Abstract
Background: Convenience stores face volatile demand and a direct trade-off between stock-outs and overstocking, both of which affect service levels and profitability. This study aims to optimize inventory management through a reproducible forecasting-and-optimization workflow, assessing its impact on return on investment (ROI) and operational metrics, such as fill rate and stockouts. Methods: The workflow integrates daily, store-level transactions with external covariates, constructs temporal and lag features, and trains a Random Forest (RF) model using chronological splitting and time-series validation. Daily forecasts are then aggregated to the monthly level and used as inputs to an inventory simulation and an ROI-based economic model. Building on this simulation, a Genetic Algorithm (GA) optimizes the parameters of a monthly replenishment policy, incorporating minimum-coverage constraints. Results: In testing, the forecasting model achieved a mean absolute percentage error (MAPE) below 13%, and the RF+GA scheme outperformed the 28-day moving average baseline (MA28) in ROI across all five stores, with an average improvement of 4.52 percentage points; statistical significance was confirmed using the Wilcoxon test. Conclusions: Overall, the RF+GA approach serves as a decision-support tool that generates monthly order quantities consistent with demand and operational constraints, delivering verifiable improvements in both economic and service metrics.
1. Introduction
Currently, inventory management is a central component of retail operations due to its direct impact on profitability and service level. Insufficient inventory increases stockouts and lost sales, whereas excessive inventory ties up capital and raises holding and obsolescence costs [1]. In highly variable markets, these decisions require data-driven approaches that enable an appropriate operational response to changes in demand [2]. In particular, demand forecasting must be linked to replenishment policies that balance stockouts and overstocking under operational constraints, using economic and service metrics for evaluation.
In the convenience store sector, the problem is intensified by highly volatile demand, space limitations, and the high opportunity cost associated with unrealized sales. In this context, a stockout not only implies a lost transaction but also a deterioration in customer experience; conversely, overstocking reduces return on investment (ROI) by increasing costs and waste [3]. These conditions narrow the decision margin and require replenishment policies that precisely adjust order quantity and timing under operational constraints.
In practice, inventory management relies on three families of approaches. First, analytical models and deterministic policies, e.g., reorder rules, continuous-review policies (s, S), economic order quantity (EOQ), and variants, are valued for their simplicity, interpretability, and ease of implementation, especially when demand and cost assumptions are stable and parameters can be estimated with reasonable accuracy [4,5,6]. However, their main weakness is that they rely on restrictive assumptions (stationarity, known demand distributions, or constant costs) and tend to degrade when demand is highly volatile, regime shifts occur, or the operating environment introduces constraints that are not explicitly modeled (space, availability, ordering windows) [7].
Second, classical statistical forecasting methods, e.g., moving averages, exponential smoothing, Holt–Winters, and autoregressive integrated moving average (ARIMA), provide a robust and computationally inexpensive basis for capturing trend and seasonality under relatively stable conditions, with standardized calibration procedures [8]. However, they can be limited when demand exhibits nonlinearities, irregular patterns, or interactions with exogenous variables, and they tend to be sensitive to structural changes and atypical episodes that affect predictive performance [9]. Consequently, their usefulness for parameterizing replenishment policies is reduced when forecasting error translates into suboptimal decisions, such as stockouts or overstocking [10].
Third, optimization- and simulation-based approaches allow operational constraints to be incorporated and policies to be evaluated under more realistic scenarios; however, their effectiveness depends critically on forecast quality and on the modeling of inventory dynamics, which can limit performance when demand uncertainty is not adequately represented [11]. These limitations become particularly critical in convenience stores, where physical space and working capital constrain the ability to buffer uncertainty through safety stock.
In this regard, supervised learning models have shown the ability to capture nonlinear relationships and combine multiple predictors in demand forecasting [12]. Likewise, metaheuristics such as genetic algorithms (GAs) are used to explore complex decision spaces when exact optimization is intractable, especially under operational constraints and economic objectives [13]. Nevertheless, a gap remains in real-world applications: forecasting and optimization are often treated as separate stages, making it difficult to interpret predictive performance in replenishment policies evaluated with business metrics under a consistent time-series validation framework [14].
Recent retail studies have shown that machine-learning forecasting models can improve demand prediction by capturing nonlinear effects and interactions with calendar and exogenous covariates [15]. In parallel, simulation–optimization approaches have been used to tune inventory policies under operational constraints when closed-form optimization is not available [16]. However, evidence of end-to-end frameworks that couple store-level machine-learning forecasts with policy optimization under an economic objective remains limited in convenience-store settings [17].
The novelty of this work lies in coupling a store-level Random Forest (RF) forecasting model with a GA that optimizes replenishment policy parameters under a simulation-based ROI objective in a real convenience-store setting. To address this gap, this study proposes a hybrid framework that integrates (i) a RF model to forecast daily demand using temporal variables and recent history, (ii) an inventory performance simulation, and (iii) a GA to optimize the parameters of a monthly replenishment policy with an ROI-based economic objective function and operational constraints. The approach is benchmarked against a 28-day moving average MA28, baseline under the same temporal partitioning scheme.
The objective of this work is to optimize inventory management in convenience stores through a reproducible forecasting-and-optimization workflow, evaluating its impact on ROI and operational metrics, as fill rate and stockouts, and comparing it with MA28. The main contributions of this study are as follows.
- —
- An end-to-end RF–GA framework for convenience stores that links daily demand forecasting to monthly replenishment policy optimization under an ROI-based simulation objective.
- —
- Simulation-based evaluation using economic and operational metrics such as ROI, fill rate, and stockouts.
- —
- Direct comparison against MA28 under equivalent assumptions and time partitioning.
- —
- Statistical significance testing (Wilcoxon) and sensitivity analysis to assess robustness.
Section 2 describes the study scenario, data sources, feature construction, the forecasting model, and the optimization and simulation formulation. Section 3 presents predictive performance and operational impact results, as well as the corresponding robustness analyses. Section 4 discusses implications, limitations and research directions. Finally, Section 5 summarizes the conclusions.
2. Materials and Methods
2.1. Data Used
This study is conducted in a retail setting where the unit of analysis is the store. The dataset covers five anonymized convenience stores located in Lima, Peru, specifically in Santiago de Surco, Lurín, Cercado de Lima, and two stores in San Juan de Lurigancho. Data are processed at a daily resolution, while replenishment decisions are made monthly. In each monthly cycle, an order quantity is determined from the demand forecast and evaluated through inventory simulation using operational and economic metrics. The data structure integrates (i) daily transactions and geographic metadata, and (ii) external climatic variables obtained from the NASA Prediction of Worldwide Energy Resources (POWER) project via its Application Programming Interface (API) [18].
The dataset was provided by a convenience store chain under a confidentiality agreement that precludes disclosure of the operator’s identity. It covers five stores over 15 January 2022 to 29 February 2024, comprising 776 calendar days; due to a small number of non-operating days with no recorded store–day data, the effective number of store–day observations varies slightly by store (771–776), yielding a total of 3874 store–day records. External climatic covariates were obtained from the NASA POWER API [18] at daily resolution and matched to each store’s geolocation.
The target variable is daily demand, defined as the number of transactions . These variables were selected because they are available at daily resolution and capture key drivers of store-level demand. Transaction counts represent customer arrival intensity and define the demand measure used in this study. Climatic covariates were included as exogenous drivers because weather conditions can influence customer traffic and purchasing behavior and provide information not contained in lagged transactions alone. The unit of analysis is the store–day, and demand is measured as daily transaction counts rather than product-level sales. Therefore, product- or SKU-level quantities are outside the scope of this study.
Exogenous covariates include temperature, relative humidity, precipitation, wind speed, and solar radiation, incorporated at daily resolution according to each store’s geolocation. Figure 1 shows the daily transactions per store over the study period (2022–2024).
Figure 1.
Daily transactions () per store over the study period (2022–2024).
Internal data include daily transactions , monetary sales , and average ticket . Each store’s location is represented by and , which are used to assign the corresponding climatic conditions. External covariates include temperature (°C), relative humidity (%), precipitation (mm), wind speed (m/s), and solar radiation (MJ/).
In this study, the target variable is defined as daily demand measured by transactions, as stated in Equation (1).
The RF model is trained to predict using, as independent variables, the climatic covariates and derived temporal features (calendar variables, lags, and special days). Monetary variables are not included as features because they depend directly on the transaction volume.
2.2. Data Preprocessing and Feature Engineering
Missing values and duplicates were checked in and in the climatic covariates . No missing values were found within the available store–day records after extraction, store–day aggregation, and alignment with climatic covariates; therefore, no imputation was required. Duplicate dates were checked and none were found. It was verified that and that climatic covariates were within plausible ranges. Outliers were detected per store using extreme percentiles and handled via winsorization. Dates were standardized and store series were chronologically ordered and aligned with climatic covariates using the available store–day records.
Explanatory variables were derived from the date and recent transaction history. Calendar features included day of week, month, week of year, weekend indicator, and period-change indicators. Lag features for were included with lags , as defined in Equation (2).
Finally, binary indicators for special days (holidays and promotional campaigns) were included, taking values , to model deviations from regular purchasing behavior.
Table 1 reports Pearson’s and Spearman’s correlations between daily demand and the engineered predictors (lags, rolling statistics, calendar and climatic covariates). p-values are shown for both correlation measures; store–day observations.
Table 1.
Pearson and Spearman correlations between daily demand and candidate predictors (store–day level). N = 3874 store–day observations for all correlations.
2.3. Experimental Design and Validation Strategy
Figure 2 summarizes the study workflow: integration of store data and climatic variables, preprocessing, demand forecasting using RF, replenishment policy optimization using a GA, and performance evaluation via simulation and outcome metrics. A chronological holdout split was applied to 15 January 2022–29 February 2024, using 15 January 2022–30 September 2023 for training and 1 October 2023–29 February 2024 for testing.
Figure 2.
Methodological workflow of the proposed RF–GA inventory optimization framework.
The test period was reserved exclusively for final evaluation and was not used during training or hyperparameter tuning. The study period comprises 776 calendar days. During training, records are missing for one day in Store 1 (5 April 2022) and for five days in Store 3 (6 April 2022–10 April 2022) because the store did not open on those dates. Accordingly, preprocessing and feature construction were performed using available observations only, without imputing demand on non-operating days, and ensuring that lagged variables and any transformations were constructed using only information available prior to time .
The test period is complete for all stores. Over the full study period, the effective number of store–day observations varies slightly by store, ranging from 771 to 776, as summarized in Appendix A. Hyperparameters were tuned using temporal cross-validation with rolling windows implemented via TimeSeriesSplit () applied exclusively within the training period. Features and lag variables were computed using only information available up to time .
2.4. Demand Forecasting Model (Random Forest)
Let denote the store index and the daily time index. The target variable corresponds to daily demand measured as the number of transactions, as defined in Equation (1). For each store , the input set is defined as a feature vector, as shown in Equation (3) [19].
where represents calendar variables, includes demand lags , and contains the external climatic variables . The model learns a prediction function , as defined in Equation (4) [20].
where denotes the daily demand forecast. These forecasts were subsequently used as inputs for the inventory simulation and the optimization of the replenishment policy.
The optimal configuration was selected by minimizing the average forecasting error across the temporal splits and prioritizing stable settings. Using the selected hyperparameters, the final model was retrained on the full training set and then used to generate daily demand forecasts, as expressed in Equation (5), for the test periods while strictly preserving chronological order.
where denotes the forecast demand for store on day . Since the inventory decision is made at the monthly level, daily forecasts were aggregated by month to estimate the expected monthly demand used in the simulation and in the replenishment policy, as defined in Equation (6).
where denotes the cumulative forecast demand for month . This variable is used as input for the inventory simulation module and to the optimization of the monthly ordering policy.
To interpret the contribution of explanatory variables in the RF model, feature importance was estimated using the Mean Decrease in Impurity (MDI), which quantifies the cumulative reduction in node impurity attributable to splits on each variable across the ensemble. Importances were normalized to obtain relative values comparable across variables, as defined in Equation (7) [20].
where is the impurity decrease at node when splitting on variable , denotes the set of nodes that use in tree , and is the number of trees.
RF was selected for demand prediction because it captures nonlinear relationships and interactions between lagged demand and exogenous covariates, while requiring limited tuning and providing stable performance in store-level datasets. The GA Algorithm was selected for policy optimization because the objective is evaluated through an inventory simulation and is non-convex and non-differentiable.
No feature normalization was applied because Random Forest is scale-invariant and does not require standardized inputs. Calendar encodings such as sin_day_of_year and cos_day_of_year are bounded in [−1, 1], and binary indicators are in {0, 1}. Climatic covariates were kept in their original units to preserve interpretability
GA provides a derivative-free search over continuous policy parameters and enables direct optimization of the ROI-based fitness. Alternative forecasting and optimization approaches were considered, and RF and GA were selected as a practical trade-off between predictive performance and operational interpretability under a simulation-based objective.
2.5. Inventory Simulation Model
A discrete-event simulation model with daily resolution was implemented to evaluate the impact of the demand forecast and the replenishment policy on operational and economic performance. The model quantifies fulfilled sales, unmet demand, and derived metrics (fill rate, stockouts, and ROI). The demand forecasting, inventory simulation, and optimization procedures were implemented in Python 3.13.
Let denote the store index and the daily time index. Observed demand was defined as the number of daily transactions, as stated in Equation (8).
The available inventory at the end of day is denoted by , and its dynamics are modeled through a daily inflow–outflow balance, as shown in Equation (9) [21].
where denotes the replenishment received on day , represents fulfilled sales, and . Fulfilled sales are defined as the portion of demand that can be met with the available inventory, as shown in Equation (10) [21].
Unmet demand (lost sales, with no backordering) is modeled as shown in Equation (11) [21].
Under these definitions, end-of-day inventory can be expressed equivalently as shown in Equation (12) [21].
This scheme assumes no backlogging; therefore, any unmet demand on day is recorded as lost sales . Replenishment is modeled under a monthly periodic-review scheme, where store places an order at the beginning of each month based on the demand forecast. The RF model generates daily forecasts , which are aggregated to obtain an estimate of expected monthly demand, as shown in Equation (13) [21].
Based on , the replenishment policy determines a monthly order quantity . In general, this order is expressed as a parametric function of the forecast, as shown in Equation (14) [20].
where denotes the set of decision parameters of the policy (subsequently optimized using a GA).
In the daily simulation, the replenishment received is triggered at the beginning of each month and incorporated into inventory as a discrete inflow, as shown in Equation (15) [20].
where denotes the first day of month . Under this scheme, the monthly order is represented as a single replenishment per cycle, and inventory evolves on a daily basis.
A stockout event is defined when unmet demand occurs on day , i.e., when . In this study, the monthly stockout count is computed as shown in Equation (16) [21].
where is an indicator function defined as if and if .
Note that by construction; therefore, the non-stockout case corresponds to .
The fill rate is defined as the fraction of total demand that is satisfied over the evaluation period. For each month , it is computed as shown in Equation (17) [21].
where denotes observed demand (transactions) and denotes fulfilled sales. Holding cost was estimated as a function of inventory on hand over time. Thus, stockouts capture the occurrence of shortages, whereas fill rate summarizes the overall service level as the proportion of demand fulfilled.
For month , the average inventory is defined as shown in Equation (18) [21].
Similarly, the monthly holding cost is computed as shown in Equation (19) [21].
where is the daily unit holding cost. This term penalizes high inventory levels and enables assessment of the trade-off between product availability and inventory carrying cost.
2.6. Economic Model
Performance was evaluated using an economic model based on revenue and cost flows associated with replenishment and inventory operations. This model was used to quantify the net benefit of a monthly ordering policy and to define the objective function [22].
Let denote the store index, the daily index, and the monthly index. is the order quantity, while , , and represent fulfilled sales, inventory on hand, and unmet demand, respectively. Monthly revenue was computed from and the unit revenue , as shown in Equation (20).
The purchasing cost associated with the monthly order was estimated using the unit procurement cost , as shown in Equation (21).
In this study, the unit procurement cost is defined as , where is the unit selling price and is the gross margin. The unit procurement cost is assumed constant across order quantities and time periods. Volume discounts and temporal or market variations are not considered. Holding cost was computed from the simulated inventory and the daily unit holding cost , as detailed in Equation (22).
The penalty for unmet demand was defined using the unit penalty cost , as shown in Equation (23).
In Equation (23), denotes the monthly shortage penalty cost for store in month . The term represents the total unmet demand accumulated over all days in month , and is the unit penalty cost per unit of unmet demand.
Where is the unit revenue, is the unit procurement cost, is the daily unit holding cost, and is the unit penalty associated with unmet demand. ROI was used as the primary economic metric and optimization criterion; for each store and month , it was defined as the ratio between the period net profit and the procurement cost of the monthly order, as shown in Equation (24).
where denotes revenue from fulfilled sales, the procurement cost, the holding cost, and the penalty for unmet demand. For store-level evaluation, ROI can be aggregated over the full analysis horizon of months as shown in Equation (25).
The economic model was formulated using standard inventory cost components and included a penalty for unmet demand to reduce the risk of stockouts. The economic parameters are summarized in Table 2. The unit selling price was obtained from transactional records using TicketProm. The gross margin was set to 0.25, and the unit procurement cost was computed as . The daily holding cost was computed as . The stockout penalty was computed as . These parameter definitions and values follow the inventory cost assumptions reported in the cited reference. Table 2 reports the economic parameters used in the inventory simulation; parameter definitions follow standard inventory modeling practice (e.g., [23,24,25]).
Table 2.
Economic parameters used in inventory simulation.
2.7. Genetic Algorithm Optimization
The monthly replenishment policy was parameterized using a set of continuous decision variables optimized with a GA [26]. For each store , the chromosome is defined as a vector, as shown in Equation (26).
where each gene represents an adjustable parameter of the monthly ordering policy and controls specific mechanisms related to demand coverage and risk tolerance. The definition, search ranges, and operational role of each gene are summarized in Table 3.
Table 3.
Genetic Algorithm (GA) decision vector : gene definitions and search space.
The genes adjust the monthly order quantity as a function of the forecast, incorporating corrections for variability and temporal patterns; therefore, the policy is defined as an adaptive parametric rule. Demand uncertainty is handled implicitly through the GA-optimized policy parameters rather than through an explicit probabilistic forecast. The RF provides a point forecast that is used as the baseline demand input in the inventory simulation. The GA adjusts store-level parameters such as the Variability Buffer and the Conservative Factor, which act as safety margins against demand variability and forecast errors. The shortage penalty in the objective function further discourages fragile policies that lead to stockouts.
In the GA, each represents a policy and is evaluated through inventory simulation driven by the RF forecast. Fitness was defined as the simulated ROI, as shown in Equation (27) [27].
where is the economic return obtained by applying the replenishment policy under the inventory dynamics and the associated revenue/cost components.
The GA operators and general terminology follow standard references on evolutionary computing (e.g., [28,29,30]); Table 3 reports the decision variables and search ranges defined for this study. The replenishment policy was optimized using a GA configured to reduce premature convergence: a population of 100 individuals over 100 generations, crossover probability , mutation probability , elitism (top 4 individuals per generation), and tournament selection with . The stopping criterion was the maximum number of generations (100) [31].
2.8. Baseline Definition
As a reference benchmark, a baseline forecasting model based on a MA28 was defined [32]. For each store and day , the baseline forecast was computed as shown in Equation (28).
where denotes the observed daily demand. This baseline uses only historical information available prior to day and was used to compare predictive performance and the operational/economic impact of the proposed approach.
For a fair comparison, the MA28 baseline was evaluated using the same simulation model and economic structure as the proposed approach, while keeping identical operational assumptions. Thus, the only difference between scenarios was the demand estimation method (MA28 vs. RF+GA), allowing performance differences to be attributed to the forecast and the resulting policy.
2.9. Performance Evaluation and Statistical Analysis
Forecasting performance was evaluated using standard error metrics computed on the holdout test set for each store . Let denote observed demand and the corresponding forecast [33]. In this regard, the Mean Absolute Error (MAE) is defined in Equation (29).
The Root Mean Squared Error (RMSE) is defined in Equation (30).
The symmetric mean absolute percentage error (sMAPE, also denoted SMAPE) is defined in Equation (31).
An evaluated observation corresponds to one store–day record for a given store in the test set. Observed demand was obtained from transactional records and aggregated at the store–day level. Where is the number of evaluated observations for store in the test period. In this study, the test period is complete for all stores; hence, .
These metrics enable comparison between the proposed approach and the MA28 baseline under a consistent evaluation scheme.
System performance was assessed using operational and business metrics computed from the inventory simulation. For each store and month , ROI () was estimated from revenue and cost components.
The fill rate (), stockouts (), and holding cost () are computed as defined in Equations (16), (17) and (22), respectively.
These metrics were used to compare the proposed approach (RF+GA) against the MA28 baseline under identical simulation conditions and economic parameters.
The nonparametric Wilcoxon signed-rank test was applied to assess whether the proposed approach (RF+GA) yields statistically significant improvements over the baseline (MA28) in store-level metrics. The hypotheses were defined as shown in Equation (32) [34].
where . The significance level was set to , which is a standard threshold in applied empirical studies to control the Type I error rate while maintaining statistical power, and was rejected when . We also assessed and as sensitivity levels, and the qualitative conclusions remained unchanged.
3. Results
3.1. Demand Temporal Structure (ACF/PACF and STL)
Figure 3 shows the autocorrelation function (ACF) and partial autocorrelation function (PACF) of daily demand for Stores 1–5. In all cases, the ACF exhibits a gradual decay and significant positive correlations across multiple lags, indicating temporal dependence on demand. Recurrent peaks are also observed at lags close to 7 days, suggesting a weekly pattern in transaction behavior (95% confidence level).
Figure 3.
Autocorrelation (ACF) and partial autocorrelation (PACF) functions of daily demand for Stores 1–5. The orange bars denote the estimated coefficients, and the shaded area denotes the 95% confidence interval.
The PACF shows a dominant spike at lag 1 for all stores, indicating short-term dependence. In addition, significant values appear at lags associated with weekly multiples, with magnitudes that vary across stores. For higher lags, partial autocorrelations tend to fall within the confidence intervals, suggesting a limited direct contribution from higher-order terms. These results support the inclusion of short-term lags and calendar features in the forecasting model and are consistent with the use of nonlinear methods such as RF to represent both temporal dependence and seasonal patterns in daily demand.
Figure 4 shows the STL decomposition of daily demand (Tx) for Store 1, separating the series into trend, seasonal component, and remainder. The original series exhibits high day-to-day variability, while the trend captures medium- and long-term evolution with gradual changes over the analyzed period. The seasonal component shows a stable and recurrent periodic pattern associated with the weekly demand cycle, and the remainder is centered around zero with high-frequency fluctuations and isolated events not explained by the trend or seasonality.
Figure 4.
Seasonal-trend decomposition of daily demand (Store 1).
For Stores 2–5 the STL decomposition exhibits a similar structure with a smoothed trend, regular seasonality, and residuals centered around zero. Differences across stores are observed in demand level, seasonal amplitude, and residual magnitude, reflecting operational heterogeneity and local variability. These results support the inclusion of calendar features and temporal lags in forecasting and motivate store-specific modeling within the simulation and optimization framework.
3.2. Train–Test Distribution Check by Month
Figure 5 shows the distribution of daily demand (Tx) stratified by calendar month, comparing the training set (January 2022–September 2023) and the test set (October 2023–February 2024). For each month, the boxplots display the median, interquartile range, and outliers, allowing a qualitative comparison of monthly distributions across splits.
Figure 5.
Monthly distribution of daily demand by calendar month: comparison between training and test sets (boxplots represent the median, interquartile range, and outliers).
While the month-of-year seasonal structure is preserved across splits, several months exhibit noticeable distributional shifts between the training and test sets in terms of median and dispersion. Such shifts are expected in real-world retail time series under chronological splitting and motivate explicit seasonality encodings and strict out-of-sample evaluation. The presence of test months in January and February corresponds to observations from 2024 included in the test period. Therefore, Figure 5 is intended as a descriptive seasonality check rather than evidence of identical train–test distributions.
3.3. Random Forest Forecasting Results
Table 4 summarizes the final RF hyperparameter configuration selected for each store, indicating that tuning was not uniform across units of analysis. In general, the model converged to relatively shallow trees () for four of the five stores, whereas one store required higher complexity () to capture additional patterns in the series. The max_features parameter alternated between 0.8 and 1.0, suggesting that performance improved either by using all predictors or by using a fraction to increase tree diversity and reduce inter-tree correlation, depending on the store. Regarding regularization, and min_samples_leaf values in the range 5–15 indicate early splitting with overfitting control through a minimum number of observations per leaf. Finally, the number of trees () ranged from 100 to 300, reflecting store-level differences in the stability required; larger values are associated with variance reduction and improved forecast robustness.
Table 4.
Optimal Random Forest hyperparameters by store.
Table 5 reports forecasting accuracy metrics for each store on the test set. In terms of error magnitude, RMSE ranges from 102.3 to 150.4 transactions/day, while MAE ranges from 72.1 to 102.5 transactions/day. These ranges indicate stable performance across stores, with differences attributable to store-specific demand variability. Stores 4 and 5 show the lowest RMSE (107.0 and 102.3) and MAE (77.8 and 72.1), indicating closer agreement between forecasts and observed demand during the evaluation period.
Table 5.
Forecast accuracy metrics for each store on the test set.
For relative metrics, MAPE remains below 13% for all stores, with values between 7.6% and 12.5%, indicating bounded percentage errors over the test set. Robust MAPE ranges from 5.5% to 7.9% and is consistently lower than standard MAPE across all stores. This gap indicates reduced sensitivity of the error estimate to extreme observations, consistent with forecasting performance that is less affected by atypical demand episodes. In addition, the same test sample size (N = 152) for all five stores supports direct comparability of the metrics under consistent evaluation conditions, enabling cross-store performance comparisons despite differences in demand dynamics.
Table 6 compiles the 10 most important variables across the five stores, reporting the importance of each predictor (%) obtained from the RF models. The feature encodes annual seasonality in a cyclic way and avoids an artificial discontinuity at the year boundary. Temperature was included as an exogenous predictor to capture weather-related demand variability not explained by lagged demand features. The global rank is defined by the mean importance across stores, while the Store 1–Store 5 columns show store-specific contributions.
Table 6.
Consolidated top 10 feature importance across stores (Random Forest), expressed as percentage contribution.
Overall, lag-based temporal variables dominate as transactions_lag_7 and transactions_lag_14 account for the largest average importance, indicating that recent autocorrelation explains a substantial share of demand dynamics. In contrast, calendar variables (e.g., day_of_week and sin_day_of_year) and the climatic variable (temperature) show comparatively lower contributions, suggesting that demand is driven primarily by internal and seasonal patterns rather than by weather conditions. The Std column summarizes cross-store variability, indicating heterogeneity in the relative influence of some predictors across locations.
3.4. GA Optimization and Policy Behavior
Figure 6 shows the evolution of GA fitness (ROI) for the five stores, including the Best, Mean, and Worst curves and the dispersion band (Mean ± Std). All cases exhibit rapid convergence. During the first generations (approximately 1–10), the Mean increases sharply and approaches the Best value. After this phase, the curves enter a plateau where further improvements are marginal, indicating that high-quality solutions are reached early and subsequent iterations provide incremental refinements.
Figure 6.
Genetic algorithm convergence (ROI fitness) for the five stores (Stores 1–5).
The Mean ± Std band narrows as generations progress, indicating reduced population variability and increased stability of the solutions. The Worst trajectory shows higher variability and lower values, particularly at the beginning, which is expected during exploration when suboptimal individuals coexist with competitive ones. As the search proceeds, Worst increases, indicating that improvement is not limited to the best individual but extends to the overall population.
Across stores, convergence dynamics are similar: (i) Best reaches a high value rapidly and remains nearly constant, (ii) Mean converges close to Best, and (iii) Std decreases and remains bounded. These results indicate that the GA configuration is stable and that a moderate number of generations is sufficient to achieve practical convergence; additional generations would provide limited gains relative to the computational cost.
Table 7 reports the optimal policy parameters identified by the GA for each store and the GA ROI achieved under the gene encoding defined in Table 3. ROI values range from 40.2% to 42.4%, with the highest return in Store 1 (42.4%), followed by Store 5 (42.2%) and Store 4 (42.1%). Store 3 achieves 41.3%, and Store 2 records 40.2%. The maximum difference across stores is approximately 2.2 percentage points, indicating stable performance of the optimized policy across different operating conditions.
Table 7.
Optimized genetic algorithm parameters by store.
The Base Demand Factor remains close to 1.0 for all stores, with values below 1 in Store 3 (0.80), Store 4 (0.84), and Store 2 (0.86), and values close to 1 in Store 1 (0.98) and Store 5 (1.01). This distribution indicates moderate baseline adjustment, avoiding large increases in the demand/supply level over the decision horizon. The Peak Day Factor varies more widely and reflects the handling of demand peaks; Store 2 (1.40) exhibits the highest value, indicating the need to reinforce replenishment on high-demand days to sustain returns, even though its final ROI is the lowest among stores.
Table 7 reports the store-level policy parameters optimized by the GA. For each store, the reported values correspond to the best performing parameter set returned by the GA. The solution was selected by maximizing ROI fitness in the inventory simulation using historical transactional demand data. These values are not significance levels. They correspond to the store-level Variability Buffer parameter in the GA-optimized policy and represent an additional safety margin to protect against demand variability. Stores 1, 3, and 5 take the minimum value, which is 0.05, whereas Stores 2 and 4 require larger buffers.
This is consistent with scenarios where higher uncertainty or irregular demand requires additional protection to reduce stockouts. Minimum Coverage Days support this interpretation: Store 3 has the highest coverage (9.63 days), followed by Store 4 (6.66 days), Store 1 (5.84 days), and Store 5 (5.47 days), while Store 2 shows the lowest coverage (3.00 days). The combination observed for Store 2 (high buffer and low coverage) suggests a policy that compensates variability through a parametric safety margin while maintaining a shorter coverage horizon, which may be associated with higher inventory costs or sharper demand peaks.
The Weekend Factor is around 0.50–0.51 in Stores 1, 2, and 5, whereas it is close to or above 1 in Store 3 (0.99) and Store 4 (1.08). This indicates that, for these two stores, weekend behavior does not reduce effective demand and may require relatively higher replenishment compared with weekdays. The Start-of-Month Extra and End-of-Month Extra parameters capture intra-month adjustments; end-of-month increases are relatively high in Store 3 (0.23) and Store 4 (0.25), suggesting higher replenishment toward the end of the cycle, consistent with monthly decision-making.
The Conservative Factor remains within a narrow range (0.80–0.89), indicating relatively homogeneous conservatism. Store 2 (0.89) shows the highest value, consistent with a more conservative strategy focused on operational risk control, whereas Stores 1 (0.80) and 5 (0.82) show lower values, consistent with slightly more aggressive strategies associated with higher ROI. Overall, these results indicate that (i) optimization yields comparable returns across stores with limited ROI variability, and (ii) cross-store differences are primarily driven by parameters related to volatility, minimum coverage, and time-based adjustments (weekend and intra-month), rather than by large baseline shifts.
Figure 7 shows the relationship between actual monthly demand and the monthly order quantity obtained from the GA-optimized parameters for five stores. The dashed line represents the ideal reference , which is used to assess the alignment between the optimized order and the observed demand. The points are clustered near this line over the analyzed demand range, indicating consistent calibration of the aggregated monthly order quantity.
Figure 7.
Calibration of the GA-optimized monthly order quantity () versus actual monthly demand, aggregated across five stores.
Dispersion around the ideal line remains bounded and reflects over-ordering, with points above the line, and under-ordering, with points below the line. These deviations are associated with the safety mechanisms encoded in the policy genes, including base demand factors, the variability buffer, minimum coverage, and temporal adjustments. Overall, the optimized scheme reproduces the scale of monthly demand and shows stable alignment across stores, supporting the use of store-specific parameter sets to generate during the training period.
3.5. Business Impact vs. Baseline (MA28)
Table 8 reports store-level ROI over the test period (five months) for the RF–GA methodology and the MA28 baseline. RF–GA ROI ranges from 38.76% (Store 3) to 41.43% (Store 5), whereas MA28 ROI ranges from 33.39% (Store 3) to 40.11% (Store 5). The ROI gain, measured as the percentage-point difference (), is positive for all five stores and ranges from 1.32 p.p. (Store 5) to 6.80 p.p. (Store 4), with an average improvement of 4.52 p.p.
Table 8.
Return on investment (ROI) comparison between RF–GA and MA28 baseline by store.
Store 4 shows the largest gain (40.41% vs. 33.61%), followed by Store 1 (40.70% vs. 34.81%) and Store 3 (38.76% vs. 33.39%). Store 5 exhibits the smallest gain because the baseline already achieves a high ROI (40.11%), leaving a limited incremental margin attributable to optimization. Overall, these results indicate consistent superiority of RF–GA over MA28 in terms of ROI during the test period.
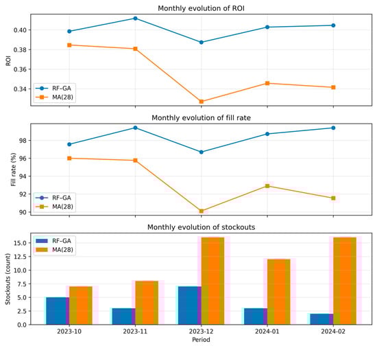
Figure 8 shows the monthly evolution of ROI, fill rate, and the number of stockouts for two approaches, RF–GA and the MA28 baseline, aggregating performance across the five stores over the test period of five months. RF–GA ROI remains above MA28 in all evaluated months. The monthly average ROI is 40.11% for RF–GA and 35.59% for MA28, corresponding to a mean improvement of +4.51 percentage points. Monthly differences range from +1.40 to +6.31 p.p., with larger gaps observed toward the end of the period.
Figure 8.
Monthly evolution of performance metrics comparing RF–GA and MA28: ROI, fill rate, and stockouts (Oct 2023–Feb 2024).
For fill rate, RF–GA achieves higher values in every month. The monthly average fill rate is 98.37% for RF–GA and 93.27% for MA28, corresponding to +5.10 p.p. The largest decline for MA28 occurs in 2023–12, while RF–GA maintains a high service level. Operationally, stockout counts are lower with RF–GA in all months. Over the full period, RF–GA totals 20 stockouts compared with 59 for MA28, corresponding to 39 fewer events. This reduction is consistent with the higher fill rate and the superior ROI observed for RF–GA throughout the test horizon.
3.6. Statistical Significance and Robustness
Robustness of the observed improvement was assessed by comparing monthly ROI from RF–GA against the MA28 baseline using the paired Wilcoxon signed-rank test, with store–month observations. The difference was statistically significant with a large effect size . The 95% confidence intervals indicate a mean ROI of 39.44–40.77% for RF–GA and 33.91–37.27% for MA28, with a mean difference of 3.07–5.96%. This is consistent with an average improvement of +4.51 percentage points and indicates that RF–GA superiority is unlikely to be explained by random variation. To evaluate robustness under operational variations, two sensitivity analyses were conducted over the test period while keeping the optimized policies fixed: (i) variation of the holding cost by ±50% relative to the base value, and (ii) multiplicative shocks to observed demand ranging from 0.7× to 1.3×.
Table 9 shows that ROI decreases gradually as holding cost increases for both RF–GA and MA28. Over the evaluated range (factor 0.50 to 1.50), RF–GA ROI decreases from 41.20% to 40.17%, whereas MA28 ROI decreases from 39.64% to 38.63%, with the gap remaining nearly constant in favor of RF–GA. The ROI improvement remains stable at approximately 1.54–1.56 percentage points, indicating that the relative advantage of RF–GA does not depend on the holding-cost level within the ±50% interval and that performance is consistent under reasonable changes in inventory carrying costs.
Table 9.
ROI sensitivity to holding costs, average across five stores.
Table 10 quantifies performance under demand shocks ranging from 0.7× to 1.3×. In this sensitivity analysis, demand shocks were implemented as multiplicative factors applied to the observed daily demand. A negative shock corresponds to a factor below 1, which reduces demand relative to the baseline, while a positive shock corresponds to a factor above 1, which increases demand relative to the baseline. Under low-demand scenarios (0.7× and 0.85×), both methods achieve a fill rate of 1.00, and ROI decreases due to over-ordering; in these cases, MA28 shows a marginal ROI advantage. Under the baseline scenario (1.0×), RF–GA achieves higher ROI (0.41 vs. 0.39) and maintains a higher fill rate (0.98 vs. 0.96), with fewer stockouts (1 vs. 2).
Table 10.
Sensitivity to demand shocks: RF–GA vs. MA28, average across five stores.
Under positive shocks (1.15× and 1.3×), RF–GA retains higher ROI and fill rate, while stockout counts increase for both methods, reflecting higher inventory pressure. Overall, the crossover occurs between negative and positive shocks: RF–GA is competitive under normal conditions and shows an advantage when demand exceeds the baseline, whereas MA28 performs slightly better when demand decreases and excess-inventory costs dominate returns.
To verify that the ROI improvement is not explained by random variation, the paired Wilcoxon signed-rank test was applied to monthly ROI from both methods ( store–month pairs). The results confirm the superiority of RF–GA over MA28 with statistical significance and a large effect size . The 95% confidence intervals indicate a mean ROI of 39.44–40.77% for RF–GA and 33.91% –37.27% for MA28, with a mean difference of 3.07–5.96 percentage points. Overall, this supports that the observed average gain (+4.51 p.p.) is robust over the evaluated period.
4. Discussion
The proposed two-stage approach, combining RF forecasting and GA optimization of the replenishment policy, improves economic and operational performance relative to the MA28 baseline in the case study of five stores. During the test period, the RF+GA strategy achieves higher ROI with consistent store-level gains and shows improved operational stability, reflected in higher service levels (fill rate) and fewer stockouts. Hybrid models using GA and RF have been reported in the literature, for example using GA for feature selection and RF for prediction, with significant improvements over naïve baselines in daily trend classification tasks [35]. This prior work supports the use of RF as the forecasting module and GA as the optimization mechanism within the proposed workflow. Unlike studies focused only on prediction, here, the forecast directly drives an inventory decision, and performance is evaluated using operational metrics (fill rate and stockouts) and an economic metric (ROI).
Transferability across stores is a relevant aspect. Despite differences in demand levels and irregularity, performance remains comparable, indicating that the same methodological architecture can be deployed with limited store-specific tuning. Observed differences are mainly associated with parameters related to volatility control, minimum coverage, and calendar effects, particularly weekend and intra-month adjustments, rather than major shifts in the baseline level. This behavior is consistent with convenience store operations, where the main challenge is managing short-term fluctuations and calendar-driven peaks. A comparative forecasting study for stock prediction reports that RF can capture linear and nonlinear relationships and achieves competitive performance relative to traditional approaches, with results depending on the dataset and temporal structure [36], supporting its use as a forecasting module in a decision-oriented workflow.
Robustness analyses support practical applicability of the optimized policies. Under holding-cost variations of ±50%, ROI decreases gradually for both methods, while the relative advantage of RF+GA remains nearly constant. This indicates that the improvement is not tied to a single cost assumption and that relative benefits are stable within the evaluated range. Under demand shocks from 0.7× to 1.3×, RF+GA maintains its advantage in the baseline scenario and under positive shocks, with higher fill rate and fewer stockouts as demand increases. An asymmetry is observed under negative shocks: MA28 can yield slightly higher ROI because excess inventory and its associated costs dominate returns when demand decreases. In contrast, RF+GA is better aligned with normal-to-high demand conditions, where reducing stockouts and capturing sales has a stronger effect on ROI.
From an operational perspective, the results indicate that RF+GA can be used as a decision support tool to determine monthly order quantities aligned with observed demand patterns, improving profitability without requiring additional complex infrastructure. The GA layer enables explicit incorporation of business constraints and rules, such as minimum coverage and calendar-based corrections, including weekend and intra-month effects, which are not represented well by simple rules such as moving averages. This is consistent with decision-support frameworks for inventory management that integrate item selection/prioritization with machine-learning forecasting and report improvements over traditional approaches, supporting implementation as a semi-automated artifact for practical use [37].
4.1. Limitations
Several methodological limitations should be noted. First, evaluation is based on a limited set of stores and a specific time interval; therefore, generalization requires additional validation across other locations, product categories, and supply conditions. Second, MA28 is a simple and interpretable baseline that provides an initial reference, but it does not cover the full range of alternatives; including additional comparators, such as exponential smoothing with safety stock and other machine-learning approaches, would better characterize the incremental contribution of the integrated RF+GA approach. Third, the current formulation focuses on monthly ordering decisions; a direct extension is to incorporate lead times, capacity constraints, explicit service-level requirements, and multi-period decisions to better represent recurring operational constraints.
4.2. Future Research Directions
Future research can extend the proposed framework in several directions. In particular, future work can consider (i) multi-objective formulations that integrate ROI and service metrics under explicit constraints, (ii) transfer and incremental calibration strategies to reduce parameter-tuning effort when onboarding new stores, and (iii) scenario-based stress tests under prolonged disruptions, including structural demand changes and supply constraints.
5. Conclusions
This study aimed to optimize inventory management in convenience stores through a reproducible workflow that integrates demand forecasting and replenishment policy optimization, and evaluates its impact on economic metrics, namely ROI, and operational metrics, namely fill rate and stockouts.
Over the test period, the RF+GA strategy achieved higher ROI across all five stores, with increases ranging from +1.32 to +6.80 percentage points and an average gain of +4.52 percentage points relative to the MA28 baseline. This improvement is unlikely to be explained by random variation, since the paired Wilcoxon test on monthly ROI confirmed statistically significant differences in favor of RF+GA with a large effect size .
Forecasting performance was stable across stores, supporting its use as an input for monthly replenishment decisions. Robustness analyses further support practical applicability. Under holding-cost variations of ±50%, ROI decreased gradually for both methods, while the relative advantage of RF+GA remained nearly constant at approximately 1.54–1.56 percentage points.
Under demand shocks from 0.7× to 1.3×, RF+GA maintained its advantage in the baseline scenario and under positive shocks, with higher fill rate and fewer stockouts. Under negative shocks, MA28 yielded marginally higher ROI, consistent with over-inventory costs dominating returns when demand decreases.
Finally, transferability across stores required limited calibration. Observed differences were mainly driven by parameters related to volatility, minimum coverage, and time-based adjustments, rather than by structural changes in baseline demand level.
In conclusion, the integrated RF+GA approach is an operationally viable alternative for monthly ordering decision support in convenience stores. It delivers consistent improvements in economic return and service performance relative to a simple baseline and remains stable under reasonable variations in costs and demand.
Author Contributions
Conceptualization, K.Z.-Z. and J.E.-V.; methodology, E.Z.-P.; software, K.Z.-Z. and J.E.-V.; validation, E.Z.-P.; formal analysis, K.Z.-Z. and J.E.-V.; investigation, K.Z.-Z. and J.E.-V.; resources, K.Z.-Z.; data curation, K.Z.-Z. and J.E.-V.; writing—original draft preparation, K.Z.-Z. and J.E.-V.; writing—review and editing, E.Z.-P.; visualization, E.Z.-P.; supervision, E.Z.-P.; project administration, E.Z.-P. All authors have read and agreed to the published version of the manuscript.
Funding
This research received no external funding.
Institutional Review Board Statement
Not applicable.
Informed Consent Statement
Not applicable.
Data Availability Statement
The datasets presented in this article are not readily available because the transactional data used in this study are proprietary and were provided under a research-only confidentiality agreement. Access may be granted only with the permission of the data owner(s). The climatic covariates are publicly available from the NASA POWER API.
Acknowledgments
The authors would like to acknowledge the partial support provided by the Department of Research, Innovation and Sustainability of the Universidad Privada del Norte (UPN) during the development of this study.
Conflicts of Interest
The authors declare no conflicts of interest.
Abbreviations
The following abbreviations are used in this manuscript:
| ACF | Autocorrelation Function |
| API | Application Programming Interface |
| ARIMA | Autoregressive Integrated Moving Average |
| EOQ | Economic Order Quantity |
| GA | Genetic Algorithm |
| MA28 | 28-day Moving Average |
| MAE | Mean Absolute Error |
| MAPE | Mean Absolute Percentage Error |
| MDI | Mean Decrease in Impurity |
| NASA POWER | Prediction Of Worldwide Energy Resources |
| PACF | Partial Autocorrelation Function |
| RF | Random Forest |
| RMSE | Root Mean Squared Error |
| ROI | Return on Investment |
| sMAPE | symmetric Mean Absolute Percentage Error |
| STL | Seasonal-trend decomposition using Loess |
Appendix A. Descriptive Statistics by Store
This appendix reports descriptive statistics of the main transactional and climatic variables at the store–day level. Stores are anonymized and indexed as Store 1–Store 5. denotes daily demand measured as the number of transactions. Monetary variables are reported in Peruvian soles (PEN): sales_value is daily sales value and avg_ticket is the average ticket. Climatic covariates are reported as temperature in °C, relative_humidity in %, and precipitation in mm.
N_days is the number of calendar days in the study period. N_obs is the number of available store–day observations per store. Because some stores did not open on a small number of days, store–day observations are not available on those dates; therefore, N_obs may be slightly smaller than N_days and may vary across stores. All stores denotes the aggregation across the five stores.
Table A1.
Descriptive statistics of the main variables by store, store–day level.
Table A1.
Descriptive statistics of the main variables by store, store–day level.
| Store | Variable | Start_date | End_date | N_days | N_obs | Mean | Median | Std_dev | Min | P25 | P75 | Max |
|---|---|---|---|---|---|---|---|---|---|---|---|---|
| 1 | daily_demand | 2022-01-15 | 2024-02-29 | 776 | 776 | 891 | 902 | 192 | 308 | 745 | 993 | 1464 |
| 1 | sales_value | 2022-01-15 | 2024-02-29 | 776 | 776 | 9105 | 8123 | 3226 | 3353 | 6789 | 10,460 | 29,821 |
| 1 | avg_ticket | 2022-01-15 | 2024-02-29 | 776 | 776 | 10.13 | 9.53 | 2.22 | 6.75 | 8.57 | 11.28 | 21.12 |
| 1 | temperature | 2022-01-15 | 2024-02-29 | 776 | 776 | 18.7 | 18.8 | 1.5 | 15.1 | 17.6 | 19.6 | 22.4 |
| 1 | relative_humidity | 2022-01-15 | 2024-02-29 | 776 | 776 | 69.0 | 69.2 | 7.8 | 49.3 | 63.1 | 75.5 | 85.6 |
| 1 | precipitation | 2022-01-15 | 2024-02-29 | 776 | 776 | 0.11 | 0.01 | 0.37 | 0.00 | 0.00 | 0.07 | 5.85 |
| 2 | daily_demand | 2022-01-15 | 2024-02-29 | 775 | 775 | 998 | 1055 | 340 | 167 | 696 | 1271 | 2076 |
| 2 | sales_value | 2022-01-15 | 2024-02-29 | 775 | 775 | 7219 | 7432 | 2495 | 1575 | 5491 | 8602 | 27,135 |
| 2 | avg_ticket | 2022-01-15 | 2024-02-29 | 775 | 775 | 7.39 | 7.10 | 1.29 | 5.35 | 6.38 | 8.15 | 15.87 |
| 2 | temperature | 2022-01-15 | 2024-02-29 | 775 | 775 | 18.7 | 18.8 | 1.5 | 15.1 | 17.6 | 19.6 | 22.4 |
| 2 | relative_humidity | 2022-01-15 | 2024-02-29 | 775 | 775 | 69.0 | 69.2 | 7.8 | 49.3 | 63.1 | 75.5 | 85.6 |
| 2 | precipitation | 2022-01-15 | 2024-02-29 | 775 | 775 | 0.11 | 0.01 | 0.37 | 0.00 | 0.00 | 0.07 | 5.85 |
| 3 | daily_demand | 2022-01-15 | 2024-02-29 | 771 | 771 | 945 | 965 | 210 | 55 | 781 | 1106 | 1441 |
| 3 | sales_value | 2022-01-15 | 2024-02-29 | 771 | 771 | 7476 | 7098 | 2383 | 919 | 5960 | 8741 | 30,017 |
| 3 | avg_ticket | 2022-01-15 | 2024-02-29 | 771 | 771 | 7.89 | 7.62 | 1.49 | 4.90 | 6.80 | 8.75 | 21.60 |
| 3 | temperature | 2022-01-15 | 2024-02-29 | 771 | 771 | 18.7 | 18.8 | 1.5 | 15.1 | 17.6 | 19.6 | 22.4 |
| 3 | relative_humidity | 2022-01-15 | 2024-02-29 | 771 | 771 | 69.0 | 69.2 | 7.8 | 49.3 | 63.1 | 75.5 | 85.6 |
| 3 | precipitation | 2022-01-15 | 2024-02-29 | 771 | 771 | 0.12 | 0.01 | 0.37 | 0.00 | 0.00 | 0.07 | 5.85 |
| 4 | daily_demand | 2022-01-15 | 2024-02-29 | 776 | 776 | 902 | 885 | 165 | 15 | 798 | 1000 | 1715 |
| 4 | sales_value | 2022-01-15 | 2024-02-29 | 776 | 776 | 7920 | 7140 | 2778 | 66 | 6101 | 9113 | 27,815 |
| 4 | avg_ticket | 2022-01-15 | 2024-02-29 | 776 | 776 | 8.63 | 8.22 | 1.70 | 4.40 | 7.44 | 9.49 | 21.97 |
| 4 | temperature | 2022-01-15 | 2024-02-29 | 776 | 776 | 19.2 | 19.2 | 2.1 | 15.1 | 17.6 | 20.5 | 23.8 |
| 4 | relative_humidity | 2022-01-15 | 2024-02-29 | 776 | 776 | 82.4 | 82.8 | 4.8 | 66.1 | 79.0 | 86.3 | 93.2 |
| 4 | precipitation | 2022-01-15 | 2024-02-29 | 776 | 776 | 0.22 | 0.01 | 0.53 | 0.00 | 0.00 | 0.16 | 5.19 |
| 5 | daily_demand | 2022-01-15 | 2024-02-29 | 776 | 776 | 955 | 949 | 202 | 301 | 812 | 1080 | 1619 |
| 5 | sales_value | 2022-01-15 | 2024-02-29 | 776 | 776 | 9611 | 8487 | 3516 | 2547 | 7119 | 11,286 | 32,260 |
| 5 | avg_ticket | 2022-01-15 | 2024-02-29 | 776 | 776 | 9.93 | 9.29 | 2.14 | 6.76 | 8.34 | 11.16 | 22.41 |
| 5 | temperature | 2022-01-15 | 2024-02-29 | 776 | 776 | 18.7 | 18.8 | 1.5 | 15.1 | 17.6 | 19.6 | 22.4 |
| 5 | relative_humidity | 2022-01-15 | 2024-02-29 | 776 | 776 | 69.0 | 69.2 | 7.8 | 49.3 | 63.1 | 75.5 | 85.6 |
| 5 | precipitation | 2022-01-15 | 2024-02-29 | 776 | 776 | 0.11 | 0.01 | 0.37 | 0.00 | 0.00 | 0.07 | 5.85 |
| All stores | daily_demand | 2022-01-15 | 2024-02-29 | 776 | 3874 | 938 | 928 | 233 | 15 | 778 | 1089 | 2076 |
| All stores | sales_value | 2022-01-15 | 2024-02-29 | 776 | 3874 | 8268 | 7638 | 3057 | 66 | 6386 | 9453 | 32,260 |
| All stores | avg_ticket | 2022-01-15 | 2024-02-29 | 776 | 3874 | 8.80 | 8.41 | 2.11 | 4.40 | 7.34 | 9.69 | 22.41 |
| All stores | temperature | 2022-01-15 | 2024-02-29 | 776 | 3874 | 18.8 | 18.9 | 1.6 | 15.1 | 17.6 | 19.8 | 23.8 |
| All stores | relative_humidity | 2022-01-15 | 2024-02-29 | 776 | 3874 | 71.7 | 72.0 | 9.0 | 49.3 | 64.6 | 78.8 | 93.2 |
| All stores | precipitation | 2022-01-15 | 2024-02-29 | 776 | 3874 | 0.14 | 0.01 | 0.41 | 0.00 | 0.00 | 0.08 | 5.85 |
References
- Zabraoui, O.; Hmamou, Y.; Chafi, A.; Alami, S.K. A Comparative Study of Multi-Algorithm Optimization for Inventory Analytics in Supply Chains. Supply Chain Anal. 2025, 12, 100154. [Google Scholar] [CrossRef]
- Das, S.C.; Khan, M.A.A.; Shaikh, A.A.; Alrasheedi, A.F. Interval Valued Inventory Model with Different Payment Strategies for Green Products under Interval Valued Grey Wolf Optimizer Algorithm Fitness Function. Egypt. Inform. J. 2024, 28, 100561. [Google Scholar] [CrossRef]
- Fathollahzadeh, K.; Saeedi, M.; Ghasempour Anaraki, M.; Rabiee, M. Sustainable Cast Iron Supply Chain Network Design: Robust Multi-Objective Optimization with Scenario Reduction via Genetic Algorithm. Int. J. Prod. Econ. 2025, 289, 109730. [Google Scholar] [CrossRef]
- Khakbaz, A.; Alfares, H.K.; Amirteimoori, A.; Tirkolaee, E.B. A Novel Cross-Docking EOQ-Based Model to Optimize a Multi-Item Multi-Supplier Multi-Retailer Inventory Management System. Ann. Oper. Res. 2024, 1–27. [Google Scholar] [CrossRef]
- Patra, P.; Panja, S.; Mondal, S.K. Mitigating Consumer Returns through Omnichannel Retail Operations: An EOQ Model under Stochastic Demand. J. Syst. Sci. Syst. Eng. 2024, 1–39. [Google Scholar] [CrossRef]
- Ghafour, K. Multi-Objective Continuous Review Inventory Policy Using MOPSO and TOPSIS Methods. Comput. Oper. Res. 2024, 163, 106512. [Google Scholar] [CrossRef]
- Hayati, E.N.; Jauhari, W.A.; Damayanti, R.W.; Rosyidi, C.N. An Integrated Analytics Model for Supplier Selection and Order Allocation with Machine Learning and Multi-Criteria Optimization. Decis. Anal. J. 2025, 16, 100599. [Google Scholar] [CrossRef]
- Siriruk, P.; Kotekangpoo, A. Order Quantity Optimization Model for Perishable Products under Continuous Review (Q, r) Inventory Policy with Stochastic Demand and Positive Lead Time. Omega 2026, 138, 103392. [Google Scholar] [CrossRef]
- Syberg, M.; Polley, L.; Deuse, J. Evaluating Sales Forecasting Methods in Make-to-Order Environments: A Cross-Industry Benchmark Study. Comput. Sci. Math. Forum 2025, 11, 1. [Google Scholar] [CrossRef]
- Borja-Gonzales, A.A.; Perez-Soto, A.B.; Flores-Perez, A. Stockout Reduction Using Forecasting Methods, the EOQ Model and a Safety Stock in a Peruvian SME in the Commercial Sector. In Proceedings of the International Conference on Industrial Engineering and Industrial Management, Nice, France, 10–12 January 2024; Springer: Berlin/Heidelberg, Germany, 2024; Volume 2070, pp. 65–75. [Google Scholar] [CrossRef]
- Kumar, L.; Khedlekar, S.; Khedlekar, U.K. A Comparative Assessment of Holt Winter Exponential Smoothing and Autoregressive Integrated Moving Average for Inventory Optimization in Supply Chains. Supply Chain Anal. 2024, 8, 100084. [Google Scholar] [CrossRef]
- Liu, Z.; Nishi, T. Surrogate-Assisted Evolutionary Optimization for Perishable Inventory Management in Multi-Echelon Distribution Systems. Expert Syst. Appl. 2024, 238, 122179. [Google Scholar] [CrossRef]
- Valsamas, F.; Voglitsis, D.; Papanikolaou, N.P. Genetic Algorithm on 2ndVoltage Harmonic Mitigation in Hybrid Microgrids. IEEE Access 2022, 10, 68521–68533. [Google Scholar] [CrossRef]
- Li, X. Distribution Route Optimization Method of Chain Convenience Store Based on Improved Genetic Algorithm. In Proceedings of the 4th International Conference on Big Data Analytics for Cyber-Physical System in Smart City—Volume 2. BDCPS 2022; Atiquzzaman, M., Yen, N.Y., Xu, Z., Eds.; Lecture Notes on Data Engineering and Communications Technologies; Springer: Singapore, 2023; Volume 168. [Google Scholar] [CrossRef]
- Chan, H.; Wahab, M.I.M. A Machine Learning Framework for Predicting Weather Impact on Retail Sales. Supply Chain Anal. 2024, 5, 100058. [Google Scholar] [CrossRef]
- Yoo, T.; Cho, H.; Yücesan, E. Hybrid Algorithm for Discrete Event Simulation Based Supply Chain Optimization. Expert Syst. Appl. 2010, 37, 2354–2361. [Google Scholar] [CrossRef]
- Chen, F.L.; Ou, T.Y. Gray Relation Analysis and Multilayer Functional Link Network Sales Forecasting Model for Perishable Food in Convenience Store. Expert Syst. Appl. 2009, 36, 7054–7063. [Google Scholar] [CrossRef]
- NASA POWER POWERing the Future of Energy, Infrastructure, and Agroclimatology. Available online: https://power.larc.nasa.gov/ (accessed on 31 January 2026).
- Garge, N.R.; Bobashev, G.; Eggleston, B. Random Forest Methodology for Model-Based Recursive Partitioning: The MobForest Package for R. BMC Bioinform. 2013, 14, 125. [Google Scholar] [CrossRef]
- Baati, K.; Mohsil, M. Real-Time Prediction of Online Shoppers’ Purchasing Intention Using Random Forest. In Proceedings of the Artificial Intelligence Applications and Innovations, Neos Marmaras, Greece, 5–7 June 2020; Springer: Berlin/Heidelberg, Germany, 2020; Volume 583, pp. 43–51. [Google Scholar] [CrossRef]
- Parashar, A.; Indumathy, R.; Gowda, Y.A.; Alotoum, F.J.; Doguparthy, G.S.; Natrayan, L. Time Series Analysis and Random Forest Techniques for Prediction of Sales for Retail Grocery. In Proceedings of the 2024 IEEE International Conference on Computing, Power and Communication Technologies (IC2PCT), Greater Noida, India, 9–10 February 2024; IEEE: New York, NY, USA, 2024; Volume 5, pp. 531–535. [Google Scholar] [CrossRef]
- San-José, L.A.; Sicilia, J.; Pando, V.; Alcaide-López-de-Pablo, D. An Inventory System with Time-Dependent Demand and Partial Backordering under Return on Inventory Investment Maximization. Comput. Oper. Res. 2022, 145, 105861. [Google Scholar] [CrossRef]
- Zalizniuk, V.; Nozhovnik, O. Express Method for Calculating Gross Margin in E-Commerce: A Practical Approach. Balt. J. Econ. Stud. 2024, 10, 201–210. [Google Scholar] [CrossRef]
- Axsäter, S. Inventory Control; International Series in Operations Research & Management Science; Springer International Publishing: Cham, Switzerland, 2015; Volume 225. [Google Scholar]
- Bijvank, M.; Vis, I.F.A. Lost-Sales Inventory Systems with a Service Level Criterion. Eur. J. Oper. Res. 2012, 220, 610–618. [Google Scholar] [CrossRef]
- Eiben, A.E.; Smith, J.E. Introduction to Evolutionary Computing; Natural Computing Series; Springer: Berlin/Heidelberg, Germany, 2015. [Google Scholar]
- Zarate-Perez, E.; Sebastián, R. Optimizing the Sizing of Residential Microgrids Using a Genetic Algorithm as a Decision Support Model. Manag. Environ. Qual. 2025, ahead-of-print. [Google Scholar] [CrossRef]
- Hassanat, A.; Almohammadi, K.; Alkafaween, E.; Abunawas, E.; Hammouri, A.; Prasath, V.B.S. Choosing Mutation and Crossover Ratios for Genetic Algorithms—A Review with a New Dynamic Approach. Information 2019, 10, 390. [Google Scholar] [CrossRef]
- Kordos, M.; Boryczko, J.; Blachnik, M.; Golak, S. Optimization of Warehouse Operations with Genetic Algorithms. Appl. Sci. 2020, 10, 4817. [Google Scholar] [CrossRef]
- Grznár, P.; Krajčovič, M.; Gola, A.; Dulina, Ľ.; Furmannová, B.; Mozol, Š.; Plinta, D.; Burganová, N.; Danilczuk, W.; Svitek, R. The Use of a Genetic Algorithm for Sorting Warehouse Optimisation. Processes 2021, 9, 1197. [Google Scholar] [CrossRef]
- Zarate-Perez, E.; Sebastian, R. Assessment and Optimization of Residential Microgrid Reliability Using Genetic and Ant Colony Algorithms. Processes 2025, 13, 740. [Google Scholar] [CrossRef]
- Hyndman, R.J.; George, A. Forecasting: Principles and Practice, 2nd ed.; OTexts: Melbourne, Australia, 2018. [Google Scholar]
- Jierula, A.; Wang, S.; Oh, T.M.; Wang, P. Study on Accuracy Metrics for Evaluating the Predictions of Damage Locations in Deep Piles Using Artificial Neural Networks with Acoustic Emission Data. Appl. Sci. 2021, 11, 2314. [Google Scholar] [CrossRef]
- Ojha, V.; Timmis, J.; Nicosia, G. Assessing Ranking and Effectiveness of Evolutionary Algorithm Hyperparameters Using Global Sensitivity Analysis Methodologies. Swarm Evol. Comput. 2022, 74, 101130. [Google Scholar] [CrossRef]
- Abraham, R.; El Samad, M.; Bakhach, A.M.; El-Chaarani, H.; Sardouk, A.; El Nemar, S.; Jaber, D. Forecasting a Stock Trend Using Genetic Algorithm and Random Forest. J. Risk Financ. Manag. 2022, 15, 188. [Google Scholar] [CrossRef]
- Nagendra, B.; Singh, G. Comparing ARIMA, Linear Regression, Random Forest, and LSTM for Time Series Forecasting: A Study on Item Stock Predictions. In Proceedings of the 2023 4th IEEE Global Conference for Advancement in Technology, GCAT, Bangalore, India, 6–8 October 2023; IEEE: New York, NY, USA, 2023. [Google Scholar] [CrossRef]
- de Paula Vidal, G.H.; Caiado, R.G.G.; Scavarda, L.F.; Ivson, P.; Garza-Reyes, J.A. Decision Support Framework for Inventory Management Combining Fuzzy Multicriteria Methods, Genetic Algorithm, and Artificial Neural Network. Comput. Ind. Eng. 2022, 174, 108777. [Google Scholar] [CrossRef]
Disclaimer/Publisher’s Note: The statements, opinions and data contained in all publications are solely those of the individual author(s) and contributor(s) and not of MDPI and/or the editor(s). MDPI and/or the editor(s) disclaim responsibility for any injury to people or property resulting from any ideas, methods, instructions or products referred to in the content. |
© 2026 by the authors. Licensee MDPI, Basel, Switzerland. This article is an open access article distributed under the terms and conditions of the Creative Commons Attribution (CC BY) license.







