Face Mask: As a Source or Protector of Human Exposure to Microplastics and Phthalate Plasticizers?
Abstract
1. Introduction
2. Materials and Methods
2.1. Chemicals and Reagents
2.2. Facemask Collection
2.3. Experimental Approach
2.4. PAEs Measurements
2.5. Microplastic Detection
2.6. PAEs Exposure Assessment
2.7. Quality Assurance and Quality Control
2.8. Statistical Analysis
3. Results and Discussion
3.1. PAEs Residue Levels in Face Masks
3.2. Microplastic Quantity in Inhalation Measurements
3.3. Microplastic Release Characteristics
3.4. PAEs on GFFs and Associations with Microplastics
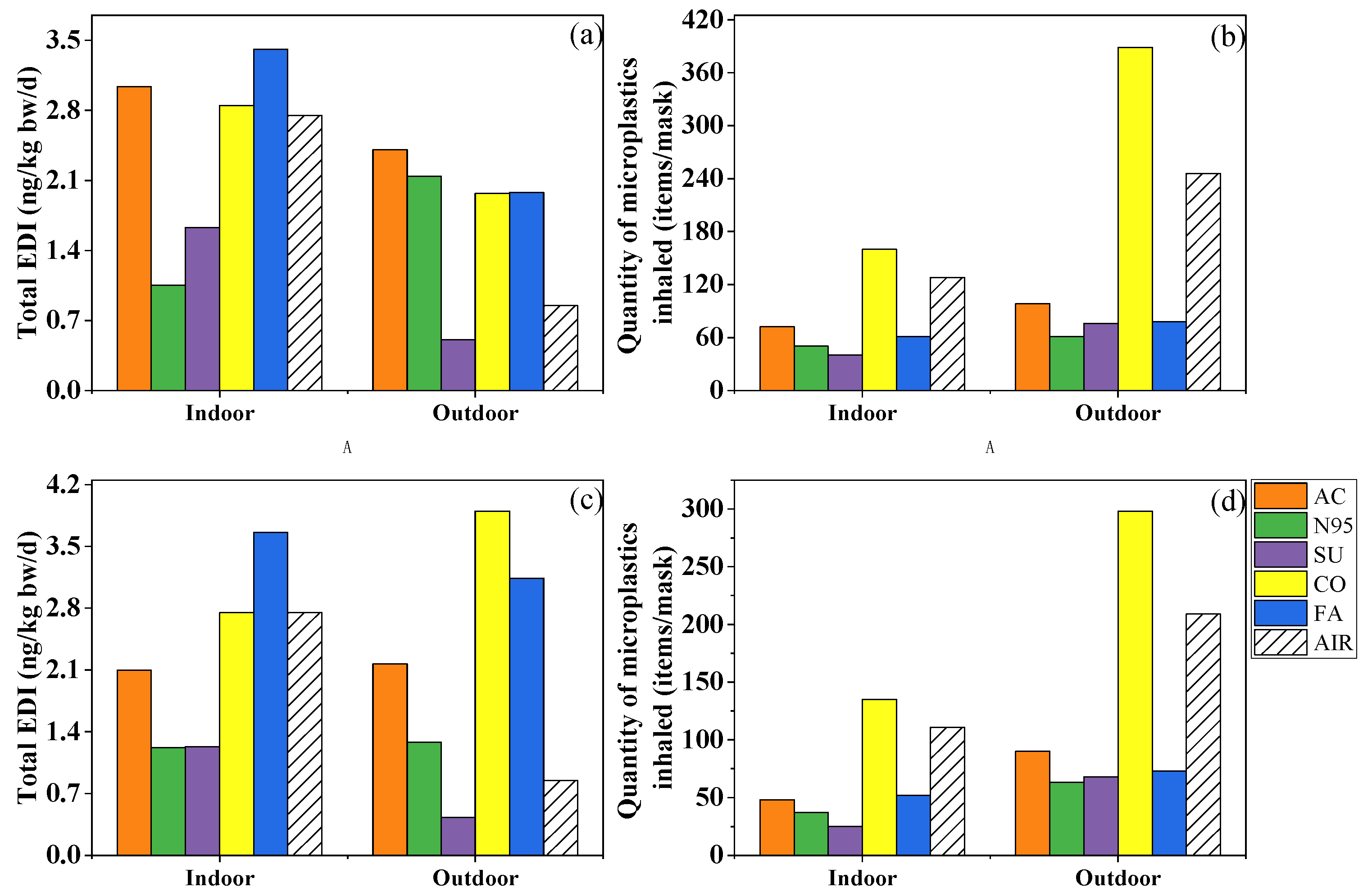
3.5. Exposure Estimation
4. Conclusions
Supplementary Materials
Author Contributions
Funding
Institutional Review Board Statement
Informed Consent Statement
Data Availability Statement
Acknowledgments
Conflicts of Interest
References
- WHO. Coronavirus Disease (COVID-19) Situation Dashboard; World Health Organization: Geneva, Switzerland; Available online: https://covid19.who.int/ (accessed on 6 May 2022).
- Zhang, R.Y.; Li, Y.X.; Zhang, A.L.; Wang, Y.; Molina, M.J. Identifying airborne transmission as the dominant route for the spread of COVID-19. Proc. Natl. Acad. Sci. USA 2020, 117, 14857–14863. [Google Scholar] [CrossRef] [PubMed]
- WHO. Rational Use of Personal Protective Equipment for Coronavirus Disease (COVID-19) and Considerations during, Severe Shortages. Available online: https://www.who.int/emergencies/diseases/novel-coronavirus-2019/advice-for-public (accessed on 6 May 2022).
- Chu, D.K.; Akl, E.A.; Duda, S.; Solo, K.; Yaacoub, S.; Schunemann, H.J. Covid-Systematic Urgent Review: Physical distancing, face masks, and eye protection to prevent person-to-person transmission of SARS-CoV-2 and COVID-19: A systematic review and meta-analysis. Lancet 2020, 395, 1973–1987. [Google Scholar] [CrossRef]
- Prata, J.C.; Silva, A.L.P.; Walker, T.R.; Duarte, A.C.; Rocha-Santos, T. COVID-19 Pandemic Repercussions on the Use and Management of Plastics. Environ. Sci. Technol. 2020, 54, 7760–7765. [Google Scholar] [CrossRef] [PubMed]
- Cheng, Y.F.; Ma, N.; Witt, C.; Rapp, S.; Wild, P.S.; Andreae, M.O.; Poschl, U.; Su, H. Face masks effectively limit the probability of SARS-CoV-2 transmission. Science 2021, 372, 1439–1443. [Google Scholar] [CrossRef] [PubMed]
- Potluri, P.; Needham, P. 6—Technical textiles for protection. In Textiles for Protection; Scott, R.A., Ed.; Woodhead Publishing: Sawston, UK, 2005; pp. 151–175. [Google Scholar]
- Benjamin, S.; Pradeep, S.; Sarath Josh, M.; Kumar, S.; Masai, E. A monograph on the remediation of hazardous phthalates. J. Hazard. Mater. 2015, 298, 58–72. [Google Scholar] [CrossRef]
- Xie, H.J.; Han, W.J.; Xie, Q.; Xu, T.; Zhu, M.H.; Chen, J.W. Face mask-A potential source of phthalate exposure for human. J. Hazard. Mater. 2022, 422, 126848. [Google Scholar] [CrossRef]
- Fadare, O.O.; Okoffo, E.D. COVID-19 face masks: A potential source of microplastic fibers in the environment. Sci. Total Environ. 2020, 737, 140279. [Google Scholar] [CrossRef]
- Akhbarizadeh, R.; Dobaradaran, S.; Nabipour, I.; Tangestani, M.; Abedi, D.; Javanfekr, F.; Jeddi, F.; Zendehboodi, A. Abandoned COVID-19 personal protective equipment along the Bushehr shores, the Persian Gulf: An emerging source of secondary microplastics in coastlines. Mar. Pollut. Bull. 2021, 168, 112386. [Google Scholar] [CrossRef]
- Prata, J.C. Airborne microplastics: Consequences to human health? Environ. Pollut. 2018, 234, 115–126. [Google Scholar] [CrossRef]
- Dong, C.-D.; Chen, C.-W.; Chen, Y.-C.; Chen, H.-H.; Lee, J.-S.; Lin, C.-H. Polystyrene microplastic particles: In vitro pulmonary toxicity assessment. J. Hazard. Mater. 2020, 385, 121575. [Google Scholar] [CrossRef]
- Upson, K.; Sathyanarayana, S.; De Roos, A.J.; Thompson, M.L.; Scholes, D.; Dills, R.; Holt, V.L. Phthalates and risk of endometriosis. Environ. Res. 2013, 126, 91–97. [Google Scholar] [CrossRef] [PubMed]
- Braun, J.M.; Sathyanarayana, S.; Hauser, R. Phthalate exposure and children’s health. Curr. Opin. Pediatr. 2013, 25, 247–254. [Google Scholar] [CrossRef] [PubMed]
- Trasande, L.; Sathyanarayana, S.; Spanier, A.J.; Trachtman, H.; Attina, T.M.; Urbina, E.M. Urinary Phthalates are Associated with Higher Blood Pressure in Childhood. J. Pediatr. 2013, 163, 747–753. [Google Scholar] [CrossRef] [PubMed]
- Buser, M.C.; Murray, H.E.; Scinicariello, F. Age and sex differences in childhood and adulthood obesity association with phthalates: Analyses of NHANES 2007–2010. Int. J. Hydrog. Environ. Health 2014, 217, 687–694. [Google Scholar] [CrossRef]
- Li, L.; Zhao, X.L.; Li, Z.Y.; Song, K. COVID-19: Performance study of microplastic inhalation risk posed by wearing masks. J. Hazard. Mater. 2021, 411, 124955. [Google Scholar]
- Vimalkumar, K.; Zhu, H.K.; Kannan, K. Widespread occurrence of phthalate and non-phthalate plasticizers in single-use facemasks collected in the United States. Environ. Int. 2022, 158, 106967. [Google Scholar] [CrossRef]
- Wang, X.Y.; Okoffo, E.D.; Banks, A.P.W.; Li, Y.; Thomas, K.V.; Rauert, C.; Aylward, L.L.; Mueller, J.F. Phthalate esters in face masks and associated inhalation exposure risk. J. Hazard. Mater. 2022, 423, 127001. [Google Scholar] [CrossRef]
- Liu, K.; Wang, X.H.; Fang, T.; Xu, P.; Zhu, L.X.; Li, D.J. Source and potential risk assessment of suspended atmospheric microplastics in Shanghai. Sci. Total Environ. 2019, 675, 462–471. [Google Scholar] [CrossRef]
- Zhang, L.B.; Wang, F.M.; Ji, Y.Q.; Jiao, J.; Zou, D.K.; Liu, L.L.; Shan, C.Y.; Bai, Z.P.; Sun, Z.R. Phthalate esters (PAEs) in indoor PM10/PM2.5 and human exposure to PAEs via inhalation of indoor air in Tianjin, China. Atmos. Environ. 2014, 85, 139–146. [Google Scholar] [CrossRef]
- Garcia, G.J.M.; Schroeter, J.D.; Kimbell, J.S. Olfactory deposition of inhaled nanoparticles in humans. Inhal. Toxicol. 2015, 27, 394–403. [Google Scholar] [CrossRef]
- Cheng, Z.P.; Yao, Y.M.; Sun, H.W. Comparative uptake, translocation and subcellular distribution of phthalate esters and their primary monoester metabolites in Chinese cabbage (Brassica rapa var. chinensis). Sci. Total Environ. 2020, 742, 140550. [Google Scholar] [CrossRef] [PubMed]
- Tang, Z.W.; Chai, M.; Wang, Y.W.; Cheng, J.L. Phthalates in preschool children’s clothing manufactured in seven Asian countries: Occurrence, profiles and potential health risks. J. Hazard. Mater. 2020, 387, 121681. [Google Scholar] [CrossRef] [PubMed]
- Lessard, M.R.; Guerot, E.; Lorino, H.; Lemaire, F.; Brochard, L. Effects of pressure-controlled with different I:E ratios versus volume-controlled ventilation on respiratory mechanics, gas exchange, and hemodynamics in patients with adult respiratory distress syndrome. Anesthesiology 1994, 80, 983–991. [Google Scholar] [CrossRef] [PubMed]
- Wang, L.X.; Zhao, B.; Liu, C.; Lin, H.; Zhang, Y.P. Analysis on exposure of indoor phthalic acid esters. Build. Sci. 2010, 26, 73–80. [Google Scholar]
- Ministry of Environmental Protection. Exposure Factors Handbook of Chinese Population (Adults); China Environmental Press: Beijing, China, 2013; p. 748.
- Liu, R.Z.; Mabury, S.A. Single-Use Face Masks as a Potential Source of Synthetic Antioxidants to the Environment. Environ. Sci. Technol. Lett. 2021, 8, 651–655. [Google Scholar] [CrossRef]
- Balazy, A.; Toivola, M.; Reponen, T.; Podgo, R.A.; Zimmer, A.; Grinshpun, S.A. Manikin-based performance evaluation of N95 filtering-facepiece respirators challenged with nanoparticles. Ann. Occup. Hydrog. 2006, 50, 259–269. [Google Scholar]
- Saini, A.; Okeme, J.O.; Mark Parnis, J.; McQueen, R.H.; Diamond, M.L. From air to clothing: Characterizing the accumulation of semi-volatile organic compounds to fabrics in indoor environments. Indoor Air 2017, 27, 631–641. [Google Scholar] [CrossRef]
- Gao, C.J.; Kannan, K. Phthalates, bisphenols, parabens, and triclocarban in feminine hygiene products from the United States and their implications for human exposure. Environ. Int. 2020, 136, 105465. [Google Scholar] [CrossRef]
- Li, H.L.; Ma, W.L.; Liu, L.Y.; Zhang, Z.; Sverko, E.; Zhang, Z.F.; Song, W.W.; Sun, Y.; Li, Y.F. Phthalates in infant cotton clothing: Occurrence and implications for human exposure. Sci. Total Environ. 2019, 683, 109–115. [Google Scholar] [CrossRef]
- Arribas, F.J.; Moreno, T.; Bartroli, R.; Eljarrat, E. COVID-19 face masks: A new source of human and environmental exposure to organophosphate esters. Environ. Int. 2021, 154, 106654. [Google Scholar] [CrossRef]
- Cao, X.L. Phthalate Esters in Foods: Sources, Occurrence, and Analytical Methods. Compr. Rev. Food Sci. Food Saf. 2010, 9, 21–43. [Google Scholar] [CrossRef] [PubMed]
- Tan, M.; Wang, Y.; Luo, L.; Hu, J. How the public used face masks in China during the coronavirus disease pandemic: A survey study. Int. J. Nurs. Stud. 2021, 115, 103853. [Google Scholar] [CrossRef] [PubMed]
- Dris, R.; Gasperi, J.; Mirande, C.; Mandin, C.; Guerrouache, M.; Langlois, V.; Tassin, B. A first overview of textile fibers, including microplastics, in indoor and outdoor environments. Environ. Pollut. 2017, 221, 453–458. [Google Scholar] [CrossRef] [PubMed]
- De Felice, B.; Antenucci, S.; Ortenzi, M.A.; Parolini, M. Laundering of face masks represents an additional source of synthetic and natural microfibers to aquatic ecosystems. Sci. Total Environ. 2022, 806, 150495. [Google Scholar] [CrossRef]
- Zambrano, M.C.; Pawlak, J.J.; Daystar, J.; Ankeny, M.; Cheng, J.J.; Venditti, R.A. Microfibers generated from the laundering of cotton, rayon and polyester based fabrics and their aquatic biodegradation. Mar. Pollut. Bull. 2019, 142, 394–407. [Google Scholar] [CrossRef]
- Liang, H.; Ji, Y.; Ge, W.; Wu, J.; Song, N.N.; Yin, Z.D.; Chai, C. Release kinetics of microplastics from disposable face masks into the aqueous environment. Sci. Total Environ. 2022, 816, 151650. [Google Scholar] [CrossRef]
- Mallakpour, S.; Hatami, M. Fabrication and characterization of pH-sensitive bio-nanocomposite beads havening folic acid intercalated LDH and chitosan: Drug release and mechanism evaluation. Int. J. Biol. Macromol. 2019, 122, 157–167. [Google Scholar] [CrossRef]
- Arzhang, F.G.; Hasan, T.; Karim, S. Kinetics of arsenic release from naturally contaminated soils at half saturation moisture by various extractants. Environ. Res. 2021, 194, 110658. [Google Scholar]
- Wu, P.F.; Li, J.P.; Lu, X.; Tang, Y.Y.; Cai, Z.W. Release of tens of thousands of microfibers from discarded face masks under simulated environmental conditions. Sci. Total Environ. 2022, 806, 150458. [Google Scholar] [CrossRef]
- Wang, X.; Tao, W.; Xu, Y.; Feng, J.; Wang, F. Indoor phthalate concentration and exposure in residential and office buildings in Xi’an, China. Atmos. Environ. 2014, 87, 146–152. [Google Scholar] [CrossRef]
- Net, S.; Sempere, R.; Delmont, A.; Paluselli, A.; Ouddane, B. Occurrence, Fate, Behavior and Ecotoxicological State of Phthalates in Different Environmental Matrices. Environ. Sci. Technol. 2015, 49, 4019–4035. [Google Scholar] [CrossRef] [PubMed]
- Prüst, M.; Meijer, J.; Westerink, R.H.S. The plastic brain: Neurotoxicity of micro- and nanoplastics. Part Fibre Toxicol. 2020, 17, 24. [Google Scholar] [CrossRef]
- Wang, Y.; Zhu, H.K.; Kannan, K. A Review of Biomonitoring of Phthalate Exposures. Toxics 2019, 7, 21. [Google Scholar] [CrossRef] [PubMed]
- Tran, T.M.; Kannan, K. Occurrence of phthalate diesters in particulate and vapor phases in indoor air and implications for human exposure in Albany, New York, USA. Arch. Environ. Contam. Toxicol. 2015, 68, 489–499. [Google Scholar] [CrossRef] [PubMed]
- USEPA. Human Health Noncarcinogen Fact Sheet for Di(2-ethylhexyl) Phthalate: (Human Health Noncarcinogen—Fish Ingestion Only); Indiana Department of Environmental Management: Indianapolis, IN, USA. Available online: https://www.epa.gov/gliclearinghouse/human-health-noncarcinogen-fact-sheet-di2-ethylhexyl-phthalate-human-health (accessed on 18 November 2022).
- USEPA. Human Health Noncarcinogen Fact Sheet for Dibutyl phthalate: (Human Health Noncarcinogen—Fish Ingestion Only); Indiana Department of Environmental Management: Indianapolis, IN, USA. Available online: https://www.epa.gov/gliclearinghouse/human-health-noncarcinogen-fact-sheet-dibutyl-phthalate-human-health-noncarcinogen (accessed on 18 November 2022).
- USEPA. Human Health Fact Sheet for Diethyl phthalate: (Human Health—Fish Ingestion Only); Ohio Environmental Protection Agency: Chicago, IL, USA. Available online: https://www.epa.gov/gliclearinghouse/human-health-fact-sheet-diethyl-phthalate-human-health-fish-ingestion-only-ohio (accessed on 18 November 2022).
- USEPA. Human Health—Water Ingestion Only Fact Sheet for Butyl Benzyl Phthalate: (Human Health—Water Ingestion Only); New York State Department of Environmental Conservation: Albany, NY, USA. Available online: https://www.epa.gov/gliclearinghouse/human-health-water-ingestion-only-fact-sheet-butyl-benzyl-phthalate-human-health (accessed on 18 November 2022).
- Wang, J.; Chen, G.; Christie, P.; Zhang, M.; Luo, Y.; Teng, Y. Occurrence and risk assessment of phthalate esters (PAEs) in vegetables and soils of suburban plastic film greenhouses. Sci. Total Environ. 2015, 523, 129–137. [Google Scholar] [CrossRef] [PubMed]
- Jenner, L.C.; Rotchell, J.M.; Bennett, R.T.; Cowen, M.; Tentzeris, V.; Sadofsky, L.R. Detection of microplastics in human lung tissue using μFTIR spectroscopy. Sci. Total Environ. 2022, 831, 154907. [Google Scholar] [CrossRef]
- Ma, J.; Chen, F.Y.; Xu, H.; Jiang, H.; Liu, J.L.; Li, P.; Chen, C.C.; Pan, K. Face masks as a source of nanoplastics and microplastics in the environment: Quantification, characterization, and potential for bioaccumulation. Environ. Pollut. 2021, 288, 117748. [Google Scholar] [CrossRef]






| Compounds 1 | DFs (%) | Mean | Median | Minimum | Maximum |
|---|---|---|---|---|---|
| DMP | 18 | 558 | <LOD | <LOD | 6093 |
| DEP | 27 | 502 | <LOD | <LOD | 2189 |
| DIBP | 45 | 805 | <LOD | <LOD | 7982 |
| DNBP | 100 | 264 | 294 | 85.5 | 418 |
| BBZP | 18 | 51.2 | <LOD | <LOD | 419 |
| DEHP | 100 | 6804 | 316 | 63.5 | 69,496 |
| ∑7PAEs | 100 | 8986 | 1401 | 296 | 72,049 |
Disclaimer/Publisher’s Note: The statements, opinions and data contained in all publications are solely those of the individual author(s) and contributor(s) and not of MDPI and/or the editor(s). MDPI and/or the editor(s) disclaim responsibility for any injury to people or property resulting from any ideas, methods, instructions or products referred to in the content. |
© 2023 by the authors. Licensee MDPI, Basel, Switzerland. This article is an open access article distributed under the terms and conditions of the Creative Commons Attribution (CC BY) license (https://creativecommons.org/licenses/by/4.0/).
Share and Cite
Cao, J.; Shi, Y.; Yan, M.; Zhu, H.; Chen, S.; Xu, K.; Wang, L.; Sun, H. Face Mask: As a Source or Protector of Human Exposure to Microplastics and Phthalate Plasticizers? Toxics 2023, 11, 87. https://doi.org/10.3390/toxics11020087
Cao J, Shi Y, Yan M, Zhu H, Chen S, Xu K, Wang L, Sun H. Face Mask: As a Source or Protector of Human Exposure to Microplastics and Phthalate Plasticizers? Toxics. 2023; 11(2):87. https://doi.org/10.3390/toxics11020087
Chicago/Turabian StyleCao, Jiong, Yumeng Shi, Mengqi Yan, Hongkai Zhu, Shucong Chen, Ke Xu, Lei Wang, and Hongwen Sun. 2023. "Face Mask: As a Source or Protector of Human Exposure to Microplastics and Phthalate Plasticizers?" Toxics 11, no. 2: 87. https://doi.org/10.3390/toxics11020087
APA StyleCao, J., Shi, Y., Yan, M., Zhu, H., Chen, S., Xu, K., Wang, L., & Sun, H. (2023). Face Mask: As a Source or Protector of Human Exposure to Microplastics and Phthalate Plasticizers? Toxics, 11(2), 87. https://doi.org/10.3390/toxics11020087

