Pharmaceutical and Trace Metal Interaction within the Water–Soil–Plant Continuum: Implications for Human and Soil Health
Abstract
1. Introduction
2. Material and Methods
2.1. Chemicals and Reagents
2.2. Agricultural Soil
2.3. Experimental Setup
2.4. Water, Plant, and Soil Sampling
2.5. Analytical Methods
2.5.1. Water and Soil Physico-Chemical Analysis
2.5.2. Pharmaceutical and Transformation Product Analysis by LC-MS/MS
2.5.3. Trace Metal, Metalloid, and Major Element Analysis by ICP-MS
2.5.4. Soil Enzyme Activities
2.6. Contaminant Uptake and Translocation and Health Risk Assessment
2.7. Statistical Analysis
3. Results and Discussion
3.1. Pharmaceuticals and Transformation Products
3.1.1. Phs and TPs in the Soil–Water Interface
3.1.2. Ph and TP Accumulation in the Soil
3.1.3. Ph and TP Uptake and Translocation by Lettuce
3.2. Trace Metals and Metalloid
3.2.1. TMs in the Soil–Water Interface
3.2.2. TM Accumulation in the Soil
3.2.3. TM Uptake and Translocation by Lettuce
3.3. Impact on Lettuce Growth and Nutrient Balance
3.4. Health Risk Assessment
3.5. Impact on Soil Health
4. Conclusions
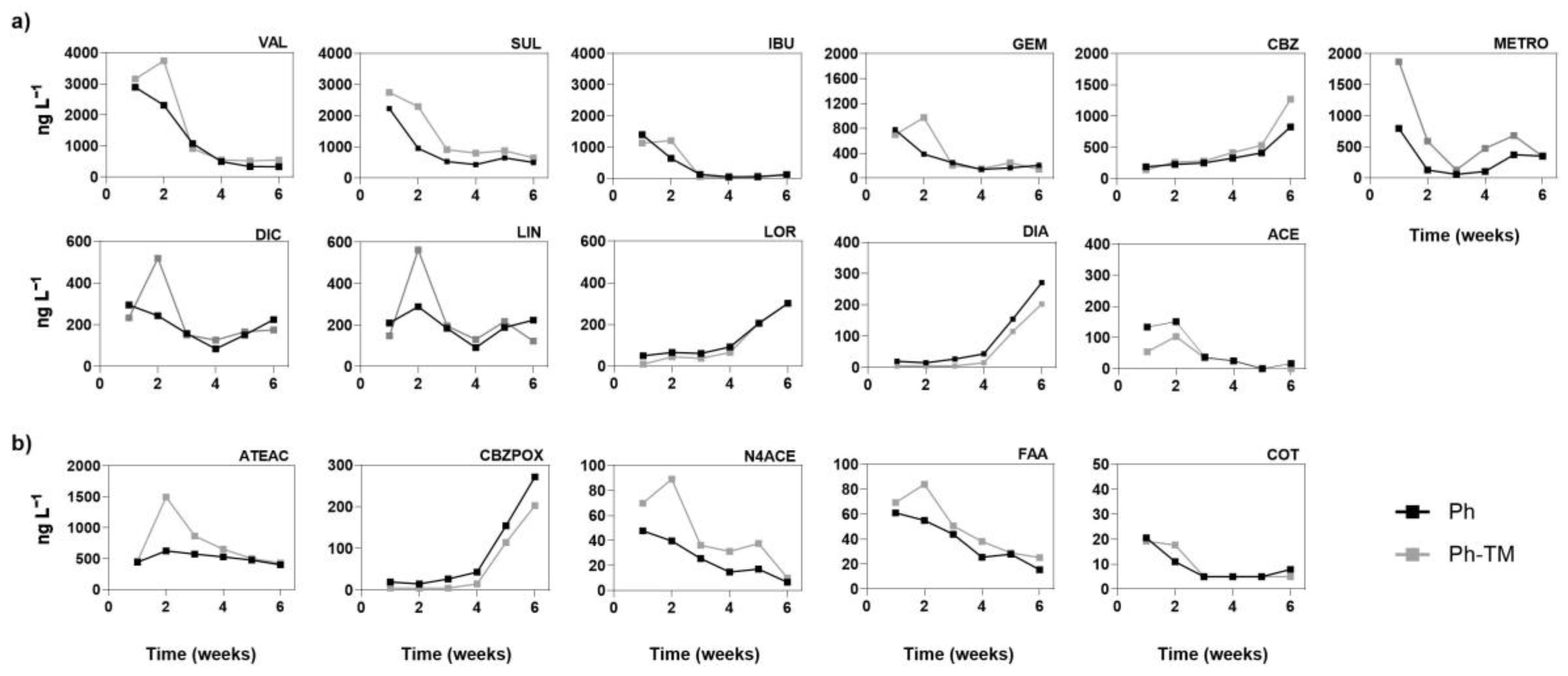
- At the soil–water interface, the levels of occurrence of Phs in the interstitial water is mostly attributed to their properties. Indeed, neutral and anionic drugs with a hydrophilic nature (VAL, SUL, IBU, GEM, CBZ, and METRO) are detected in this matrix with the highest concentrations. An over-time accumulation trend is observed for certain Phs (CBZ, CBZPOX, LORZ, and DIA), and such behaviour may be a matter of concern. TMs do not have an impact on Ph concentrations. In contrast, the presence of Phs exerts an antagonistic effect on Cu and Cr concentration, attributed to the increase in their sorption by the formation of surface complexes and/or cation bridges. At the same time, Phs have a synergistic effect on As concentration, probably due to competitive interactions for sorption sites.
- In the soil, the highest contents of drugs were attributed either to their properties (positively charged, e.g., VEN and FLE) or to their high persistence to degradation (CBZ). The contents of several Phs were higher under the Ph-TM condition; however, only LIN, TRI, and DIA show a significant increase. On the other hand, the TM contents in the soil are not significantly affected, neither by the presence of Phs (exceptions are observed exclusively for Cr and Cd), nor by the spiked TMs. Such behaviour is probably related to the fact that TM-spiked concentrations are very low when compared to the background TM contents resulting from the accumulation over years from agricultural practices in the calcareous soils.
- The amounts of both Phs and TMs taken up by lettuce plants correlate with their contents in the soil, suggesting that desorption from soil colloids is not a limiting factor for their bioavailability, and thus, for plant uptake. Anionic Phs tend to remain in roots (SUL, IBU, and GEM), while neutral, zwitterionic, and cationic Phs are found in leaves. Considering external lettuce leaves, the co-occurrence of Phs and TMs exerts both antagonistic and synergistic effects on CBZ and DIA, respectively. Moreover, the metabolism of CBZ seems to increase in the plant in the presence of Phs and TMs. Overall, under the Ph-TM condition, the BCFsoil of Phs decreases and TF increases or decreases depending on the drug. In the case of TMs, with the exception of Cd, the presence of drugs exerts an antagonistic effect, negatively affecting their uptake and translocation. The uptake of Cd towards the lettuce leaves is slightly favoured under the Phs and TMs’ co-occurrence.
- Results of the health risk assessment indicate that the contents of Phs in the lettuce edible parts do not pose a threat to human health, independently of tested conditions. However, in the presence of the Phs, Cd levels exceed by 2.7 times the maximum limits set for leafy vegetable foodstuffs. This result may be a matter of great concern, since a chronic intake of Cd, even at a low level, can have direct consequences on health, mainly in vulnerable stages such as pregnancy and childhood.
- Crop quality is negatively affected when Phs and TMs co-occur. The impact is observed in the decrease in biomass production and in the nutrient imbalance. Results show that major element uptake and/or translocation is hampered, possibly leading to nutrient deficiencies in crops that in the long term cause a “hidden impact” on human health.
- Soil enzyme activity is rather stimulated under pharmaceutical stress. This is consistent with selective pressure in certain populations. The co-occurrence of Phs and TMs favours BGAL activity, while ARYS and URE are stimulated in the presence of Phs with or without TM spiking. The impact on enzyme activity reflects an alteration in the microbial population, which, in turn, may account for the different uptake by lettuce plants and degradation rates observed of some target contaminants. Indeed, the degradation of ATE into ATEAC is enhanced under the co-occurrence of Ph and TMs in both interstitial water and soil, likely as a consequence of the stimulation of certain microbial under these conditions. Nevertheless, it is considered that a more detailed analysis of the soil microbial community could provide further insight into how Phs and TMs affect long-term soil health and fertility.
Supplementary Materials
Author Contributions
Funding
Institutional Review Board Statement
Informed Consent Statement
Data Availability Statement
Acknowledgments
Conflicts of Interest
References
- Gosset, A.; Wiest, L.; Fildier, A.; Libert, C.; Giroud, B.; Hammada, M.; Hervé, M.; Sibeud, E.; Vulliet, E.; Polomé, P.; et al. Ecotoxicological risk assessment of contaminants of emerging concern identified by “suspect screening” from urban wastewater treatment plant effluents at a territorial scale. Sci. Total Environ. 2021, 778, 146275. [Google Scholar] [CrossRef] [PubMed]
- Lopez-Herguedas, N.; González-Gaya, B.; Castelblanco-Boyacá, N.; Rico, A.; Etxebarria, N.; Olivares, M.; Prieto, A.; Zuloaga, O. Characterization of the contamination fingerprint of wastewater treatment plant effluents in the Henares River Basin (central Spain) based on target and suspect screening analysis. Sci. Total Environ. 2022, 806, 151262. [Google Scholar] [CrossRef] [PubMed]
- de Santiago-Martín, A.; Meffe, R.; Teijón, G.; Martínez Hernández, V.; López-Heras, I.; Alonso Alonso, C.; Arenas Romasanta, M.; de Bustamante, I. Pharmaceuticals and trace metals in the surface water used for crop irrigation: Risk to health or natural attenuation? Sci. Total Environ. 2020, 705, 135825. [Google Scholar] [CrossRef] [PubMed]
- Cuprys, A.; Pulicharla, R.; Brar, S.K.; Drogui, P.; Verma, M.; Surampalli, R.Y. Fluoroquinolones metal complexation and its environmental impacts. Coord. Chem. Rev. 2018, 376, 46–61. [Google Scholar] [CrossRef]
- Khurana, P.; Pulicharla, R.; Kaur Brar, S. Analytical challenges of antibiotic-metal complexes in wastewaters: A mini-review. Environ. Nanotechnol. Monit. Manag. 2022, 18, 100747. [Google Scholar] [CrossRef]
- Drewes, J.E.; Hübner, U.; Zhiteneva, V.; Karakurt, S. Characterization of Unplanned Water Reuse in the EU- Final Report for the European Commission DG Environment Contract No. 070201/2017/758172/SER/EMV.C.1. 2017. Available online: https://ec.europa.eu/environment/water/pdf/Report-UnplannedReuse_TUM_FINAL_Oct-2017.pdf (accessed on 12 March 2024).
- González Peña, O.I.; López Zavala, M.A.; Cabral Ruelas, H. Pharmaceuticals market, consumption trends and disease incidence are not driving the pharmaceutical research on water and wastewater. Int. J. Environ. Res. Public. Health 2021, 18, 2532. [Google Scholar] [CrossRef] [PubMed]
- Organization for Economic Cooperation and Development (OECD). Pharmaceutical Residues in Freshwater: Hazards and Policy Responses, OECD Studies on Water; OECD Publishing: Paris, France, 2019. [Google Scholar]
- Karlsson, O.; Rocklöv, J.; Lehoux, A.P.; Bergquist, J.; Rutgersson, A.; Blunt, M.; Birnbaum, L.S. The human exposome and health in the Anthropocene. Int. J. Epidemiol. 2021, 50, 378–389. [Google Scholar] [CrossRef] [PubMed]
- El-Kady, A.A.; Abdel-Wahhab, M.A. Occurrence of trace metals in foodstuffs and their health impact. Trends Food Sci. Technol. 2018, 75, 36–45. [Google Scholar] [CrossRef]
- Saedi, S.; Watson, S.E.; Young, J.L.; Tan, Y.; Wintergerst, K.A.; Cai, L. Does maternal low-dose cadmium exposure increase the risk of offspring to develop metabolic syndrome and/or type 2 diabetes? Life Sci. 2023, 315, 121385. [Google Scholar] [CrossRef]
- Thompson, L.A.; Darwish, W.S. Environmental chemical contaminants in food: Review of a global problem. J. Toxicol. 2019, 2019, 2345283. [Google Scholar] [CrossRef]
- Vineis, P.; Robinson, O.; Chadeau-Hyam, M.; Dehghan, A.; Mudway, I.; Dagnino, S. What is new in the exposome? Environ. Int. 2020, 143, 105887. [Google Scholar] [CrossRef]
- Khurana, P.; Pulicharla, R.; Brar, S.K. Antibiotic-metal complexes in wastewaters: Fate and treatment trajectory. Environ. Int. 2021, 157, 106863. [Google Scholar] [CrossRef]
- Khurana, P.; Pulicharla, R.; Brar, S.K. Imipenem-metal complexes: Computational analysis and toxicity studies with wastewater model microorganisms. Environ. Res. 2023, 239, 117275. [Google Scholar] [CrossRef] [PubMed]
- Papaioannou, D.; Koukoulakis, P.H.; Lambropoulou, D.; Papageorgiou, M.; Kalavrouziotis, I.K. The dynamics of the pharmaceutical and personal care product interactive capacity under the effect of artificial enrichment of soil with heavy metals and of wastewater reuse. Sci. Total Environ. 2019, 662, 537–546. [Google Scholar] [CrossRef] [PubMed]
- Papaioannou, D.; Koukoulakis, P.H.; Papageorgiou, M.; Lambropoulou, D.A.; Kalavrouziotis, I.K. Investigation of pharmaceutical and personal care product interactions of soil and beets (Beta vulgaris L.) under the effect of wastewater reuse. Chemosphere 2020, 238, 124553. [Google Scholar] [CrossRef]
- Ma, L.; Yang, L.; Zhang, Y.; Zhou, Q.; Wu, Z.; He, F. The occurrence characteristics and underlying removal mechanism of combined copper and sulfamethoxazole pollution in constructed wetlands. J. Chem. Eng. 2023, 466, 143022. [Google Scholar] [CrossRef]
- Xu, Y.; Yu, X.; Xu, B.; Peng, D.; Guo, X. Sorption of pharmaceuticals and personal care products on soil and soil components: Influencing factors and mechanisms. Sci. Total Environ. 2021, 753, 141891. [Google Scholar] [CrossRef] [PubMed]
- Zhao, Y.; Tan, Y.; Guo, Y.; Gu, X.; Wang, X.; Zhang, Y. Interactions of tetracycline with Cd (II), Cu (II) and Pb (II) and their cosorption behavior in soils. Environ. Poll. 2013, 180, 206–213. [Google Scholar] [CrossRef]
- Kong, W.D.; Zhu, Y.G.; Fu, B.J.; Marschner, P.; He, J.Z. The veterinary antibiotic oxytetracycline and Cu influence functional diversity of the soil microbial community. Environ. Poll. 2006, 143, 129–137. [Google Scholar] [CrossRef]
- Lu, X.; Gao, Y.; Luo, J.; Yan, S.; Rengel, Z.; Zhang, Z. Interaction of veterinary antibiotic tetracyclines and copper on their fates in water and water hyacinth (Eichhornia crassipes). J. Hazard. Mater. 2014, 280, 389–398. [Google Scholar] [CrossRef]
- Ma, T.; Pan, X.; Liu, W.; Christie, P.; Luo, Y.; Wu, L. Effects of different concentrations and application frequencies of oxytetracycline on soil enzyme activities and microbial community diversity. Eur. J. Soil. Bio 2016, 76, 53–60. [Google Scholar] [CrossRef]
- Alam, M.; Awal, M.; Subhan, N.; Mostofa, M. In-vitro relationship between protein-binding and free drug concentrations of a water-soluble selective beta-adrenoreceptor antagonist (atenolol) and its interaction with arsenic. J. Health Popul. Nutr. 2009, 27, 20–30. [Google Scholar] [CrossRef] [PubMed]
- Sultana, N.; Arayne, M.S.; Sabri, R. Clarithromycin synergism with essential and trace elements. Pak. J. Pharm. Sci. 2002, 15, 43–54. [Google Scholar] [PubMed]
- Aksoy, M.; Özer, U. Equilibrium studies on chromium (III) complexes of salicylic acid and salicylic acid derivatives in aqueous solution. Chem. Pharm. Bull. 2004, 52, 1280–1284. [Google Scholar] [CrossRef] [PubMed][Green Version]
- Tella, A.C.; Obaleye, J.A.; Eke, U.B.; Isaac, A.Y.; Ameen, O.M. Solvent-free synthesis, X-ray studies and in vitro inhibitory activities of copper (II) complexes of non-steroidal anti-inflammatory drugs. Res. Chem. Intermed. 2014, 40, 1441–1457. [Google Scholar] [CrossRef]
- El-Megharbel, S.M. Synthesis, characterization and antidiabetic activity of chromium (III) metformin complex. J. Microb. Biochem. Technol. 2015, 7, 65–75. [Google Scholar]
- Mohamed, A.A.; Sadeek, S.A. Ligational and biological studies of Fe (III), Co (II), Ni (II), Cu (II), and Zr (IV) complexes with carbamazepine as antiepileptic drug. Appl. Organomet. Chem. 2021, 35, e6178. [Google Scholar] [CrossRef]
- Correia Dos Santos, M.M.; Famila, V.; Simões Gonçalves, M.L. Copper-psychoactive drug complexes: A voltammetric approach to complexation by 1,4-benzodiazepines. Anal. Biochem. 2002, 303, 111–119. [Google Scholar] [CrossRef] [PubMed]
- da Silva, A.V.; Meneghetti, S.M.P.; Meneghetti, M.R. Benzodiazepines: Drugs with chemical skeletons suitable for the preparation of metallacycles with potential pharmacological activity. Molecules 2021, 26, 2796. [Google Scholar] [CrossRef]
- Subhan, N.; Habibur, R.; Ashraful, A.; Rashedul, I.; Mahbubur, R. Relationship between protein-binding and free drug concentrations of a sparingly water-soluble selective serotonin reuptake inhibitor (escitalopram) and its interaction with arsenic. Romanian J. Biophys. 2011, 21, 139–149. [Google Scholar]
- Martínez, V.; Ferrer, G.; Williams, P. Candesartan, losartan and valsartan Zn(II) complexes interactions with bovine serum albumin. Future Med. Chem. 2022, 14, 9–16. [Google Scholar] [CrossRef]
- Mazı, C.; Karaderi, S.; Arıöz, F. Spectrophotometric investigation of metal complexes with valsartan. J. Chem. Mat. Res. 2018, 10, 61–67. [Google Scholar]
- Gaggelli, E.; Gaggelli, N.; Valensin, D.; Valensin, G.; Jezowska-Bojczuk, M.; Kozłowski, H. Structure and dynamics of the lincomycin-copper(II) complex in water solution by 1H and 13C NMR studies. Inorg. Chem. 2002, 41, 1518–1522. [Google Scholar] [CrossRef] [PubMed]
- Jezowska-Bojczuk, M.; Lesniak, W.; Szczepanik, W.; Gatner, K.; Jezierski, A.; Smoluch, M.; Bal, W. Copper(II)-lincomycin: Complexation pattern and oxidative activity. J. Inorg. Biochem. 2001, 84, 189–200. [Google Scholar] [CrossRef]
- Food and Agriculture Organization (FAO). 2015. Available online: https://openknowledge.fao.org/server/api/core/bitstreams/4fb89216-b131-4809-bbed-b91850738fa1/content (accessed on 1 April 2024).
- Yang, R.; Wang, J.; Zhu, L.; Wang, J.; Yang, L.; Mao, S.; Conkle, J.L.; Chen, Y.; Kim, Y.M. Effects of interaction between enrofloxacin and copper on soil enzyme activity and evaluation of comprehensive toxicity. Chemosphere 2021, 268, 129208. [Google Scholar] [CrossRef] [PubMed]
- de Santiago-Martín, A.; Valverde-Asenjo, I.; Quintana, J.R.; Vázquez, A.; Lafuente, A.L.; González-Huecas, C. Metal extractability patterns to evaluate (potentially) mobile fractions in periurban calcareous agricultural soils in the Mediterranean area—Analytical and mineralogical approaches. Environ. Sci. Pollut. Res. 2013a, 20, 6392–6405. [Google Scholar] [CrossRef]
- Yang, R.; Xia, X.; Wang, J.; Zhu, L.; Wang, J.; Ahmad, Z.; Yang, L.; Mao, S.; Chen, Y. Dose and time-dependent response of single and combined artificial contamination of sulfamethazine and copper on soil enzymatic activities. Chemosphere 2020, 250, 126161. [Google Scholar] [CrossRef]
- Meffe, R.; de Santiago-Martín, A.; Teijón, G.; Martinez Hernandez, V.; López-Heras, I.; Nozal, L.; de Bustamante, I. Pharmaceutical and transformation products during unplanned water reuse: Insights into natural attenuation, plant uptake and human health impact under field conditions. Environ. Int. 2021, 57, 106835. [Google Scholar] [CrossRef] [PubMed]
- Commission Implementing Decisions (EU) 2015/495 and 2018/840. Commission implementing decision (EU) 2018/840 of 5 June 2018 establishing a watch list of substances for union-wide monitoring in the field of water policy pursuant to Directive 2008/105/EC of the European Parliament and of the council and repealing commission implementing decision (EU) 2015/495. Off. J. Eur. Union 2018, 141, 9–12. [Google Scholar]
- National Health System; Sistema Nacional de Salud. Informe Anual del Sistema Nacional de Salud 2016. Informes, Estudios e Investigación 2017; Ministerio de Sanidad, Servicios Sociales e Igualdad Spain: Madrid, Spain, 2016; p. 1008. [Google Scholar]
- Spanish Pharmaceutical Observatory; Observatorio del Medicamento. Informe Técnico; Federación Empresarial de Farmacéuticos Españoles: Madrid, Spain, 2016; p. 14. [Google Scholar]
- Huntscha, S.; Singer, H.P.; McArdell, C.S.; Frank, C.E.; Hollender, J. Multiresidue analysis of 88 polar organic micropollutants in ground, surface and wastewater using online mixed-bed multilayer solid-phase extraction coupled to high performance liquid chromatography–tandem mass spectrometry. J. Chromatogr. A 2012, 1268, 74–83. [Google Scholar] [CrossRef]
- Gustafsson, J.P. Visual MINTEQ, v.4.0. Department of Land and Water Resources Engineering; Royal Institute of Technology: Stockholm, Sweden, 2011. [Google Scholar]
- European Food Safety Authority (EFSA) Scientific Committee. Guidance on selected default values to be used by the EFSA Scientific Committee, Scientific Panels and Units in the absence of actual measured data (Question No. EFSA-Q-2010-00221). EFSA J. 2012, 10, 2579. [Google Scholar]
- Tadic, D.; Bleda Hernández, M.J.; Cerqueira, F.; Matamoros, V.; Piña, B.; Bayona, J.M. Occurrence and human health risk assessment of antibiotics and their metabolites in vegetables grown in field-scale agricultural systems. J. Hazard. Mat. 2021, 401, 123424. [Google Scholar] [CrossRef] [PubMed]
- Margenat, A.; Matamoros, V.; Diez, S.; Canameras, N.; Comas, J.; Bayona, J.M. Occurrence and human health implications of chemical contaminants in vegetables grown in peri-urban agriculture. Environ. Int. 2019, 124, 49–57. [Google Scholar] [CrossRef] [PubMed]
- European Food Safety Authority (EFSA). Cadmium in food-scientific opinion of the panel on contaminants in the food chain (Question No. EFSA-Q-2007-138). EFSA J. 2009, 7, 980. [Google Scholar]
- FAO & WHO (World Health Organization). FAO/WHO Global Individual Food Consumption Data Tool. Available online: https://www.fao.org/gift-individual-food-consumption/en (accessed on 13 May 2024).
- Prosser, R.S.; Sibley, P.K. Human health risk assessment of pharmaceuticals and personal care products in plant tissue due to biosolids and manure amendments, and wastewater irrigation. Environ. Int. 2015, 75, 223–233. [Google Scholar] [CrossRef]
- Drug Information Center of the Spanish Agency for Medicines and Health Products. Available online: https://cima.aemps.es/cima/publico/home.html (accessed on 13 May 2024).
- Public Health European Commission. Available online: https://health.ec.europa.eu/index_en (accessed on 3 May 2024).
- European Medicines Agency (EMA). Assessment report for codeine-containing medicinal products indicated in the management of pain in children. In Procedure under Article 31 of Directive 2001/83/EC Resulting from Pharmacovigilance Data Procedure Number: EMEA/H/A-31/1342; European Medicines Agency: London, UK, 2013; p. 18. [Google Scholar]
- European Food Safety Authority (EFSA). EFSA STATEMENT, Potential risks for public health due to the presence of nicotine in wild mushrooms (Question No. EFSA-Q-2009-00527). EFSA J. 2009, RN-286, 1–47. [Google Scholar]
- European Food Safety Authority (EFSA). Guidance on the use of the Threshold of Toxicological Concern approach in food safety assessment. EFSA J. 2019, 17, 5708. [Google Scholar]
- Evans, R.M.; Scholze, M.; Kortenkamp, A. Examining the feasibility of mixture risk assessment: A case study using a tiered approach with data of 67 pesticides from the Joint FAO/WHO Meeting on Pesticide Residues (JMPR). Food Chem. Toxicol. 2015, 84, 260–269. [Google Scholar] [CrossRef] [PubMed]
- Kroes, R.; Galli, C.; Munro, I.; Schilter, B.; Tran, L.A.; Walker, R.; Würtzen, G. Threshold of toxicological concern for chemical substances present in the diet: A practical tool for assessing the need for toxicity testing. Food Chem. Toxicol. 2000, 38, 255–312. [Google Scholar] [CrossRef]
- Kroes, R.; Renwick, A.G.; Cheeseman, M.; Kleiner, J.; Mangelsdorf, I.; Piersma, A.; Schilter, B.; Schlatter, J.; van Schothorst, F.; Vos, J.G.; et al. Structure- based thresholds of toxicological concern (TTC): Guidance for application to substances present at low levels in the diet. Food Chem. Toxicol. 2004, 42, 65–83. [Google Scholar] [CrossRef]
- Cramer, G.M.; Ford, R.A.; Hall, R.L. Estimation of toxic hazard—A decision tree approach. Food Cosmet. Toxicol. 1976, 16, 255–276. [Google Scholar] [CrossRef] [PubMed]
- Patlewicz, G.; Jeliazkova, N.; Safford, R.J.; Worth, A.P.; Aleksiev, B. An evaluation of the implementation of the Cramer classification scheme in the Toxtree software. SAR and QSAR Environ. Res. 2008, 19, 495–524. [Google Scholar] [CrossRef] [PubMed]
- Munro, I.C.; Ford, R.A.; Kennepohl, E.; Sprenger, J.G. Correlation of structural class with no-observed-effect levels: A proposal for establishing a threshold of concern. Food Chem. Toxicol. 1996, 34, 829–867. [Google Scholar] [CrossRef] [PubMed]
- Menacherry, S.P.M.; Kodešová, R.; Fedorova, G.; Sadchenko, A.; Kočárek, M.; Klement, A.; Miroslav, F.; Antonín, N.; Alica, C.; Grabic, R. Dissipation of twelve organic micropollutants in three different soils: Effect of soil characteristics and microbial composition. J. Hazard. Mater. 2023, 459, 132143. [Google Scholar] [CrossRef] [PubMed]
- Manasfi, R.; Brienza, M.; Ait-Mouheb, N.; Montemurro, N.; Perez, S.; Chiron, S. Impact of long-term irrigation with municipal reclaimed wastewater on the uptake and degradation of organic contaminants in lettuce and leek. Sci. Total Environ. 2021, 765, 142742. [Google Scholar] [CrossRef] [PubMed]
- Hu, S.; Zhang, Y.; Shen, G.; Zhang, H.; Yuan, Z.; Zhang, W. Adsorption/desorption behavior and mechanisms of sulfadiazine and sulfamethoxazole in agricultural soil systems. Soil. Till Res. 2019, 186, 233–241. [Google Scholar] [CrossRef]
- Kodešová, R.; Klement, A.; Golovko, O.; Fér, M.; Nikodem, A.; Kočárek, M.; Grabic, R. Root uptake of atenolol, sulfamethoxazole and carbamazepine, and their transformation in three soils and four plants. Environ. Sci. Pollut. Res. 2019, 26, 9876–9891. [Google Scholar] [CrossRef] [PubMed]
- Martínez Hernández, V.; Leal, M.; Meffe, R.; de Miguel, A.; Alonso-Alonso, C.; de Bustamante, I.; Lillo, J.; Martín, I.; Salas, J.J. Removal of emerging organic contaminants in a poplar vegetation filter. J. Hazard. Mat. 2018, 342, 482–491. [Google Scholar] [CrossRef] [PubMed]
- Carter, L.J.; Williams, M.; Martin, S.; Kamaludeen, S.P.B.; Kookana, R.S. Sorption, plant uptake and metabolism of benzodiazepines. Sci. Total Environ. 2018, 628–629, 18–25. [Google Scholar] [CrossRef]
- Fenet, H.; Mathieu, O.; Mahjoub, O.; Li, Z.; Hillaire-Buys, D.; Casellas, C.; Gomez, E. Carbamazepine, carbamazepine epoxide and dihydroxycarbamazepine sorption to soil and occurrence in a wastewater reuse site in Tunisia. Chemosphere 2012, 88, 49–54. [Google Scholar] [CrossRef]
- Paz, A.; Tadmor, G.; Malchi, T.; Blotevogel, J.; Borch, T.; Polubesova, T.; Chefetz, B. Fate of carbamazepine, its metabolites, and lamotrigine in soils irrigated with reclaimed wastewater: Sorption, leaching and plant uptake. Chemosphere 2016, 160, 22–29. [Google Scholar] [CrossRef]
- Yuan, S.F.; Liu, Z.H.; Yin, H.; Dang, Z.; Wu, P.X.; Zhu, N.W.; Lin, Z. Trace determination of sulfonamide antibiotics and their acetylated metabolites via SPE-LC-MS/MS in wastewater and insights from their occurrence in a municipal wastewater treatment plant. Sci. Total Environ. 2019, 653, 815–821. [Google Scholar] [CrossRef]
- Zhang, W.; Guan, A.; Peng, Q.; Qi, W.; Qu, J. Microbe-mediated simultaneous nitrogen reduction and sulfamethoxazole/N-acetylsulfamethoxazole removal in lab-scale constructed wetlands. Water Res. 2023, 242, 120233. [Google Scholar] [CrossRef] [PubMed]
- Huidobro-López, B.; León, C.; López-Heras, I.; Martínez-Hernández, V.; Nozal, L.; Crego, A.L.; de Bustamante, I. Untargeted metabolomic analysis to explore the impact of soil amendments in a non-conventional wastewater treatment. Sci. Total Environ. 2023, 870, 161890. [Google Scholar] [CrossRef] [PubMed]
- Kodešová, R.; Svecova, H.; Klement, A.; Fer, M.; Nikodem, A.; Fedorova, G.; Rieznyk, O.; Grabic, R. Contamination of water, soil, and plants by micropollutants from reclaimed wastewater and sludge from a wastewater treatment plant. Sci. Total Environ. 2024, 907, 167965. [Google Scholar] [CrossRef] [PubMed]
- Li, Y.; Sallach, J.B.; Zhang, W.; Boyd, S.A.; Li, H. Insight into the distribution of pharmaceuticals in soil-water-plant systems. Water Res. 2019, 152, 38–46. [Google Scholar] [CrossRef] [PubMed]
- Parus, A.; Idziak, M.; Jacewicz, P.; Panasiewicz, K.; Zembrzuska, J. Assessment of environmental risk caused by the presence of antibiotics. Environ. Nanotechnol. Monit. Manag. 2021, 16, 100533. [Google Scholar] [CrossRef]
- Malchi, T.; Maor, Y.; Tadmor, G.; Schenker, M.; Chefetz, B. Irrigation of root vegetables with treated wastewater: Evaluating uptake of pharmaceuticals and the associated human health risks. Environ. Sci. Technol. 2014, 48, 9325–9333. [Google Scholar] [CrossRef]
- Miller, E.; Nason, S.; Karthikeyan, K.G.; Pedersen, J. Root uptake of pharmaceuticals and personal care product ingredients. Environ. Sci. Technol. 2016, 50, 525–541. [Google Scholar] [CrossRef]
- Dodgen, L.K.; Ueda, A.; Wu, X.; Parker, D.R.; Gan, J. Effect of transpiration on plant accumulation and translocation of PPCP/EDCs. Environ. Pollut. 2015, 198, 144–153. [Google Scholar] [CrossRef]
- Mordechay, B.; Tarchitzky, J.; Chen, Y.; Shenker, M.; Chefetz, B. Composted biosolids and treated wastewater as sources of pharmaceuticals and personal care products for plant uptake: A case study with carbamazepine. Environ. Pollut. 2018, 232, 164–172. [Google Scholar] [CrossRef] [PubMed]
- Montemurro, N.; Peña-Herrera, J.M.; Ginebreda, A.; Eichorn, P.; Pérez, S. The journey of human drugs from their design at the bench to their fate in crops. In Interaction and fate of pharmaceuticals in soil-crop systems: The impact of reclaimed wastewater. In The Handbook of Environ Chem; Pérez Solsona, S., Montemurro, N., Chiron, S., Barceló, D., Eds.; Springer Nature: Cham, Switzerland, 2021; Volume 103, pp. 3–32. [Google Scholar]
- Wei, H.; Tang, M.; Xu, X. Mechanism of uptake, accumulation, transport, metabolism and phytotoxic effects of pharmaceuticals and personal care products within plants: A review. Sci. Total Environ. 2023, 892, 164413. [Google Scholar] [CrossRef] [PubMed]
- Bigott, Y.; Khalaf, D.; Schröder, P.; Schröder, P.M.; Cruzeiro, C. Uptake and translocation of pharmaceuticals in plants: Principles and data analysis. In Interaction and fate of pharmaceuticals in soil-crop systems: The impact of reclaimed wastewater. In The Handbook of Environ Chem; Pérez Solsona, S., Montemurro, N., Chiron, S., Barceló, D., Eds.; Springer Nature: Cham, Switzerland, 2021; Volume 103, pp. 103–142. [Google Scholar]
- Pérez Solsona, S.; Montemurro, N.; Chiron, S.; Barceló, D. Conclusions and Future Perspectives. In Interaction and fate of pharmaceuticals in soil-crop systems: The impact of reclaimed wastewater. In The Handbook of Environ Chem; Pérez Solsona, S., Montemurro, N., Chiron, S., Barceló, D., Eds.; Springer Nature: Cham, Switzerland, 2021; Volume 103, pp. 525–530. [Google Scholar]
- Zhang, D.Q.; Gersberg, R.M.; Hua, T.; Zhu, J.; Goyal, M.K.; Ng, W.J.; Tan, S.K. Fate of pharmaceutical compounds in hydroponic mesocosms planted with Scirpus validus. Environ. Pollut. 2013, 181, 98–106. [Google Scholar] [CrossRef] [PubMed]
- Briggs, G.; Bromilow, R.; Evans, A. Relationships between lipophilicity and root uptake and translocation of non-ionized chemicals by barley. Pestic. Sci. 1982, 13, 495–504. [Google Scholar] [CrossRef]
- Wu, X.; Ernst, F.; Conkle, J.L.; Gan, J. Comparative uptake and translocation of pharmaceutical and personal care products (PPCPs) by common vegetables. Environ. Int. 2013, 60, 15–22. [Google Scholar] [CrossRef] [PubMed]
- Hsu, F.C.; Marxmiller, R.L.; Yang, A.Y.S. Study of root uptake and xylem translocation of cinmethylin and related compounds in detopped soybean roots using a pressure chamber technique. Plant Physiol. 1990, 93, 1573–1578. [Google Scholar] [CrossRef] [PubMed]
- Beltran, E.M.; Pablos, M.V.; Fernandez, C.; Porcel, M.A.; Gonzalez-Doncel, M. Uptake of atenolol, carbamazepine and triclosan by crops irrigated with reclaimed water in a Mediterranean scenario. Ecotoxicol. Environ. Saf. 2020, 191, 110171. [Google Scholar] [CrossRef] [PubMed]
- Kvesitadze, G.; Khatisashvili, G.; Sadunishvili, T.; Kvesitadze, E. Plants for remediation: Uptake, translocation and transformation of organic pollutants. In Plants, Pollutants and Remediation; Öztürk, M., Ashraf, M., Aksoy, A., Ahmad, M.S.A., Hakeem, K.R., Eds.; Springer: Dordrecht, The Netherlands; New York, NY, USA, 2015; pp. 241–305. [Google Scholar]
- Chuang, Y.H.; Liu, C.H.; Sallach, J.B.; Hammerschmidt, R.; Zhang, W.; Boyd, S.A.; Li, H. Mechanistic study on uptake and transport of pharmaceuticals in lettuce from water. Environ. Int. 2019, 13, 1104976. [Google Scholar] [CrossRef] [PubMed]
- Bigott, Y.; Gallego, S.; Montemurro, N.; Breuil, M.C.; Perez, S.; Michas, A.; Martin-Laurent, F.; Schroder, P. Fate and impact of wastewater-borne micropollutants in lettuce and the root-associated bacteria. Sci. Total Environ. 2022, 831, 154674. [Google Scholar] [CrossRef]
- Martínez-Piernas, A.; Plaza-Bolaños, P.; Fernández-Ibáñez, P.; Agüera, A. Organic microcontaminants in tomato crops irrigated with reclaimed water grown under field conditions: Occurrence, uptake, and health risk assessment. J. Agric. Food Chem. 2019, 67, 6930–6939. [Google Scholar] [CrossRef]
- Martínez Bueno, M.J.; Valverde, M.G.; Gomez-Ramos, M.M.; Andujar, J.A.S.; Barceló, D.; Fernández-Alba, A.R. Fate, modeling, and human health risk of organic contaminants present in tomato plants irrigated with reclaimed water under real-world field conditions. Sci. Total Environ. 2022, 806, 150909. [Google Scholar] [CrossRef] [PubMed]
- Bauer, T.; Pinskii, D.; Minkina, T.; Shuvaeva, V.; Soldatov, A.; Mandzhieva, S.; Tsitsuashvili, V.; Nevidomskaya, D.; Semenkov, I. Application of XAFS and XRD methods for describing the copper and zinc adsorption characteristics in hydromorphic soils. Environ. Geochem. Health 2022, 44, 335–347. [Google Scholar] [CrossRef] [PubMed]
- Norini, M.P.; Thouin, H.; Miard, F.; Battaglia-Brunet, F.; Gautret, P.; Guégan, R.; Le Forestier, L.; Morabito, D.; Bpurgerie, S.; Motelica-Heino, M. Mobility of Pb, Zn, Ba, As and Cd toward soil pore water and plants (willow and ryegrass) from a mine soil amended with biochar. J. Environ. Manag. 2019, 232, 117–130. [Google Scholar] [CrossRef] [PubMed]
- Kader, M.; Lamb, D.T.; Wang, L.; Megharaj, M.; Naidu, R. Copper interactions on arsenic bioavailability and phytotoxicity in soil. Ecotoxicol. Environ. Saf. 2018, 148, 738–746. [Google Scholar] [CrossRef] [PubMed]
- Jalali, M.; Moradi, F. Competitive sorption of Cd, Cu, Mn, Ni, Pb and Zn in polluted and unpolluted calcareous soils. Environ. Monit. Assess. 2013, 185, 8831–8846. [Google Scholar] [CrossRef] [PubMed]
- de Santiago-Martín, A.; Valverde-Asenjo, I.; Pérez-Esteban, J.; Vaquero-Perea, C.; Moliner-Aramendía, A.; González-Huecas, C. Metal contamination in soils in the Mediterranean area and implications for the food chain. In Handbook of Public Health in Natural Disasters; Human Health Handbooks, Watson, R.R., Tabor, J.A., Ehiri, J.E., Preedy, V.R., Eds.; Wageningen Academic Publishers: Wageningen, The Netherlands, 2015; Volume 10, pp. 463–486. [Google Scholar]
- Tahervand, S.; Jalali, M. Sorption, desorption, and speciation of Cd, Ni, and Fe by four calcareous soils as affected by pH. Environ. Monit. Assess. 2016, 188, 322. [Google Scholar] [CrossRef]
- Marzi, M.; Towfighi, H.; Shahbazi, K.; Farahbakhsh, M.; Kazemian, H. Study of arsenic adsorption in calcareous soils: Competitive effect of phosphate, citrate, oxalate, humic acid and fulvic acids. J. Environ. Manag. 2022, 318. [Google Scholar] [CrossRef] [PubMed]
- Sø, H.U.; Postma, D.; Jakobsen, R.; Larsen, F. Sorption and desorption of arsenate and arsenite on calcite. Geochim. Cosmochim. Acta 2008, 72, 5871–5884. [Google Scholar] [CrossRef]
- Marzi, M.; Towfighi, H.; Shahbazi, K.; Farahbakhsh, M.; Rinklebe, J.; Eder, C. Adsorption and desorption characteristics of arsenic in calcareous soils as a function of time; equilibrium and thermodynamic study. Environ. Sci. Pollut. Res. 2023, 30, 1318–1332. [Google Scholar] [CrossRef]
- Rassaei, F. Kinetics, isotherms, thermodynamic adsorption, and desorption studies of chromium in two types of calcareous soils. Arab. J. Geosci. 2023, 16, 214. [Google Scholar] [CrossRef]
- Order 2770/2006. Orden 2770/2006, de 11 de agosto, del Consejero de Medio Ambiente y Ordenación del Territorio, por la que se procede al establecimiento de niveles genéricos de referencia de metales pesados y otros elementos traza en suelos contaminados de la Comunidad de Madrid. Boletín Oficial de la Comunidad de Madrid 2006, 204, 29–30. [Google Scholar]
- Directive 86/278/EEC. Council Directive 86/278/EEC of 12 June 1986 on the protection of the environment, and in particular of the soil, when sewage sludge is used in agriculture. Off. J. Eur. Communities 1986, 86, 6–12. [Google Scholar]
- de Santiago-Martín, A.; Valverde-Asenjo, I.; Quintana, J.R.; Vázquez, A.; Lafuente, A.L.; González-Huecas, C. Carbonate, organic and clay fractions determine metal bioavailability in periurban calcareous agricultural soils in the Mediterranean area. Geoderma 2014, 221, 103–112. [Google Scholar] [CrossRef]
- Margenat, A.; Matamoros, V.; Diez, S.; Canameras, N.; Comas, J.; Bayona, J.M. Occurrence and bioaccumulation of chemical contaminants in lettuce grown in peri-urban horticulture. Sci. Total Environ. 2018, 637–638, 1166–1174. [Google Scholar] [CrossRef]
- Cuypers, A.; Remans, T.; Weyens, N.; Colpaert, J.; Vassilev, A.; Vangronsveld, J. Soil-plant relationships of heavy metals and metalloids. In Heavy Metals in Soils: Trace Metals and Metalloids in Soils and Their Bioavailability; Alloway, B.J., Ed.; Springer Science & Business Media: London, UK, 2013; Volume 22, pp. 161–194. [Google Scholar]
- Peijnenburg, W.; Baerselman, R.; de Groot, A.; Jager, T.; Líderes, D.; Posthuma, L.; Van Vee, R. Quantification of metal bioavailability for lettuce (Lactuca sativa L.) in field soils. Arch. Environ. Contam. Toxicol. 2000, 39, 420–430. [Google Scholar] [CrossRef]
- Carvalho, P.N.; Basto, M.C.P.; Almeida, C.M.R.; Brix, H. A review of plant–pharmaceutical interactions: From uptake and effects in crop plants to phytoremediation in constructed wetlands. Environ. Sci. Pollut. Res. 2014, 21, 11729–11763. [Google Scholar] [CrossRef] [PubMed]
- Grassi, M.; Rizzo, L.; Farina, A. Endocrine disruptors compounds, pharmaceuticals and personal care products in urban wastewater: Implications for agricultural reuse and their removal by adsorption process. Environ. Sci. Pollut. Res. 2013, 20, 3616–3628. [Google Scholar] [CrossRef]
- Moreira, I.N.; Martins, L.L.; Mourato, M.P. Effect of Cd, Cr, Cu, Mn, Ni, Pb and Zn on seed germination and seedling growth of two lettuce cultivars (Lactuca sativa L.). Plant Physiol. 2020, 25, 347–358. [Google Scholar] [CrossRef]
- Nagajyoti, P.; Lee, K.; Sreekanth, T. Heavy metals, occurrence and toxicity for plants: A review. Environ. Chem. Letters 2010, 8, 199–216. [Google Scholar] [CrossRef]
- Oliver, M.A.; Gregory, P.J. Soil, food security and human health: A review. Eur. J. Soil. Sci. 2015, 66, 257–276. [Google Scholar] [CrossRef]
- FAO. Technical Guidelines on Soils for Nutrition—Sustainable Soil Management for Nutrition-Sensitive Agriculture; FAO: Rome, Italy, 2023; p. 44. [Google Scholar]
- Christou, A.; Michael, C.; Fatta-Kassinos, D.; Fotopoulos, V. Can the pharmaceutically active compounds released in agroecosystems be considered as emerging plant stressors? Environ. Int. 2018, 114, 360–364. [Google Scholar] [CrossRef]
- Commission Regulation (EU) 2021/1323 of 10 August 2021 amending Regulation (EC) No 1881/2006 as regards maximum levels of cadmium in certain foodstuffs. Off. J. Eur. Union 2021, 288, 13–18.
- Satarug, S.; Vesey, D.A.; Gobe, G.C. Health risk assessment of dietary cadmium intake: Do current guidelines indicate how much is safe? Environ. Health Perspect 2017, 125, 284–288. [Google Scholar] [CrossRef]
- Frková, Z.; Vystavna, Y.; Koubová, A.; Kotas, P.; Grabicová, K.; Grabic, R.; Kodešová, R.; Chroňáková, A. Microbial responses to selected pharmaceuticals in agricultural soils: Microcosm study on the roles of soil, treatment and time. Soil. Biol. Biochem. 2020, 149, 107924. [Google Scholar] [CrossRef]
- Cycoń, M.; Borymski, S.; Żołnierczyk, B.; Piotrowska-Seget, Z. Variable effects of non-steroidal anti-inflammatory drugs (NSAIDs) on selected biochemical processes mediated by soil microorganisms. Frontiers Microbiol. 2016, 7, 226884. [Google Scholar] [CrossRef]
- Liu, F.; Ying, G.G.; Tao, R.; Zhao, J.L.; Yang, J.F.; Zhao, L.F. Effects of six selected antibiotics on plant growth and soil microbial and enzymatic activities. Environ. Poll. 2009, 157, 1636–1642. [Google Scholar] [CrossRef]
- Yan, Q.; Xu, Y.; Yu, Y.; Zhu, Z.W.; Feng, G. Effects of pharmaceuticals on microbial communities and activity of soil enzymes in mesocosm-scale constructed wetlands. Chemosphere 2018, 212, 245–253. [Google Scholar] [CrossRef]
- de Santiago-Martín, A.; Cheviron, N.; Quintana, J.R.; González, C.; Lafuente, A.L.; Mougin, C. Metal contamination disturbs biochemical and microbial properties of calcareous agricultural soils of the Mediterranean area. Archives Environ. Cont. Toxicol. 2013, 64, 388–398. [Google Scholar] [CrossRef]
- Lee, S.H.; Kim, M.S.; Kim, J.G.; Kim, S.O. Use of soil enzymes as indicators for contaminated soil monitoring and sustainable management. Sustainability 2020, 12, 8209. [Google Scholar] [CrossRef]
- Gianfreda, L.; Ruggiero, P. Enzyme activities in soil. In Nucleic Acids and Proteins in Soil; Springer: Berlin/Heidelberg, Germany, 2006; pp. 257–311. [Google Scholar]









| Compound | CAS Number | ATC Code | Molecular Mass (Da) | Charge State at pH 8.7 a | pKa b | logKow b | logDow b |
|---|---|---|---|---|---|---|---|
| Cardiovascular system | |||||||
| Flecainide | 54143-55-4 | C01BC04 | 414.14 | cationic | 13.68 (A); 9.62 (B) | 3.19 | 2.22 |
| Atenolol | 29122-68-7 | C07AB03 | 266.16 | cationic | 14.08 (A); 9.27 (B) | 0.43 | −0.25 |
| Atenololic acid | 56392-14-4 | - | 267.15 | zwitterionic | 3.54 (A); 9.27 (B) | −1.24 | −1.33 |
| Propranolol | 525-66-6 | C07AA05 | 259.16 | cationic | 14.09 (A); 9.27 (B) | 2.58 | 1.91 |
| Enalapril ** | 75847-73-3 | C09AA02 | 376.19 | anionic | 3.88 (A); 5.21 (B) | 0.53 | −1.27 |
| Valsartan | 137862-53-4 | C09CA03 | 435.53 | anionic | 4.41 (A); 3.35 (B) | 5.00 | 0.22 |
| Gemfibrozil | 25812-30-0 | C10AB04 | 250.16 | anionic | 4.42 (A) | 4.39 | 0.93 |
| Anti-infectives for systemic use | |||||||
| Trimethoprim | 738-70-5 | J01EA01 | 290.14 | neutral | 7.16 (A) | 1.28 | 1.27 |
| Sulfamethoxazole | 723-46-6 | J01EC01 | 253.05 | anionic | 5.86 (A); 1.97 (B) | 0.79 | −0.15 |
| N4-acetylsulfamethoxazole | 21312-10-7 | - | 295.06 | anionic | 5.58 (A); 0.38 (B) | 0.86 | −0.08 |
| Clarithromycin * | 81103-11-9 | J01FA09 | 747.48 | cationic | 12.46 (A); 9.00 (B) | 3.24 | 2.76 |
| Lincomycin | 154-21-2 | J01FF02 | 406.21 | neutral | 12.37 (A); 7.97 (B) | −0.32 | −0.39 |
| Metronidazole | 443-48-1 | J01XD01 | 171.06 | neutral | 15.41 (A); 3.03 (B) | −0.46 | −0.46 |
| Musculo-skeletal system | |||||||
| Ibuprofen ** | 15687-27-1 | M01AE01 | 206.13 | anionic | 4.85 (A) | 3.85 | 0.48 |
| Diclofenac * | 15307-86-5 | M01AB05 | 296.02 | anionic | 4.01 (A); −1.08 (B) | 4.26 | 0.76 |
| 4-Hidroxi-diclofenaco | 64118-84-9 | - | 311.01 | anionic | 3.77 (A); 0.41 (B) | 3.95 | 0.09 |
| Nervous system | |||||||
| Codeine | 76-57-3 | N02AJ09 | 299.15 | cationic | 13.78 (A); 8.89 (B) | 1.34 | 0.3989 |
| Metamizole (antipyrine) | 5907-38-0 | N02BB02 | 351.09 | anionic | −1.42 (A); −0.54 (B) | −0.82 | −2.25 |
| 4-Aminoantipyrine (AA) | 83-07-8 | - | 203.11 | neutral | 0.07 (A) | 0.34 | 0.34 |
| 4-Dimethilaminoantipyrine (DAA) | 58-15-1 | - | 231.14 | neutral | 3.66 (B) | 1.15 | 1.15 |
| 4-Formylaminoantipyrine (FAA) | 1672-58-8 | - | 231.10 | neutral | 9.86 (A); 0.18(B) | 0.11 | 0.08 |
| Acetaminophen (paracetamol) ** | 103-90-2 | N02BE01 | 151.06 | neutral | 9.46 (A) | 0.91 | 0.84 |
| 3-Metoxy-acetaminophen | 3251-55-6 | - | 181.07 | neutral | 9.92 (A) | 0.75 | 0.72 |
| Carbamazepine | 298-46-4 | N03AF01 | 236.09 | neutral | 15.96 (A) | 2.77 | 2.77 |
| Carbamazepine epoxide | 36507-30-9 | - | 252.09 | neutral | 15.96 (A) | 1.97 | 1.97 |
| Diazepam | 439-14-5 | N05BA01 | 284.07 | neutral | 13.04 (A); 2.92 (B) | 3.08 | 3.08 |
| Lorazepam ** | 846-49-1 | N05BA06 | 320.01 | neutral | 10.61 (A) | 3.53 | 3.52 |
| Citalopram | 59729-33-8 | N06AB04 | 324.16 | cationic | 10.38 (B) | 3.76 | 2 |
| Venlafaxine | 93413-69-5 | N06AX16 | 277.20 | cationic | 14.42 (A); 9.01 (B) | 2.74 | 2.26 |
| o-Desmethylvenlafaxine | 93413-62-8 | - | 263.18 | cationic | 9.80 (A); 8.90 (B) | 2.19 | 2.06 |
| Nicotine † | 54-11-5 | N07BA01 | 162.11 | neutral | 8.58 (B) | 1.16 | 0.92 |
| Cotinine † | 486-56-6 | - | 176.09 | neutral | 4.79 (B) | 0.21 | 0.21 |
Disclaimer/Publisher’s Note: The statements, opinions and data contained in all publications are solely those of the individual author(s) and contributor(s) and not of MDPI and/or the editor(s). MDPI and/or the editor(s) disclaim responsibility for any injury to people or property resulting from any ideas, methods, instructions or products referred to in the content. |
© 2024 by the authors. Licensee MDPI, Basel, Switzerland. This article is an open access article distributed under the terms and conditions of the Creative Commons Attribution (CC BY) license (https://creativecommons.org/licenses/by/4.0/).
Share and Cite
Ayala Cabana, L.; de Santiago-Martín, A.; Meffe, R.; López-Heras, I.; de Bustamante, I. Pharmaceutical and Trace Metal Interaction within the Water–Soil–Plant Continuum: Implications for Human and Soil Health. Toxics 2024, 12, 457. https://doi.org/10.3390/toxics12070457
Ayala Cabana L, de Santiago-Martín A, Meffe R, López-Heras I, de Bustamante I. Pharmaceutical and Trace Metal Interaction within the Water–Soil–Plant Continuum: Implications for Human and Soil Health. Toxics. 2024; 12(7):457. https://doi.org/10.3390/toxics12070457
Chicago/Turabian StyleAyala Cabana, Lesly, Ana de Santiago-Martín, Raffaella Meffe, Isabel López-Heras, and Irene de Bustamante. 2024. "Pharmaceutical and Trace Metal Interaction within the Water–Soil–Plant Continuum: Implications for Human and Soil Health" Toxics 12, no. 7: 457. https://doi.org/10.3390/toxics12070457
APA StyleAyala Cabana, L., de Santiago-Martín, A., Meffe, R., López-Heras, I., & de Bustamante, I. (2024). Pharmaceutical and Trace Metal Interaction within the Water–Soil–Plant Continuum: Implications for Human and Soil Health. Toxics, 12(7), 457. https://doi.org/10.3390/toxics12070457
