The Developmental Toxicity and Endocrine-Disrupting Effects of Fenpropathrin on Gobiocypris rarus during the Early Life Stage
Abstract
:1. Introduction
2. Materials and Methods
2.1. Chemicals
2.2. Subject Materials
2.3. Exposure Experiment
2.3.1. Test Solution Preparation
2.3.2. Fish Early Life Stage Toxicity Test
2.4. Fluorescence Quantitative PCR Experimental Method
2.5. Data Processing
3. Results and Analyses
3.1. Effects of Fenpropapathrin on Embryo Hatchability of Gobiocypris rarus
3.2. Effects of Fenpropapathrin on the Rate of Deformability in the Early Life Stages of Gobiocypris rarus
3.3. Effects of Fenpropapathrin on Early Life Stage Mortality in Gobiocypris rarus
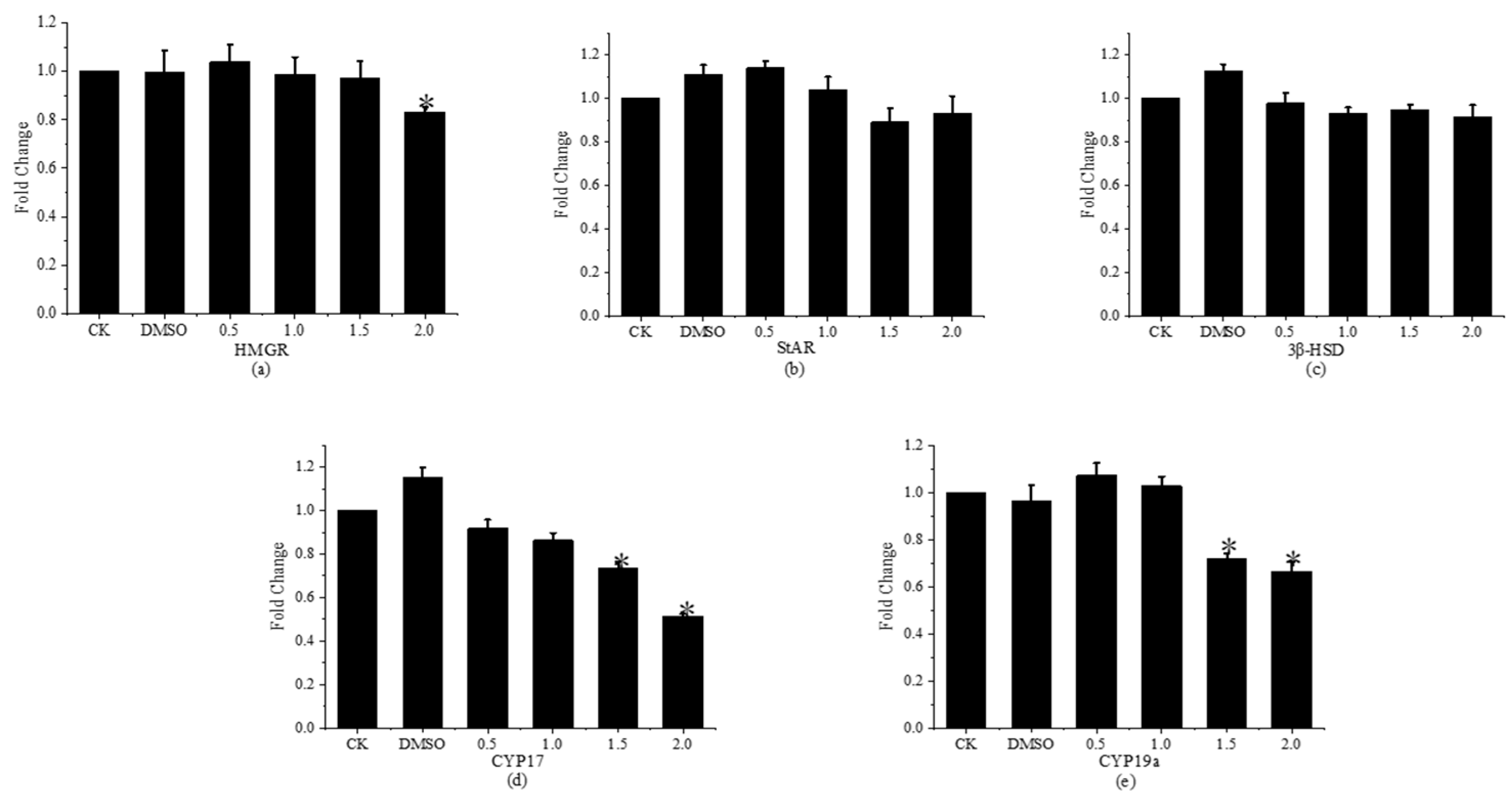
3.4. Effects of Fenpropapathrin on the Expression of Sex Hormone Receptor Genes and Synthesis-Related Genes in Gobiocypris rarus
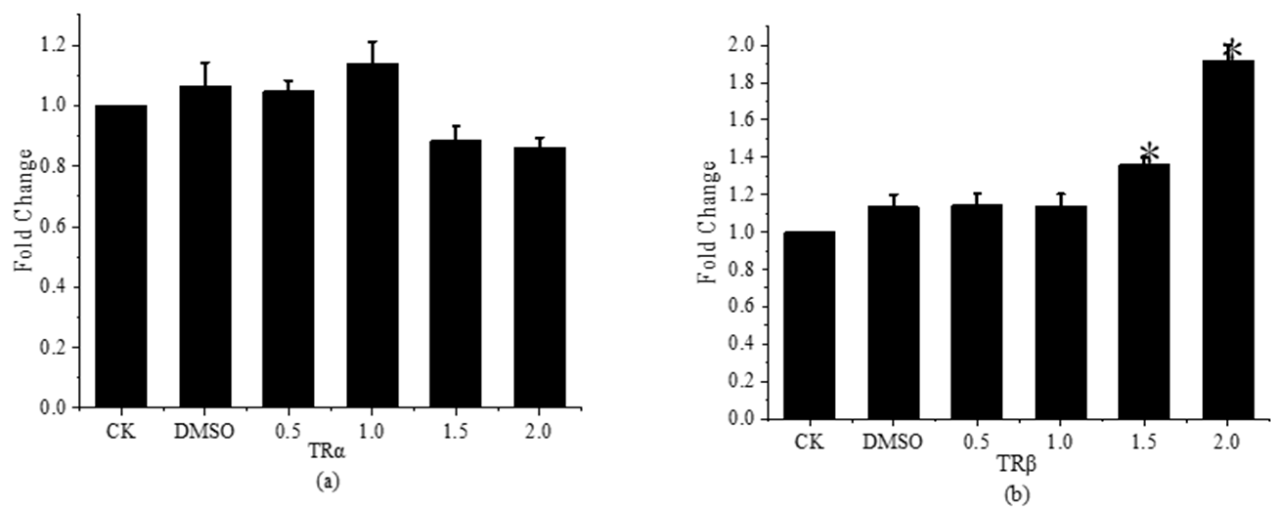
3.5. Effects of Fenpropapathrin on Thyroid Hormone Receptor Gene Expression in Gobiocypris rarus
3.6. Effects of Fenpropapathrin on Gene Expression of Aromatic Hydrocarbon Receptors in Gobiocypris rarus
4. Discussion
5. Conclusions
Author Contributions
Funding
Institutional Review Board Statement
Informed Consent Statement
Data Availability Statement
Conflicts of Interest
References
- Xiao, S.T.; Shoaib, A.; Xu, J.; Lin, D. Mesoporous silica size, charge, and hydrophobicity affect the loading and releasing performance of lambda-cyhalothrin. Sci. Total Environ. 2022, 831, 154914. [Google Scholar] [CrossRef] [PubMed]
- Zhu, Y.Z.; Luo, L.; Gulinuer, S.M.L.; Yan, S. Uncertainty evaluation for the determination of fenpropathrin and γ-BHC in juice by gas chromatography. J. Food Saf. Qual. 2021, 12, 1805–1811. [Google Scholar]
- Yuan, Z.C. Analysis on the influence of pyrethroid pesticides on water ecology. Fish. Guide Be Rich 2015. [Google Scholar]
- Han, Y.Z.; Zhu, G.N.; Liao, X.L.; Lu, X.L.; Jin, S.Q. Review on toxicity of pyrethroid pesticides. World Pestic. 2008, 30, 34–35. [Google Scholar]
- Weston, D.P.; Lydy, R.J. Urban and agricultural sources of pyrethroid in secticides to the Sacramento-San Joaquin Delta of California. Environ. Sci. Technol. 2010, 44, 1833–1840. [Google Scholar] [CrossRef] [PubMed]
- Vryzas, Z.; Alexoudis, C.; Vassiliou, G.; Galanis, K.; Papadopoulou-Mourkidou, E. Determination and aquatic risk assessment of pesticide residues in riparian drainage canals in northeastern Greece. Ecotoxicol. Environ. Saf. 2011, 74, 174–181. [Google Scholar] [CrossRef]
- Feo, M.L.; Ginebreda, A.; Eljarrat, E.; Barceló, D. Presence of pyrethroid pesticides in water and sediments of Ebro River Delta. J. Hydrol. 2010, 393, 156–162. [Google Scholar] [CrossRef]
- Huang, Q.T. Simultaneously Determination Method for 36 Pesticides in Aquatic Environment and Its Application. Master’s Thesis, Xiamen University, Xiamen, China, 2008. [Google Scholar]
- Xue, N.D.; Xu, X.B.; Jin, Z.L. Screening 31 endocrine-disrupting pesticides in water and surface sediment samples from Beijing Guanting reservoir. Chemosphere 2005, 61, 1594–1606. [Google Scholar] [CrossRef]
- He, Q.B.; Yin, F.; Yang, Q.; Yu, L.S.; Cao, H.Q. Indoor toxicity and safety evaluation of pyrethroid pesticides on honeybee larvae: Study of multi-media residues and environmental behavior. In Proceedings of the Conference (2021 China (Guangxi Wuzhou) Apiculture Expo and National Bee Products Market Information Exchange Meeting); Anhui Agricultural University: Hefei, China, 2021. [Google Scholar]
- Wen, X.L.; Ma, C.S.; Sun, M.H.; Wang, Y.; Xue, X.; Chen, J.; Song, W.; Li-Byarlay, H.; Luo, S. Pesticide residues in the pollen and nectar of oilseed rape (Brassica napus L.) and their potential risks to honey bees. Sci. Total Environ. 2021, 786, 147443. [Google Scholar] [CrossRef]
- Zhang, J.J. The Toxic Effects of Fenpropathrin on Loach (Misgurnus anguillicadatus). Master’s Thesis, Yanan University, ShanXi, China, 2018. [Google Scholar]
- Zhao, L.N. Residue and Risk Assessment of 7 Kinds of Pyrethroids in Water Environment in the Pearl River Delta. Master’s Thesis, Shanghai Ocean University, Shanghai, China, 2014. [Google Scholar]
- Meng, L.X.; Zhang, W.H.; Pan, J. Evaluation of acute toxicity and safety of cypermethrin and deltamethrin in Qiandongnan field fish (Cyprinus cyprinus). Anhui Agric. Sci. 2011, 39, 10301–10302. [Google Scholar] [CrossRef]
- Sun, C.; Miao, J.J.; Li, L.; Pan, L.Q. Acute toxicity and species sensitivity distribution of three synthetic pyrethroid insecti-cides on Sea pharca subcrenata. Period. Ocean. Univ. China 2021, 51, 133–140. [Google Scholar]
- Padilla, S.; Corum, D.; Padnos, B.; Hunter, D.L.; Beam, A.; Houck, K.A.; Sipes, N.; Kleinstreuer, N.; Knudsen, T.; Dix, D.J.; et al. Zebrafish developmental screening of the ToxCastTM Phase I chemical library. Reprod. Toxicol. 2012, 33, 174–187. [Google Scholar] [CrossRef] [PubMed]
- Li, L.; Liu, P.; Ye, L.; Zhu, Y.; Shi, T.; Yu, L. Effects of fenpropathrin on the survival, physiology and gut microbiota of the honeybee (Apis mellifera ligustica). Chin. J. Appl. Entomol. 2022, 59, 406–418. [Google Scholar]
- Xu, L.; Liu, Y.; Yang, Y.; Rui, X.; Li, J.; Yin, D. Effects of cypermethrin on oral absorption of glipziquantel and expression of intestinal tight junction protein in rats. Chin. J. Pharmacol. Toxicol. 2022, 36, 48–53. [Google Scholar]
- Mohamed, A.A.R.; Abdellatief, S.A.; Khater, S.I.; Ali, H.; Al-Gabri, N.A. Fenpropathrin induces testicular damage, apoptosis, and genomic DNA damage in adult rats: Protective role of camel milk. Ecotoxicol. Environ. Saf. 2019, 181, 548–558. [Google Scholar] [CrossRef] [PubMed]
- Shang, S.Q.; Liu, Y.H.; Liu, N.; Zhang, C.; Ta, G. Effect of sublethal doses of fenpropathrin on the activities of detoxifica-tion enzymes in Cydia pomonella. J. Fruit Sci. 2018, 35, 326–333. [Google Scholar]
- Chen, C.C. The Toxic Effects and Mechanism of Pyrethroids on Different Life Stages of Zebrafish. Master’s Thesis, Zhejiang University of Technology, Hangzhou, China, 2019. [Google Scholar]
- Lin, G.; Zhang, Q.; Rao, X.Z. Acute toxicity of Praziquantel, Mebendazole and Deitamethrin on marbled eel Anguilla marmorata. Mar. Fish. 2011, 33, 467–471. [Google Scholar]
- Meng, L.X.; Zhang, W.H.; Pan, J.; Yao, Y.; Zhang, G.; Zhou, X. Acute toxicity and safety evaluation of fenpropathrin and deltamethrin on field fish of Southeast Guizhou. J. Hui Agric. Sci. 2011, 39, 10301–10302. [Google Scholar]
- Chen, C.C.; Zhang, C.N.; Xu, C. The Toxic Effects and Mechanism of Fenpropathrin on Different life Stages of Zebrafish. In Proceedings of the 30th Annual Conference of the Chinese Chemical Society, Dalian, China, 1–4 July 2016. [Google Scholar]
- Li, B.; Jia, S.C.; Lu, S.W.; Lu, W.; Li, Z. Study on Toxicity of Fenpropathrin to Brachydanio rerio. Pestic. Sci. Adm. 2022, 32, 32–38. [Google Scholar]
- Wang, Y.H.; Yang, G.L.; Shen, W.F.; Xu, C.; Di, S.S.; Wang, D.; Li, X.F.; Wang, X.Q.; Wang, Q. Synergistic effect of fenpropathrin and paclobutrazol on early life stages of zebrafish (Danio rerio). Environ. Pollut. 2020, 266, 115067. [Google Scholar] [CrossRef]
- Deng, F.C.; Sun, J.T.; Dou, R.N.; Yu, X.; Wei, Z.; Yang, C.; Zeng, X.F.; Zhu, L.Z. Contamination of pyrethroids in agricultural soils from the Yangtze River Delta, China. Sci. Total Environ. 2020, 731, 139181. [Google Scholar] [CrossRef] [PubMed]
- Wei, H.; Wu, N.; Shen, L.; Cheng, Y.; Wu, T. Oxidative stress effect of deltamethrin on Procambarus clarkia. J. Fish. China 2010, 34, 733–739. [Google Scholar] [CrossRef]
- Hong, Y.H. Effects of deltamethrin on main immune parameters of Chinese mittencrab, Eriochiersinensis. Guang Dong Agric. Sci. 2017, 44, 151–157. [Google Scholar]
- Hong, Y.H.; Huang, Y. DNA damage of blood cells of Eriocheir sinensis by deltamethrin. Fish. Sci. 2018, 37, 544–549. [Google Scholar]
- Wu, Y.Q.; Li, W.H.; Yuan, M.R.; Liu, X. The synthetic pyrethroid deltamethrin impairs zebrafish (Danio rerio)swim bladder development. Sci. Total Environ. 2020, 701, 134870. [Google Scholar] [CrossRef]
- Xiong, L.; Ma, Y.P.; Mao, S.Y.; Su, Y.L.; Jin, B.M.; Liu, Y. Toxic effects of pentachlorophenol on the Chinese rare minnow embryos. China Environ. Sci. 2012, 32, 337–344. [Google Scholar]
- Zhu, B.; Liu, T.Q.; Hu, X.G.; Wang, G. Developmental toxicity of 3,4-dichloroaniline on rare minnow (Gobiocypris rarus) embryos and larvae. Chemosphere 2013, 90, 1132–1139. [Google Scholar] [CrossRef]
- Zhao, Z.D.; Li, H.T.; Liang, T. Residues of three insecticides in tea leaves, soil and rainwater runoff. Chin. J. Eco-Agric. 2019, 27, 1265–1274. [Google Scholar]
- Li, M.; Liu, X.Y.; Feng, X.Z. Cardiovascular toxicity and anxiety-like behavior induced by deltamethrin in zebrafish (Danio rerio) larvae. Chemosphere 2019, 219, 155–164. [Google Scholar] [CrossRef]
- Ullah, S.; Li, Z.Q.; UI Arifeen, M.Z.; Khan, S.U.; Fahad, S. Multiple biomarkers based appraisal of deltamethrin induced toxicity in silver carp (Hypophthalmichthys molitrix). Chemosphere 2019, 214, 519–533. [Google Scholar] [CrossRef]
- Du, M.M.; Lin, L.F.; Yan, C.Z.; Wang, C.; Zhang, X. Enantiomer-specific bioaccumulation and depuration of hexabromocyclododecanes in zebrafish (Danio rerio). J. Hazard. Mater. 2013, 248–249C, 167–171. [Google Scholar] [CrossRef] [PubMed]
- Filby, A.L.; Ortiz-Zarragoitia, M.; Tyler, C.R. The vas::egfp transgenic zebrafish: A practical model for studies on the molecular mechanisms by which environmental estrogens affect gonadal sex differentiation. Environ. Toxicol. Chem. 2014, 33, 602–605. [Google Scholar] [CrossRef] [PubMed]
- Jiang, J.L.; Lu, J.W.; Cao, S.H.; Liu, R.B.; Shi, J.Q.; Long, T.; Shan, Z.J. Developmental toxicity and endocrine disrupting effects of deltamethrin on rare minnow (Gobiocypris rarus) during early life stage. China Environ. Sci. 2022, 42, 2395–2403. [Google Scholar]









| Gene Name | Primer Sequences | |
|---|---|---|
| Positive | Reverse | |
| β-actin | TGCTGTTTTCCCCTCCATTG | TCCCATGCCAACCATCACT |
| AR | TCTGGGTTGGAGGTCCTACAA | GGTCTGGAGCGAAGTACAGCAT |
| ER1 | GGTCCAGTGTGGTGTCCTCT | CACACGACCAGACTCCGTAA |
| ER2a | AGCTTGTGCACATGATCAGC | GCTTTCATCCCTGCTGAGAC |
| ER2b | TTGTGTTCTCCAGCATGAGC | CCACATATGGGGAAGGAATG |
| TRα | CAATGTACCATTTCGCGTTG | GCTCCTGCTCTGTGTTTTCC |
| TRβ | TGGGAGATGATACGGGTTGT | ATAGGTGCCGATCCAATGTC |
| AhR1a | CGCAAAAGGAGGAAACCTGTC | CCTGTAGCAAAAATTCCCCCT |
| AhR1b | GGAGAGCACTTGAGGAAACG | GGATCCAGATCGTCCTTTGA |
| AhR2 | ATCTCCATGGGCAAAACAAG | TCCCTCTTGTGTCGATACCC |
| HMGR | CAAAGCACATCCCATCTTACAAAC | TTCCCATCACCATAGAGTAGTCGTA |
| StAR | TTGTAAGTGTCCGCTGTGCCA | GCATCACAATACAGGTGGGTCC |
| 3β-HSD | TCCACACAGCGTCTCTCATCG | TGGGACCAGCCACCTCAATG |
| CYP17 | TCTCCGCTCCTCATCCCTCA | CACAAACCATCACCCTCCTCATT |
| CYP19a | TCGTTTCTTTCAGCCGTTCG | TGCTGCGACAGGTTGTTGGT |
Disclaimer/Publisher’s Note: The statements, opinions and data contained in all publications are solely those of the individual author(s) and contributor(s) and not of MDPI and/or the editor(s). MDPI and/or the editor(s) disclaim responsibility for any injury to people or property resulting from any ideas, methods, instructions or products referred to in the content. |
© 2023 by the authors. Licensee MDPI, Basel, Switzerland. This article is an open access article distributed under the terms and conditions of the Creative Commons Attribution (CC BY) license (https://creativecommons.org/licenses/by/4.0/).
Share and Cite
Wang, L.; Jiang, J.; Lu, J.; Long, T.; Guo, Y.; Dong, S.; Wu, H. The Developmental Toxicity and Endocrine-Disrupting Effects of Fenpropathrin on Gobiocypris rarus during the Early Life Stage. Toxics 2023, 11, 1003. https://doi.org/10.3390/toxics11121003
Wang L, Jiang J, Lu J, Long T, Guo Y, Dong S, Wu H. The Developmental Toxicity and Endocrine-Disrupting Effects of Fenpropathrin on Gobiocypris rarus during the Early Life Stage. Toxics. 2023; 11(12):1003. https://doi.org/10.3390/toxics11121003
Chicago/Turabian StyleWang, Lei, Jinlin Jiang, Jianwei Lu, Tao Long, Yang Guo, Shunan Dong, and Huiyi Wu. 2023. "The Developmental Toxicity and Endocrine-Disrupting Effects of Fenpropathrin on Gobiocypris rarus during the Early Life Stage" Toxics 11, no. 12: 1003. https://doi.org/10.3390/toxics11121003
APA StyleWang, L., Jiang, J., Lu, J., Long, T., Guo, Y., Dong, S., & Wu, H. (2023). The Developmental Toxicity and Endocrine-Disrupting Effects of Fenpropathrin on Gobiocypris rarus during the Early Life Stage. Toxics, 11(12), 1003. https://doi.org/10.3390/toxics11121003

