Probing the Functionality of Physically Modified Corn Flour as Clean Label Thickening Agent with a Multiscale Characterization
Abstract
1. Introduction
2. Materials and Methods
2.1. Materials
2.2. Flours Physicochemical Characterization
2.2.1. Amylose Content
2.2.2. Resistant Starch Content
2.2.3. Differential Scanning Calorimetry (DSC) Measurement
2.2.4. Flour Hydration Properties
2.3. Multiscale Characterization of Flour–Water Systems
2.3.1. Flour–Water Systems Preparation
2.3.2. Macroscopic Characterization
Water Activity and Moisture Content
Bostwick Running Distance and Texture Analysis
2.3.3. Mesoscopic Characterization
Rheological Properties
2.3.4. Molecular Characterization
1H Molecular Mobility NMR
2.4. Industrial Application
2.4.1. Industrial Food Recipes Preparation
2.4.2. Food Characterization
2.5. Statistical Analysis
3. Results and Discussions
3.1. Flours’ Physicochemical Characterization
3.2. Flour–Water Systems
3.3. Macroscopic Characterization
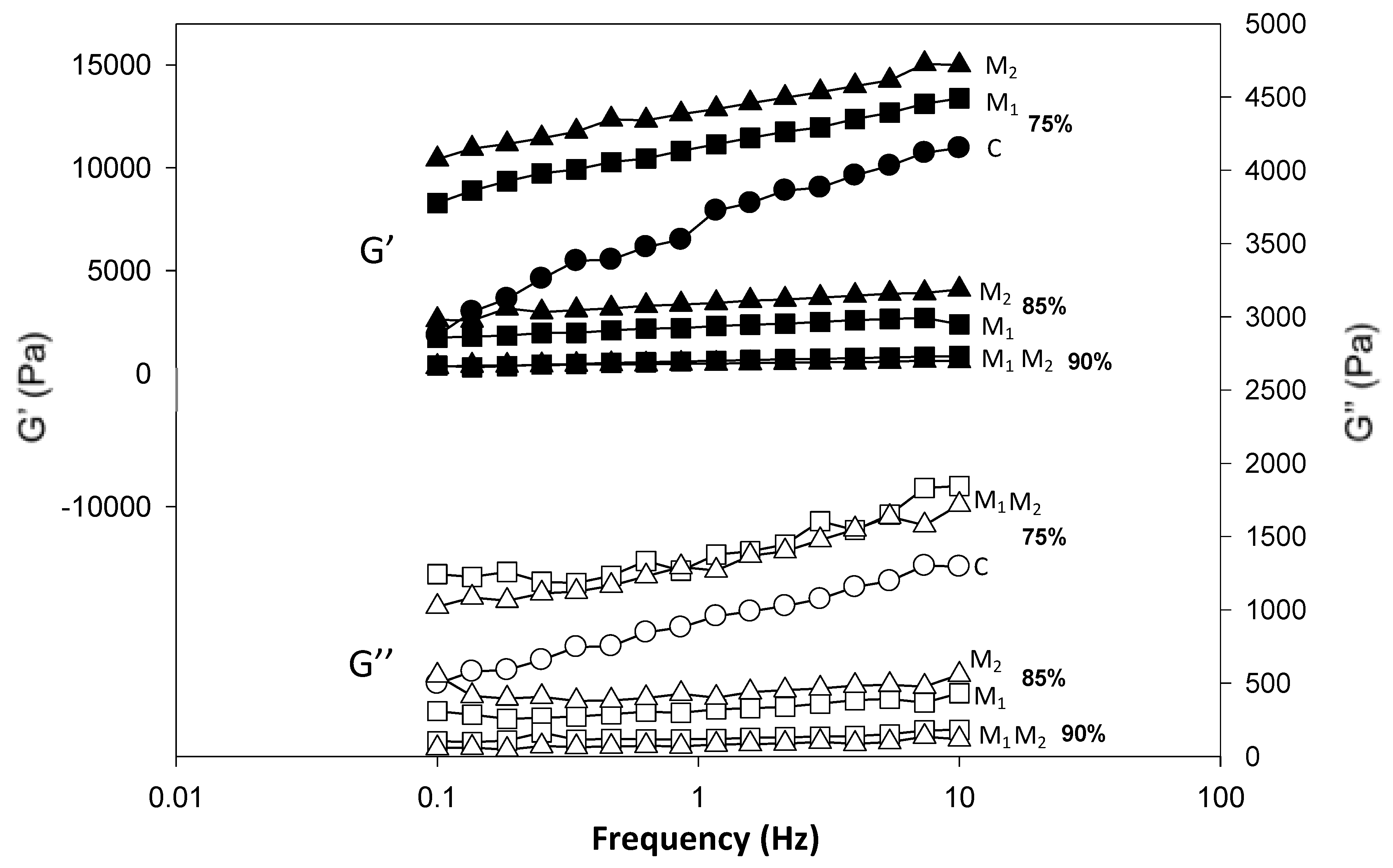
3.4. Mesoscopic Characterization
3.5. Molecular Characterization
3.6. Industrial Applications
4. Conclusions
Author Contributions
Funding
Acknowledgments
Conflicts of Interest
References
- Asioli, D.; Aschemann-Witzel, J.; Caputo, V.; Vecchio, R.; Annunziata, A.; Næs, T.; Varela, P. Making sense of the “clean label” trends: A review of consumer food choice behavior and discussion of industry implications. Food Res. Int. 2017, 99, 58–71. [Google Scholar] [CrossRef] [PubMed]
- Mason, W.R. Starch use in food. In Starch, 3rd ed.; Academic Press: Cambridge, UK, 2009; pp. 745–795. [Google Scholar]
- Rosa Zavareze, E.; Dias, A.R.G. Impact of heat-moisture treatment and annealing in starches: A review. Carbohydr. Polym. 2011, 83, 317–328. [Google Scholar] [CrossRef]
- Hoover, R. Composition, molecular structure, and physicochemical properties of tuber and root starches: A review. Carbohydr. Polym. 2001, 45, 253–267. [Google Scholar] [CrossRef]
- Ye, J.; Hu, X.; Luo, S.; Liu, W.; Chen, J.; Zeng, Z.; Liu, C. Properties of starch after extrusion: A review. Starch Stärke 2018, 70, 11–12. [Google Scholar] [CrossRef]
- Martínez, M.; Oliete, B.; Gómez, M. Effect of the addition of extruded wheat flours on dough rheology and bread quality. J. Cereal Sci. 2013, 57, 424–429. [Google Scholar] [CrossRef]
- Román, L.; Martínez, M.M.; Gómez, M. Assessing of the potential of extruded flour mixture as fat replacer in O/W emulsion: A rheological and microstructural study. Food Res. Int. 2015, 74, 72–79. [Google Scholar] [CrossRef]
- Román, L.; Reguilón, M.P.; Gómez, M. Physicochemical characteristics of sauce model systems: Influence of particle size and extruded flour source. J. Food Eng. 2018, 219, 93–100. [Google Scholar] [CrossRef]
- Lai, H. Effects of hydrothermal treatment on the physicochemical properties of pregelatined rice flour. Food Chem. 2001, 72, 455–462. [Google Scholar] [CrossRef]
- Zhang, X.; Chen, Y.; Zhang, R.; Zhong, Y.; Luo, Y.; Xu, S.; Liu, J.; Xue, J.; Guo, D. Effects of extrusion treatment on physicochemical properties and in vitro digestion of pregelatinized high amylose maize flour. J. Cereal Sci. 2016, 68, 108–115. [Google Scholar] [CrossRef]
- Martínez, M.M.; Rosell, C.M.; Gómez, M. Modification of wheat flour functionality and digestibility through different extrusion conditions. J. Food Eng. 2014, 143, 74–79. [Google Scholar] [CrossRef]
- Cornejo, F.; Rosell, C.M. Influence of germination time of brown rice in relation to flour and gluten free bread quality. J. Food Sci. Technol. 2015, 52, 6591–6598. [Google Scholar] [CrossRef] [PubMed]
- Sandhu, K.S.; Singh, N.; Mali, S.N. Some properties of corn grains and their flours I: Physicochemical, functional and chapati-making properties of flours. Food Chem. 2007, 101, 938–946. [Google Scholar] [CrossRef]
- Sarangapani, C.; Thirumdas, R.; Devi, Y.; Trimukhe, A.; Deshmukh, R.; Annapure, U. Effect of low-pressure plasma on physico-chemical and functional properties of parboiled rice flour. LWT Food Sci. Technol. 2016, 69, 482–489. [Google Scholar] [CrossRef]
- Sing, J.; Sing, N.; Sharma, T.R.; Saxena, S.K. Physicochemical, rheological and cookie making properties of corn and potato flours. Food Chem. 2003, 83, 387–393. [Google Scholar] [CrossRef]
- Bosmans, G.M.; Lagrain, B.; Deleu, L.J.; Fierens, E.; Hills, B.P.; Delcour, J.A. Assignments of proton populations in dough and bread using NMR relaxometry of starch, gluten, and flour model systems. J. Agric. Food Chem. 2012, 60, 5461–5470. [Google Scholar] [CrossRef]
- Bosmans, G.M.; Pareyt, B.; Delcour, J.A. Non-additive response of blends of rice and potato starch during heating at intermediate water contents: A differential scanning calorimetry and proton nuclear magnetic resonance study. Food Chem. 2016, 192, 585–595. [Google Scholar] [CrossRef]
- Luyts, A.E.; Wilderjans, J.; Waterschoot, I.; Van Haesendonck, K.; Brijs, C.M.; Courtin, B.; Hills, J.A. Delcour, Low resolution 1H NMR assignment of proton populations in pound cake and its polymeric ingredients. Food Chem. 2013, 139, 120–128. [Google Scholar] [CrossRef]
- Tananuwong, K.; Reid, D.S. DSC and NMR relaxation studies of starch-water interactions during gelatinization. Carbohydr. Polym. 2004, 58, 345–358. [Google Scholar] [CrossRef]
- Tang, H.-R.; Godward, J.; Hills, B. The distribution of water in native starch granules−A multinuclear NMR study. Carbohydr. Polym. 2000, 43, 375–387. [Google Scholar] [CrossRef]
- Yun, S.H.; Matheson, N.K. Estimation of amylose content of starches after precipitation of amylopectin by Concanavalin-A. Starch Starke 1990, 42, 302–305. [Google Scholar] [CrossRef]
- McCleary, B.V.; McNally, M.; Rossiter, P. Measurement of resistant starch by enzymatic digestion in starch and selected plant materials: Collaborative study. J. AOAC Int. 2020, 85, 103–1111. [Google Scholar]
- Le Grand, F.; Cambert, M.; Mariette, F. NMR signal analysis to characterize solid, aqueous, and lipid phases in baked cakes. J. Agric. Food Chem. 2007, 55, 10947–10952. [Google Scholar] [CrossRef] [PubMed]
- Madane, P.; Das, A.K.; Pateiro, M.; Nanda, P.K.; Bandyopadhyay, S.; Jagtap, P.; Barba, F.J.; Shewalkar, A.; Maity, B.; Lorenzo, J.M. Drumstick (Moringa oleifera) flower as an antioxidant dietary fibre in chicken meat nuggets. Foods 2019, 8, 307. [Google Scholar] [CrossRef] [PubMed]
- Pyler, E.J.; Gorton, L.A. Baking Science and Technology; Sosland Publish Company: Kansas City, MO, USA, 2018. [Google Scholar]
- Sagum, R.; Arcot, J. Effect of domestic processing methods on the starch, non-starch polysaccharides and in vitro starch and protein digestibility of three varieties of rice with varying levels of amylose. Food Chem. 2000, 70, 107–111. [Google Scholar] [CrossRef]
- Roman, L.; Campanella, O.; Martinez, M.M. Shear-induced molecular fragmentation decreases the bioaccessibility of fully gelatinized starch and its gelling capacity. Carbohydate Polym. 2019, 215, 198–206. [Google Scholar] [CrossRef] [PubMed]
- Sopade, P.A. Cereal processing and glycaemic response. Int. J. Food Sci. Technol. 2017, 52, 22–37. [Google Scholar] [CrossRef]
- Rosalina, I.; Bhattacharya, M. Dynamic rheological measurements and analysis of starch gels. Carbohydr. Polym. 2002, 48, 191–202. [Google Scholar] [CrossRef]
- Swainson, M.; Linda, M.W. Sensory quality assurance in the chilled and frozen ready meal, soup and sauce sectors. In Sensory Analysis for Food and Beverage Quality Control; Woodhead Publishing: Cambridge, UK, 2010; pp. 203–235. [Google Scholar]
- Pietrasik, Z.; Li-Chan, E.C.Y. Binding and textural properties of beef gels as affected by protein, j-carrageenan and microbial transglutaminase addition. Food Res. Int. 2002, 35, 91–98. [Google Scholar] [CrossRef]







| C | M1 | M2 | |
|---|---|---|---|
| Amylose (%) | 27.41 ± 4.06 a | 25.16 ± 5.27 a | 28.32 ± 2.48 a |
| Resistant Starch (%) | 5.45 ± 0.01 a | 1.74 ± 0.28 b | 1.94 ± 0.05 b |
| To (°C) | 62.927 ± 2.21 a | 57.28 ± 0.42 b | 57.55 ± 0.04 b |
| Tp (°C) | 4.04 ± 0.57 a | 68.49 ± 0.16 b | 68.18 ± 0.32 b |
| Te (°C) | 84.02 ± 2.37 a | 84.54 ± 2.50 a | 81.10 ± 0.59 a |
| ΔH (J/g) | 2.32 ± 1.09 a | 0.84 ± 0.26 b | 0.44 ± 0.11 c |
| WHC (g/g) | 2.36 ± 0.30 c | 4.67 ± 0.20 b | 6.44 ± 0.09 a |
| WBC (g/g) | 1.65 ± 0.04 c | 3.51 ± 0.11 b | 4.34 ± 0.13 a |
| Preparation Condition | Flour | Flour:Water Ratio | ||||||
|---|---|---|---|---|---|---|---|---|
| 1:3 | 1:4 | 1:5 | 1:6 | 1:7 | 1:8 | 1:9 | ||
| CC | C | S | S | S | S | S | S | S |
| M1 | H | H | S | S | S | S | S | |
| M2 | H | H | H | S | S | S | S | |
| HC | C | H | H | H | S | S | S | S |
| M1 | H | H | H | H | H | H | H | |
| M2 | H | H | H | H | H | H | H | |
| Moisture Content (MC) % (gH2O/100 g) | Bostwick Running Distance (cm) | ||
|---|---|---|---|
| Cold Condition (CC) | |||
| M1 | 1:3 | 75.3 ± 0.6 aB | 1.25 ± 0.20 B |
| 1:4 | 80.2 ± 0.6 bA | 8.42 ± 0.12 aA | |
| M2 | 1:3 | 75.2 ± 0.1 aC | 0 |
| 1:4 | 80.9 ± 0.5 bB | 0.50 ± 0.16 bB | |
| 1:5 | 83.8 ± 0.2A | 4.29 ± 0.29A | |
| Hot Condition (HC) | |||
| C | 1:3 | 75.9 ± 0.5 aC | 0 |
| 1:4 | 80.7 ± 0.9 aB | 0 | |
| 1:5 | 83.9 ± 0.4 aA | 1.58 ± 0.14 | |
| M1 | 1:3 | 74.8 ± 0.5 aF | 0 |
| 1:4 | 80.2 ± 0.2 aE | 0 | |
| 1:5 | 83.0 ± 0.6 aD | 0 | |
| 1:6 | 85.1 ± 0.8 aC | 0 | |
| 1:7 | 87.6 ± 0.3 aB | 0.58 ± 0.20 C | |
| 1:8 | 88.4 ± 0.4 aA | 3.54 ± 0.19 aB | |
| 1:9 | 90.6 ± 0.3 aA | 4.21 ± 0.12 aA | |
| M2 | 1:3 | 75.2 ± 0.4 aE | 0 |
| 1:4 | 80.6 ± 0.9 aD | 0 | |
| 1:5 | 83.1 ± 0.7 aC | 0 | |
| 1:6 | 84.9 ± 0.3 aC | 0 | |
| 1:7 | 87.2 ± 0.3 aB | 0 | |
| 1:8 | 88.4 ± 0.4 aA | 0.46 ± 0.19 bB | |
| 1:9 | 90.3 ± 0.4 aA | 2.37 ± 0.14 bA | |
| Moisture Content | Pop A (%) | TA (ms) | Pop B (%) | TB (ms) | Pop C (%) | Tc (ms) | Pop D (%) | TD (ms) | Pop E (%) | TE (ms) | |
|---|---|---|---|---|---|---|---|---|---|---|---|
| Cold Condition (CC) | |||||||||||
| M1 | 75% | 35.12 ± 0.94 aA | 0.022 ± 0.000 bA | 64.89 ± 0.94 bA | 0.49 ± 0.01 aA | 7.03 ± 0.54 aB | 6.11 ± 0.58 bB | 26.86 ± 1.43 bB | 33.99 ± 1.38 bB | 66.79 ± 0.95 aA | 145.04 ± 2.55 aB |
| 80% | 34.49 ± 1.19 aA | 0.022 ± 0.000 bA | 64.50 ± 1.19 bA | 0.51 ± 0.03 aA | 10.51 ± 1.75 aA | 12.85 ± 1.99 aA | 36.76 ± 2.68 aA | 76.64 ± 3.64 aA | 53.33 ± 0.60 bB | 166.71 ± 3.93 aA | |
| M2 | 75% | 32.10 ± 0.30 bA | 0.025 ± 0.001 aA | 67.90 ± 0.30 aB | 0.46 ± 0.00 bC | 6.11 ± 0.30 bB | 6.85 ± 0.42 aC | 31.81 ± 1.63 aA | 38.42 ± 2.20 aC | 62.08 ± 1.78 bB | 78.49 ± 0.70 bC |
| 80% | 31.42 ± 0.41 bB | 0.024 ± 0.001 aB | 68.58 ± 0.41 aB | 0.49 ± 0.01 aB | 6.22 ± 0.78 bB | 8.16 ± 1.20 bB | 25.94 ± 0.87 bB | 43.91 ± 2.78 bB | 67.84 ± 1.60 aA | 106.06 ± 2.61 bB | |
| 83% | 23.28 ± 0.7C | 0.024 ± 0.00B | 76.72 ± 0.7A | 0.56 ± 0.02A | 8.09 ± 0.88A | 14.05 ± 0.6A | 32.80 ± 2.2A | 72.32 ± 3.2A | 59.35 ± 2.5C | 147.14 ± 3.9A | |
| Hot Condition (HC) | |||||||||||
| C | 75% | 22.81 ± 0.55 cA | 0.018 ± 0.000 bA | 77.19 ± 0.55 aC | 0.69 ± 0.01 aB | 4.99 ± 0.38 aA | 10.58 ± 0.75 aB | 17.25 ± 1.12 b | 52.80 ± 2.48 aB | 77.76 ± 1.50 aA | 122.95 ± 0.87 aB |
| 80% | 20.98 ± 0.59 cB | 0.017 ± 0.000 cAB | 79.02 ± 0.59 aB | 0.70 ± 0.02 aB | 4.40 ± 0.86 aA | 11.04 ± 0.69 aAB | 17.20 ± 0.29 aA | 58.50 ± 3.41 aA | 78.63 ± 0.93 bA | 135.33 ± 3.92 aA | |
| 83% | 15.60 ± 1.56 cC | 0.017 ± 0.000 bB | 84.40 ± 1.56 aA | 0.77 ± 0.03 aA | 4.08 ± 0.12 aA | 12.06 ± 0.46 aA | 17.74 ± 0.46 aA | 61.17 ± 1.00 aA | 78.17 ± 0.42 cA | 140.41 ± 3.40 aA | |
| M1 | 75% | 27.96 ± 1.02 bA | 0.019 ± 0.000 bA | 72.04 ± 1.02 bE | 0.58 ± 0.00 bF | 4.50 ± 0.18 aA | 5.70 ± 0.34 bF | 20.47 ± 1.45 abA | 33.18 ± 1.49 bG | 75.03 ± 1.62 abE | 66.38 ± 0.84 bG |
| 80% | 23.05 ± 0.65 bB | 0.018 ± 0.001 bA | 77.17 ± 0.79 bD | 0.65 ± 0.01 bE | 3.62 ± 0.23 abB | 7.07 ± 0.98 bE | 12.78 ± 1.64 bC | 43.35 ± 2.39 bF | 83.60 ± 1.87 aC | 100.03 ± 2.01 bF | |
| 83% | 18.12 ± 1.04 bC | 0.019 ± 0.000 aA | 81.88 ± 1.04 bC | 0.69 ± 0.02 bD | 2.85 ± 0.17 bD | 8.53 ± 0.19 bD | 11.02 ± 0.27 cDE | 52.03 ± 1.48 bE | 86.13 ± 0.37 aAB | 134.41 ± 0.99 bE | |
| 85% | 10.38 ± 0.11 bD | 0.019 ± 0.000 bA | 89.62 ± 0.11 aAB | 0.79 ± 0.04 aBC | 3.45 ± 0.23 aB | 11.85 ± 0.48 aC | 15.27 ± 1.81 aB | 73.54 ± 1.07 aD | 81.28 ± 1.99 bD | 150.81 ± 3.08 aD | |
| 87% | 10.50 ± 0.20 bD | 0.019 ± 0.001 aA | 89.49 ± 0.12 aAB | 0.78 ± 0.05 aC | 3.13 ± 0.08 aC | 13.34 ± 0.51 aB | 11.96 ± 0.50 aCD | 80.15 ± 2.10 aC | 84.91 ± 0.51 aBC | 197.10 ± 3.69 aC | |
| 88% | 10.21 ± 0.70 bD | 0.019 ± 0.001 aA | 89.79 ± 0.70 aA | 0.83 ± 0.03 aAB | 2.80 ± 0.10 aD | 15.13 ± 0.57 aA | 10.17 ± 0.50 bE | 86.73 ± 1.49 aB | 87.02 ± 0.55 aA | 224.75 ± 2.92 aB | |
| 90% | 11.54 ± 0.85 bD | 0.017 ± 0.002 aB | 88.51 ± 0.95 aB | 0.88 ± 0.06 aA | 2.75 ± 0.05 aD | 15.72 ± 0.90 aA | 11.54 ± 0.21 bCDE | 104.55 ± 1.68 aA | 85.71 ± 0.25 aAB | 291.32 ± 4.85 aA | |
| M2 | 75% | 29.07 ± 1.15 aA | 0.024 ± 0.001 aB | 70.92 ± 1.15 bE | 0.48 ± 0.01 cF | 3.86 ± 0.28 bA | 3.29 ± 0.37 cE | 23.89 ± 2.92 aA | 24.90 ± 1.87 cG | 72.98 ± 2.25 bB | 50.18 ± 1.79 cG |
| 80% | 29.24 ± 0.5 aA | 0.021 ± 0.001 aC | 70.75 ± 0.51 cE | 0.50 ± 0.02 cE | 2.88 ± 0.31 bBC | 3.53 ± 1.29 cE | 13.19 ± 0.30 bB | 27.79 ± 1.16 cF | 83.94 ± 0.17 aA | 76.36 ± 1.65 cF | |
| 83% | 21.37 ± 1.29 aB | 0.025 ± 0.002 aA | 78.63 ± 1.29 cD | 0.58 ± 0.01 cD | 3.07 ± 0.04 bB | 7.04 ± 1.44 cD | 12.82 ± 1.2 bB | 39.23 ± 0.45 cE | 84.11 ± 1.16 bA | 98.58 ± 3.43 cE | |
| 85% | 17.50 ± 0.42 aC | 0.023 ± 0.001 aB | 82.51 ± 0.42 bC | 0.60 ± 0.02 bC | 2.85 ± 0.17 bBC | 8.53 ± 0.19 bC | 11.02 ± 0.27 bB | 52.03 ± 1.48 bD | 86.13 ± 0.37 aA | 134.41 ± 0.9 bD | |
| 87% | 14.15 ± 0.96 aD | 0.020 ± 0.001 aC | 85.85 ± 0.96 bB | 0.69 ± 0.02 bB | 2.63 ± 0.31 bC | 11.75 ± 1.01 bB | 14.06 ± 3.99 aB | 66.46 ± 1.56 bC | 83.97 ± 4.84 aA | 149.29 ± 3.15 bC | |
| 88% | 11.80 ± 0.22 aE | 0.021 ± 0.001 aC | 88.20 ± 0.22 bA | 0.72 ± 0.01 bA | 2.77 ± 0.24 aBC | 12.03 ± 0.34 bB | 13.01 ± 1.24 aB | 72.88 ± 2.44 bB | 84.22 ± 1.47 bA | 163.93 ± 0.01 bB | |
| 90% | 11.73 ± 1.33 aE | 0.020 ± 0.001 aC | 88.54 ± 0.15 aA | 0.74 ± 0.02 bA | 2.84 ± 0.13 aBC | 14.99 ± 0.35 aA | 13.65 ± 1.13 aB | 86.33 ± 1.09 bA | 83.51 ± 1.26 bA | 190.94 ± 5.06 bA | |
| M2 Inclusion Level | |||||
|---|---|---|---|---|---|
| STD | S1 | S2 | S3 | ||
| Bostwick Running Distance (cm) | |||||
| Carrot Soup | 9.2 ± 0.3 a | 7.8 ± 0.3 b | 5.8 ± 0.8 c | 4.5 ± 0.5 d | |
| Tomato Sauce | 15.3 ± 0.6 a | 13.2 ± 0.3 b | 12.2 ± 0.8 b | 8.8 ± 0.3 c | |
| Cooking Yield (%) | |||||
| Meat Patty | 78.6 ± 0.2 b | 78.4 ± 0.5 b | 82.8 ± 0.4 a | 82.7 ± 0.2 a | |
© 2020 by the authors. Licensee MDPI, Basel, Switzerland. This article is an open access article distributed under the terms and conditions of the Creative Commons Attribution (CC BY) license (http://creativecommons.org/licenses/by/4.0/).
Share and Cite
Carcelli, A.; Masuelli, E.; Diantom, A.; Vittadini, E.; Carini, E. Probing the Functionality of Physically Modified Corn Flour as Clean Label Thickening Agent with a Multiscale Characterization. Foods 2020, 9, 1105. https://doi.org/10.3390/foods9081105
Carcelli A, Masuelli E, Diantom A, Vittadini E, Carini E. Probing the Functionality of Physically Modified Corn Flour as Clean Label Thickening Agent with a Multiscale Characterization. Foods. 2020; 9(8):1105. https://doi.org/10.3390/foods9081105
Chicago/Turabian StyleCarcelli, Alessandro, Erica Masuelli, Agoura Diantom, Elena Vittadini, and Eleonora Carini. 2020. "Probing the Functionality of Physically Modified Corn Flour as Clean Label Thickening Agent with a Multiscale Characterization" Foods 9, no. 8: 1105. https://doi.org/10.3390/foods9081105
APA StyleCarcelli, A., Masuelli, E., Diantom, A., Vittadini, E., & Carini, E. (2020). Probing the Functionality of Physically Modified Corn Flour as Clean Label Thickening Agent with a Multiscale Characterization. Foods, 9(8), 1105. https://doi.org/10.3390/foods9081105
