Antiradical Activity of Hydrolysates and Extracts from Mollusk A. broughtonii and Practical Application to the Stabilization of Lipids
Abstract
1. Introduction
2. Materials and Methods
2.1. Material from the Bivalve Mollusk A. broughtonii
2.2. Acid and Enzymatic Hydrolysis and Hydrothermal Extraction and Analysis
2.3. Preparation of Mayonnaise
2.4. Fractionation of Melanoidins
2.5. DPPH Radical Scavenging Assay
- -
- radical binding activity (RBA) was calculated by the formulawhere D517I is a control, and D517II is a sample;RBA (%) = (D517I − D517II)/D517I × 100,
- -
- the effective concentration of substance at which 50% of free radicals DPPH (EC50) was restored;
- -
- time of recovery of half of the quantity of radical (TEC50), min;
- -
- antiradical efficiency (AE)—this characteristic connects the time of recovery of half of the quantity of radical (TEC50) to the concentration of substrate (EC50) necessary for this, which is calculated by the formula:AE = 1/(EC50 × TEC50)
2.6. Acid and Peroxide Value (AV, PV)
2.7. Statistical Analysis
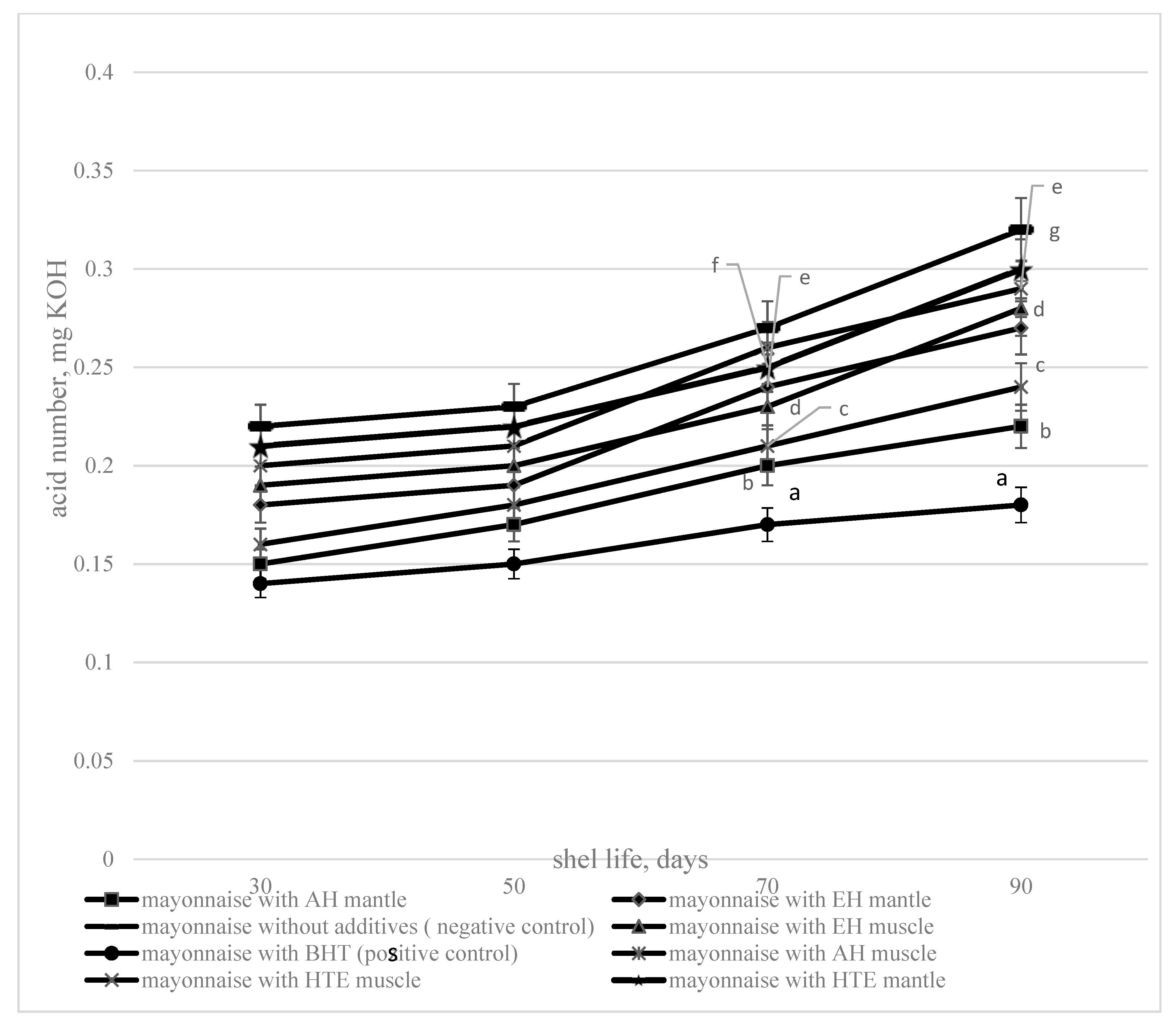
3. Results and Discussion
4. Conclusions
Author Contributions
Funding
Conflicts of Interest
References
- Hancock, J.T.; Desikan, R.; Neil, S.J. Role of reactive oxygen species in cell signaling pathways. Biochem. Soc. Trans. 2001, 29, 345–350. [Google Scholar] [CrossRef] [PubMed]
- Leanderson, P.; Faresjo, A.O.; Tagesson, C. Green tea polyphenols inhibits oxidant-induced DNA strand breakage in cultured lung cells. Free Rad. Bio. Med. 1997, 23, 235–242. [Google Scholar] [CrossRef]
- Debashis, D.D.; Bhattacharjee, B.M.; Banerjee, R.K. Hydroxyl radicals are the major causative factor in stressinduced gastric ulceration. Free Radic. Bio. Med. 1997, 23, 8–18. [Google Scholar]
- Rimm, E.B.; Ascherio, A.; Giovannucci, E.; Spiegelman, D.; Stampfer, M.J.; Willett, W.C. Vegetable, fruit, and cereal fiber intake and risk of coronary heart disease among men. J. Am. Med. Assoc. 1996, 275, 447–451. [Google Scholar] [CrossRef] [PubMed]
- Steinmetz, K.A.; Potter, J.D. Vegetables, fruit, and cancer prevention: A review. J. Am. Diet. Assoc. 1996, 96, 1027–1039. [Google Scholar] [CrossRef]
- Zenkov, N.K.; Lankin, V.Z.; Menshikova, E.B. Okislitelnyi Stress; Science: Moskow, Russia, 2001; p. 342. [Google Scholar]
- Wettasinghe, M.; Shahidi, F. Evening primrose meal: A source of natural antioxidants and scavenger of hydrogen-derived free radicals. J. Agric. Food Chem. 1999, 47, 1801–1812. [Google Scholar] [CrossRef] [PubMed]
- Ratz-Łyko, A.; Herman, A.; Arct, J.; Pytkowska, K. Evaluation of Antioxidant and Antimicrobial Activities of Oenothera biennis, Borago officinalis, and Nigella sativa Seedcake Extracts. Food Sci. Biotechnol. 2014, 23, 1029–1036. [Google Scholar] [CrossRef]
- Zheng, W.; Wang, S.Y. Antioxidant activity and phenolic compounds in selected herbs. J. Agric. Food Chem. 2001, 49, 5165–5170. [Google Scholar] [CrossRef]
- Umayaparvathi, S.; Arumugam, M.; Meenakshi, S.; Balasubramanian, T. Antioxidant Properties of Protein Hydrolysate Obtained from Oyster Saccostrea cucullata. J. Aquat. Food Prod. Technol. 2015, 24, 502–515. [Google Scholar] [CrossRef]
- Rajapakse, N.; Mendis, E.; Byun, H.G.; Kim, S.K. Purification and in vitro antioxidative effects of giant squid muscle peptides on free radical-mediated oxidative systems. J. Nutr. Biochem. 2005, 16, 562–569. [Google Scholar] [CrossRef]
- Thiansilakul, Y.; Benjakul, S.; Shahidi, F. Compositions, functional properties and antioxidative activity of protein hydrolysates prepared from round scad (Decapterus maruadsi). Food Chem. 2007, 103, 1385–1394. [Google Scholar] [CrossRef]
- Cheorun, J.; Khan, F.F.; Khan, M.I.; Iqbal, J. Marine bioactive peptides: Types, structures, and physiological functions. Food Rev. Int. 2017, 33, 44–61. [Google Scholar]
- Odeleye, T.; Li, Y.; Lindsey, W.W.; Nie, S.; Chen, S.; Wang, J.; Lu, J. The antioxidant potential of the New Zealand surf clams. Food Chem. 2016, 204, 141–149. [Google Scholar] [CrossRef] [PubMed]
- Joy, M.; Chakraborty, K.; Raola, V.K. New sterols with anti-inflammatory potentials against cyclooxygenase-2 and 5-lipoxygenase from Paphia malabarica. Nat. Prod. Res. 2017, 31, 1286–1298. [Google Scholar] [CrossRef]
- Luan, H.M.; Wang, L.C.; Wu, H.; Jin, Y.; Ji, J. Antioxidant activities and antioxidative components in the surf clam, Mactra veneriformis. Nat. Prod. Res. 2011, 25, 1838–1848. [Google Scholar] [CrossRef] [PubMed]
- Huang, F.; Zhao, S.; Yu, F.; Yang, Z.; Ding, G. Protective effects and mechanism of Meretrix meretrix oligopeptides against nonalcoholic fatty liver disease. Mar. Drugs 2017, 15, 31. [Google Scholar] [CrossRef]
- Arzamastsev, I.S.; Yakovlev Yu, M.; Evseev, G.A. Atlas of Trade Invertebrates and Seaweed of the Seas of the Far East of Russia; Avante: Vladivostok, Russia, 2001; p. 192. [Google Scholar]
- De-Wei, C.; Jian, S.; Xiao-Ling, L.; Dong-Mei, Y.; Ying, L.; Wei-Ming, J.; Xiao-Han, C. Amino Acid Profiles of Bivalve Mollusks from Beibu Gulf, China. J. Aquat. Food Prod. Technol. 2012, 21, 369–379. [Google Scholar]
- Karnjanapratum, S.; Benjakul, S.; Kishimura, H.; Tsai, Y.H. Chemical compositions and nutritional value of Asian hard clam (Meretrixlusoria) from the coast of Andaman Sea. Food Chem. 2013, 141, 4138–4145. [Google Scholar] [CrossRef]
- Tabakaeva, O.V.; Tabakaev, A.V.; Pikozevski, V. Nutritional composition and total collagen content of two commercially important edible bivalve molluscs from the Sea of Japan coast. J. Food Sci. Technol. 2018, 55, 4877–4886. [Google Scholar] [CrossRef]
- Tabakaeva, O.V.; Tabakaev, A.V. Amino acids composition of soft tissues of the Far-east bivalve mollusk Anadara broughtonii. Chem. Nat. Compd. 2016, 52, 468–471. [Google Scholar] [CrossRef]
- Wright, A.C.; Fan, Y.; Baker, G.L. Nutritional value and food safety of bivalve molluscan shellfish. J. Shellfish. Res. 2018, 37, 695–708. [Google Scholar] [CrossRef]
- Tabakaeva, O.V.; Tabakaev, A.V. Amino-acid profile of a mactridae bivalve mollusk from the sea of Japan. Chem. Nat. Compd. 2016, 52, 966–968. [Google Scholar] [CrossRef]
- Minju, J.; Kajal, C. Nutritional Qualities of the Low-Value Bivalve Mollusks Paphia malabarica and villorita cyprinoides at the Estuarine Waters of the Southwestern Coast of India. J. Aquat. Food Prod. Technol. 2017, 26, 54–70. [Google Scholar]
- Rakov, V.A. Determinants of Two-Fold Molluscs of Primorsky Krai; Dalnauka: Vladivostok, Russia, 2002. [Google Scholar]
- Yang, X.; Qiu, Y.; Zhao, Y.; Chi, C.; Wang, B. Purification and Characterization of Antioxidant Peptides Derived from Protein Hydrolysate of the Marine Bivalve Mollusk Tergillarca granosa. Mar. Drugs 2019, 17, 251. [Google Scholar] [CrossRef]
- Qiao, M.; Tu, M.; Chen, H.; Mao, F.; Yu, C.; Du, M. Identification and in Silico Prediction of Anticoagulant Peptides from the Enzymatic Hydrolysates of Mytilus edulis Proteins. Int. J. Mol. Sci. 2018, 19, 2100. [Google Scholar] [CrossRef]
- Eshghi, N.; Asnaashari, M.; Haddad Khodaparast, M.H.; Hosseini, F. Evaluating the potential of natural curcumin for oxidative stability of soybean oil. Nat. Prod. Res. 2014, 28, 1375–1378. [Google Scholar] [CrossRef]
- Shadyro, O.I.; Sosnovskaya, A.A.; Edimecheva, I.P. Flaxseed oil stabilization using natural and synthetic antioxidants. Eur. J. Lipid Sci. Technol. 2017, 119, 1700079. [Google Scholar] [CrossRef]
- AOAC. Official Method of Analytical Chemists, 17th ed.; Association of Official Analytical Chemists: Washington, DC, USA, 2000. [Google Scholar]
- Brands, C.M.; Wedzicha, B.L.; Boekel, M.A. Quantification of melanoidin concentration in sugar-casein systems. J. Agric. Food Chem. 2002, 50, 1178–1183. [Google Scholar] [CrossRef]
- Brand-Williams, W.; Cuvelier, M.E.; Berset, C. Use of a free radical method to evaluate antioxidant activity. LWT Food Sci. Technol. 1995, 28, 25–30. [Google Scholar] [CrossRef]
- ISO 660, Animal and Vegetable Fats and Oils. Determination of Acid Value and Acidity; International Standards Organization: Geneva, Switzerland, 2009. [Google Scholar]
- ISO 3960, Animal and Vegetable Fats and Oils. Determination of Peroxide Value-Lodometric (Visual) Endpoint Determination; International Standards Organization: Geneva, Switzerland, 2007. [Google Scholar]
- Bougatef, A.; Hajji, M.; Balti, R.; Lassoued, I.; Triki-Ellouz, Y.; Nasri, M. Antioxidant and free radical-scavenging activities of smooth hound (Mustelus mustelus) muscle protein hydrolysates obtained by gastrointestinal proteases. Food Chem. 2009, 114, 1198–1205. [Google Scholar] [CrossRef]
- Nazeer, R.A.; Srividhya, T.S. Antioxidant peptides from the protein hydrolysates of Conus betulinus. Int. J. Pept. Res. Ther. 2011, 17, 231–237. [Google Scholar] [CrossRef]
- Terentyev, V.A. Development of the production technology of the media hydrolyzate of treatment-and-prophylactic application. Xranenie Pererab. Selxozsirya 2002, 4, 12–14. [Google Scholar]
- Harnedy Padraigin, A.; FitzGerald Richard, J. Bioactive peptides from marine processing waste and shellfish. J. Funct. Foods 2012, 4, 6–24. [Google Scholar] [CrossRef]
- Chirag, R.; Suchita, G.; Pritam, K. Antioxidant obtained from natural sourse. Indo Am. J. Pharm. Sci. 2019, 6, 4773–4780. [Google Scholar]
- Giulia, M.; Dania, G. Antibacterial and antioxidant activities for natural and synthetic dual-active compounds. Eur. J. Med. Chem. 2018, 158, 91–105. [Google Scholar]
- Kim, S.K.; Lee, H.C.; Byun, H.G.; Jeon, Y.J. Isolation and characterization of antioxidative peptides from enzymatic hydrolysates of yellowfin sole skin gelatin. J. Korean Fish. Soc. 1996, 41, 198–204. [Google Scholar]
- Cho, W.I.; Kim, S.M. Taste compounds and biofunctional activities of the sandy beach clam hydrolysate for the shellfish flavoring condiment. J. Aquat. Food Prod. Technol. 2016, 25, 24–34. [Google Scholar] [CrossRef]
- Lorenzo, J.M.; Munekata, P.E.; Gómez, B.; Barba, F.J.; Mora, L.; Pérez-Santaescolástica, C.; Toldrá, F. Bioactive peptides as natural antioxidants in food products. Trends Food Sci. Technol. 2018, 79, 136–147. [Google Scholar] [CrossRef]
- Magdalena, M.; Antonia, M.M. Antioxidant Activity of Resveratrol Compared with Common Food Additives. J. Food Prot. 2001, 64, 379–384. [Google Scholar]
- Hermund, D.B.; Yesiltas, B.; Honold, P.; Jonsdottir, R.; Kristinsson, H.G.; Jacobsen, C. Characterisation and antioxidant evaluation of Icelandic F. vesiculosus extracts in vitro and in fish-oil-enriched milk and mayonnaise. J. Funct. Foods 2015, 19, 828–841. [Google Scholar] [CrossRef]
- Jacobsen, C.; Adler-Nissen, J.; Meyer, A.S. Effect of ascorbic acid on iron release from the emulsifier interface and on the oxidative flavor deterioration in fish oil enriched mayonnaise. J. Agric. Food Chem. 1999, 47, 4917–4926. [Google Scholar] [CrossRef] [PubMed]
- Jacobsen, C.; Timm, M.; Meyer, A.S. Oxidation in fish oil enriched mayonnaise: Ascorbic acid and low pH increase oxidative deterioration. J. Agric. Food Chem. 2001, 49, 3947–3956. [Google Scholar] [CrossRef] [PubMed]
- Sørensen, A.D.M.; Nielsen, N.S.; Hyldig, G.; Jacobsen, C. Influence of emulsifier type on lipid oxidation in fish oil-enriched light mayonnaise. Eur. J. Lipid Sci. Technol. 2010, 112, 1012–1023. [Google Scholar] [CrossRef]
- Jacobsen, C.; Xu, X.; Skall Nielsen, N.; Timm-Heinrich, M. Oxidative stability of mayonnaise containing structured lipids produced from sunflower oil and caprylic acid. Eur. J. Lipid Sci. Technol. 2003, 105, 449–458. [Google Scholar] [CrossRef]
- Nielsen, N.S.; Petersen, A.; Meyer, A.S.; Timm-Heinrich, M.; Jacobsen, C. Effects of lactoferrin, phytic acid, and EDTA on oxidation in two food emulsions enriched with long-chain polyunsaturated fatty acids. J. Agric. Food Chem. 2004, 52, 7690–7699. [Google Scholar] [CrossRef]
- Lagunes-Galvez, L.; Cuvelier, M.E.; Odonnaud, C.; Berset, C. Oxidative stability of some mayonnaise formulations during storage and daylight irradiation. J. Food Lipids 2002, 9, 211–224. [Google Scholar] [CrossRef]
- Milani, M.A.; Mizani, M.; Ghavami, M.; Eshratabadi, P. The physicochemical influences of yellow mustard paste-comparison with the powder in mayonnaise. J. Food Process. Technol. 2013, 4, 2. [Google Scholar] [CrossRef]
- Kaur, D.; Wani, A.A.; Singh, D.P.; Sogi, D. Shelf life enhancement of butter, ice-cream, and mayonnaise by addition of lycopene. Int. J. Food Prop. 2011, 14, 1217–1231. [Google Scholar] [CrossRef]
- Kishk, Y.; Elsheshetawy, H.E. Effect of ginger powder on the mayonnaise oxidative stability, rheological measurements, and sensory characteristics. Ann. Agric. Sci. 2013, 58, 213–220. [Google Scholar] [CrossRef]
- Altunkaya, A.; Hedegaard, R.V.; Harholt, J.; Brimer, L.; G€okmen, V.; Skibsted, L.H. Oxidative stability and chemical safety of mayonnaise enriched with grape seed extract. Food Funct. 2013, 4, 1647–1653. [Google Scholar] [CrossRef]
- Hashemi, M.B.; Niakousari, M.; Saharkhiz, M.J. Antioxidant activity of Satureja bachtiarica Bunge essential oil in rapeseed oil irradiated with UV rays. Eur. J. Lipid Sci. Technol. 2011, 113, 1132–1137. [Google Scholar] [CrossRef]
- Baranauskiene, R.; Kazernaviciute, R.; Pukalskiene, M.; Mazdzieriene, R.; Venskutonis, P.R. Agrorefinery of Tanacetum vulgare L. into valuable products and evaluation of their antioxidant properties and phytochemical composition. Ind. Crop. Prod. 2014, 60, 113–122. [Google Scholar] [CrossRef]
- Honold, P.J.; Jacobsen, C.; Jonsdottir, R.; Kristinsson, H.G.; Hermund, D.B. Potential seaweed-based food ingredients to inhibit lipid oxidation in fish-oilenriched mayonnaise. Eur. Food Res. Technol. 2016, 242, 571–584. [Google Scholar] [CrossRef]




| Component | Content, g/100 g | ||
|---|---|---|---|
| Mayonnaise with Acid Hydrolysate | Mayonnaise with Enzymatic Hydrolysate | Mayonnaise with Hydrothermal Hydrolysate | |
| Vegetable oil | 67 | 67 | 67 |
| Egg powder | 5 | 5 | 5 |
| Acid hydrolysate | 12 | - | - |
| Enzymatic hydrolysate | - | 18 | - |
| Hydrothermal extract | - | - | 20 |
| Citric acid | - | 0.4 | 0.4 |
| Mustard powder | 0.75 | 0.75 | 0.75 |
| Salt | 1.0 | 1.0 | 1.0 |
| Sugar | 1.5 | 1.5 | 1.5 |
| Water | 12.75 | 18.35 | 20.35 |
| Total | 100 | 100 | 100 |
| An Object | RBA% | EC50, mkg/mL | TEC50, min | AE, mkg/l∙s × 10−2 | |||||||||||
|---|---|---|---|---|---|---|---|---|---|---|---|---|---|---|---|
| Subset for a = 0.05 | Subset for a = 0.05 | Subset for a = 0.05 | Subset for a = 0.05 | ||||||||||||
| 1 | 2 | 3 | 1 | 2 | 3 | 4 | 1 | 2 | 3 | 4 | 1 | 2 | 3 | 4 | |
| AH muscle | 86.2 ± 3.21 | 16.1 ± 0.80 | 13.9 ± 0.65 | 0.45 ± 0.02 | |||||||||||
| AH mantle | 89.3 + 4.02 | 15.5 ± 0.75 | 12.1 ± 0.60 | 0.53 ± 0.01 | |||||||||||
| EH muscle | 70.5 ± 2.89 | 19.7 ± 0.94 | 14.5 ± 0.72 | 0.35 ± 0.01 | |||||||||||
| EH mantle | 68.4 ± 2.95 | 22.6 ± 1.10 | 16.0 ± 0.80 | 0.28 ± 0.01 | |||||||||||
| HTE muscle | 55.2 ± 2.17 | 27.5 ± 1.35 | 16.4 ± 0.80 | 0.22 ± 0.01 | |||||||||||
| HTE mantle | 59.3 ± 2.58 | 30.2 ± 1.50 | 17.3 ± 0.81 | 0.19 ± 0.01 | |||||||||||
| BHT | 94.3 ± 4.08 | 8.75 ± 0.41 | 7.00 ± 0.32 | 1.6 ± 0.07 | |||||||||||
| Sig. | 1.00 | 1.00 | 1.00 | 1.00 | 1.00 | 1.00 | 1.00 | 1.00 | 1.00 | 1.00 | 1.00 | 1.00 | 1.00 | ||
© 2020 by the authors. Licensee MDPI, Basel, Switzerland. This article is an open access article distributed under the terms and conditions of the Creative Commons Attribution (CC BY) license (http://creativecommons.org/licenses/by/4.0/).
Share and Cite
Tabakaeva, O.V.; Piekoszewski, W.; Kalenik, T.K.; Maximova, S.N.; Tabakaev, A.V.; Poleshyk, D.V.; Proniewicz, L. Antiradical Activity of Hydrolysates and Extracts from Mollusk A. broughtonii and Practical Application to the Stabilization of Lipids. Foods 2020, 9, 304. https://doi.org/10.3390/foods9030304
Tabakaeva OV, Piekoszewski W, Kalenik TK, Maximova SN, Tabakaev AV, Poleshyk DV, Proniewicz L. Antiradical Activity of Hydrolysates and Extracts from Mollusk A. broughtonii and Practical Application to the Stabilization of Lipids. Foods. 2020; 9(3):304. https://doi.org/10.3390/foods9030304
Chicago/Turabian StyleTabakaeva, O.V., W. Piekoszewski, T.K. Kalenik, S.N. Maximova, A.V. Tabakaev, D. V. Poleshyk, and L. Proniewicz. 2020. "Antiradical Activity of Hydrolysates and Extracts from Mollusk A. broughtonii and Practical Application to the Stabilization of Lipids" Foods 9, no. 3: 304. https://doi.org/10.3390/foods9030304
APA StyleTabakaeva, O. V., Piekoszewski, W., Kalenik, T. K., Maximova, S. N., Tabakaev, A. V., Poleshyk, D. V., & Proniewicz, L. (2020). Antiradical Activity of Hydrolysates and Extracts from Mollusk A. broughtonii and Practical Application to the Stabilization of Lipids. Foods, 9(3), 304. https://doi.org/10.3390/foods9030304

