Transformation Products of Emerging Pollutants Explored Using Non-Target Screening: Perspective in the Transformation Pathway and Toxicity Mechanism—A Review
Abstract
:1. Introduction
2. Transformation Products
3. Nontarget Screening
- XCMS (https://xcmsonline.scripps.edu accessed on: 1 December 2020);
- MZmine (http://mzmine.sourceforge.net/ accessed on: 1 December 2020);
- Non-target, ACD MS/Workbook Suite; and,
- EnviMass (http://www.eawag.ch/forschung/uchem/software/enviMass1 accessed on: 1 December 2020);
- vendors’ software, such as TraceFinder/CompoundDiscoverer (Thermo Scientific, Waltham, MA, USA), Profile-Analysis (Bruker, Billerica, MA, USA), MetaboLynx/MassLynx (Waters, Milford, MA, USA), MassHunter (Agilent, Santa Clara, CA, USA), and Data Explorer (Applied Biosystems, Waltham, MA, USA).
- MetLin (http://metlin.scripps.edu/index.php accessed on: 1 December 2020).
- MassBank (http://massbank.ufz.de/MassBank/ accessed on: 1 December 2020); mzCloud (Thermo)
3.1. Sample Treatment and QA/QC
3.2. Sample Extraction for Non-Target Screening
3.2.1. Quick, Easy, Cheap, Effective, Rugged, and Safe
3.2.2. Microwave-Assisted Extraction
3.2.3. Pressurized Liquid Extraction
3.2.4. Ultrasonic-Assisted Extraction
4. Transformation Pathway in a Model Organism
4.1. Algae
4.2. Freshwater Crustaceans
4.3. Fish
4.4. Earthworm
4.5. Human Cell Lines
5. Toxicity Effect of TPs on the Model Organism
5.1. Potential Bioactivation Mechanisms
5.2. Cases for the Formation of Toxic TP
6. Challenges and Perspectives for TP Study
Supplementary Materials
Author Contributions
Funding
Institutional Review Board Statement
Informed Consent Statement
Data Availability Statement
Acknowledgments
Conflicts of Interest
References
- Verlicchi, P.; Zambello, E. Pharmaceuticals and personal care products in untreated and treated sewage sludge: Occurrence and environmental risk in the case of application on soil—A critical review. Sci. Total Environ. 2015, 538, 750–767. [Google Scholar] [CrossRef] [PubMed]
- Ferrari, B.; Paxéus, N.; Giudice, R.L.; Pollio, A.; Garric, J. Ecotoxicological impact of pharmaceuticals found in treated wastewaters: Study of carbamazepine, clofibric acid, and diclofenac. Ecotoxicol. Environ. Saf. 2003, 55, 359–370. [Google Scholar] [CrossRef]
- Verlicchi, P.; Al Aukidy, M.; Zambello, E. Occurrence of pharmaceutical compounds in urban wastewater: Removal, mass load and environmental risk after a secondary treatment—A review. Sci. Total Environ. 2012, 429, 123–155. [Google Scholar] [CrossRef] [PubMed]
- Al Aukidy, M.; Verlicchi, P.; Jelic, A.; Petrovic, M.; Barcelò, D. Monitoring release of pharmaceutical compounds: Occurrence and environmental risk assessment of two WWTP effluents and their receiving bodies in the Po Valley, Italy. Sci. Total Environ. 2012, 438, 15–25. [Google Scholar] [CrossRef]
- Wolf, L.; Zwiener, C.; Zemann, M. Tracking artificial sweeteners and pharmaceuticals introduced into urban groundwater by leaking sewer networks. Sci. Total Environ. 2012, 430, 8–19. [Google Scholar] [CrossRef]
- Yi, X.; Tran, N.H.; Yin, T.; He, Y.; Gin, K.Y.H. Removal of selected PPCPs, EDCs, and antibiotic resistance genes in landfill leachate by a full-scale constructed wetlands system. Water Res. 2017, 121, 46–60. [Google Scholar] [CrossRef]
- Launay, M.A.; Dittmer, U.; Steinmetz, H. Organic micropollutants discharged by combined sewer overflows–characterisation of pollutant sources and stormwater-related processes. Water Res. 2016, 104, 82–92. [Google Scholar] [CrossRef]
- Chee-Sanford, J.C.; Mackie, R.I.; Koike, S.; Krapac, I.G.; Lin, Y.F.; Yannarell, A.C.; Maxwell, S.; Aminov, R.I. Fate and transport of antibiotic residues and antibiotic resistance genes following land application of manure waste. J. Environ. Qual. 2009, 38, 1086–1108. [Google Scholar] [CrossRef] [Green Version]
- Sidhu, J.P.; Ahmed, W.; Gernjak, W.; Aryal, R.; McCarthy, D.; Palmer, A.; Kolotelo, P.; Toze, S. Sewage pollution in urban stormwater runoff as evident from the widespread presence of multiple microbial and chemical source tracking markers. Sci. Total Environ. 2013, 463, 488–496. [Google Scholar] [CrossRef]
- Behera, S.K.; Kim, H.W.; Oh, J.E.; Park, H.S. Occurrence and removal of antibiotics, hormones and several other pharmaceuticals in wastewater treatment plants of the largest industrial city of Korea. Sci. Total Environ. 2011, 409, 4351–4360. [Google Scholar] [CrossRef]
- Tran, N.H.; Hu, J.; Ong, S.L. Simultaneous determination of PPCPs, EDCs, and artificial sweeteners in environmental water samples using a single-step SPE coupled with HPLC–MS/MS and isotope dilution. Talanta 2013, 113, 82–92. [Google Scholar] [CrossRef] [PubMed]
- Tran, N.H.; Hu, J.; Li, J.; Ong, S.L. Suitability of artificial sweeteners as indicators of raw wastewater contamination in surface water and groundwater. Water Res. 2014, 48, 443–456. [Google Scholar] [CrossRef] [PubMed]
- Tran, N.H.; Li, J.; Hu, J.; Ong, S.L. Occurrence and suitability of pharmaceuticals and personal care products as molecular markers for raw wastewater contamination in surface water and groundwater. Environ. Sci. Pollut. Res. 2014, 21, 4727–4740. [Google Scholar] [CrossRef] [Green Version]
- Tran, N.H.; Urase, T.; Ta, T.T. A preliminary study on the occurrence of pharmaceutically active compounds in hospital wastewater and surface water in Hanoi, Vietnam. CLEAN–Soil Air Water 2014, 42, 267–275. [Google Scholar] [CrossRef]
- Jones, O.A.H.; Voulvoulis, N.; Lester, J.N. Potential ecological and human health risks associated with the presence of pharmaceutically active compounds in the aquatic environment. Crit. Rev. Toxicol. 2004, 34, 335–350. [Google Scholar] [CrossRef]
- Lapworth, D.J.; Baran, N.; Stuart, M.E.; Ward, R.S. Emerging organic contaminants in groundwater: A review of sources, fate and occurrence. Environ. Pollut. 2012, 163, 287–303. [Google Scholar] [CrossRef] [PubMed] [Green Version]
- Daughton, C.G. Non-regulated water contaminants: Emerging research. EIA Rev. 2004, 24, 711–732. [Google Scholar] [CrossRef]
- Richardson, S.D.; Ternes, T.A. Water analysis: Emerging contaminants and current issues. Anal. Chem. 2011, 83, 4614–4648. [Google Scholar] [CrossRef]
- Richardson, S.D. Environmental mass spectrometry: Emerging contaminants and current issues. Anal. Chem. 2010, 82, 4742–4774. [Google Scholar] [CrossRef]
- Rockstrom, J.; Steffen, W.; Noone, K.; Persson, A.; Chapin, F.S., III; Lambin, E.F.; Lenton, T.M.; Scheffer, M.; Folke, C.; Schellnhuber, H.J.; et al. A safe operating space for humanity: Identifying and quantifying planetary boundaries that must not be transgressed could help prevent human activities from causing unacceptable environmental change, argue Johan Rockstrom and colleagues. Nature 2009, 461, 472–476. [Google Scholar] [CrossRef]
- Steffen, W.; Richardson, K.; Rockström, J.; Cornell, S.E.; Fetzer, I.; Bennett, E.M.; Biggs, R.; Carpenter, S.R.; De Vries, W.; De Wit, C.A.; et al. Planetary boundaries: Guiding human development on a changing planet. Science 2015, 347, 6223. [Google Scholar] [CrossRef] [PubMed] [Green Version]
- Genena, A.K.; Luiz, D.B.; Gebhardt, W.; Moreira, R.F.; José, H.J.; Schröder, H.F. Imazalil degradation upon applying ozone—transformation products, kinetics, and toxicity of treated aqueous solutions. Ozone Sci. Eng. 2011, 33, 308–328. [Google Scholar] [CrossRef]
- Benitez, F.J.; Acero, J.L.; Real, F.J.; Roldan, G.; Rodriguez, E. Photolysis of model emerging contaminants in ultra-pure water: Kinetics, by-products formation and degradation pathways. Water Res. 2013, 47, 870–880. [Google Scholar] [CrossRef] [PubMed]
- Escher, B.I.; Fenner, K. Recent advances in environmental risk assessment of transformation products. Environ. Sci. Technol. 2011, 45, 3835–3847. [Google Scholar] [CrossRef]
- Baun, A.; Sayre, P.; Steinhäuser, K.G.; Rose, J. Regulatory relevant and reliable methods and data for determining the environmental fate of manufactured nanomaterials. NanoImpact 2017, 8, 1–10. [Google Scholar] [CrossRef] [Green Version]
- Krauss, M.; Singer, H.; Hollender, J. LC–high resolution MS in environmental analysis: From target screening to the identification of unknowns. Anal. Bioanal. 2010, 397, 943–951. [Google Scholar] [CrossRef] [PubMed] [Green Version]
- Kind, T.; Fiehn, O. Advances in structure elucidation of small molecules using mass spectrometry. Bioanal. Rev. 2010, 2, 23–60. [Google Scholar] [CrossRef] [PubMed] [Green Version]
- Makarov, A.; Denisov, E.; Kholomeev, A.; Balschun, W.; Lange, O.; Strupat, K.; Horning, S. Performance evaluation of a hybrid linear ion trap/orbitrap mass spectrometer. Anal. Chem. 2006, 78, 2113–2120. [Google Scholar] [CrossRef]
- National Research Council (US) Committee on Developmental Toxicology. Scientific Frontiers in Developmental Toxicology and Risk Assessment; National Academies Press: Washington, DC, USA, 2000.
- Meislich, H.; Nechamkin, H.; Sharefkin, J.; Hademenos, G.J. Schaum’s Outline of Organic Chemistry; McGraw-Hill Education: Ontario, Canada, 2013. [Google Scholar]
- Battaglin, W.A.; Thurman, E.M.; Kalkhoff, S.J.; Porter, S.D. Herbicides and Transformation Products in Surface Waters of the Midwestern United States. J. Am. Water Resour. Assoc. 2003, 39, 743–756. [Google Scholar] [CrossRef]
- Baran, N.; Mouvet, C.; Dagnac, T.; Jeannot, R. Infiltration of acetochlor and two of its metabolites in two contrasting soils. J. Environ. Qual. 2004, 33, 241–249. [Google Scholar] [CrossRef]
- Hladik, M.L.; Hsiao, J.J.; Roberts, A.L. Are neutral chloroacetamide herbicide degradates of potential environmental concern? Analysis and occurrence in the upper Chesapeake Bay. Environ. Sci. Technol. 2005, 39, 6561–6574. [Google Scholar] [CrossRef] [PubMed]
- Miao, X.S.; Yang, J.J.; Metcalfe, C.D. Carbamazepine and its metabolites in wastewater and in biosolids in a municipal wastewater treatment plant. Environ. Sci. Technol. 2005, 39, 7469–7475. [Google Scholar] [CrossRef] [PubMed]
- Søeborg, T.; Ingerslev, F.; Halling-Sørensen, B. Chemical stability of chlortetracycline and chlortetracycline degradation products and epimers in soil interstitial water. Chemosphere 2004, 57, 1515–1524. [Google Scholar] [CrossRef] [PubMed]
- Bester, K. Fate of triclosan and triclosan-methyl in sewage treatmentplants and surface waters. Arch. Environ. Contam. Toxicol. 2005, 49, 9–17. [Google Scholar] [CrossRef] [PubMed]
- Aranami, K.; Readman, J.W. Photolytic degradation of triclosan in freshwater and seawater. Chemosphere 2007, 66, 1052–1056. [Google Scholar] [CrossRef] [PubMed]
- Conn, K.E.; Barber, L.B.; Brown, G.K.; Siegrist, R.L. Occurrence and fate of organic contaminants during onsite wastewater treatment. Environ. Sci. Technol. 2006, 40, 7358–7366. [Google Scholar] [CrossRef]
- Godfrey, E.; Woessner, W.W.; Benotti, M.J. Pharmaceuticals in on-site sewage effluent and ground water, western Montana. Groundwater 2007, 45, 263–271. [Google Scholar] [CrossRef]
- Horii, Y.; Reiner, J.L.; Loganathan, B.G.; Kumar, K.S.; Sajwan, K.; Kannan, K. Occurrence and fate of polycyclic musks in wastewater treatment plants in Kentucky and Georgia, USA. Chemosphere 2007, 68, 2011–2020. [Google Scholar] [CrossRef]
- Clara, M.; Strenn, B.; Gans, O.; Martinez, E.; Kreuzinger, N.; Kroiss, H. Removal of selected pharmaceuticals, fragrances and endocrine disrupting compounds in a membrane bioreactor and conventional wastewater treatment plants. Water Res. 2005, 39, 4797–4807. [Google Scholar] [CrossRef]
- Glassmeyer, S.T.; Furlong, E.T.; Kolpin, D.W.; Cahill, J.D.; Zaugg, S.D.; Werner, S.L.; Meyer, M.T.; Kryak, D.D. Transport of chemical and microbial compounds from known wastewater discharges: Potential for use as indicators of human fecal contamination. Environ. Sci. Technol. 2005, 39, 5157–5169. [Google Scholar] [CrossRef] [Green Version]
- Hanselman, T.A.; Graetz, D.A.; Wilkie, A.C. Manure-borne estrogens as potential environmental contaminants: A review. Environ. Sci. Technol. 2003, 37, 5471–5478. [Google Scholar] [CrossRef] [PubMed]
- Hutchins, S.R.; White, M.V.; Hudson, F.M.; Fine, D.D. Analysis of lagoon samples from different concentrated animal feeding operations for estrogens and estrogen conjugates. Environ. Sci. Technol. 2007, 41, 738–744. [Google Scholar] [CrossRef] [PubMed]
- Barnes, K.K.; Christenson, S.C.; Kolpin, D.W.; Focazio, M.J.; Furlong, E.T.; Zaugg, S.D.; Meyer, M.T.; Barber, L.B. Pharmaceuticals and other organic waste water contaminants within a leachate plume downgradient of a municipal landfill. Ground Water Monit. Remediat. 2004, 24, 119–126. [Google Scholar] [CrossRef]
- Boix, C.; Ibáñez, M.; Sancho, J.V.; Parsons, J.R.; de Voogt, P.; Hernández, F. Biotransformation of pharmaceuticals in surface water and during waste water treatment: Identification and occurrence of transformation products. J. Hazard. Mater. 2016, 302, 175–187. [Google Scholar] [CrossRef] [PubMed]
- Göbel, A.; Thomsen, A.; McArdell, C.S.; Joss, A.; Giger, W. Occurrence and sorption behavior of sulfonamides, macrolides, and trimethoprim in activated sludge treatment. Environ. Sci. Technol. 2005, 39, 3981–3989. [Google Scholar] [CrossRef] [PubMed]
- Li, D.; Yang, M.; Hu, J.; Ren, L.; Zhang, Y.; Li, K. Determination and fate of oxytetracycline and related compounds in oxytetracycline production wastewater and the receiving river. Environ. Toxicol. Chem. 2008, 27, 80–86. [Google Scholar] [CrossRef]
- Kang, D.; Doudrick, K.; Park, N.; Choi, Y.; Kim, K.; Jeon, J. Identification of transformation products to characterize the ability of a natural wetland to degrade synthetic organic pollutants. Water Res. 2020, 187, 116425. [Google Scholar] [CrossRef]
- Picó, Y.; Barceló, D. Transformation products of emerging contaminants in the environment and high-resolution mass spectrometry: A new horizon. Anal. Bioanal. 2015, 407, 6257–6273. [Google Scholar] [CrossRef] [Green Version]
- Petrovic, M.; Barceló, D. LC-MS for identifying photodegradation products of pharmaceuticals in the environment. Trends Anal. Chem. 2007, 26, 486–493. [Google Scholar] [CrossRef]
- Kosjek, T.; Heath, E. Occurrence, fate and determination of cytostatic pharmaceuticals in the environment. Trends Anal. Chem. 2011, 30, 1065–1087. [Google Scholar] [CrossRef]
- Speight, J.G.; Speight, J.G. Chemical Transformations in the Environment. In Environmental Organic Chemistry for Engineers; Butterworth-Heinemann: Oxford, UK, 2017; pp. 305–353. [Google Scholar]
- Kolpin, D.W.; Thurman, E.M.; Goolsby, D.A. Occurrence of selected pesticides and their metabolites in near-surface aquifers of the Midwestern United States. Environ. Sci. Technol. 1995, 30, 335–340. [Google Scholar] [CrossRef] [Green Version]
- Gooddy, D.C.; Chilton, P.J.; Harrison, I. A field study to assess the degradation and transport of diuron and its metabolites in a calcareous soil. Sci. Total Environ. 2002, 297, 67–83. [Google Scholar] [CrossRef] [Green Version]
- Kolpin, D.W.; Furlong, E.T.; Meyer, M.T.; Thurman, E.M.; Zaugg, S.D.; Barber, L.B.; Buxton, H.T. Response to comment on “pharmaceuticals, hormones, and other organic wastewater contaminants in US streams, 1999−2000: A national reconnaissance”. Environ. Sci. Technol. 2002, 36, 4007–4008. [Google Scholar] [CrossRef]
- Céspedes, R.; Lacorte, S.; Raldúa, D.; Ginebreda, A.; Barceló, D.; Piña, B. Distribution of endocrine disruptors in the Llobregat River basin (Catalonia, NE Spain). Chemosphere 2005, 61, 1710–1719. [Google Scholar] [CrossRef] [PubMed]
- Chen, C.Y.; Wen, T.Y.; Wang, G.S.; Cheng, H.W.; Lin, Y.H.; Lien, G.W. Determining estrogenic steroids in Taipei waters and removal in drinking water treatment using high-flow solid-phase extraction and liquid chromatography/tandem mass spectrometry. Sci. Total Environ. 2007, 378, 352–365. [Google Scholar] [CrossRef]
- Leusch, F.D.; Neale, P.A.; Busetti, F.; Card, M.; Humpage, A.; Orbell, J.D.; Ridgway, H.F.; Stewart, M.B.; van de Merwe, J.P.; Escher, B.I. Transformation of endocrine disrupting chemicals, pharmaceutical and personal care products during drinking water disinfection. Sci. Total Environ. 2019, 657, 1480–1490. [Google Scholar] [CrossRef] [PubMed]
- Hu, X.; Deng, Y.; Zhou, J.; Liu, B.; Yang, A.; Jin, T.; Tsang, Y.F. N-and O self-doped biomass porous carbon cathode in an electro-Fenton system for Chloramphenicol degradation. Sep. Purif. Technol. 2020, 251, 117376. [Google Scholar] [CrossRef]
- Shanavas, S.; Priyadharsan, A.; Gkanas, E.I.; Acevedo, R.; Anbarasan, P.M. High efficient catalytic degradation of tetracycline and ibuprofen using visible light driven novel Cu/Bi2Ti2O7/rGO nanocomposite: Kinetics, intermediates and mechanism. J. Ind. Eng. Chem. 2019, 72, 512–528. [Google Scholar]
- Armstrong, D.L.; Rice, C.P.; Ramirez, M.; Torrents, A. Influence of thermal hydrolysis-anaerobic digestion treatment of wastewater solids on concentrations of triclosan, triclocarban, and their transformation products in biosolids. Chemosphere 2017, 171, 609–616. [Google Scholar] [CrossRef] [Green Version]
- Rúa-Gómez, P.C.; Püttmann, W. Occurrence and removal of lidocaine, tramadol, venlafaxine, and their metabolites in German wastewater treatment plants. Environ. Sci. Pollut. Res. 2012, 19, 689–699. [Google Scholar] [CrossRef]
- Jiménez-Salcedo, M.; Monge, M.; Tena, M.T. Photocatalytic degradation of ibuprofen in water using TiO2/UV and g-C3N4/visible light: Study of intermediate degradation products by liquid chromatography coupled to high-resolution mass spectrometry. Chemosphere 2019, 215, 605–618. [Google Scholar] [CrossRef]
- Salma, A.; Thoröe-Boveleth, S.; Schmidt, T.C.; Tuerk, J. Dependence of transformation product formation on pH during photolytic and photocatalytic degradation of ciprofloxacin. J. Hazard. Mater. 2016, 313, 49–59. [Google Scholar] [CrossRef] [PubMed]
- Li, L.P.; Wei, D.B.; Du, Y.G. Transformation of ceftriaxone in chlorination process: Products identification and transformation pathways. Environ. Chem. 2013, 32, 1328–1334. [Google Scholar]
- Rossini, D.; Ciofi, L.; Ancillotti, C.; Checchini, L.; Bruzzoniti, M.C.; Rivoira, L.; Fibbi, D.; Orlandini, S.; Del Bubba, M. Innovative combination of QuEChERS extraction with on-line solid-phase extract purification and pre-concentration, followed by liquid chromatography-tandem mass spectrometry for the determination of non-steroidal anti-inflammatory drugs and their metabolites in sewage sludge. Anal. Chim. Acta 2016, 935, 269–281. [Google Scholar]
- Miao, X.S.; Metcalfe, C.D. Determination of carbamazepine and its metabolites in aqueous samples using liquid chromatography—Electrospray tandem mass spectrometry. Anal. Chem. 2003, 75, 3731–3738. [Google Scholar] [CrossRef] [PubMed]
- Rubirola, A.; Llorca, M.; Rodriguez-Mozaz, S.; Casas, N.; Rodriguez-Roda, I.; Barceló, D.; Buttiglieri, G. Characterization of metoprolol biodegradation and its transformation products generated in activated sludge batch experiments and in full scale WWTPs. Water Res. 2014, 63, 21–32. [Google Scholar] [CrossRef] [PubMed]
- Liu, R.; Song, S.; Lin, Y.; Ruan, T.; Jiang, G. Occurrence of synthetic phenolic antioxidants and major metabolites in municipal sewage sludge in China. Environ. Sci. Technol. 2015, 49, 2073–2080. [Google Scholar] [CrossRef] [PubMed]
- Inami, K.; Mochizuki, M. Oxidative transformation of 2-acetylaminofluorene by a chemical model for cytochrome P450: A water-insoluble porphyrin and tert-butyl hydroperoxide. Bioorg. Med. Chem. 2008, 16, 7070–7077. [Google Scholar] [CrossRef]
- Bijlsma, L.; Emke, E.; Hernández, F.; De Voogt, P. Performance of the linear ion trap Orbitrap mass analyzer for qualitative and quantitative analysis of drugs of abuse and relevant metabolites in sewage water. Anal. Chim. Acta 2013, 768, 102–110. [Google Scholar] [CrossRef] [PubMed]
- Chen, W.L.; Ling, Y.S.; Lee, D.J.H.; Lin, X.Q.; Chen, Z.Y.; Liao, H.T. Targeted profiling of chlorinated transformation products and the parent micropollutants in the aquatic environment: A comparison between two coastal cities. Chemosphere 2020, 242, 125268. [Google Scholar] [CrossRef]
- Jiang, H.; Zhang, D.; Xiao, S.; Geng, C.; Zhang, X. Occurrence and sources of antibiotics and their metabolites in river water, WWTPs, and swine wastewater in Jiulongjiang River basin, south China. Environ. Sci. Pollut. Res. 2013, 20, 9075–9083. [Google Scholar] [CrossRef] [PubMed]
- Anari, M.R.; Sanchez, R.I.; Bakhtiar, R.; Franklin, R.B.; Baillie, T.A. Integration of knowledge-based metabolic predictions with liquid chromatography data-dependent tandem mass spectrometry for drug metabolism studies: Application to studies on the biotransformation of indinavir. Anal. Chem. 2004, 76, 823–832. [Google Scholar] [CrossRef] [PubMed]
- Testa, B.; Pedretti, A.; Vistoli, G. Reactions and enzymes in the metabolism of drugs and other xenobiotics. Drug Discov. 2012, 17, 549–560. [Google Scholar] [CrossRef] [PubMed]
- Fernandez, M.P.; Ikonomou, M.G.; Buchanan, I. An assessment of estrogenic organic contaminants in Canadian wastewaters. Sci. Total Environ. 2007, 373, 250–269. [Google Scholar] [CrossRef]
- McConnell, L.L.; Rice, C.P.; Hapeman, C.J.; Drakeford, L.; Harman-Fetcho, J.A.; Bialek, K.; Fulton, M.H.; Leight, A.K.; Allen, G. Agricultural pesticides and selected degradation products in five tidal regions and the main stem of Chesapeake Bay, USA. Environ. Toxicol Chem. 2007, 26, 2567–2578. [Google Scholar] [CrossRef] [PubMed]
- Brooks, B.W.; Chambliss, C.K.; Stanley, J.K.; Ramirez, A.; Banks, K.E.; Johnson, R.D.; Lewis, R.J. Determination of select antidepressants in fish from an effluent-dominated stream. Environ. Toxicol Chem. 2005, 24, 464–469. [Google Scholar] [CrossRef] [PubMed]
- Correa-Reyes, G.; Viana, M.T.; Marquez-Rocha, F.J.; Licea, A.F.; Ponce, E.; Vazquez-Duhalt, R. Nonylphenol algal bioaccumulation and its effect through the trophic chain. Chemosphere 2007, 68, 662–670. [Google Scholar] [CrossRef] [PubMed]
- Rice, C.P.; Schmitz-Afonso, I.; Loyo-Rosales, J.E.; Link, E.; Thoma, R.; Fay, L.; Altfater, D.; Camp, M.J. Alkylphenol and alkylphenol-ethoxylates in carp, water, and sediment from the Cuyahoga River, Ohio. Environ. Sci. Technol. 2003, 37, 3747–3754. [Google Scholar] [CrossRef]
- Meng, Y.; Liu, W.; Liu, X.; Zhang, J.; Peng, M.; Zhang, T. A review on analytical methods for pharmaceutical and personal care products and their transformation products. J. Environ. Sci. 2021, 101, 260–281. [Google Scholar] [CrossRef]
- Hug, C.; Ulrich, N.; Schulze, T.; Brack, W.; Krauss, M. Identification of novel micropollutants in wastewater by a combination of suspect and nontarget screening. Environ. Pollut. 2014, 184, 25–32. [Google Scholar] [CrossRef]
- Kind, T.; Fiehn, O. Seven Golden Rules for heuristic filtering of molecular formulas obtained by accurate mass spectrometry. BMC Bioinform 2007, 8, 105. [Google Scholar] [CrossRef] [PubMed] [Green Version]
- Brown, A.K.; Wong, C.S. Distribution and fate of pharmaceuticals and their metabolite conjugates in a municipal wastewater treatment plant. Water Res. 2018, 144, 774–783. [Google Scholar] [CrossRef]
- Fatta-Kassinos, D.; Vasquez, M.I.; Kümmerer, K. Transformation products of pharmaceuticals in surface waters and wastewater formed during photolysis and advanced oxidation processes–degradation, elucidation of byproducts and assessment of their biological potency. Chemosphere 2011, 85, 693–709. [Google Scholar] [CrossRef] [PubMed]
- Mompelat, S.; Le Bot, B.; Thomas, O. Occurrence and fate of pharmaceutical products and by-products, from resource to drinking water. Environ. Int. 2009, 35, 803–814. [Google Scholar] [CrossRef] [PubMed]
- Bottoni, P.; Caroli, S. Presence of residues and metabolites of pharmaceuticals in environmental compartments, food commodities and workplaces: A review spanning the three-year period 2014–2016. Microchem. J. 2018, 136, 2–24. [Google Scholar] [CrossRef]
- Wilkinson, J.; Hooda, P.S.; Barker, J.; Barton, S.; Swinden, J. Occurrence, fate and transformation of emerging contaminants in water: An overarching review of the field. Environ. Pollut. 2017, 231, 954–970. [Google Scholar] [CrossRef] [Green Version]
- Choi, Y.; Jeon, J.; Kim, S.D. Identification of biotransformation products of organophosphate ester from various aquatic species by suspect and non-target screening approach. Water Res. 2021, 200, 117201. [Google Scholar] [CrossRef]
- Choi, Y.; Jeon, J.; Choi, Y.; Kim, S.D. Characterizing biotransformation products and pathways of the flame retardant triphenyl phosphate in Daphnia magna using non-target screening. Sci. Total Environ. 2020, 708, 135106. [Google Scholar] [CrossRef]
- Grabarczyk, Ł.; Mulkiewicz, E.; Stolte, S.; Puckowski, A.; Pazda, M.; Stepnowski, P.; Białk-Bielińska, A. Ecotoxicity screening evaluation of selected pharmaceuticals and their transformation products towards various organisms. Environ. Sci. Pollut. Res. 2020, 27, 26103–26114. [Google Scholar] [CrossRef]
- Carbajo, J.B.; Petre, A.L.; Rosal, R.; Herrera, S.; Letón, P.; García-Calvo, E.; Fernández-Alba, A.R.; Perdigón-Melón, J.A. Continuous ozonation treatment of ofloxacin: Transformation products, water matrix effect and aquatic toxicity. J. Hazard. Mater. 2015, 292, 34–43. [Google Scholar] [CrossRef]
- Celma, A.; Sancho, J.V.; Salgueiro-González, N.; Castiglioni, S.; Zuccato, E.; Hernández, F.; Bijlsma, L. Simultaneous determination of new psychoactive substances and illicit drugs in sewage: Potential of micro-liquid chromatography tandem mass spectrometry in wastewater-based epidemiology. J. Chromatogr. A 2019, 1602, 300–309. [Google Scholar] [CrossRef] [PubMed]
- Xu, W.; Sun, Y.; Wang, Q.; Zhao, J.; Wang, J.; Ge, X.; Xie, C.; Zhou, W.; Du, W.; Li, J.; et al. Changes in aerosol chemistry from 2014 to 2016 in winter in Beijing: Insights from high-resolution aerosol mass spectrometry. J. Geophys. Res. Atmos. 2019, 124, 1132–1147. [Google Scholar] [CrossRef]
- Zhou, X.; Zeng, D.; Wang, Y.; Tian, H.; Bai, L.; Tan, H.; Du, L. QuEChERS extraction for high performance liquid chromatographic determination of pyrazosulfuron-ethyl in soils. J. Chem. Soc. Pak. 2012, 34, 28. [Google Scholar]
- Daniele, G.; Fieu, M.; Joachim, S.; James-Casas, A.; Andres, S.; Baudoin, P.; Bonnard, M.; Bonnard, I.; Geffard, A.; Vulliet, E. Development of a multi-residue analysis of diclofenac and some transformation products in bivalves using QuEChERS extraction and liquid chromatography-tandem mass spectrometry. Application to samples from mesocosm studies. Talanta 2016, 155, 1–7. [Google Scholar] [CrossRef]
- Llompart, M.; Celeiro, M.; Dagnac, T. Microwave-assisted extraction of pharmaceuticals, personal care products and industrial contaminants in the environment. Trends Analyt. Chem. 2019, 116, 136–150. [Google Scholar] [CrossRef]
- Azzouz, A.; Ballesteros, E. Combined microwave-assisted extraction and continuous solid-phase extraction prior to gas chromatography–mass spectrometry determination of pharmaceuticals, personal care products and hormones in soils, sediments and sludge. Sci. Total Environ. 2012, 419, 208–215. [Google Scholar] [CrossRef]
- Madej, K. Microwave-assisted and cloud-point extraction in determination of drugs and other bioactive compounds. Trends Analyt Chem. 2009, 28, 436–446. [Google Scholar] [CrossRef]
- Wang, H.; Zhou, X.; Zhang, Y.; Chen, H.; Li, G.; Xu, Y.; Zhao, Q.; Song, W.; Jin, H.; Ding, L. Dynamic microwave-assisted extraction coupled with salting-out liquid–liquid extraction for determination of steroid hormones in fish tissues. J. Agric. Food Chem. 2012, 60, 10343–10351. [Google Scholar] [CrossRef]
- Huerta, B.; Jakimska, A.; Gros, M.; Rodriguez-Mozaz, S.; Barceló, D. Analysis of multi-class pharmaceuticals in fish tissues by ultra-high-performance liquid chromatography tandem mass spectrometry. J. Chromatogr. A 2013, 1288, 63–72. [Google Scholar] [CrossRef]
- Saleh, N.M.; Sanagi, M.M. Pressurized liquid extraction of polycyclic aromatic hydrocarbons from soil samples. Pertanika J. Sci. Technol. 2011, 19, 25–32. [Google Scholar]
- Li, W.L.; Zhang, Z.F.; Ma, W.L.; Liu, L.Y.; Song, W.W.; Li, Y.F. An evaluation on the intra-day dynamics, seasonal variations and removal of selected pharmaceuticals and personal care products from urban wastewater treatment plants. Sci. Total Environ. 2018, 640, 1139–1147. [Google Scholar] [CrossRef] [PubMed]
- Qu, Z.; Bai, X.; Zhang, T.; Yang, Z. Ultrasound-assisted extraction and solid-phase extraction for the simultaneous determination of five amide herbicides in fish samples by gas chromatography with electron capture detection. J. Sep. Sci. 2017, 40, 1142–1149. [Google Scholar] [CrossRef] [PubMed]
- Dorival-García, N.; Zafra-Gómez, A.; Camino-Sánchez, F.J.; Navalón, A.; Vílchez, J.L. Analysis of quinolone antibiotic derivatives in sewage sludge samples by liquid chromatography–tandem mass spectrometry: Comparison of the efficiency of three extraction techniques. Talanta 2013, 106, 104–118. [Google Scholar] [CrossRef] [PubMed]
- Dekant, W. The role of biotransformation and bioactivation in toxicity. Mol. Clin. Environ. Toxicol. 2009, 99, 57–86. [Google Scholar]
- Adams, J.P.; Collis, A.J.; Henderson, R.K.; Sutton, P.W. Biotransformations in small-molecule pharmaceutical development. Pract. Methods Biocatal. Biotransformations 2010, 1–82. [Google Scholar] [CrossRef]
- Sinclair, C.J.; Boxall, A.B. Assessing the ecotoxicity of pesticide transformation products. Environ. Sci. Technol. 2003, 37, 4617–4625. [Google Scholar] [CrossRef]
- Brandsma, S.H.; Sellström, U.; de Wit, C.A.; de Boer, J.; Leonards, P.E. Dust measurement of two organophosphorus flame retardants, resorcinol bis (diphenylphosphate) (RBDPP) and bisphenol A bis (diphenylphosphate) (BPA-BDPP), used as alternatives for BDE-209. Environ. Sci. Technol. 2013, 47, 14434–14441. [Google Scholar] [CrossRef]
- deBethizy, J.D.; Hayes, J.R. Metabolism: A determinant of toxicity. Princ. Methods Toxicol. 1994, 59–100. [Google Scholar] [CrossRef]
- Arand, M.; Cronin, A.; Oesch, F.; Mowbray, S.L.; Alwyn Jones, T. The telltale structures of epoxide hydrolases. Drug Metab. Rev. 2003, 35, 365–383. [Google Scholar] [CrossRef]
- Arand, M.; Cronin, A.; Adamska, M.; Oesch, F. Epoxide hydrolases: Structure, function, mechanism, and assay. Methods Enzymol. 2005, 400, 569–588. [Google Scholar]
- Tukey, R.H.; Strassburg, C.P. Human UDP-glucuronosyltransferases: Metabolism, expression, and disease. Annu. Rev. Pharmacol. Toxicol. 2000, 40, 581–616. [Google Scholar] [CrossRef] [PubMed]
- Duffel, M.W.; Marshall, A.D.; McPhie, P.; Sharma, V.; Jakoby, W.B. Enzymatic aspects of the phenol (aryl) sulfotransferases. Drug Metab. Rev. 2001, 33, 369–395. [Google Scholar] [CrossRef] [PubMed]
- Vogel, C. Prostaglandin H synthases and their importance in chemical toxicity. Curr. Drug Metab. 2000, 1, 391–404. [Google Scholar] [CrossRef] [PubMed]
- Ding, T.; Lin, K.; Bao, L.; Yang, M.; Li, J.; Yang, B.; Gan, J. Biouptake, toxicity and biotransformation of triclosan in diatom Cymbella sp. and the influence of humic acid. Environ. Sci. Pollut. 2018, 234, 231–242. [Google Scholar] [CrossRef] [PubMed]
- Jeon, J.; Kurth, D.; Hollender, J. Biotransformation pathways of biocides and pharmaceuticals in freshwater crustaceans based on structure elucidation of metabolites using high resolution mass spectrometry. Chem. Res. Toxicol. 2013, 26, 313–324. [Google Scholar] [CrossRef]
- Fu, Q.; Fedrizzi, D.; Kosfeld, V.; Schlechtriem, C.; Ganz, V.; Derrer, S.; Rentsch, D.; Hollender, J. Biotransformation changes bioaccumulation and toxicity of diclofenac in aquatic organisms. Environ. Sci. Technol. 2020, 54, 4400–4408. [Google Scholar] [CrossRef]
- Jeon, J.; Hollender, J. In vitro biotransformation of pharmaceuticals and pesticides by trout liver S9 in the presence and absence of carbamazepine. Ecotoxicol. Environ. Saf. 2019, 183, 109513. [Google Scholar] [CrossRef]
- Zhu, Y.; Jia, Y.; Liu, M.; Yang, L.; Yi, S.; Feng, X.; Zhu, L. Mechanisms for tissue-specific accumulation and phase I/II transformation of 6: 2 fluorotelomer phosphate diester in earthworm (M. guillelmi). Environ. Int. 2021, 151, 106451. [Google Scholar] [CrossRef]
- Abdallah, M.A.E.; Nguyen, K.H.; Moehring, T.; Harrad, S. First insight into human extrahepatic metabolism of flame retardants: Biotransformation of EH-TBB and Firemaster-550 components by human skin subcellular fractions. Chemosphere 2019, 227, 1–8. [Google Scholar] [CrossRef]
- Di Giulio, R.T.; Hinton, D.E. The Toxicology of Fishes; CRC Press: Boca Raton, FL, USA, 2008. [Google Scholar]
- Rodd, A.L.; Messier, N.J.; Vaslet, C.A.; Kane, A.B. A 3D fish liver model for aquatic toxicology: Morphological changes and Cyp1a induction in PLHC-1 microtissues after repeated benzo (a) pyrene exposures. Aquat. Toxicol. 2017, 186, 134–144. [Google Scholar] [CrossRef] [Green Version]
- Santana, M.S.; Sandrini-Neto, L.; Neto, F.F.; Ribeiro, C.A.O.; Di Domenico, M.; Prodocimo, M.M. Biomarker responses in fish exposed to polycyclic aromatic hydrocarbons (PAHs): Systematic review and meta-analysis. Environ. Pollut. 2018, 242, 449–461. [Google Scholar] [CrossRef]
- Vieweg, I.; Benedetti, M.; Lanzoni, I.; Regoli, F.; Nahrgang, J. Antioxidant defenses in polar cod (Boreogadus saida) and responsiveness toward dietary crude oil exposure. Mar. Environ. Res. 2017, 130, 48–59. [Google Scholar] [CrossRef] [Green Version]
- Banni, M.; Bouraoui, Z.; Ghedira, J.; Clerandeau, C.; Guerbej, H.; Narbonne, J.F.; Boussetta, H. Acute effects of benzo [a] pyrene on liver phase I and II enzymes, and DNA damage on sea bream Sparus aurata. Fish Physiol. Biochem. 2009, 35, 293–299. [Google Scholar] [CrossRef] [PubMed]
- Donner, E.; Kosjek, T.; Qualmann, S.; Kusk, K.O.; Heath, E.; Revitt, D.M.; Ledin, A.; Andersen, H.R. Ecotoxicity of carbamazepine and its UV photolysis transformation products. Sci. Total Environ. 2013, 443, 870–876. [Google Scholar] [CrossRef] [Green Version]
- Boillot, C.; Bueno, M.M.; Munaron, D.; Le Dreau, M.; Mathieu, O.; David, A.; Fenet, H.; Casellas, C.; Gomez, E. In vivo exposure of marine mussels to carbamazepine and 10-hydroxy-10, 11-dihydro-carbamazepine: Bioconcentration and metabolization. Sci. Total Environ. 2015, 532, 564–570. [Google Scholar] [CrossRef] [PubMed]
- Valdés, M.E.; Huerta, B.; Wunderlin, D.A.; Bistoni, M.A.; Barceló, D.; Rodriguez-Mozaz, S. Bioaccumulation and bioconcentration of carbamazepine and other pharmaceuticals in fish under field and controlled laboratory experiments. Evidences of carbamazepine metabolization by fish. Sci. Total Environ. 2016, 557, 58–67. [Google Scholar] [CrossRef] [PubMed]
- Liu, Q.T.; Williams, T.D.; Cumming, R.I.; Holm, G.; Hetheridge, M.J.; Murray-Smith, R. Comparative aquatic toxicity of propranolol and its photodegraded mixtures: Algae and rotifer screening. Environ. Toxicol. Chem. 2009, 28, 2622–2631. [Google Scholar] [CrossRef]
- Toolaram, A.P.; Menz, J.; Rastogi, T.; Leder, C.; Kümmerer, K.; Schneider, M. Hazard screening of photo-transformation products from pharmaceuticals: Application to selective β1-blockers atenolol and metoprolol. Sci. Total Environ. 2017, 579, 1769–1780. [Google Scholar] [CrossRef]





| Positive Finding (%) | ||
|---|---|---|
| EWW (n = 38) | SW (n = 18) | |
| Irbesartan | 92 | 39 |
| ISW1 | 87 | 6 |
| IB3 | 84 | 22 |
| IB3 | 89 | 22 |
| IB4 | 32 | 11 |
| IB5 | 79 | 22 |
| Valsartan | 79 | 33 |
| Venlafaxine | 87 | 22 |
| VB1a | 92 | 17 |
| VB1b | 92 | 17 |
| V1 | 58 | 6 |
| V2 | 87 | 11 |
| Ofloxacin | 82 | 17 |
| Ibuprofen | 11 | 6 |
| IbSW2a | 16 | 11 |
| IbSW2b | 8 | 0 |
| IbB4 | 34 | 50 |
| Ib1 | 21 | 6 |
| Gemfibrozil | 24 | 22 |
| GSWB1 | 71 | 33 |
| Transformation | Change in Molecular Formula | Mass Change (Da) | Parent Chemical | Parent Structure | Product Structure | Reference |
|---|---|---|---|---|---|---|
| loss of nitro group | –NO2 + H | −44.9851 | Chloramphenicol | ![]() | ![]() | [65] |
| decarboxylation | –CO2 | −43.9898 | Ibuprofen | ![]() | ![]() | [66] |
| depropylation | –C3H6 | −42.0468 | Ibuprofen | ![]() | ![]() | [66] |
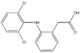
| reductive displacement of chlorine | –Cl + H | −33.9611 | Triclocarban | ![]() | ![]() | [67] |
| desethylation | –C2H4 | −28.0312 | Lidocaine | ![]() | ![]() | [68] |
| dehydration | –H2O | −18.0106 | Hydroxylation ibuprofen | ![]() | ![]() | [69] |
| reductive displacement of fluorine | –F + H | −17.9906 | Ciprofloxacin | ![]() | ![]() | [70] |
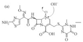
| oxidative displacement of chlorine | –Cl + OH | −17.9662 | Ceftriaxone | ![]() | ![]() | [71] |
| demethylation | –CH2 | −14.0157 | Naproxen | ![]() | ![]() | [72] |
| hydrogenation reduction | 0 | +2.0157 | Carbamazepine | ![]() | ![]() | [73] |
| alcohol to carboxylic acid | −2H + O | +13.9792 | O-desmethylmetoprolol | ![]() | ![]() | [59] |
| ketone/aldehyde formation | −2H + O | +13.9792 | 2,6-di-tert-butyl-4-methylphenol | ![]() | ![]() | [74] |
| N/S-oxidation | +O | +15.9949 | 2-Acetylaminofluorene | ![]() | ![]() | [75] |
| epoxidation | +O | +15.9949 | Carbamazepine | ![]() | ![]() | [73] |
| hydroxylation | +O | +15.9949 | Diclofenac | ![]() | ![]() | [72] |
| hydration | +H2O | +18.0106 | Carbamazepine | ![]() | ![]() | [73] |
| methyl to carboxylic acid | –2H + O2 | +29.9741 | Δ-9-tetrahydrocannabinol | ![]() | ![]() | [76] |
| dihydroxylation | 0 | +31.9898 | Carbamazepine | ![]() | ![]() | [73] |
| chlorination | +Cl-H | 33.9612 | Methylparaben | ![]() | ![]() | [77] |
| dichlorination | +2Cl | 69.9173 | Acetaminophen | ![]() | ![]() | [78] |
| acetylation | +C2H2O | +42.0106 | Sulfamethazine | ![]() | ![]() | [79] |
| hydroxyl chlorination | +Cl + OH | 51.9718 | Carbamazepine | ![]() | ![]() | [78] |
| oxidative deamination | −NH + O | + 0.9840 | Amphetamine | ![]() | ![]() | [80] |
| methylation | 0 | +14.0157 | Thiouracil | ![]() | ![]() | [80] |
| sulfate conjugation | 0 | +79.9568 | Triclosan | ![]() | ![]() | [67] |
| glycine conjugation | +C2H3NO | +57.0215 | Benzoic acid | ![]() | ![]() | [81] |
| taurine conjugation | +C2H5NO2S | +107.0041 | Bile acids | ![]() | ![]() | [80] |
| S-cysteine conjugation | +C3H5NO2S | +119.0041 | 2-acetomido-4-chloromethylthiazole | ![]() | ![]() | [80] |
| N-acetylcysteine conjugation | +C6H8NO3S | +161.0147 | Naphthalene | ![]() | ![]() | [80] |
| glucuronide conjugation | +C6H8O6 | +176.0321 | Testosterone | ![]() | ![]() | [80] |
| S-glutathione conjugation | +C10H15N3O6S | +305.0682 | Oxidation phenacetin | ![]() | ![]() | [81] |
Publisher’s Note: MDPI stays neutral with regard to jurisdictional claims in published maps and institutional affiliations. |
© 2022 by the authors. Licensee MDPI, Basel, Switzerland. This article is an open access article distributed under the terms and conditions of the Creative Commons Attribution (CC BY) license (https://creativecommons.org/licenses/by/4.0/).
Share and Cite
Suman, T.-Y.; Kim, S.-Y.; Yeom, D.-H.; Jeon, J. Transformation Products of Emerging Pollutants Explored Using Non-Target Screening: Perspective in the Transformation Pathway and Toxicity Mechanism—A Review. Toxics 2022, 10, 54. https://doi.org/10.3390/toxics10020054
Suman T-Y, Kim S-Y, Yeom D-H, Jeon J. Transformation Products of Emerging Pollutants Explored Using Non-Target Screening: Perspective in the Transformation Pathway and Toxicity Mechanism—A Review. Toxics. 2022; 10(2):54. https://doi.org/10.3390/toxics10020054
Chicago/Turabian StyleSuman, Thodhal-Yoganandham, Soo-Yeon Kim, Dong-Hyuk Yeom, and Junho Jeon. 2022. "Transformation Products of Emerging Pollutants Explored Using Non-Target Screening: Perspective in the Transformation Pathway and Toxicity Mechanism—A Review" Toxics 10, no. 2: 54. https://doi.org/10.3390/toxics10020054
APA StyleSuman, T.-Y., Kim, S.-Y., Yeom, D.-H., & Jeon, J. (2022). Transformation Products of Emerging Pollutants Explored Using Non-Target Screening: Perspective in the Transformation Pathway and Toxicity Mechanism—A Review. Toxics, 10(2), 54. https://doi.org/10.3390/toxics10020054































































