Structural Characterization of Toxicologically Relevant Cd2+-L-Cysteine Complexes
Abstract
1. Introduction
2. Experimental Methods
2.1. Chemicals and Solutions
2.2. Instrumentation
2.3. X-ray Spectroscopy Data Collection
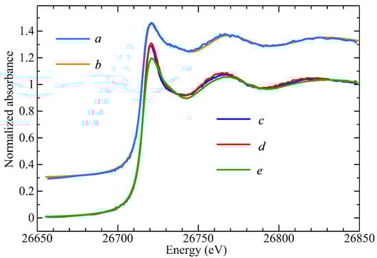
2.4. X-ray Spectroscopy Data Analysis
3. Results and Discussion
4. Conclusions
Author Contributions
Funding
Institutional Review Board Statement
Informed Consent Statement
Data Availability Statement
Conflicts of Interest
References
- Landrigan, P.J.; Fuller, R.; Acosta, N.J.R.; Adeyi, O.; Arnold, R.; Basu, N.; Balde, A.B.; Bertollini, R.; Bose-O’Reilly, S.; Boufford, J.I.; et al. The Lancet commission on pollution and health. Lancet 2018, 391, 462–512. [Google Scholar] [CrossRef] [PubMed]
- Ambrose, J.L.; Gratz, L.E.; Jaffe, D.A.; Campos, T.; Flocke, F.M.; Knapp, D.J.; Stechman, D.M.; Stell, M.; Weinheimer, A.J.; Cantrell, C.A.; et al. Mercury emission ratios from coal-fired power plants in the southeastern United States during NOMADSS. Environ. Sci. Technol. 2015, 49, 10389–10397. [Google Scholar] [CrossRef] [PubMed]
- Coulthard, T.J.; Macklin, M.G. Modeling long-term contamination in river systems from historical metal mining. Geology 2003, 31, 451–454. [Google Scholar] [CrossRef]
- Campbell, P.G.C.; Gailer, J. Effects of Non-essential Metal Releases on the Environment and Human Health. In Metal Sustainability: Global Challenges, Consequences and Prospects; Izatt, R.M., Ed.; John Wiley & Sions Ltd.: Chichester, UK, 2016; pp. 221–252. [Google Scholar]
- Yasuda, H.; Tsutsui, T. Metallomics analysis for early assessment and individualized intervention of neurodevelopmental disorders. Metallomics 2022, 14, mfac067. [Google Scholar] [CrossRef]
- Huff, J.; Lunn, R.M.; Waalkes, M.P.; Tomatis, L.; Infante, P.F. Cadmium-induced cancers in animals and humans. Int. J. Occup. Environ. Health 2007, 13, 202–212. [Google Scholar] [CrossRef] [PubMed]
- Pocsi, I.; Dockrell, M.E.; Price, R.G. Nephrotoxic biomarkers with specific indications for metalllic pollutants: Implications for environmental health. Biomark. Insights 2022, 17, 1–13. [Google Scholar]
- Sebastian, A.; Prasad, M.N.V. Cadmium minimization in rice: A review. Agron. Sustain. Dev. 2014, 34, 155–173. [Google Scholar] [CrossRef]
- Sarpong-Kumankomah, S.; Gibson, M.A.; Gailer, J. Organ damage by toxic metals is critically determined by the bloodstream. Coord. Chem. Rev. 2018, 374, 376–386. [Google Scholar] [CrossRef]
- Bridle, T.G.; Kumarathasan, P.; Gailer, J. Toxic metal species and ‘endogenous’ metalloproteins at the blood-organ interface: Analytical and bioinorganic aspects. Molecules 2021, 26, 3408. [Google Scholar] [CrossRef]
- Gibson, M.A.; Sarpong-Kumankomah, S.; Nehzati, S.; George, G.N.; Gailer, J. Remarkable differences in the biochemical fate of Cd2+, Hg2+, CH3Hg+ and thimerosal in red blood cell lysate. Metallomics 2017, 9, 1060–1072. [Google Scholar] [CrossRef]
- Gerson, R.J.; Shaikh, Z.A. Differences in the uptake of a cadmium and mercury by rat hepatocyte primary cultures: Role of a sulfhydryl carrier. Biochem. Pharmacol. 1984, 33, 199–203. [Google Scholar] [CrossRef] [PubMed]
- Bridle, T.G.; Doroudian, M.; White, W.; Gailer, J. Physiologically relevant hCys concentrations mobilize MeHg from rabbit serum albumin to form MeHg-hCys complexes. Metallomics 2022, 14, mfac010. [Google Scholar] [CrossRef] [PubMed]
- Hill, A.; Gailer, J. Linking molecular targets of Cd in the bloodstream to organ-based adverse health effects. J. Inorg. Biochem. 2021, 216, 111279. [Google Scholar] [CrossRef]
- Bridges, C.C.; Zalups, R.K. Mechanisms involved in the transport of mercuric ions in target tissues. Arch. Toxicol. 2017, 91, 63–81. [Google Scholar] [CrossRef] [PubMed]
- Sagmeister, P.; Gibson, M.A.; McDade, K.H.; Gailer, J. Physiologically relevant plasma D, L-homocysteine concentrations mobilize Cd from human serum albumin. J. Chromatogr. B 2016, 1027, 181–186. [Google Scholar] [CrossRef] [PubMed]
- Isokawa, M.; Kanamori, T.; Funatsu, T.; Tsunoda, M. Analytical methods involving separation techniques for determination of low-molecular weight biothiols in human plasma and blood. J. Chromatogr. B 2014, 964, 103–115. [Google Scholar] [CrossRef] [PubMed]
- Sovago, I.; Narnagy, K. Cadmium(II) complexes of amino acids and peptides. In Cadmium: From Toxicity to Essentiality; Sigel, A.S.H., Sigel, R.K.O., Eds.; Springer Science+Business Media Dordrecht: New York, NY, USA, 2013; Volume 11, pp. 275–302. [Google Scholar]
- Jalilehvand, F.; Leung, B.O.; Mah, V. Cadmium(II) complex formation with cysteine and penicillamine. Inorg. Chem. 2009, 48, 5758–5771. [Google Scholar] [CrossRef] [PubMed]
- Li, Y.-Z.; Ni, J.; Zhang, Z.; Wang, Z.-L. Coordinate chloride and water-assisted assembly of novel 3D-cageworks of cadmium(II) complex with 4-[N,N-bis(2-cyanoethyl)]aminopyridine. Inorg. Chem. Commun. 2005, 8, 1162–1164. [Google Scholar] [CrossRef]
- Castineiras, A.; Garcia, I.; Bermejo, E.; West, D.X. Structures of 2-pyridineformamide thiosemicarbazone and its complexes with cadmium halides. Polyhedron 2000, 19, 1873–1880. [Google Scholar] [CrossRef]
- Holleman, A.F.; Wiberg, E. Das Cadmium. In Lehrbuch der Anorganischen Chemie; Wiberg, E., Ed.; Walter de Gruyter: Berlin, Germany, 1976; p. 829. [Google Scholar]
- Powell, K.J.; Brown, P.L.; Byrne, R.H.; Gajda, T.; Hefter, G.; Leuz, A.-K.; Sjoeberg, S.; Wanner, H. Chemical speciation of environmentally significant metals with inorganic ligands. Part 4: The Cd2+ + OH−, Cl−, CO32−, SO42−, and PO43− systems (IUPAC Technical Report). Pure Appl. Chem. 2011, 83, 1163–1214. [Google Scholar] [CrossRef]
- Cramer, S.P.; Tench, O.; Yocum, M.; George, G.N. A 13-element Ge detector for fluorescence EXAFS. Nucl. Inst. Meth. Phys. Res. B Accel. Detect. Assoc. Equip. 1988, 266, 586–591. [Google Scholar] [CrossRef]
- George, M.J. XAS-collect: A computer program for X-ray absorption spectroscopic data acquisition. J. Synchrotron Rad. 2000, 7, 283–287. [Google Scholar] [CrossRef]
- George, G.N.; Pickering, I.J. EXAFSPAK: A Suite of Computer Programs for Analysis of X-ray Absorption Spectra; Stanford University: Stanford, CA, USA, 1993. [Google Scholar]
- Jahromi, E.Z.; Gailer, J.; Pickering, I.J.; George, G.N. Structural characterization of Cd2+ complexes in solution with DMSA and DMPS. J. Inorg. Biochem. 2014, 136, 99–106. [Google Scholar] [CrossRef] [PubMed]
- Mills, N.L.; Donaldson, K.; Hadoke, P.W.; Boon, N.A.; MacNee, W.; Cassee, F.R.; Sandstroem, T.; Blomberg, A.; Newby, D.E. Adverse cardionvascular effects of air pollution. Nat. Clin. Pract. Card. 2009, 6, 36–44. [Google Scholar] [CrossRef]
- Wu, C.-Y.; Wong, C.-S.; Chung, C.-J.; Wu, M.-Y.; Huang, Y.-L.; Ao, P.-L.; Lin, Y.-F.; Lin, Y.C.; Shiue, H.-S.; Su, C.-T.; et al. The association between plasma selenium and chronic kidney disease related to lead, cadmium and arsenic exposure in a Taiwanese population. J. Haz. Mater. 2019, 375, 224–232. [Google Scholar] [CrossRef] [PubMed]
- Doroudian, M.; Gailer, J. Integrative metallomics studies of toxic metal(loid) substances at the blood plasma-red blood cell-organ/tumor nexus. Inorganics 2022, 10, 200. [Google Scholar] [CrossRef]
- Gomez-Ariza, J.L.; Jahromi, E.Z.; Gonzalez-Fernandez, M.; Garcia-Barrera, T.; Gailer, J. Liquid chromatography-inductively coupled plasma-based metallomic approaches to probe health-relevant interactions between xenobiotics and mammalian organisms. Metallomics 2011, 3, 566–577. [Google Scholar] [CrossRef]
- Gailer, J.; George, G.N.; Pickering, I.J.; Madden, S.; Prince, R.C.; Yu, E.Y.; Denton, M.B.; Younis, H.S.; Aposhian, H.V. Structural basis of the antagonism between inorganic mercury and selenium in mammals. Chem. Res. Toxicol. 2000, 13, 1135–1142. [Google Scholar] [CrossRef]
- Sooriyaarachchi, M.; Gailer, J.; Dolgova, N.V.; Pickering, I.J.; George, G.N. Chemical basis for the detoxification of cisplatin-derived hydrolysis products by sodium thiosulfate. J. Inorg. Biochem. 2016, 162, 96–101. [Google Scholar] [CrossRef]
- Pei, K.L.; Sooriyaarachchi, M.; Sherrell, D.A.; George, G.N.; Gailer, J. Probing the coordination behavior of Hg2+, CH3Hg+, and Cd2+ towards mixtures of two biological thiols by HPLC-ICP-AES. J. Inorg. Biochem. 2011, 105, 375–381. [Google Scholar] [CrossRef]
- Ortega, R.; Carmona, A.; Llorens, I.; Solari, P.L. X-ray absorption spectroscopy of biological samples. A tutorial. J. Anal. At. Spectrom. 2012, 27, 2054–2065. [Google Scholar] [CrossRef]
- Lane, T.W.; Saito, M.A.; George, G.N.; Pickering, I.J.; Prince, R.C.; Morel, F.M.M. A cadmium enzyme from a marine diatom. Nature 2005, 435, 42. [Google Scholar] [CrossRef] [PubMed]
- Remelli, M.; Nurchi, V.M.; Lachowicz, J.I.; Medici, S.; Zoroddu, M.A.; Peana, M. Competition between Cd(II) and other divalent transition metal ions during complex formation with amino acids, peptides, and chelating agents. Coord. Chem. Rev. 2016, 327, 55–69. [Google Scholar] [CrossRef]
- Blazka, M.E.; Shaikh, Z.A. Cadmium and mercury accumulation in rat hepatocytes: Interactions with other metal ions. Toxicol. Appl. Pharmacol. 1992, 113, 118–125. [Google Scholar] [CrossRef] [PubMed]
- Suzuki, K.T.; Sunaga, H.; Kobayashi, E.; Shimojo, N. Mercaptoalbumin as a selective cadmium-binding protein in rat serum. Toxicol. Appl. Pharmacol. 1986, 86, 466–473. [Google Scholar] [CrossRef] [PubMed]
- Stewart, A.J.; Blindauer, C.A.; Berezenko, S.; Sleep, D.; Sadler, P.J. Interdomain zinc site on human albumin. Proc. Natl. Acad. Sci. USA 2003, 100, 3701–3706. [Google Scholar] [CrossRef] [PubMed]
- Zalups, R.K. Evidence for basolateral uptake of cadmium in the kidneys of rats. Toxicol. Appl. Pharmacol. 2000, 164, 15–23. [Google Scholar] [CrossRef] [PubMed]
- Thomas, D.J.; Smith, J.C. Effects of coadministered low-molecular weight thiol compounds on short-term distribution of methylmercury in the rat. Toxicol. Appl. Pharmacol. 1982, 62, 104–110. [Google Scholar] [CrossRef]
- Sigel, A.S.H.; Sigel, R.K.O. Cadmium: From Toxicity to Essentiality; Springer: New York, NY, USA, 2013; Volume 11. [Google Scholar]
- Wang, Y.; Fang, J.; Leonard, S.S.; Rao, K.M.K. Cadmium inhibits the electron transfer chain and induces reactive oxygen species. Free Rad. Biol. Med. 2004, 36, 1434–1443. [Google Scholar] [CrossRef]
- Tinkov, A.A.; Filippini, T.; Ajsuvakova, O.P.; Aaseth, J.; Gluhcheva, Y.G.; Ivanova, J.M.; Bjorklund, G.; Skalnaya, M.G.; Gatiatulina, E.R.; Popova, E.V.; et al. The role of cadmium in obesity and diabetes. Sci. Total Environ. 2017, 601, 741–755. [Google Scholar] [CrossRef]
- Landrigan, P.J.; Sly, J.L.; Ruchirawat, M.; Silva, E.R.; Huo, X.; Diaz-Barriga, F.; Zar, H.J.; King, M.; Ha, E.H.; Asante, K.A.; et al. Health consequences of environmental exposures: Changing global patterns of exposure and disease. Ann. Global Health 2016, 82, 10–19. [Google Scholar] [CrossRef] [PubMed]
- Rossignol, D.A.; Genius, S.J.; Frye, R.E. Environmental toxicants and autism spetrum disorders: A systematic review. Transl. Psychiatry 2014, 4, e360. [Google Scholar] [CrossRef] [PubMed]
- Cooper, G.S.; Miller, F.W.; Germolec, D.R. Occupational exposure and autoimmune diseases. Intern. Immunopharmacol. 2002, 2, 303–313. [Google Scholar] [CrossRef]
- Greenberg, M.I.; Vearrier, D. Metal fume fever and polymer fume fever. Clin. Toxicol. 2015, 53, 195–203. [Google Scholar] [CrossRef] [PubMed]
- Sarpong-Kumankomah, S.; Knox, K.B.; Kelly, M.E.; Hunter, G.; Popescu, B.; Nichol, H.; Kopciuk, K.; Ntanda, H.; Gailer, J. Quantification of human plasma metalloproteins in multiple sclerosis, ischemic stroke and health controls reveals an association of haptoglobin-hemoglobin complexes with age. PLoS ONE 2022, 17, e0262160. [Google Scholar] [CrossRef] [PubMed]



| [Cys] in Mobile Phase (mM) | Retention Time (s) + | Cd Recovery (%) |
|---|---|---|
| 0 | 239 ± 0 | 100 |
| 0.1 | 272 ± 1 * 418 ± 24 1136 ± 47 | 87 ± 2 |
| 0.2 | 263 ± 2 * 373 ± 8 1210 ± 72 | 89 ± 8 |
| 0.3 | 248 ± 2 * 327 ± 2 1216 ± 8 | 95 ± 3 |
| 0.4 | 269 ± 4 * 460 ± 27 1247 ± 3 | 94 ± 18 |
| 0.5 | 1057 ± 7 * 565 ± 7 437 ± 4 | 107 ± 6 |
| 1 | 1035 ± 12 1162 ± 8 * | 101 ± 3 |
| 2 | 949 ± 19 | 97 ± 3 |
| 5 | 659 ± 2 | 100 ± 3 |
| 10 | 428 ± 9 492 ± 4 * | 96 ± 3 |
| Samples | Bond | N | R (Å) | σ2 (Å2) | ΔE0 (eV) |
|---|---|---|---|---|---|
| Cd-0.1 mM Cys | Cd-S/Cl Cd-O | 1.5 2.5 | 2.556 2.334(6) | 0.0024(8) 0.0045(12) | −11.17 |
| Cd-0.2 mM Cys | Cd-S | 2 | 2.547(5) | 0.0034(16) | −11.17 |
| Cd-O | 2 | 2.333 | 0.0077(48) | ||
| Standard compounds reported previously [27] | |||||
| DMPS:Cd (molar ratio 1:0.5) | Cd-S | 0.9 | 2.556(15) | ||
| Cd-O | 3.1 | 2.334(13) | |||
| DMSA:Cd (molar ratio 1:1) | Cd-S | 1.8 | 2.553(7) | ||
| Cd-O | 2.2 | 2.339(17) | |||
| Fragment | n [a] | Bond | Distance [b] | Fragment | n [a] | Bond | Distance [b] |
|---|---|---|---|---|---|---|---|
| CdO6 | 597 | Cd-O | 2.287(68) | CdO2S4 | 14 | Cd-O Cd-S | 2.458(123) 2.651(45) |
| CdS6 | 36 | Cd-S | 2.708(60) | CdO4S2 | 44 | Cd-O Cd-S | 2.330(77) 2.631(58) |
| CdO3S3 | 19 | Cd-O Cd-S | 2.517(101) 2.568(35) | CdO5S1 | 2 | Cd-O Cd-S | 2.304(43) 2.593(26) |
| CdO5 | 28 | Cd-O | 2.272(84) | CdS5 | 104 | Cd-S | 2.635(87) |
| CdO2S3 | 23 | Cd-O Cd-S | 2.407(103) 2.555(50) | CdS3 | 10 | Cd-S | 2.476(43) |
| CdOS4 | 8 | Cd-O Cd-S | 2.402(31) 2.615(88) | CdO3S2 | 10 | Cd-O Cd-S | 2.319(77) 2.535(38) |
| CdO4 | 29 | Cd-O | 2.180(68) | CdS4 | 554 | Cd-S | 2.538(32) |
| CdOS3 | 20 | Cd-O Cd-S | 2.285(55) 2.507(24) | CdO2S2 | 11 | Cd-O Cd-S | 2.183(46) 2.572(85) |
| ClCdX3 (any) | 888 | Cd-Cl | 2.459(45) |
Disclaimer/Publisher’s Note: The statements, opinions and data contained in all publications are solely those of the individual author(s) and contributor(s) and not of MDPI and/or the editor(s). MDPI and/or the editor(s) disclaim responsibility for any injury to people or property resulting from any ideas, methods, instructions or products referred to in the content. |
© 2023 by the authors. Licensee MDPI, Basel, Switzerland. This article is an open access article distributed under the terms and conditions of the Creative Commons Attribution (CC BY) license (https://creativecommons.org/licenses/by/4.0/).
Share and Cite
Gautam, A.; Gomez, A.; Mendoza Rengifo, E.; George, G.N.; Pickering, I.J.; Gailer, J. Structural Characterization of Toxicologically Relevant Cd2+-L-Cysteine Complexes. Toxics 2023, 11, 294. https://doi.org/10.3390/toxics11040294
Gautam A, Gomez A, Mendoza Rengifo E, George GN, Pickering IJ, Gailer J. Structural Characterization of Toxicologically Relevant Cd2+-L-Cysteine Complexes. Toxics. 2023; 11(4):294. https://doi.org/10.3390/toxics11040294
Chicago/Turabian StyleGautam, Astha, Amanda Gomez, Emérita Mendoza Rengifo, Graham N. George, Ingrid J. Pickering, and Jürgen Gailer. 2023. "Structural Characterization of Toxicologically Relevant Cd2+-L-Cysteine Complexes" Toxics 11, no. 4: 294. https://doi.org/10.3390/toxics11040294
APA StyleGautam, A., Gomez, A., Mendoza Rengifo, E., George, G. N., Pickering, I. J., & Gailer, J. (2023). Structural Characterization of Toxicologically Relevant Cd2+-L-Cysteine Complexes. Toxics, 11(4), 294. https://doi.org/10.3390/toxics11040294

