Synergistic Effects of Mild Heating and Dielectric Barrier Discharge Plasma on the Reduction of Bacillus Cereus in Red Pepper Powder
Abstract
1. Introduction
2. Materials and Methods
2.1. Bacterial Strain
2.2. Culture Preparation
2.3. Inoculation and Sample Preparation
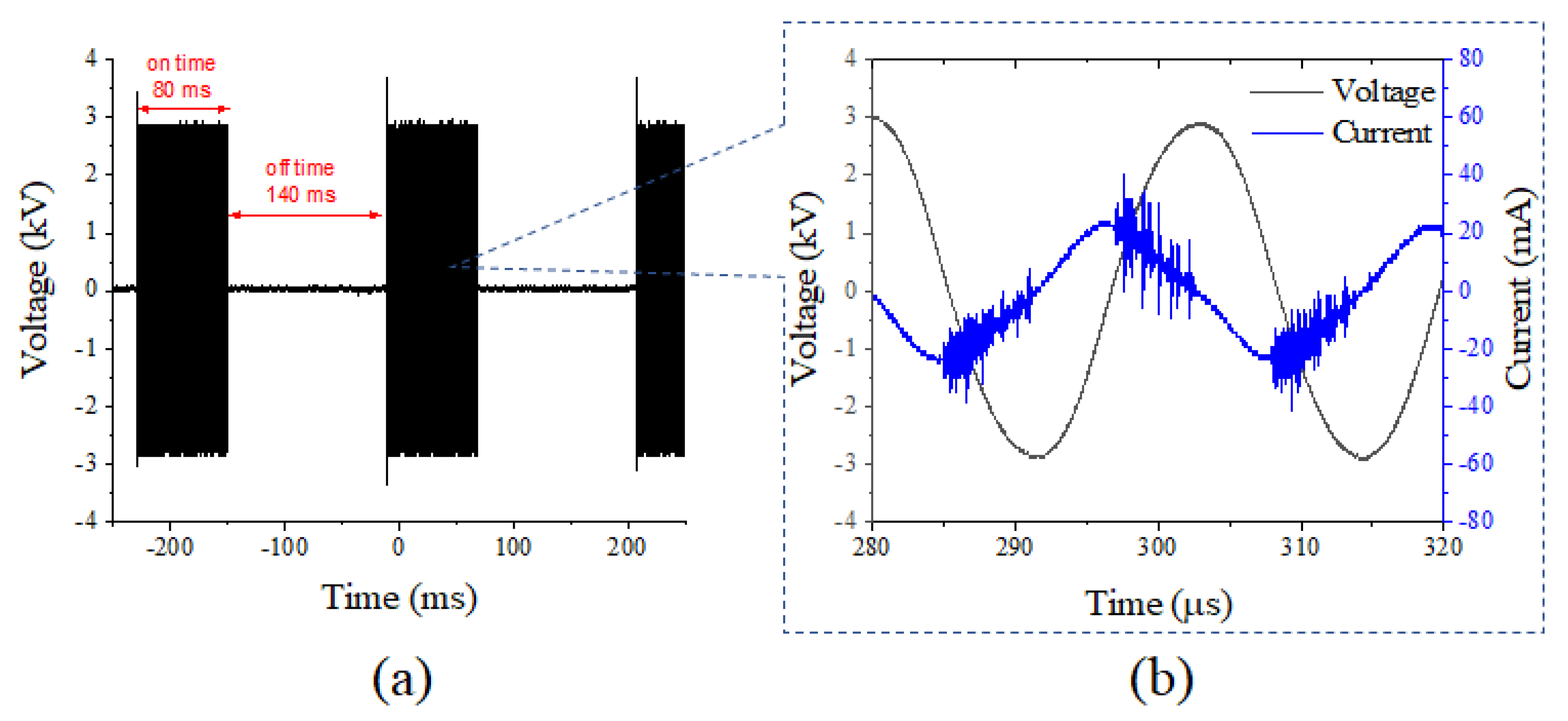
2.4. Mild Heat Treatment and Dielectric Barrier Discharge Plasma Treatment
2.5. Determining Synergistic Reduction Effects
2.6. Microbial Enumeration
2.7. Quality Measurement
2.7.1. Hunter Color
2.7.2. pH Values
2.8. Statistical Analysis
3. Results
3.1. Synergistic Reductions of Bacillus cereus in Red Pepper Powder were Achieved by Combined Treatment with Mild Heat Treatment and Dielectric Barrier Discharge Plasma
3.2. Hunter Color and pH Value on red Pepper Powder Treated by Combined Mild Heat Treatment and Dielectric Barrier Discharge Plasma
4. Discussion
5. Conclusions
Author Contributions
Acknowledgments
Conflicts of Interest
References
- Hwang, S.Y.; An, Y.H.; Shin, G.M. A Study on the quality of commercial red pepper powder. Korean J. Food Nutr. 2001, 14, 424–428. [Google Scholar]
- Cao, Z.Z.; Zhou, L.Y.; Bi, J.F.; Yi, J.Y.; Chen, Q.Q.; Wu, X.Y. Effect of different drying technologies on drying characteristics and quality of red pepper (Capsicum frutescens L.): A comparative study. J. Sci. Food Agric. 2016, 96, 3596–3603. [Google Scholar] [CrossRef] [PubMed]
- Chun, H.H.; Kim, J.Y.; Kim, H.J.; Song, K.B. Effect of UV-C irradiation on the quality of red pepper powder during storage. Korean J. Food Preserv. 2009, 16, 454–458. [Google Scholar]
- Pankaj, S.K.; Misra, N.N.; Cullen, P.J. Kinetics of tomato peroxidase inactivation by atmospheric pressure cold plasma based on dielectric barrier discharge. Innov. Food Sci. Emerg. Technol. 2013, 19, 153–157. [Google Scholar] [CrossRef]
- Sarangapani, C.; Devi, Y.; Thirundas, R.; Annapure, U.S.; Deshmukh, R.R. Effect of low-pressure plasma on physico-chemical properties of parboiled rice. Food Sci. Technol. 2015, 63, 452–460. [Google Scholar] [CrossRef]
- Moreau, M.; Orange, N.; Feuilloley, M.G.J. Non-thermal plasma technologies: New tools for bio-decontamination. Biotechnol. Adv. 2008, 26, 610–617. [Google Scholar] [CrossRef] [PubMed]
- Ryu, Y.H.; Uhm, H.S.; Park, G.S.; Choi, E.H. Sterilization of Neurospora crassa by noncontacted low temperature atmospheric pressure surface discharged plasma with dielectric barrier structure. J. Korean Vac. Soc. 2013, 22, 55–65. [Google Scholar] [CrossRef]
- Kim, J.E.; Lee, D.U.; Min, S.C. Microbial decontamination of red pepper powder by cold plasma. Food Microbiol. 2014, 38, 128–136. [Google Scholar] [CrossRef]
- Bazhal, M.I.; Ngadia, M.O.; Raghavana, G.S.V.; Smith, J.P. Inactivation of Escherichia coli O157:H7 in liquid whole egg using combined pulsed electric field and thermal treatments. LWT-Food Sci. Technol. 2006, 39, 420–426. [Google Scholar] [CrossRef]
- Cheon, H.L.; Shin, J.Y.; Park, K.H.; Chung, M.S.; Kang, D.H. Inactivation of foodborne pathogens in powdered red pepper (Capsicum annuum L.) using combined UV-C irradiation and mild heat treatment. Food Control 2015, 50, 441–445. [Google Scholar] [CrossRef]
- Choi, E.J.; Yang, H.S.; Park, H.W.; Chun, H.H. Inactivation of Escherichia coli O157:H7 and Staphylococcus aureus in red pepper powder using a combination of radio frequency thermal and indirect dielectric barrier discharge plasma non-thermal treatments. Food Sci. Technol. 2018, 93, 477–484. [Google Scholar] [CrossRef]
- Ministry of Food and Drug Administration (Korean MFDS). Microbiology Test Method in Food Code. 2019, Article 8. Available online: http://www.foodsafetykorea.go.kr/foodcode/01_03.jsp?idx=391 (accessed on 1 December 2019).
- Helgason, E.; Tourasse, N.J.; Meisal, R.; Caugant, D.A.; Kolstø, A.B. Multilocus sequence typing scheme for bacteria of the Bacillus cereus group. Appl. Environ. Microbiol. 2004, 70, 191–201. [Google Scholar] [CrossRef] [PubMed]
- Wijnands, L.M. Bacillus Cereus Associated Food Borne Disease: Quantitative Aspects of Exposure Assessment and Hazard Characterization. Ph.D. Thesis, Wageningen University, Wageningen, The Netherlands, 2008. [Google Scholar]
- Schoeni, J.L.; Wong, A.C. Bacillus cereus food poisoning and its toxins. J. Food Prot. 2005, 68, 636–648. [Google Scholar] [CrossRef] [PubMed]
- Van Doren, J.M.; Neil, K.P.; Parish, M.; Gieraltowski, L.; Gould, L.H.; Gombas, K.L. Foodborne illness outbreaks from microbial contaminants in spices, 1973–2010. Food Microbiol. 2013, 36, 456–464. [Google Scholar] [CrossRef]
- Aydin, A.; Erkan, M.E.; Baskaya, R.; Ciftcioglu, G. Determination of aflatoxin B1 levels in powdered red pepper. Food Control 2007, 18, 1015–1018. [Google Scholar] [CrossRef]
- Park, S.B.; Kwon, S.C. Microbiological hazard analysis for HACCP system application to red pepper powder. J. Korea Acad. Industr. Coop. Soc. 2015, 16, 2602–2608. [Google Scholar] [CrossRef]
- Jung, J.J.; Choi, E.J.; Lee, Y.J.; Kang, S.T. Effects of infrared pasteurization on quality of red pepper powder. Korean J. Food Sci. Technol. 2011, 43, 156–160. [Google Scholar] [CrossRef]
- Lee, H.J.; Kim, G.R.; Park, K.H.; Kim, J.S.; Kwon, J.H. Effect of electron beam irradiation on microbiological and physicochemical properties of dried red pepper powders of different origin. Korean J. Food Sci. Technol. 2015, 47, 13–19. [Google Scholar] [CrossRef]
- Genç, İ.Y.; Diler, A. Elimination of foodborne pathogens in seafoods by irradiation: Effects on the quality and shelf-life. J. Food Sci. Eng. 2013, 3, 99. [Google Scholar]
- Son, H.J.; Kang, J.H.; Oh, D.H.; Min, S.C.; Song, K.B. Combined treatment of fumaric acid with mild heat to inactivate microorganisms on fresh spinach during storage. Appl. Biol. Chem. 2016, 59, 69–74. [Google Scholar] [CrossRef]
- Koseki, S.; Isobe, S. Prediction of pathogen growth on iceberg lettuce under real temperature history during distribution from farm to table. Int. J. Food Microbiol. 2005, 104, 239–248. [Google Scholar] [CrossRef]
- Cebrián, G.; Condón, S.; Mañas, P. Physiology of the Inactivation of vegetative bacteria by thermal treatments: Mode of action, influence of environmental factors and inactivation kinetics—A review. Foods 2017, 6, 107. [Google Scholar] [CrossRef]
- Li, R.; Kou, X.; Cheng, T.; Zheng, A.; Wang, S. Verification of radio frequency pasteurization process for in-shell almonds. J. Food Eng. 2017, 192, 103–110. [Google Scholar] [CrossRef]
- Yong, H.I.; Kim, H.J.; Park, S.; Alahakoon, A.U.; Kim, K.; Choe, W.; Jo, C. Evaluation of pathogen inactivation on sliced cheese induced by encapsulated atmospheric pressure dielectric barrier discharge plasma. Food Microbiol. 2015, 46, 46–50. [Google Scholar] [CrossRef]
- Deng, S.; Ruan, R.; Mok, C.K.; Huang, G.; Lin, X.; Chen, P. Inactivation of Escherichia coli on almonds using nonthermal plasma. J. Food Sci. 2007, 72, 62–66. [Google Scholar] [CrossRef] [PubMed]
- Won, M.Y.; Choi, H.Y.; Lee, K.S.; Min, S.C. Helium dielectric barrier discharge-cold plasma treatment for microbiological safety and preservation of onion powder. Korean J. Food Sci. Technol. 2016, 48, 486–491. [Google Scholar] [CrossRef]
- Muhammad, A.I.; Li, Y.; Liao, X.; Liu, D.; Ye, X.; Chen, S.; Hu, Y.; Wang, J.; Ding, T. Effect of dielectric barrier discharge plasma on background microflora and physicochemical properties of tiger nut milk. Food Control 2019, 96, 119–127. [Google Scholar] [CrossRef]
- Bauer, A.; Ni, Y.; Bauer, S.; Paulsen, P.; Modic, M.; Walsh, J.L.; Smulders, F.J.M. The effects of atmospheric pressure cold plasma treatment on microbiological, physical-chemical and sensory characteristics of vacuum packaged beef loin. Meat Sci. 2017, 128, 77–87. [Google Scholar] [CrossRef] [PubMed]
- Smet, C.; Baka, M.; Dickenson, A.; Walsh, J.L.; Valdramidis, V.P.; Van Impe, J.F. Antimicrobial efficacy of cold atmospheric plasma for different intrinsic and extrinsic parameters. Plasma Process Polym. 2018, 15, 1700048. [Google Scholar] [CrossRef]
- Gayán, E.; Mañas, P.; Álvarez, I.; Condón, S. Mechanism of the synergistic inactivation of Escherichia coli by UV-C light at mild temperatures. Appl. Environ. Microbiol. 2013, 79, 4465–4473. [Google Scholar] [CrossRef]
- Ha, J.H.; Ha, S.D. Synergistic effects of sodium hypochlorite and ultraviolet radiation in reducing the levels of selected foodborne pathogenic bacteria. Foodborne Pathog. Dis. 2011, 8, 587–591. [Google Scholar] [CrossRef] [PubMed]
- Xiang, Q.; Wang, W.; Zhao, D.; Niu, L.; Li, K.; Bai, Y. Synergistic inactivation of Escherichia coli O157:H7 by plasma-activated water and mild heat. Food Control 2019, 106, 106741. [Google Scholar] [CrossRef]
- Kim, J.E.; Choi, H.S.; Lee, D.U.; Min, S.C. Effects of processing parameters on the inactivation of Bacillus cereus spores on red pepper (Capsicum annum L.) flakes by microwave-combined cold plasma treatment. Food Microbiol. 2017, 263, 61–66. [Google Scholar] [CrossRef] [PubMed]
- Seong, J.Y.; Park, M.J.; Kwon, K.H.; Oh, S.W. Combined effect of cold plasma and UV-C against Escherichia coli O157:H7, Salmonella Typhimurium, and Listeria monocytogenes on fresh-cut Lettuce. J. Food Hyg. Safe. 2017, 32, 64–69. [Google Scholar] [CrossRef]
- Khan, I.; Tango, C.N.; Miskeen, S.; Lee, B.H.; Oh, D.H. Hurdle technology: Anovel approach for enhanced food quality and safety—A review. Food Control 2017, 73, 1426–1444. [Google Scholar] [CrossRef]
- Li, J.; Song, H.; Dong, N.; Zhao, G. Degradation kinetics of anthocyanins from purple sweet potato (Ipomoea batatas L.) as affected by ascorbic acid. Food Sci. Biotechnol. 2014, 23, 89–96. [Google Scholar] [CrossRef]
- Muhammad, A.I.; Xiang, Q.; Liao, X.; Liu, D.; Ding, T. Understanding the impact of nonthermal plasma on food constituents and microstructure—A review. Food Bioprocess Tech. 2018, 11, 463–486. [Google Scholar] [CrossRef]


| Mean (± SD) Reduction Value (log CFU/g) | ||||||
|---|---|---|---|---|---|---|
| DBD Plasma Treatment (min) | ||||||
| Target Organism | MH Treatment (min) | 0 | 5 | 10 | 15 | 20 |
| B. cereus | 0 | – | 0.12 ± 0.21 | 0.28 ± 0.32 | 0.61 ± 0.30 | 0.96 ± 0.17 |
| 5 | 0.23 ± 0.24 | 0.33 ± 0.20 | 0.42 ± 0.10 | 1.97 ± 0.26gh | 2.57 ± 0.33f | |
| 10 | 0.93 ± 0.18 | 1.45 ± 0.23ij | 1.70 ± 0.13hi | 3.08 ± 0.32e | 3.64 ± 0.24d | |
| 15 | 1.16 ± 0.18j | 2.34 ± 0.19fg | 2.60 ± 0.24f | 3.87 ± 0.22d | 5.53 ± 0.16c | |
| 20 | 1.43 ± 0.23ij | 5.77 ± 0.26bc | 6.05 ± 0.27ab | 6.20 ± 0.31ab | 6.43 ± 0.21a | |
| Mean (± SD) Synergistic and Antagonistic Value of Reduction (log CFU/g) | |||||
|---|---|---|---|---|---|
| DBD Plasma (min) | |||||
| Target Organism | MH Treatment (min) | 5 | 10 | 15 | 20 |
| B. cereus | 5 | –0.22 ± 0.60 | –0.28 ± 0.71 | 1.24 ± 0.32d | 1.20 ± 0.65d |
| 10 | 0.47 ± 0.30 | 0.57 ± 0.91 | 1.65 ± 0.61cd | 1.58 ± 0.51cd | |
| 15 | 1.13 ± 0.42d | 1.24 ± 0.13d | 2.18 ± 0.33c | 3.20 ± 0.64b | |
| 20 | 4.32 ± 0.51a | 4.42 ± 0.32a | 4.24 ± 0.72a | 3.83 ± 0.43ab | |
| Hunter color | |||
|---|---|---|---|
| Treatment | “L” value | “a” value | “b” value |
| Control | 26.88 ± 0.17 | 22.01 ± 0.23 | 14.12 ± 0.23 |
| 5 min MH + 5 min DBD | 26.76 ± 0.21 | 22.08 ± 0.13 | 14.09 ± 0.25 |
| 5 min MH + 10 min DBD | 26.65 ± 0.18 | 22.15 ± 0.24 | 14.07 ± 0.20 |
| 5 min MH + 15 min DBD | 26.60 ± 0.10 | 22.07 ± 0.11 | 14.13 ± 0.14 |
| 5 min MH + 20 min DBD | 26.66 ± 0.14 | 22.09 ± 0.16 | 14.17 ± 0.18 |
| 10 min MH + 5 min DBD | 26.72 ± 0.18 | 22.12 ± 0.21 | 14.21 ± 0.11 |
| 10 min MH + 10 min DBD | 26.61 ± 0.12 | 22.16 ± 0.26 | 14.16 ± 0.18 |
| 10 min MH + 15 min DBD | 26.63 ± 0.14 | 22.12 ± 0.18 | 14.12 ± 0.08 |
| 10 min MH + 20 min DBD | 26.64 ± 0.07 | 22.06 ± 0.14 | 14.21 ± 0.15 |
| 15 min MH + 5 min DBD | 26.65 ± 0.28 | 22.08 ± 0.21 | 14.24 ± 0.14 |
| 15 min MH + 10 min DBD | 26.76 ± 0.24 | 22.06 ± 0.24 | 14.13 ± 0.16 |
| 15 min MH + 15 min DBD | 26.64 ± 0.15 | 22.12 ± 0.14 | 14.21 ± 0.19 |
| 15 min MH + 20 min DBD | 26.77 ± 0.16 | 22.16 ± 0.16 | 14.09 ± 0.21 |
| 20 min MH + 5 min DBD | 26.75 ± 0.22 | 22.01 ± 0.19 | 14.18 ± 0.18 |
| 20 min MH + 10 min DBD | 26.76 ± 0.18 | 22.06 ± 0.12 | 14.11 ± 0.17 |
| 20 min MH + 15 min DBD | 26.64 ± 0.13 | 22.12 ± 0.16 | 14.22 ± 0.17 |
| 20 min MH + 20 min DBD | 26.77 ± 0.23 | 22.16 ± 0.14 | 14.09 ± 0.14 |
| Mean (±SD) Reduction Value (log CFU/g) | ||||||
|---|---|---|---|---|---|---|
| DBD Plasma (min) | ||||||
| MH Treatment (min) | 0 | 5 | 10 | 15 | 20 | |
| pH | 0 | 4.86 ± 0.04 | 4.89 ± 0.02 | 4.87 ± 0.03 | 4.88 ± 0.03 | 4.84 ± 0.02 |
| 5 | 4.87 ± 0.04 | 4.90 ± 0.02 | 4.88 ± 0.03 | 4.86 ± 0.04 | 4.84 ± 0.03 | |
| 10 | 4.85 ± 0.03 | 4.79 ± 0.02 | 4.87 ± 0.03 | 4.86 ± 0.03 | 4.75 ± 0.03 | |
| 15 | 4.84 ± 0.05 | 4.80 ± 0.03 | 4.81 ± 0.04 | 4.77 ± 0.04 | 4.76 ± 0.05 | |
| 20 | 4.83 ± 0.05 | 4.80 ± 0.04 | 4.78 ± 0.05 | 4.74 ± 0.05 | 4.73 ± 0.04 | |
© 2020 by the authors. Licensee MDPI, Basel, Switzerland. This article is an open access article distributed under the terms and conditions of the Creative Commons Attribution (CC BY) license (http://creativecommons.org/licenses/by/4.0/).
Share and Cite
Jeon, E.B.; Choi, M.-S.; Kim, J.Y.; Park, S.Y. Synergistic Effects of Mild Heating and Dielectric Barrier Discharge Plasma on the Reduction of Bacillus Cereus in Red Pepper Powder. Foods 2020, 9, 171. https://doi.org/10.3390/foods9020171
Jeon EB, Choi M-S, Kim JY, Park SY. Synergistic Effects of Mild Heating and Dielectric Barrier Discharge Plasma on the Reduction of Bacillus Cereus in Red Pepper Powder. Foods. 2020; 9(2):171. https://doi.org/10.3390/foods9020171
Chicago/Turabian StyleJeon, Eun Bi, Man-Seok Choi, Ji Yoon Kim, and Shin Young Park. 2020. "Synergistic Effects of Mild Heating and Dielectric Barrier Discharge Plasma on the Reduction of Bacillus Cereus in Red Pepper Powder" Foods 9, no. 2: 171. https://doi.org/10.3390/foods9020171
APA StyleJeon, E. B., Choi, M.-S., Kim, J. Y., & Park, S. Y. (2020). Synergistic Effects of Mild Heating and Dielectric Barrier Discharge Plasma on the Reduction of Bacillus Cereus in Red Pepper Powder. Foods, 9(2), 171. https://doi.org/10.3390/foods9020171

