hexane exposure. PLoS ONE 2014, 9, e86108. [Google Scholar] [CrossRef]
- Yin, H.; Guo, Y.; Zeng, T.; Zhao, X.; Xie, K. Correlation between levels of 2, 5-hexanedione and pyrrole adducts in tissues of rats exposure to n-hexane for 5-days. PLoS ONE 2013, 8, e76011. [Google Scholar] [CrossRef]
- Hall, E.S.; Hall, S.J.; Boekelheide, K. 2,5-Hexanedione exposure alters microtubule motor distribution in adult rat testis. Fundam. Appl. Toxicol. 1995, 24, 173–182. [Google Scholar] [CrossRef]
- Zagoren, J.C.; Politis, M.J.; Spencer, P.S. Rapid reorganization of the axonal cytoskeleton induced by a gamma diketone. Brain Res. 1983, 270, 162–164. [Google Scholar] [CrossRef]
- Subramanian, R.; Wilson-Kubalek, E.M.; Arthur, C.P.; Bick, M.J.; Campbell, E.A.; Darst, S.A.; Milligan, R.A.; Kapoor, T.M. Insights into antiparallel microtubule crosslinking by PRC1, a conserved nonmotor microtubule binding protein. Cell 2010, 142, 433–443. [Google Scholar] [CrossRef]
- Kellogg, E.H.; Howes, S.; Ti, S.C.; Ramirez-Aportela, E.; Kapoor, T.M.; Chacon, P.; Nogales, E. Near-atomic cryo-EM structure of PRC1 bound to the microtubule. Proc. Natl. Acad. Sci. USA 2016, 113, 9430–9439. [Google Scholar] [CrossRef]
- Spencer, P.S.; Schaumburg, H.H. Ultrastructural studies of the dying-back process. III. The evolution of experimental peripheral giant axonal degeneration. J. Neuropathol. Exp. Neurol. 1977, 36, 276–299. [Google Scholar] [CrossRef]
- Tshala-Katumbay, D.D.; Palmer, V.S.; Kayton, R.J.; Sabri, M.I.; Spencer, P.S. A new murine model of giant proximal axonopathy. Acta Neuropathol. 2005, 109, 405–410. [Google Scholar] [CrossRef]
- Xue, C.; Shtylla, B.; Brown, A. A stochastic multiscale model that explains the segregation of axonal microtubules and neurofilaments in neurological diseases. PLoS Comput. Biol. 2015, 11, e1004406. [Google Scholar] [CrossRef]
- Hammond-Tooke, G.D. Slow axonal transport is impaired by intrathecal 2,5-hexanedione. Exp. Neurol. 1992, 116, 210–217. [Google Scholar] [CrossRef]
- Griffin, J.W.; Anthony, D.C.; Fahnestock, K.E.; Hoffman, P.N.; Graham, D.G. 3,4-Dimethyl-2,5-hexanedione impairs the axonal transport of neurofilament proteins. J. Neurosci. 1984, 4, 1516–1526. [Google Scholar] [CrossRef]
- Braendgaard, H.; Sidenius, P. Anterograde components of axonal transport in motor and sensory nerves in experimental 2,5-hexanedione neuropathy. J. Neurochem. 1986, 47, 31–37. [Google Scholar] [CrossRef]
- Sabri, M.I. Effect of 2,5-hexanedione and 3,4-dimethyl-2,5-hexanedione on retrograde axonal transport in sciatic nerve. Neurochem. Res. 1992, 17, 835–839. [Google Scholar] [CrossRef]
- Braendgaard, H.; Sidenius, P. The retrograde fast component of axonal transport in motor and sensory nerves of the rat during administration of 2,5-hexanedione. Brain Res. 1986, 378, 1–7. [Google Scholar] [CrossRef]
- Stone, J.D.; Peterson, A.P.; Eyer, J.; Oblak, T.G.; Sickles, D.W. Axonal neurofilaments are nonessential elements of toxicant-induced reductions in fast axonal transport: Video-enhanced differential interference microscopy in peripheral nervous system axons. Toxicol. Appl. Pharm. 1999, 161, 50–58. [Google Scholar] [CrossRef]
- Stone, J.D.; Peterson, A.P.; Eyer, J.; Oblak, T.G.; Sickles, D.W. Neurofilaments are nonessential to the pathogenesis of toxicant-induced axonal degeneration. J. Neurosci. 2001, 21, 2278–2287. [Google Scholar] [CrossRef]
- Zhang, L.; Gavin, T.; DeCaprio, A.P.; LoPachin, R.M. Gamma-diketone axonopathy: Analyses of cytoskeletal motors and highways in CNS myelinated axons. Toxicol. Sci. 2010, 117, 180–189. [Google Scholar] [CrossRef][Green Version]
- Schaumburg, H.H.; Spencer, P.S. Environmental hydrocarbons produce degeneration in cat hypothalamus and optic tract. Science 1978, 199, 199–200. [Google Scholar] [CrossRef]
- Chang, Y.C. Neurotoxic effects of n-hexane on the human central nervous system: Evoked potential abnormalities in n-hexane polyneuropathy. J. Neurol. Neurosurg. Psychiatry 1987, 50, 269–274. [Google Scholar] [CrossRef]
- Thomas, P.K.; Bradley, D.J.; Bradley, W.A.; Degen, P.H.; Krinke, G.; Muddle, J.; Schaumburg, H.H.; Skelton-Stroud, P.N.; Thomann, P.; Tzebelikos, E. Correlated nerve conduction, somatosensory evoked potential and neuropathological studies in clioquinol and 2,5-hexanedione neurotoxicity in the baboon. J. Neurol. Sci. 1984, 64, 277–295. [Google Scholar] [CrossRef]
- Chang, Y.C. An electrophysiological follow up of patients with n-hexane polyneuropathy. Br. J. Ind. Med. 1991, 48, 12–17. [Google Scholar] [CrossRef] [PubMed][Green Version]
- Zlatkis, A.; Poole, C.F.; Brazeli, R.; Bafus, D.A.; Spencer, P.S. Volatile metabolites in sera of normal and diabetic patients. J. Chromatogr. 1980, 182, 137–145. [Google Scholar] [CrossRef]
- Bouatra, S.; Aziat, F.; Mandal, R.; Guo, A.C.; Wilson, M.R.; Knox, C.; Bjorndahl, T.C.; Krishnamurthy, R.; Saleem, F.; Liu, P.; et al. The human urine metabolome. PLoS ONE 2013, 8, e73076. [Google Scholar] [CrossRef]
- Perbellini, L.; Pezzoli, G.; Brugnone, F.; Canesi, M. Biochemical and physiological aspects of 2,5-hexanedione: Endogenous or exogenous product? Int. Arch. Occup. Environ. Health 1993, 65, 49–52. [Google Scholar] [CrossRef]
- Salamon, F.; Martinelli, A.; Trevisan, A.; Scapellato, M.L.; Bartolucci, G.B.; Carrieri, M. Urinary Levels of free 2,5-hexanedione in Italian subjects non-occupationally exposed to n-hexane. App. Sci. 2019, 9, 5277. [Google Scholar] [CrossRef]
- Prieto, M.J.; Marhuenda, D.; Roel, J.; Cardona, A. Free and total 2,5-hexanedione in biological monitoring of workers exposed to n-hexane in the shoe industry. Toxicol. Lett. 2003, 145, 249–260. [Google Scholar] [CrossRef]
- Fedtke, N.; Bolt, H.M. Detection of 2,5-hexanedione in the urine of persons not exposed to n-hexane. Int. Arch. Occup. Environ. Health 1986, 57, 143–148. [Google Scholar] [CrossRef]
- Perbellini, L.; Tagliaro, F.; Maschio, S.; Zedde, A.; Brugnone, F. Gas chromatographic determination of 2,5-hexanedione in the urine. Med. Lav. 1986, 77, 628–634. [Google Scholar]
- Kawai, T.; Yasugi, T.; Mizunuma, K.; Horiguchi, S.; Uchida, Y.; Iwami, O.; Iguchi, H.; Ikeda, M. Dose-dependent increase in 2,5-hexanedione in the urine of workers exposed to n-hexane. Int. Arch. Occup. Environ. Health 1991, 63, 285–291. [Google Scholar] [CrossRef]
- Kawai, T.; Mizunuma, K.; Yasugi, T.; Uchida, Y.; Ikeda, M. The method of choice for the determination of 2,5-hexanedione as an indicator of occupational exposure to n-hexane. Int. Arch. Occup. Environ. Health 1990, 62, 403–408. [Google Scholar] [CrossRef]
- Sakai, T.; Araki, T.; Ushio, K.; Takeuchi, Y.; Ikeya, Y. Effect of hydrolysis conditions on the determination of urinary 2,5-hexanedione in workers exposed or not exposed to N-hexane. Sangyo Igaku 1992, 34, 440–447. [Google Scholar] [CrossRef][Green Version]
- Bavazzano, P.; Li Donni, V.; Baldasseroni, A. Quality control in a system for the biological surveillance of exposure to n-hexane. Med. Lav. 1993, 84, 115–120. [Google Scholar]
- Maestri, L.; Ghittori, S.; Imbriani, M.; Capodaglio, E. Determination of 2,5-hexandione by high-performance liquid chromatography after derivatization with dansylhydrazine. J. Chromatogr. B Biomed. Appl. 1994, 657, 111–117. [Google Scholar] [CrossRef]
- Bavazzano, P.; Apostoli, P.; Balducci, C.; Bartolucci, G.B.; Buratti, M.; Duca, P.; Gori, G.; Li Donni, V.; Perbellini, L.; Perico, A.; et al. Determination of urinary 2,5-hexanedione in the general Italian population. Int. Arch. Occup. Environ. Health 1998, 71, 284–288. [Google Scholar] [CrossRef]
- Persson, B.; Vrethem, M.; Murgia, N.; Lindh, J.; Hallsten, A.L.; Fredrikson, M.; Tondel, M. Urinary 2,5-hexanedione excretion in cryptogenic polyneuropathy compared to the general Swedish population. J. Occup. Med. Toxicol. 2013, 8, 21. [Google Scholar] [CrossRef]
- Pan, X.; Qian, Y.; Zhao, W.; Tang, H.; Ruan, Z.; Wu, B.; Huang, H.; Zheng, Y.; Yan, H. Determination of total urinary 2,5-hexanedione in the Chinese general population. Environ. Res. 2016, 150, 645–650. [Google Scholar] [CrossRef]
- Torres, M.E. Characterization of Alternative Biomarkers to Control n-Hexane Exposure and Prevent 2,5-Hexanodione Toxicity; University of Lisbon: Lisbon, Portugal, 2014. [Google Scholar]
- Wang, H.; Wang, Y.; Zhou, Z.; Wang, S.; Yin, H.; Xie, K. Determination of normal reference value of pyrrole adducts in urine in young people in a university in Shandong, China. Zhonghua Lao Dong Wei Sheng Zhi Ye Bing Za Zhi 2015, 33, 435–437. [Google Scholar]
- Chen, X.; Liu, W.; Wang, L.; Lin, D.; Nie, L.; He, K.; Guo, Z.; Zhu, F.; Feng, W.; Liu, W.; et al. Diabetes mellitus is associated with elevated urinary pyrrole markers of gamma-diketones known to cause axonal neuropathy. BMJ Open Diabetes Res. Care 2020, 8. [Google Scholar] [CrossRef]
- Dos Santos, C.R.; Meyer Passarelli, M.M.; de Souza Nascimento, E. Evaluation of 2,5-hexanedione in urine of workers exposed to n-hexane in Brazilian shoe factories. J. Chromatogr. B Anal. Technol. Biomed. Life Sci. 2002, 778, 237–244. [Google Scholar] [CrossRef]
- Sagai, M.; Ichinose, T. Age-related changes in lipid peroxidation as measured by ethane, ethylene, butane and pentane in respired gases of rats. Life Sci. 1980, 27, 731–738. [Google Scholar] [CrossRef]
- Kivits, G.A.; Ganguli-Swarttouw, M.A.; Christ, E.J. The composition of alkanes in exhaled air of rats as a result of lipid peroxidation in vivo. Effects of dietary fatty acids, vitamin E and selenium. Biochim. Biophys. Acta 1981, 665, 559–570. [Google Scholar] [CrossRef]
- Gelmont, D.; Stein, R.A.; Mead, J.F. Isoprene-the main hydrocarbon in human breath. Biochem. Biophys. Res. Commun. 1981, 99, 1456–1460. [Google Scholar] [CrossRef]
- Sinnreich, M.; Taylor, B.V.; Dyck, P.J. Diabetic neuropathies. Classification, clinical features, and pathophysiological basis. Neurologist 2005, 11, 63–79. [Google Scholar] [CrossRef]
- Feldman, E.L.; Callaghan, B.C.; Pop-Busui, R.; Zochodne, D.W.; Wright, D.E.; Bennett, D.L.; Bril, V.; Russell, J.W.; Viswanathan, V. Diabetic neuropathy. Nat. Rev. Dis. Primers 2019, 5, 41. [Google Scholar] [CrossRef]
- Karvestedt, L.; Martensson, E.; Grill, V.; Elofsson, S.; von Wendt, G.; Hamsten, A.; Brismar, K. The prevalence of peripheral neuropathy in a population-based study of patients with type 2 diabetes in Sweden. J. Diabetes Complicat. 2011, 25, 97–106. [Google Scholar] [CrossRef]
- Simo, N.; Kuate-Tegueu, C.; Ngankou-Tchankeu, S.; Doumbe, J.; Maiga, Y.; Cesari, M.; Dartigues, J.F.; Kengne, A.P.; Tabue-Teguo, M. Correlates of diabetic polyneuropathy of the elderly in Sub-Saharan Africa. PLoS ONE 2020, 15, e0240602. [Google Scholar] [CrossRef]
- Lu, B.; Yang, Z.; Wang, M.; Yang, Z.; Gong, W.; Yang, Y.; Wen, J.; Zhang, Z.; Zhao, N.; Zhu, X.; et al. High prevalence of diabetic neuropathy in population-based patients diagnosed with type 2 diabetes in the Shanghai downtown. Diabetes Res. Clin. Pract. 2010, 88, 289–294. [Google Scholar] [CrossRef]
- Hilz, M.J.; Marthol, H.; Neundorfer, B. Diabetic somatic polyneuropathy. Pathogenesis, clinical manifestations and therapeutic concepts. Neurol. Psychiatr. 2000, 68, 278–288. [Google Scholar] [CrossRef]
- Veves, A.; Sarnow, M.R. Diagnosis, classification, and treatment of diabetic peripheral neuropathy. Clin. Podiatr. Med. Surg. 1995, 12, 19–30. [Google Scholar]
- Van der Naalt, J.; Fidler, V.; Oosterhuis, H.J. Vibration perception threshold, complaints and sensory examination in diabetic patients. Acta Neurol. Scand. 1991, 83, 297–300. [Google Scholar] [CrossRef] [PubMed]
- van Deursen, R.W.; Sanchez, M.M.; Derr, J.A.; Becker, M.B.; Ulbrecht, J.S.; Cavanagh, P.R. Vibration perception threshold testing in patients with diabetic neuropathy: Ceiling effects and reliability. Diabet Med. 2001, 18, 469–475. [Google Scholar] [CrossRef] [PubMed]
- Shen, J.; Zeng, H.; Li, L.; Bao, Y.; Liu, F. The value of vibration perception threshold (VPT) in the diagnosis of diabetic peripheral neuropathy (DPN). Fudan Univ. J. Med. Sci. 2013, 40, 31–37. [Google Scholar] [CrossRef]
- Medakkel, A.A.; Sheela, P. Vibration perception threshold values and clinical symptoms of diabetic peripheral neuropathy. J. Clin. Diagn. Res. 2018, 12, LC20–LC23. [Google Scholar] [CrossRef]
- George, A. Vibration Perception Threshold Measurements (VPT) in the Diagnosis of Diabetic Neuropathy. Ph.D. Thesis, Rajiv Gandhi University of Health Sciences, Bangalore, India, 2013. [Google Scholar]
- Suzuki, C.; Ozaki, I.; Tanosaki, M.; Suda, T.; Baba, M.; Matsunaga, M. Peripheral and central conduction abnormalities in diabetes mellitus. Neurology 2000, 54, 1932–1937. [Google Scholar] [CrossRef] [PubMed]
- Roman-Pintos, L.M.; Villegas-Rivera, G.; Rodriguez-Carrizalez, A.D.; Miranda-Diaz, A.G.; Cardona-Munoz, E.G. Diabetic Polyneuropathy in type 2 diabetes mellitus: Inflammation, oxidative stress, and mitochondrial function. J. Diabetes Res. 2016, 2016, 3425617. [Google Scholar] [CrossRef] [PubMed]
- Greene, D.A.; Lattimer-Greene, S.; Sima, A.A. Pathogenesis of diabetic neuropathy: Role of altered phosphoinositide metabolism. Crit. Rev. Neurobiol. 1989, 5, 143–219. [Google Scholar] [PubMed]
- Brownlee, M.; Cerami, A.; Vlassara, H. Advanced glycosylation end products in tissue and the biochemical basis of diabetic complications. N. Engl. J. Med. 1988, 318, 1315–1321. [Google Scholar] [CrossRef]
- Hayase, F.; Nagaraj, R.H.; Miyata, S.; Njoroge, F.G.; Monnier, V.M. Aging of proteins: Immunological detection of a glucose-derived pyrrole formed during maillard reaction in vivo. J. Biol. Chem. 1989, 264, 3758–3764. [Google Scholar] [CrossRef]
- Miyata, S.; Monnier, V. Immunohistochemical detection of advanced glycosylation end products in diabetic tissues using monoclonal antibody to pyrraline. J. Clin. Investig. 1992, 89, 1102–1112. [Google Scholar] [CrossRef]
- Portero-Otin, M.; Nagaraj, R.H.; Monnier, V.M. Chromatographic evidence for pyrraline formation during protein glycation in vitro and in vivo. Biochim. Biophys. Acta 1995, 1247, 74–80. [Google Scholar] [CrossRef]
- Bourajjaj, M.; Stehouwer, C.D.; van Hinsbergh, V.W.; Schalkwijk, C.G. Role of methylglyoxal adducts in the development of vascular complications in diabetes mellitus. Biochem. Soc. Trans. 2003, 31, 1400–1402. [Google Scholar] [CrossRef]
- Maessen, D.E.; Stehouwer, C.D.; Schalkwijk, C.G. The role of methylglyoxal and the glyoxalase system in diabetes and other age-related diseases. Clin. Sci. 2015, 128, 839–861. [Google Scholar] [CrossRef]
- Schalkwijk, C.G.; Stehouwer, C.D.A. Methylglyoxal, a highly reactive dicarbonyl compound, in diabetes, its vascular complications, and other age-related diseases. Physiol. Rev. 2020, 100, 407–461. [Google Scholar] [CrossRef]
- Lo, T.W.; Westwood, M.E.; McLellan, A.C.; Selwood, T.; Thornalley, P.J. Binding and modification of proteins by methylglyoxal under physiological conditions. A kinetic and mechanistic study with N alpha-acetylarginine, N alpha-acetylcysteine, and N alpha-acetyllysine, and bovine serum albumin. J. Biol. Chem. 1994, 269, 32299–32305. [Google Scholar] [CrossRef]
- Degenhardt, T.P.; Thorpe, S.R.; Baynes, J.W. Chemical modification of proteins by methylglyoxal. Cell. Mol. Biol. 1998, 44, 1139–1145. [Google Scholar]
- Frye, E.B.; Degenhardt, T.P.; Thorpe, S.R.; Baynes, J.W. Role of the Maillard reaction in aging of tissue proteins. Advanced glycation end product-dependent increase in imidazolium cross-links in human lens proteins. J. Biol. Chem. 1998, 273, 18714–18719. [Google Scholar] [CrossRef]
- Andersen, S.T.; Witte, D.R.; Dalsgaard, E.M.; Andersen, H.; Nawroth, P.; Fleming, T.; Jensen, T.M.; Finnerup, N.B.; Jensen, T.S.; Lauritzen, T.; et al. Risk factors for incident diabetic polyneuropathy in a cohort with screen-detected type 2 diabetes followed for 13 years: ADDITION-Denmark. Diabetes Care 2018, 41, 1068–1075. [Google Scholar] [CrossRef]
- Vlassara, H.; Brownlee, M.; Cerami, A. Nonenzymatic glycosylation of peripheral nerve protein in diabetes mellitus. Proc. Natl. Acad. Sci. USA 1981, 78, 5190–5192. [Google Scholar] [CrossRef]
- Williams, S.K.; Howarth, N.L.; Devenny, J.J.; Bitensky, M.W. Structural and functional consequences of increased tubulin glycosylation in diabetes mellitus. Proc. Natl. Acad. Sci. USA 1982, 79, 6546–6550. [Google Scholar] [CrossRef]
- Altenkirch, H.; Stoltenburg, G.; Wagner, H.M. Experimental studies on hydrocarbon neuropathies induced by methyl-ethyl-ketone (MEK). J. Neurol. 1978, 219, 159–170. [Google Scholar] [CrossRef]
- Veronesi, B.; Lington, A.W.; Spencer, P.S. A tissue culture model of methyl ethyl ketone’s potentiation of n-hexane neurotoxicity. Neurotoxicology 1984, 5, 43–52. [Google Scholar]
- Yu, R.C.; Hattis, D.; Landaw, E.M.; Froines, J.R. Toxicokinetic interaction of 2,5-hexanedione and methyl ethyl ketone. Arch. Toxicol. 2002, 75, 643–652. [Google Scholar] [CrossRef]
- Walker, V.; Mills, G.A. Urine 4-heptanone: A beta-oxidation product of 2-ethylhexanoic acid from plasticisers. Clin. Chim. Acta 2001, 306, 51–61. [Google Scholar] [CrossRef]
- Liebich, H.M.; Woll, J. Volatile substances in blood serum: Profile analysis and quantitative determination. J. Chromatogr. 1977, 142, 505–516. [Google Scholar] [CrossRef]
- Liebich, H.M. Gas chromatographic—Mass spectrometric determination of total 4-heptanone, a new marker in diabetes mellitus. J. Chromatogr. 1983, 273, 67–75. [Google Scholar] [CrossRef]
- Lyons, T.J.; Jenkins, A.J. Glycation, oxidation, and lipoxidation in the development of the complications of diabetes: A carbonyl stress hypothesis. Diabetes Rev. 1997, 5, 365–391. [Google Scholar]
- Singh, V.P.; Bali, A.; Singh, N.; Jaggi, A.S. Advanced glycation end products and diabetic complications. Korean J. Physiol. Pharm. 2014, 18, 1–14. [Google Scholar] [CrossRef]
- Wells-Knecht, K.J.; Brinkmann, E.; Wells-Knecht, M.C.; Litchfield, J.E.; Ahmed, M.U.; Reddy, S.; Zyzak, D.V.; Thorpe, S.R.; Baynes, J.W. New biomarkers of Maillard reaction damage to proteins. Nephrol. Dial. Transplant. 1996, 11 (Suppl. 5), 41–47. [Google Scholar] [CrossRef]
- Nishizawa, Y.; Wada, R.; Baba, M.; Takeuchi, M.; Hanyu-Itabashi, C.; Yagihashi, S. Neuropathy induced by exogenously administered advanced glycation end-products in rats. J. Diabetes Investig. 2010, 1, 40–49. [Google Scholar] [CrossRef] [PubMed]
- Krishnan, A.V.; Kiernan, M.C. Uremic neuropathy: Clinical features and new pathophysiological insights. Muscle Nerve 2007, 35, 273–290. [Google Scholar] [CrossRef] [PubMed]
- Anand, U.; Korchev, Y.; Anand, P. The role of urea in neuronal degeneration and sensitization: An in vitro model of uremic neuropathy. Mol. Pain 2019, 15, 1744806919881038. [Google Scholar] [CrossRef] [PubMed]
- Miyata, T.; van Ypersele de Strihou, C.; Kurokawa, K.; Baynes, J.W. Alterations in nonenzymatic biochemistry in uremia: Origin and significance of “carbonyl stress” in long-term uremic complications. Kidney Int. 1999, 55, 389–399. [Google Scholar] [CrossRef]
- Asahi, K.; Ichimori, K.; Nakazawa, H.; Izuhara, Y.; Inagi, R.; Watanabe, T.; Miyata, T.; Kurokawa, K. Nitric oxide inhibits the formation of advanced glycation end products. Kidney Int. 2000, 58, 1780–1787. [Google Scholar] [CrossRef]
- Pagonas, N.; Vautz, W.; Seifert, L.; Slodzinski, R.; Jankowski, J.; Zidek, W.; Westhoff, T.H. Volatile organic compounds in uremia. PLoS ONE 2012, 7, e46258. [Google Scholar] [CrossRef]
- Mochalski, P.; King, J.; Haas, M.; Unterkofler, K.; Amann, A.; Mayer, G. Blood and breath profiles of volatile organic compounds in patients with end-stage renal disease. BMC Nephrol. 2014, 15, 43. [Google Scholar] [CrossRef]
- Spencer, P.S.; Ochoa, J. The mammalian peripheral nervous system in old age. In Aging and Cell Structure; Johnson, J.E., Ed.; Plenum: New York, NY, USA, 1981; Volume I, pp. 35–103. [Google Scholar]
- Schaumburg, H.H.; Spencer, P.S.; Ochoa, J. The aging peripheral nervous system. In The Neurology of Aging; Katzman, R., Terry, R., Eds.; Davis: Philadelphia, PA, USA, 1983; pp. 111–122. [Google Scholar]
- Lin, Y.H.; Hsieh, S.C.; Chao, C.C.; Chang, Y.C.; Hsieh, S.T. Influence of aging on thermal and vibratory thresholds of quantitative sensory testing. J. Peripher. Nerv. Syst. 2005, 10, 269–281. [Google Scholar] [CrossRef]
- Steiness, I. Vibratory perception in normal subjects; a biothesiometric study. Acta Med. Scand. 1957, 158, 315–325. [Google Scholar] [CrossRef]
- Rosenberg, G. Effect of age on peripheral vibratory perception. J. Am. Geriatr. Soc. 1958, 6, 471–481. [Google Scholar] [CrossRef]
- Perret, E.; Regli, F. Age and the perceptual threshold for vibratory stimuli. Eur. Neurol. 1970, 4, 65–76. [Google Scholar] [CrossRef]
- Verrillo, R.T. Age related changes in the sensitivity to vibration. J. Gerontol. 1980, 35, 185–193. [Google Scholar] [CrossRef] [PubMed]
- Meh, D.; Denislic, M. Influence of age, temperature, sex, height and diazepam on vibration perception. J. Neurol. Sci. 1995, 134, 136–142. [Google Scholar] [CrossRef]
- Deshpande, N.; Metter, E.J.; Ling, S.; Conwit, R.; Ferrucci, L. Physiological correlates of age-related decline in vibrotactile sensitivity. Neurobiol. Aging 2008, 29, 765–773. [Google Scholar] [CrossRef]
- Nolte, S.; van Londen, M.; Elting, J.W.J.; de Greef, B.T.A.; Kuks, J.B.M.; Faber, C.G.; Nolte, I.M.; Groen, R.J.M.; Bakker, S.J.L.; Groothof, D.; et al. Vibration threshold in non-diabetic subjects. PLoS ONE 2020, 15, e0237733. [Google Scholar] [CrossRef]
- Van Steenis, G.; Kroes, R. Changes in the nervous system and musculature of old rats. Vet. Pathol. 1971, 8, 320–332. [Google Scholar] [CrossRef] [PubMed]
- Nagaraj, R.H.; Portero-Otin, M.; Monnier, V.M. Pyrraline ether crosslinks as a basis for protein crosslinking by the advanced Maillard reaction in aging and diabetes. Arch. Biochem. Biophys. 1996, 325, 152–158. [Google Scholar] [CrossRef]
- Schleicher, E.D.; Wagner, E.; Nerlich, A.G. Increased accumulation of the glycoxidation product N(epsilon)-(carboxymethyl)lysine in human tissues in diabetes and aging. J. Clin. Investig. 1997, 99, 457–468. [Google Scholar] [CrossRef]
- Chellan, P.; Nagaraj, R.H. Protein crosslinking by the Maillard reaction: Dicarbonyl-derived imidazolium crosslinks in aging and diabetes. Arch. Biochem. Biophys. 1999, 368, 98–104. [Google Scholar] [CrossRef]
- Gkogkolou, P.; Bohm, M. Advanced glycation end products: Key players in skin aging? Dermato Endocrinol. 2012, 4, 259–270. [Google Scholar] [CrossRef]
- Smith, P.R.; Somani, H.H.; Thornalley, P.J.; Benn, J.; Sonksen, P.H. Evidence against the formation of 2-amino-6-(2-formyl-5-hydroxymethyl-pyrrol-1-yl)-hexanoic acid (‘pyrraline’) as an early-stage product or advanced glycation end product in non-enzymic protein glycation. Clin. Sci. 1993, 84, 87–93. [Google Scholar] [CrossRef]
- Luo, M.; Shi, X.; Guo, Q.; Li, S.; Zhang, Q.; Sun, X.; Piao, F. 2,5-Hexanedione induced apoptosis in rat spinal cord neurons and VSC4.1 cells via the proNGF/p75NTR and JNK pathways. Biosci. Rep. 2021, BSR20204264. [Google Scholar] [CrossRef]
- Wang, Z.; Qiu, Z.; Gao, C.; Sun, Y.; Dong, W.; Zhang, Y.; Chen, R.; Qi, Y.; Li, S.; Guo, Y.; et al. 2,5-Hexanedione downregulates nerve growth factor and induces neuron apoptosis in the spinal cord of rats via inhibition of the PI3K/Akt signaling pathway. PLoS ONE 2017, 12, e0179388. [Google Scholar] [CrossRef] [PubMed]
- Zuo, E.; Zhang, C.; Mao, J.; Gao, C.; Hu, S.; Shi, X.; Piao, F. 2,5-Hexanedione mediates neuronal apoptosis through suppression of NGF via PI3K/Akt signaling in the rat sciatic nerve. BioSci. Rep. 2019, 39, BSR20181122. [Google Scholar] [CrossRef] [PubMed]





| n | Mean | Range | Method * | References |
|---|---|---|---|---|
| 2,5-Hexanedione | ||||
| 12 8M, 4F | 0.45 ± 0.20 | 0.12–0.78 | GC-FID | [90] |
| 10M | 0.49 ± 0.14 | 0.32–0.64 | GC-FID | [91] |
| 53M | 0.33 ± 0.47 | - | GC-FID | [92] |
| 55M | 1.47 ± 0.60 | - | [93] | |
| 136 84M 52F | M+F: 0.35 M: 0.35 F: 0.49 | - | GC-MS | [94] |
| 26M | 0.56 ± ? | 0.17–0.98 | GC-FID | [87] |
| 40 20M, 20F | 0.47 ± 0.21 | 0.20–1.00 | GC-FID | [95] |
| 22 | 0.44 ± 0.11 | 0.18–0.73 | HPLC-F | [96] |
| 123 60M + 63F | - | 0.08–0.95 | GC-FID HPLC-UV | [97] |
| 110M 117F | M: 0.41 F: 0.38 | - | GC | [98] |
| 4216M 4019F | Median M: 0.171 F: 0.147 | GC-MS | [99] | |
| Pyrroles | ||||
| 5M 5F 71.3 ± 5.4 years | - | - | ESI-LC-MS/MS | [100] |
| 104M + 104F 18–24 years 21 ± 3 years | Median 0.91 μM | Chromatography | [101] | |
| 276M, 258F 68.3 ± 4.9 years | Median 7.4 μM | Chromatography | [102] | |
Publisher’s Note: MDPI stays neutral with regard to jurisdictional claims in published maps and institutional affiliations. |
© 2021 by the authors. Licensee MDPI, Basel, Switzerland. This article is an open access article distributed under the terms and conditions of the Creative Commons Attribution (CC BY) license (https://creativecommons.org/licenses/by/4.0/).
Share and Cite
Spencer, P.S.; Chen, X. The Role of Protein Adduction in Toxic Neuropathies of Exogenous and Endogenous Origin. Toxics 2021, 9, 98. https://doi.org/10.3390/toxics9050098
Spencer PS, Chen X. The Role of Protein Adduction in Toxic Neuropathies of Exogenous and Endogenous Origin. Toxics. 2021; 9(5):98. https://doi.org/10.3390/toxics9050098
Chicago/Turabian StyleSpencer, Peter S., and Xiao Chen. 2021. "The Role of Protein Adduction in Toxic Neuropathies of Exogenous and Endogenous Origin" Toxics 9, no. 5: 98. https://doi.org/10.3390/toxics9050098
APA StyleSpencer, P. S., & Chen, X. (2021). The Role of Protein Adduction in Toxic Neuropathies of Exogenous and Endogenous Origin. Toxics, 9(5), 98. https://doi.org/10.3390/toxics9050098
