Dissipation and Distribution of Prochloraz in Bananas and a Risk Assessment of Its Dietary Intake
Abstract
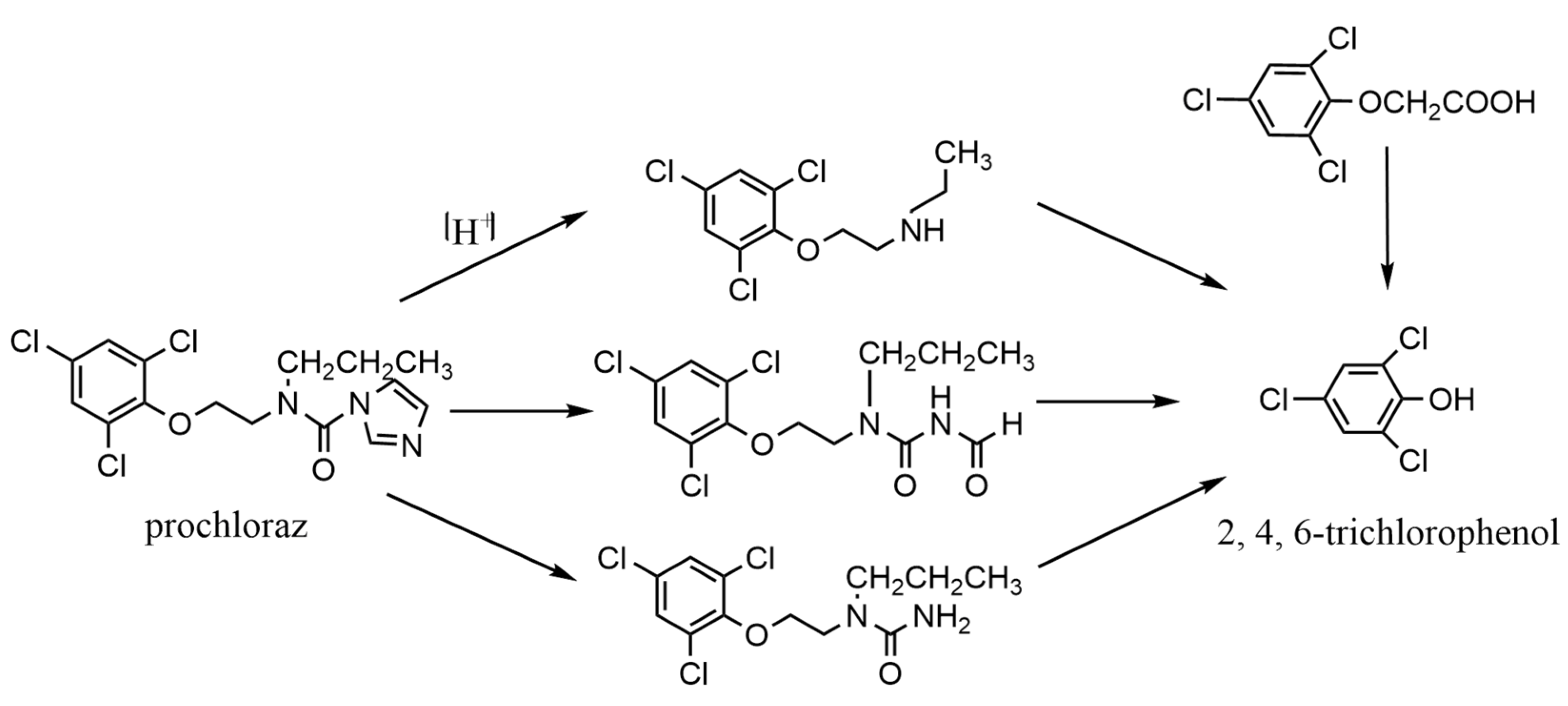
:1. Introduction
2. Materials and Methods
2.1. Chemicals and Reagents
2.2. Field Experimental Design
2.3. Sample Preparation
2.4. HPLC Analysis
2.5. Analytical Method Validation
2.6. Risk Assessment
2.7. Data Analysis
3. Results
3.1. Method Validation
3.2. Dissipation of Prochloraz in Different Parts of Banana Fruits
3.3. Prochloraz Terminal Residues in Different Parts of Banana Fruits
3.4. Prochloraz Distribution and Permeability in Different Parts of Banana Fruits
3.5. Exposure Risk Assessment
4. Discussion
Author Contributions
Funding
Institutional Review Board Statement
Informed Consent Statement
Data Availability Statement
Acknowledgments
Conflicts of Interest
References
- Guo, J.; Karkee, M.; Yang, Z.; Fu, H.; Li, J.; Jiang, Y.; Jiang, T.; Liu, E.; Duan, J. Research of simulation analysis and experimental optimization of banana de-handing device with self-adaptive profiling function. Comput. Electron. Agr. 2021, 185, 106148. [Google Scholar] [CrossRef]
- Li, T.; Li, M.; Jiang, Y.; Duan, X. Genome-wide identification, characterization and expression profile of glutaredoxin gene family in relation to fruit ripening and response to abiotic and biotic stresses in banana (Musa acuminata). Int. J. Biol. Macromol. 2021, 170, 636–651. [Google Scholar] [CrossRef] [PubMed]
- Mayorquín Guevara, J.E.; Sanches, A.G.; Pedrosa, V.M.D.; Cruz, M.C.P.D.; Silva, J.A.A.D.; Teixeira, G.H.D.A. The injection of zinc sulfate into banana tree pseudostem can triple the zinc content and it is an effective method for fruit biofortification. J. Food Compos. Anal. 2021, 102, 104020. [Google Scholar] [CrossRef]
- Cordoba, L.D.P.; Da Silva, R.G.; Gomes, D.D.S.; Schnitzler, E.; Waszczynskyj, N. Brazilian green banana. J. Therm. Anal. Calorim. 2018, 134, 2065–2073. [Google Scholar] [CrossRef]
- Kamble, M.G.; Singh, A.; Mishra, V.; Meghwal, M.; Prabhakar, P.K. Mass and surface modelling of green plantain banana fruit based on physical characteristics. Comput. Electron. Agr. 2021, 186, 106194. [Google Scholar] [CrossRef]
- Suganthi, A.; Nikita, S.A.; Kousika, J.; Bhuvaneswari, K.; Sridharan, S. Determination of thiamethoxam residues in banana stem and fruit through LC-MS/MS. Environ. Monit. Assess 2018, 190, 293. [Google Scholar] [CrossRef] [PubMed]
- Pelissari, F.M.; Andrade-Mahecha, M.M.; Sobral, P.J.D.A.; Menegalli, F.C. Isolation and characterization of the flour and starch of plantain bananas (Musa paradisiaca). Starch Stärke 2012, 64, 382–391. [Google Scholar] [CrossRef]
- Wang, S.; Sun, H.; Liu, Y. Dissipation and residue of azoxystrobin in banana under field condition. Environ. Monit. Assess 2013, 185, 7757–7761. [Google Scholar] [CrossRef]
- Balendres, M.A.; Mendoza, J.; Dela Cueva, F. Characteristics of Colletotrichum musae PHBN0002 and the susceptibility of popular banana cultivars to postharvest anthracnose. Indian Phytopathol. 2020, 73, 57–64. [Google Scholar] [CrossRef]
- Leite, I.C.H.L.; Silva, R.A.; Santos, J.E.C.C.; Freitas Lopes, R.L.; Câmara, M.P.S.; Michereff, S.J.; Lopes, U.P. Analysis of Colletotrichum musae populations from Brazil reveals the presence of isolates with high competitive ability and reduced sensitivity to postharvest fungicides. Plant Pathol. 2020, 69, 1529–1539. [Google Scholar] [CrossRef]
- Silva Junior, W.J.D.; Falcão, R.M.; Sousa-Paula, L.C.D.; Sbaraini, N.; Vieira, W.A.D.S.; Lima, W.G.; Paiva Junior, S.D.S.L.; Staats, C.C.; Schrank, A.; Benko-Iseppon, A.M.; et al. Draft genome assembly of Colletotrichum musae, the pathogen of banana fruit. Data Brief 2018, 17, 256–260. [Google Scholar] [CrossRef] [PubMed]
- McMaster, C.A.; Tran Nguyen, L.T.T.; Voutsinos, M.Y.; Cook, S.E.; Condé, B.D.; West, S.J.; Nguyen, T.V.; Liberato, J.R. Outbreak of freckle disease (Phyllosticta cavendishii) on Cavendish bananas in Australia and the initial biosecurity response. Plant Pathol. 2019, 69, 38–49. [Google Scholar] [CrossRef]
- Wong, M.; Crous, P.W.; Henderson, J.; Groenewald, J.Z.; Drenth, A. Phyllosticta species associated with freckle disease of banana. Fungal. Divers. 2012, 56, 173–187. [Google Scholar] [CrossRef]
- Xu, J.; Long, X.; Ge, S.; Li, M.; Chen, L.; Hu, D.; Zhang, Y. Deposition amount and dissipation kinetics of difenoconazole and propiconazole applied on banana with two commercial spray adjuvants. Rsc. Adv. 2019, 9, 19780–19790. [Google Scholar] [CrossRef]
- Rodríguez-Ortega, P.G.; Casas, R.; Marchal-Ingrain, A.; Gilbert-López, B. Synthesis and structural characterization of a ubiquitous transformation product (BTS 40348) of fungicide prochloraz. J. Agr. Food Chem. 2019, 67, 8641–8648. [Google Scholar] [CrossRef]
- Debrauwer, L.; Rathahao, E.; Boudry, G.; Baradat, M.; Cravedi, J.P. Identification of the major metabolites of prochloraz in rainbow trout by liquid chromatography and tandem mass spectrometry. J. Agr. Food Chem. 2001, 49, 3821–3826. [Google Scholar] [CrossRef] [PubMed]
- Zhang, R.; Zhang, Y.; Xu, Q.; Li, J.; Zhu, F. Hormetic effects of mixtures of dimethachlone and prochloraz on sclerotinia sclerotiorum. Plant Dis. 2019, 103, 546–554. [Google Scholar] [CrossRef] [PubMed]
- Tejada, M.; Gómez, I.; García-Martínez, A.M.; Osta, P.; Parrado, J. Effects of Prochloraz fungicide on soil enzymatic activities and bacterial communities. Ecotox. Environ. Saf. 2011, 74, 1708–1714. [Google Scholar] [CrossRef] [PubMed]
- Zhao, H.; Yang, G.; Liu, Y.; Ye, H.; Qi, X.; Wang, Q. Residual behavior and risk assessment of prochloraz in bayberries and bayberry wine for the Chinese population. Environ. Monit. Assess 2019, 191, 644. [Google Scholar] [CrossRef] [PubMed]
- Lundqvist, J.; Hellman, B.; Oskarsson, A. Fungicide prochloraz induces oxidative stress and DNA damage in vitro. Food Chem. Toxicol. 2016, 91, 36–41. [Google Scholar] [CrossRef] [PubMed]
- Yuan, X.; Peng, Z.; Zhou, H.; Liu, C. Degradation dynamics and safety evaluation of prochloraz in banana. J. Food Saf. Quality 2016, 7, 209–214. [Google Scholar] [CrossRef]
- Yogendraiah Matadha, N.; Mohapatra, S.; Siddamallaiah, L. Distribution of fluopyram and tebuconazole in pomegranate tissues and their risk assessment. Food Chem. 2021, 358, 129909. [Google Scholar] [CrossRef]
- Liang, Y.; Wei, L.; Hu, J. Residues and dietary intake risk assessments of clomazone, fomesafen, haloxyfop-methyl and its metabolite haloxyfop in spring soybean field ecosystem. Food Chem. 2021, 360, 129921. [Google Scholar] [CrossRef]
- Lin, S.; Yang, L.; Zheng, Q.; Wang, W.; Cheng, D.; Zhang, Z. Dissipation and distribution of pyraclostrobin in bananas at different temperature and a risk assessment of dietary intake. Int. J. Environ. Anal. Chem. 2020, 1–13. [Google Scholar] [CrossRef]
- Xu, F.; Ren, W.; Fang, X.; Chen, L.; Zha, X. Residues, dissipation, and safety evaluation of pymetrozine-clothianidin mixture in strawberry. Environ. Sci. Pollut. Res. 2021, 28, 22641–22650. [Google Scholar] [CrossRef] [PubMed]
- Zhang, X.; Cui, X.; Wang, X.; Zhong, Q.; Zhou, L.; Luo, F.; Wang, F.; Wu, L.; Chen, Z. Residue dissipation, transfer and safety evaluation of picoxystrobin during tea growing and brewing. J. Sci. Food. Agr. 2021, 101, 194–204. [Google Scholar] [CrossRef] [PubMed]
- Dong, X.; Tong, Z.; Chu, Y.; Sun, M.; Wang, M.; Gao, T.; Duan, J. Dissipation of prothioconazole and its metabolite prothioconazole-desthio in rice fields and risk assessment of its dietary intake. J. Agr. Food. Chem. 2019, 67, 6458–6465. [Google Scholar] [CrossRef] [PubMed]
- Zheng, Q.; Qin, D.; Yang, L.; Liu, B.; Lin, S.; Ma, Q.; Zhang, Z. Dissipation and distribution of difenoconazole in bananas and a risk assessment of dietary intake. Environ. Sci. Pollut. Res. 2020, 27, 15365–15374. [Google Scholar] [CrossRef] [PubMed]
- Yu, J.; Xu, Z.; Zhang, C.; Chen, L.; Hu, X.; Yu, R.; Wang, X.; Zhao, X. Dissipation behavior, residue distribution, and risk assessment of triflumizole and FM-6-1 in greenhouse strawberries and soil. Environ. Sci. Pollut. Res. 2020, 27, 15165–15173. [Google Scholar] [CrossRef] [PubMed]
- Yang, L.; Zheng, Q.; Lin, S.; Wang, Y.; Zhu, Q.; Cheng, D.; Chen, J.; Zhang, Z. Dissipation and residue of dimethomorph in potato plants produced and dietary intake risk assessment. Int. J. Environ. Anal. Chem. 2022, 102, 1332–1344. [Google Scholar] [CrossRef]
- Zhou, Y.; Wang, K.; Yan, C.; Li, W.; Li, H.; Zhang, N.; Zhang, Z. Effect of two formulations on the decline curves and residue levels of rotenone in cabbage and soil under field conditions. Ecotoxicol. Environ. Saf. 2014, 104, 23–27. [Google Scholar] [CrossRef] [PubMed]
- Li, Y.; Li, Z.; Huang, R.; Wang, S.; Zhang, Z. Residue and distribution of triforine in different cultivars and fruit periods of watermelon under field conditions. Ecotoxicol. Environ. Saf. 2018, 156, 428–433. [Google Scholar] [CrossRef] [PubMed]
- Lin, S.; Zhou, Y.; Wu, J.; Zhang, Z.; Cheng, D. Dissipation and residue of fosthiazate in tomato and cherry tomato and a risk assessment of dietary intake. Environ. Sci. Pollut. Res. 2021, 29, 9248–9256. [Google Scholar] [CrossRef] [PubMed]
- Baini, R.; Langrish, T.A.G.; Rahman, M.R.; Ahmad Zauzi, N.S.; Abdul Rahman, N. Variations in banana properties. J. Food Meas. Charact. 2017, 11, 1045–1055. [Google Scholar] [CrossRef]






| Age | Sex | BW (kg) | P (g/Day) | LP (g/Day) | ESTI [mg/(kg·d)] | %ARfD (%) | NEDI [mg/(kg·d)] | %ADI (%) |
|---|---|---|---|---|---|---|---|---|
| 2–4 | M | 14.1 | 43.7 | 339.4 | 0.0241 | 24.07 | 2.88 × 10−3 | 28.82 |
| F | 13.4 | 44.4 | 339.4 | 0.0253 | 25.33 | 3.08 × 10−3 | 30.81 | |
| 18–30 | M | 60.5 | 41.8 | 510.2 | 0.0084 | 8.43 | 6.43 × 10−4 | 6.43 |
| F | 52.6 | 52.9 | 510.2 | 0.0097 | 9.70 | 9.34 × 10−4 | 9.34 | |
| 60–70 | M | 61.3 | 33.8 | 510.2 | 0.0083 | 8.32 | 5.13 × 10−4 | 5.13 |
| F | 54.3 | 34.8 | 510.2 | 0.0094 | 9.40 | 5.96 × 10−4 | 5.96 |
Publisher’s Note: MDPI stays neutral with regard to jurisdictional claims in published maps and institutional affiliations. |
© 2022 by the authors. Licensee MDPI, Basel, Switzerland. This article is an open access article distributed under the terms and conditions of the Creative Commons Attribution (CC BY) license (https://creativecommons.org/licenses/by/4.0/).
Share and Cite
Huang, J.; Lin, S.; Zhou, J.; Chen, H.; Tang, S.; Wu, J.; Huang, S.; Cheng, D.; Zhang, Z. Dissipation and Distribution of Prochloraz in Bananas and a Risk Assessment of Its Dietary Intake. Toxics 2022, 10, 435. https://doi.org/10.3390/toxics10080435
Huang J, Lin S, Zhou J, Chen H, Tang S, Wu J, Huang S, Cheng D, Zhang Z. Dissipation and Distribution of Prochloraz in Bananas and a Risk Assessment of Its Dietary Intake. Toxics. 2022; 10(8):435. https://doi.org/10.3390/toxics10080435
Chicago/Turabian StyleHuang, Jiajian, Sukun Lin, Jingtong Zhou, Huiya Chen, Shiqi Tang, Jian Wu, Suqing Huang, Dongmei Cheng, and Zhixiang Zhang. 2022. "Dissipation and Distribution of Prochloraz in Bananas and a Risk Assessment of Its Dietary Intake" Toxics 10, no. 8: 435. https://doi.org/10.3390/toxics10080435
APA StyleHuang, J., Lin, S., Zhou, J., Chen, H., Tang, S., Wu, J., Huang, S., Cheng, D., & Zhang, Z. (2022). Dissipation and Distribution of Prochloraz in Bananas and a Risk Assessment of Its Dietary Intake. Toxics, 10(8), 435. https://doi.org/10.3390/toxics10080435

