Recovery of Phenolic Compounds from Red Grape Pomace Extract through Nanofiltration Membranes
Abstract
1. Introduction
2. Materials and Methods
2.1. Red Grape Pomace
2.2. Ultrasonic-Assisted Enzymatic Extraction
2.3. Nanofiltration Membranes
2.4. Experimental Set-Up and Procedures
2.5. Analytical Evaluations
2.6. Statistical Analysis
3. Results and Discussion
3.1. Membrane Characterization
3.2. Grape Pomace Extract
3.3. Membrane Productivity
3.4. Fouling Index and Cleaning Efficiency
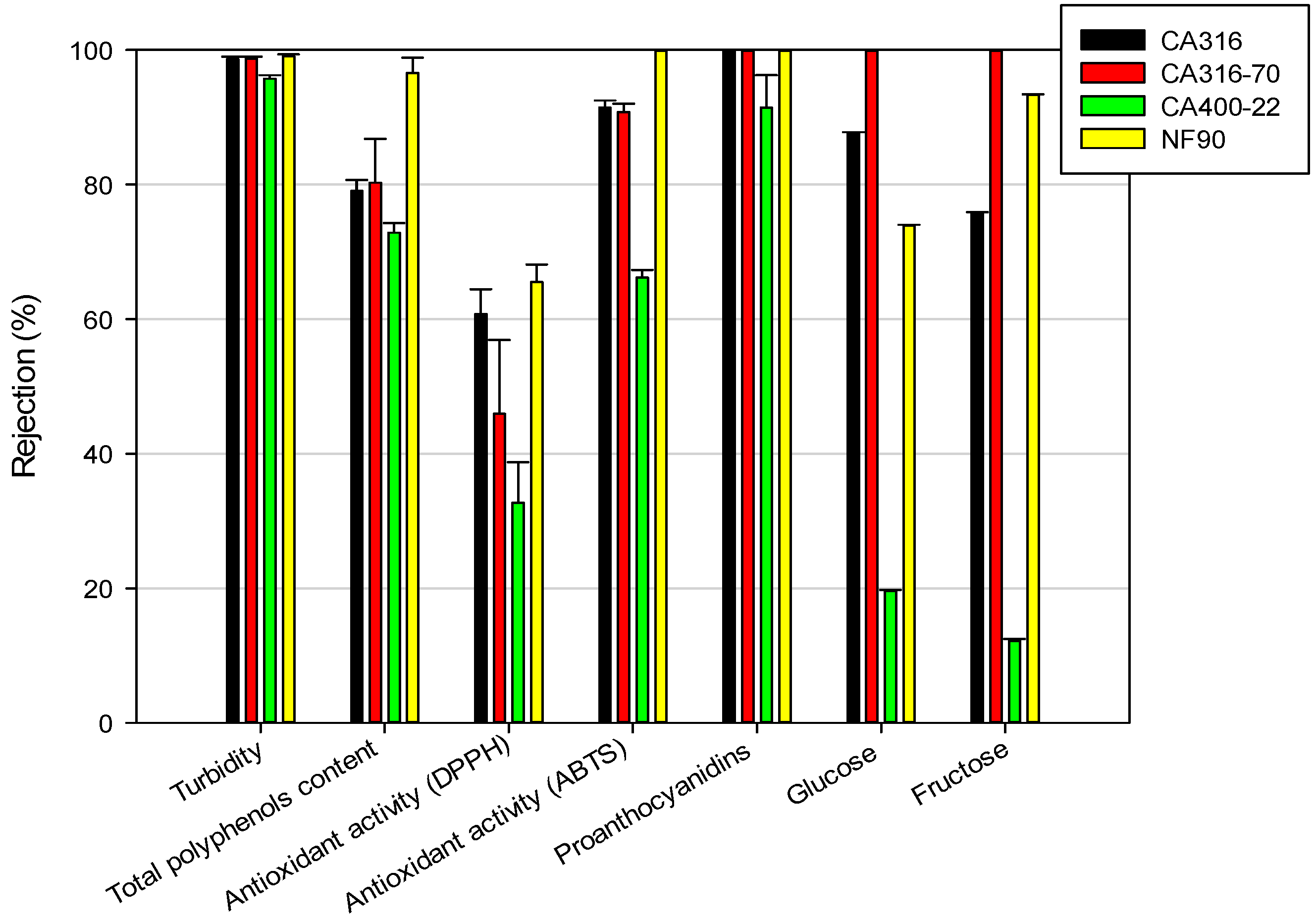
3.5. Analyses of Membrane Selectivity
4. Conclusions
Supplementary Materials
Author Contributions
Funding
Acknowledgments
Conflicts of Interest
References
- OIV. Statistics Unit of the International Organisation of Vine and Wine. OIV 2019 report on the world vitivinicultural situation. Int. Organ. Vine Wine 2019, 1, 1–23. [Google Scholar]
- Drosou, C.; Kyriakopoulou, K.; Bimpilas, A.; Tsimogiannis, D.; Krokida, M. A comparative study on different extraction techniques to recover red grape pomace polyphenols from vinification byproducts. Ind. Crops Prod. 2015, 75, 141–149. [Google Scholar] [CrossRef]
- Silva, M.L.; Macedo, A.C.; Malcata, F.X. Steam distilled spirits from fermented grape pomace. Food Sci. Technol. Int. 2000, 6, 285–300. [Google Scholar] [CrossRef]
- Beres, C.; Costa, G.N.S.; Cabezudo, I.; da Silva-James, N.K.; Teles, A.S.C.; Cruz, A.P.G.; Mellinger-Silva, C.; Tonon, R.V.; Cabral, L.M.C.; Freitas, S.P. Towards integral utilization of grape pomace from winemaking process: A review. Waste Manag. 2017, 68, 581–594. [Google Scholar] [CrossRef] [PubMed]
- Kammerer, D.; Claus, A.; Carle, R.; Schieber, A. Polyphenol screening of pomace from red and white grape varieties (Vitis vinifera L.) by HPLC-DAD-MS/MS. J. Agr. Food Chem. 2004, 52, 4360–4367. [Google Scholar] [CrossRef]
- Devesa-Rey, R.; Vecino, X.; Varela-Alende, J.L.; Barral, M.T.; Cruz, J.M.; Moldes, A.B. Valorization of winery waste vs. the costs of not recycling. Waste Manag. 2011, 31, 2327–2335. [Google Scholar] [CrossRef]
- Alonso, Á.M.; Guillén, D.A.; Barroso, C.G.; Puertas, B.; García, A. Determination of antioxidant activity of wine byproducts and its correlation with polyphenolic content. J. Agr. Food Chem. 2002, 50, 5832–5836. [Google Scholar] [CrossRef]
- Xu, Y.; Simon, J.E.; Welch, C.; Wightman, J.D.; Ferruzzi, M.G.; Ho, L.; Passinetti, G.M.; Wu, Q. Survey of polyphenol constituents in grapes and grape-derived products. J. Agr. Food Chem. 2011, 59, 10586–10593. [Google Scholar] [CrossRef]
- Rice-Evans, C.A.; Miller, N.J.; Paganga, G. Antioxidant properties of phenolic compounds. Trends Plant Sci. 1997, 2, 152–159. [Google Scholar] [CrossRef]
- De Campos, L.M.A.S.; Leimann, F.V.; Pedrosa, R.C.; Ferreira, S.R.S. Free radical scavenging of grape pomace extracts from Cabernet sauvignon (Vitis vinifera). Bioresour. Technol. 2008, 99, 8413–8420. [Google Scholar] [CrossRef]
- Llobera, A.; Canellas, J. Dietary fibre content and antioxidant activity of Manto Negro red grape (Vitis vinifera): Pomace and stem. Food Chem. 2007, 101, 659–666. [Google Scholar] [CrossRef]
- Mohansrinivasan, V.; Devi, C.S.; Deori, M.; Biswas, A.; Naine, S.J. Exploring the anticancer activity of grape seed extract on skin cancer cell exploring the anticancer activity of grape seed extract on skin cancer cell lines A431. Braz. Arch. Biol. Technol. 2015, 58, 540–546. [Google Scholar] [CrossRef]
- Teixeira, A.; Baenas, N.; Dominguez-Perles, R.; Barros, A.; Rosa, E.; Moreno, D.A.; Garcia-Viguera, C. Natural bioactive compounds from winery by-products as health promoters: A review. Int. J. Mol. Sci. 2014, 15, 15638–15678. [Google Scholar] [CrossRef] [PubMed]
- Xu, Y.; Burton, S.; Kim, C.; Sismour, E. Phenolic compounds, antioxidant, and antibacterial properties of pomace extracts from four virginia-grown grape varieties. Food Sci. Nutr. 2016, 4, 125–133. [Google Scholar] [CrossRef] [PubMed]
- Zhu, F.; Du, B.; Zheng, L.; Li, J. Advance on the bioactivity and potential applications of dietary fibre from grape pomace. Food Chem. 2015, 186, 207–212. [Google Scholar] [CrossRef] [PubMed]
- Bocco, A.; Cuvelier, M.E.; Richard, H.; Berset, C. Antioxidant activity and phenolic composition of citrus peel and seed extracts. J. Agr. Food Chem. 1998, 46, 2123–2129. [Google Scholar] [CrossRef]
- Conidi, C.; Cassano, A.; Caiazzo, F.; Drioli, E. Separation and purification of phenolic compounds from pomegranate juice by ultrafiltration and nanofiltration membranes. J. Food Eng. 2017, 195, 1–13. [Google Scholar] [CrossRef]
- Brezoiu, A.M.; Matei, C.; Deaconu, M.; Stanciuc, A.M.; Trifan, A.; Gaspar-Pintiliescu, A.; Berger, D. Polyphenols extract from grape pomace. Characterization and valorisation through encapsulation into mesoporous silica-type matrices. Food Chem. Toxicol. 2019, 133, 110787. [Google Scholar] [CrossRef]
- Drevelegka, I.; Goula, A.M. Recovery of grape pomace phenolic compounds through optimized extraction and adsorption processes. Chem. Eng. Process. 2020, 149, 107845. [Google Scholar] [CrossRef]
- Pedras, B.M.; Regalin, G.; Sá-Nogueira, I.; Simões, P.; Paiva, A.; Barreiros, S. Fractionation of red wine grape pomace by subcritical water extraction/hydrolysis. J. Supercrit. Fluids 2020, 160, 104793. [Google Scholar] [CrossRef]
- Krishnaswamy, K.; Orsat, V.; Gariépy, Y.; Thangavel, K. Optimization of Microwave-Assisted Extraction of Phenolic Antioxidants from Grape Seeds (Vitis vinifera). Food Bioprocess Technol. 2013, 6, 441–455. [Google Scholar] [CrossRef]
- Caldas, T.W.; Mazza, K.E.L.; Teles, A.S.C.; Mattos, G.N.; Brigida, A.I.S.; Conte, C.A.; Borguini, R.G.; Godoy, R.L.O.; Cabral, L.M.C.; Tonon, R.V. Phenolic compounds recovery from grape skin using conventional and non-conventional extraction methods. Ind. Crop. Prod. 2018, 111, 86–91. [Google Scholar] [CrossRef]
- Yammine, S.; Delsart, C.; Vitrac, X.; Peuchot, M.M.; Ghidossi, R. Characterisation of polyphenols and antioxidant potential of red and white pomace by-product extracts using subcritical water extraction. Oeno One 2020, 54, 263–278. [Google Scholar]
- Ratnasooriya, C.; Rupasinghe, H.P.V. Extraction of phenolic compounds from grapes and their pomace using beta-cyclodextrin. Food Chem. 2012, 134, 625–631. [Google Scholar] [CrossRef] [PubMed]
- Meini, M.R.; Ricardi, L.L.; Romanini, D. Novel routes for valorisation of grape pomace through the production of bioactives by Aspergillus niger. Waste Biomass Valorization 2020, 11, 6047–6055. [Google Scholar] [CrossRef]
- Cassano, A.; Conidi, C.; Giorno, L.; Drioli, E. Fractionation of olive mill wastewaters by membrane separation techniques. J. Hazard. Mater. 2013, 248–249, 185–193. [Google Scholar] [CrossRef]
- Cassano, A.; Cabri, W.; Mombelli, G.; Peterlongo, F.; Giorno, L. Recovery of bioactive compounds from artichoke brines by nanofiltration. Food Bioprod. Process. 2016, 98, 257–265. [Google Scholar] [CrossRef]
- Conidi, C.; Cassano, A.; Drioli, E. A membrane-based study for the recovery of polyphenols from bergamot juice. J. Membr. Sci. 2011, 375, 182–190. [Google Scholar] [CrossRef]
- Giacobbo, A.; Meneguzzi, A.; Bernardes, A.M.; de Pinho, M.N. Pressure-driven membrane processes for the recovery of antioxidant compounds from winery effluents. J. Clean. Prod. 2017, 155, 172–178. [Google Scholar] [CrossRef]
- Yammine, S.; Rabagliato, R.; Vitracz, X.; Peuchot, M.M.; Ghidossi, R. Selecting ultrafiltration membranes for fractionation of high added value compounds from grape pomace extracts. Oeno One 2019, 53, 487–497. [Google Scholar] [CrossRef]
- Palma, M.; Piiñeiro, Z.; Rostagno, M.; Barroso, C. Ultrasound-assisted extraction of compounds from foods. Ultrason. Sonochem. 2006, 4, 1–6. [Google Scholar]
- Kunst, B.; Sourirajan, S. An approach to the development of cellulose acetate ultrafiltration membranes. J. Appl. Polym. Sci. 1974, 18, 3423–3434. [Google Scholar] [CrossRef]
- Kong, F.X.; Sun, G.D.; Chen, J.F.; Han, J.D.; Guo, C.M.; Zhang, T.; Lin, X.F.; Xie, Y.F.F. Desalination and fouling of NF/low pressure RO membrane for shale gas fracturing flowback water treatment. Sep. Purif. Technol. 2018, 195, 216–223. [Google Scholar] [CrossRef]
- Afonso, M.D.; De Pinho, M.N. Ultrafiltration of bleach effluents in cellulose production. Desalination 1990, 79, 115–124. [Google Scholar] [CrossRef]
- Ribéreau-Gayon, J.; Peynaud, E.; Supraud, S. Sciences et Techniques du Vin: Analyse et Contrôle des Vins, 2nd ed.; Bordas Editions: Paris, France, 1976; p. 645. [Google Scholar]
- Wang, Y.; Singh, A.P.; Hurst, W.J.; Glinski, J.A.; Koo, H.; Vorsa, N. Influence of degree-of-polymerization and linkage on the quantification of proanthocyanidins using 4-Dimethylaminocinnamaldehyde (DMAC) assay. J. Agr. Food Chem. 2016, 64, 2190–2199. [Google Scholar] [CrossRef]
- Re, R.; Pellegrini, N.; Proteggente, A.; Pannala, A.; Yang, M.; Rice-Evans, C. Antioxidant activity applying an improved ABTS radical cation decolorization assay. Free Radic. Biol. Med. 1999, 26, 1231–1237. [Google Scholar] [CrossRef]
- Brand-Williams, W.; Cuvelier, M.E.; Berset, C.L.W.T. Use of a free radical method to evaluate antioxidant activity. LWT Food Sci. Technol. 1995, 28, 25–30. [Google Scholar] [CrossRef]
- Nayak, A.; Bhushan, B.; Rosales, A.; Turienzo, L.R.; Cortina, J.L. Valorisation potential of Cabernet grape pomace for the recovery of polyphenols: Process intensification, optimisation and study of kinetics. Food Bioprod. Process. 2018, 109, 74–85. [Google Scholar] [CrossRef]
- Monagas, M.; Gomez-Cordoves, C.; Bartolome, B. Monomeric, oligomeric, and polymeric flavan-3-ol composition of wines and grapes from Vitis vinifera L. Cv. Graciano, Tempranillo, and Cabernet Sauvignon. J. Agr. Food Chem. 2003, 51, 6475–6481. [Google Scholar] [CrossRef]
- de la Cerda-Carrasco, A.; López-Solís, R.; Nuñez-Kalasic, H.; Peña-Neira, Á.; Obreque-Slier, E. Phenolic composition and antioxidant capacity of pomaces from four grape varieties (Vitis vinifera L.). J. Sci. Food Agric. 2015, 95, 1521–1527. [Google Scholar] [CrossRef]
- Zhu, M.T.; Huang, Y.S.; Wang, Y.L.; Shi, T.; Zhang, L.L.; Chen, Y.; Xie, M.Y. Comparison of (poly)phenolic compounds and antioxidant properties of pomace extracts from kiwi and grape juice. Food Chem. 2019, 271, 425–432. [Google Scholar] [CrossRef]
- Díaz-Reinoso, B.; Moure, A.; Domínguez, H.; Parajó, J.C. Ultra- and nanofiltration of aqueous extracts from distilled fermented grape pomace. J. Food Engin. 2009, 91, 587–593. [Google Scholar] [CrossRef]
- Nilsson, J.L. Protein fouling of UF membranes: Causes and consequences. J. Membr. Sci. 1990, 52, 121–142. [Google Scholar] [CrossRef]
- Arsuaga, J.M.; López-Muñoz, M.J.; Sotto, A. Correlation between retention and adsorption of phenolic compounds in nanofiltration membranes. Desalination 2010, 250, 829–832. [Google Scholar] [CrossRef]
- Jönsson, C.; Jönsson, A.S. Influence of the membrane material on the adsorptive fouling of ultrafiltration membranes. J. Membr. Sci. 1995, 108, 79–87. [Google Scholar] [CrossRef]
- Sotto, A.; Arsuaga, J.M.; Van der Bruggen, B. Sorption of phenolic compounds on NF/RO membrane surfaces: Influence on membrane performance. Desalination 2013, 309, 64–73. [Google Scholar] [CrossRef]
- Moreno, J.; Peinaldo, R. Grape Acids. In Enological Chemistry, 1st ed.; Academic Press—Elsevier: Amsterdam, The Netherlands, 2012; pp. 121–135. [Google Scholar]
- Giacobbo, A.; Bernardes, A.M.; Filipe Rosa, M.J.; de Pinho, M.N. Concentration polarization in ultrafiltration/nanofiltration for the recovery of polyphenols from winery wastewaters. Membranes 2018, 8, 46. [Google Scholar] [CrossRef]
- Galanakis, C.M.; Markouli, E.; Gekas, V. Recovery and fractionation of different phenolic classes from winery sludge using ultrafiltration. Sep. Purif. Technol. 2013, 107, 245–251. [Google Scholar] [CrossRef]
- Yammine, S.; Rabagliato, R.; Vitracz, X.; Peuchot, M.M.; Ghidossi, R. The use of nanofiltration membranes for the fractionation of polyphenols from grape pomace extracts. Oeno One 2019, 53, 11–26. [Google Scholar] [CrossRef]



| Membrane Type | |||
|---|---|---|---|
| CA316 | CA316-70 | CA400-22 | |
| Casting solution (wt.%) | |||
| Cellulose acetate 398 | 17 | 17 | 17 | 
| Acetone | 69.2 | 69.2 | 61 | 
| Formamide | 22 | ||
| Magnesium perchlorate | 1.45 | 1.45 | |
| Water | 12.35 | 12.35 | |
| Casting conditions | |||
| Temperature of coagulation bath solution (°C) | 0 | 0 | 0 | 
| Temperature of atmosphere (°C) | 20–25 | 20–25 | 20–25 | 
| Solvent evaporation time (min) | 1 | 0.5 | 0.5 | 
| Gelation medium | ice cold water (1–2 h) | ice cold water(1–2 h) | ice cold water(1–2 h) | 
| Annealing conditions | |||
| Annealing medium | hot water | ||
| Annealing time (min) | 11 | ||
| Annealing temperature (°C) | 70 | ||
| Membrane Material | Aromatic Polyamide | 
|---|---|
| MWCO (Da) | 200 c | 
| Stabilized salt rejection (%) | >97.0 a | 
| Max. inlet pressure (bar) | 41 | 
| Max. operating temperature (°C) | 45 | 
| pH operating range | 2–11 c | 
| Contact angle (°) | 28.6 b | 
| Zeta potential at pH 7 (mV) | −9.1 b | 
| Membrane Type | Saccharose (%) | Glucose (%) | Raffinose (%) | PEG (%) | NaCl (%) | Na2SO4 (%) | Ethanol (%) | 
|---|---|---|---|---|---|---|---|
| NF90 | 100 | 100 | 100 | 99 | 95 | 99 | 50 | 
| CA316-70 | 98 | 95 | 98 | 89 | 77 | 97 | 7 | 
| CA316 | 70 | 50 | 77 | 55 | 27 | 86 | 1 | 
| CA400-22 | 16 | 11 | 21 | 20 | 10 | 47 | 2 | 
| Parameter | Value | 
|---|---|
| Turbidity (NTU) | 169 ± 0.5 | 
| pH | 4.0 ± 0.1 | 
| Total polyphenolics FC (mg GAE/100 g dw) | 260 ± 10.3 | 
| AC DPPH (% scavenging) | 16 ± 0.3 | 
| AC ABTS (% scavenging) | 41 ± 3.5 | 
| Proanthocyanidins (mg CE/100g dw) | 49 ± 6.2 | 
| Glucose (mg/100 g) | 46 ± 0.0 | 
| Fructose (mg/100 g) | 403 ± 0.1 | 
| Membrane Type | Jp (L/m2 h) | 
|---|---|
| NF90 | 26.09 ± 1.25 C | 
| CA316-70 | 43.38 ± 0.9 B | 
| CA316 | 44.44 ± 1.05 B | 
| CA400-22 | 50.58 ± 2.55 A | 
| Membrane Type | ||||
|---|---|---|---|---|
| CA316 | CA316-70 | CA400-22 | NF90 | |
| Wp0 (L/m2 h bar) | 4.63 | 4.42 | 8.34 | 3.75 | 
| Wp1 (L/m2 h bar) | 4.01 | 2.83 | 6.39 | 2.23 | 
| Wp2 (L/m2 h bar) | 4.14 | 3.54 | 6.72 | 2.26 | 
| Fouling index (%) | 13.39 | 35.97 | 23.38 | 40.53 | 
| Cleaning efficiency (%) | 89.41 | 80.10 | 80.57 | 60.26 | 
| Parameter | Feed | Permeate | |||
|---|---|---|---|---|---|
| CA316 | CA316-70 | CA400-22 | NF90 | ||
| Turbidity (NTU) | 169 ± 0.5 A | 2.9 ± 0.4 C | 2.2 ± 0.5 C | 7.2 ± 0.9 B | 1.5 ± 0.4 C | 
| pH | 4.0 ± 0.1 A | 3.7 ± 0.1 AB | 3.7 ± 0.2 B | 3.8 ± 0.1 AB | 3.6 ± 0.0 B | 
| Total polyphenol FC (mg GAE/100 g) | 260 ± 10.3 A | 54 ± 4.1 B | 50 ± 15.1 B | 70 ± 2.7 B | 9.1 ± 6.3 C | 
| AC DPPH (% scavenging) | 16 ± 0.3 A | 6.4 ± 0.4 CD | 8.9 ± 2 BC | 11 ± 0.9 B | 5.6 ± 0.3 D | 
| AC ABTS (% scavenging) | 41 ± 3.5 A | 3.5 ± 0.1 C | 3.8 ± 0.8 C | 13.9 ± 0.7 B | n.d | 
| Proanthocyanidins (mg CE/100 g dw) | 49 ± 0.7 A | n.d | n.d | 4.0 ± 1.7 B | n.d | 
| Glucose (mg/100 g) | 46 ± 0.0 A | 5.7 ± 0.0 D | n.d | 37 ± 0.0 B | 12 ± 0.0 C | 
| Fructose (mg/100 g) | 403 ± 0.1 A | 98 ± 0.2 C | n.d | 354 ± 0.4 B | 27 ± 0.0 D | 
| Publisher’s Note: MDPI stays neutral with regard to jurisdictional claims in published maps and institutional affiliations. | 
© 2020 by the authors. Licensee MDPI, Basel, Switzerland. This article is an open access article distributed under the terms and conditions of the Creative Commons Attribution (CC BY) license (http://creativecommons.org/licenses/by/4.0/).
Share and Cite
Arboleda Mejia, J.A.; Ricci, A.; Figueiredo, A.S.; Versari, A.; Cassano, A.; Parpinello, G.P.; De Pinho, M.N. Recovery of Phenolic Compounds from Red Grape Pomace Extract through Nanofiltration Membranes. Foods 2020, 9, 1649. https://doi.org/10.3390/foods9111649
Arboleda Mejia JA, Ricci A, Figueiredo AS, Versari A, Cassano A, Parpinello GP, De Pinho MN. Recovery of Phenolic Compounds from Red Grape Pomace Extract through Nanofiltration Membranes. Foods. 2020; 9(11):1649. https://doi.org/10.3390/foods9111649
Chicago/Turabian StyleArboleda Mejia, Jaime A., Arianna Ricci, Ana S. Figueiredo, Andrea Versari, Alfredo Cassano, Giuseppina P. Parpinello, and Maria N. De Pinho. 2020. "Recovery of Phenolic Compounds from Red Grape Pomace Extract through Nanofiltration Membranes" Foods 9, no. 11: 1649. https://doi.org/10.3390/foods9111649
APA StyleArboleda Mejia, J. A., Ricci, A., Figueiredo, A. S., Versari, A., Cassano, A., Parpinello, G. P., & De Pinho, M. N. (2020). Recovery of Phenolic Compounds from Red Grape Pomace Extract through Nanofiltration Membranes. Foods, 9(11), 1649. https://doi.org/10.3390/foods9111649
 
        





 
       