Emerging Processing Technologies for the Recovery of Valuable Bioactive Compounds from Potato Peels
Abstract
1. Introduction
1.1. Chemical Composition of Potato Peel
1.1.1. Phenolic Compounds in Potato Peel
1.1.2. Glycoalkaloids in Potato Peel
1.1.3. Starch, Non-Starch Polysaccharide and Other Valuable Compounds in Potato Peel
2. Current Strategies for Potato-Peel Valorisation
3. Recent Advances in Potato-Peel Valorisation
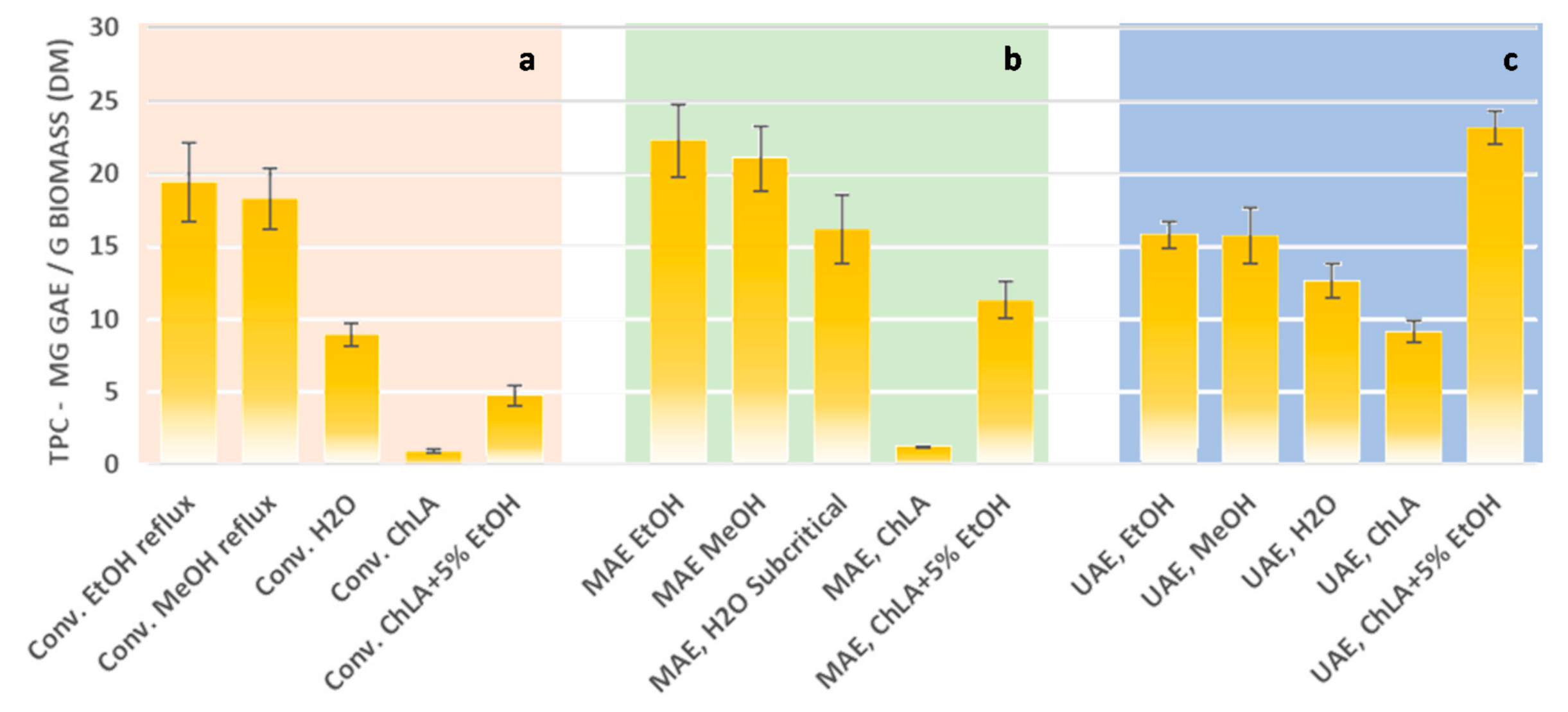
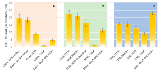
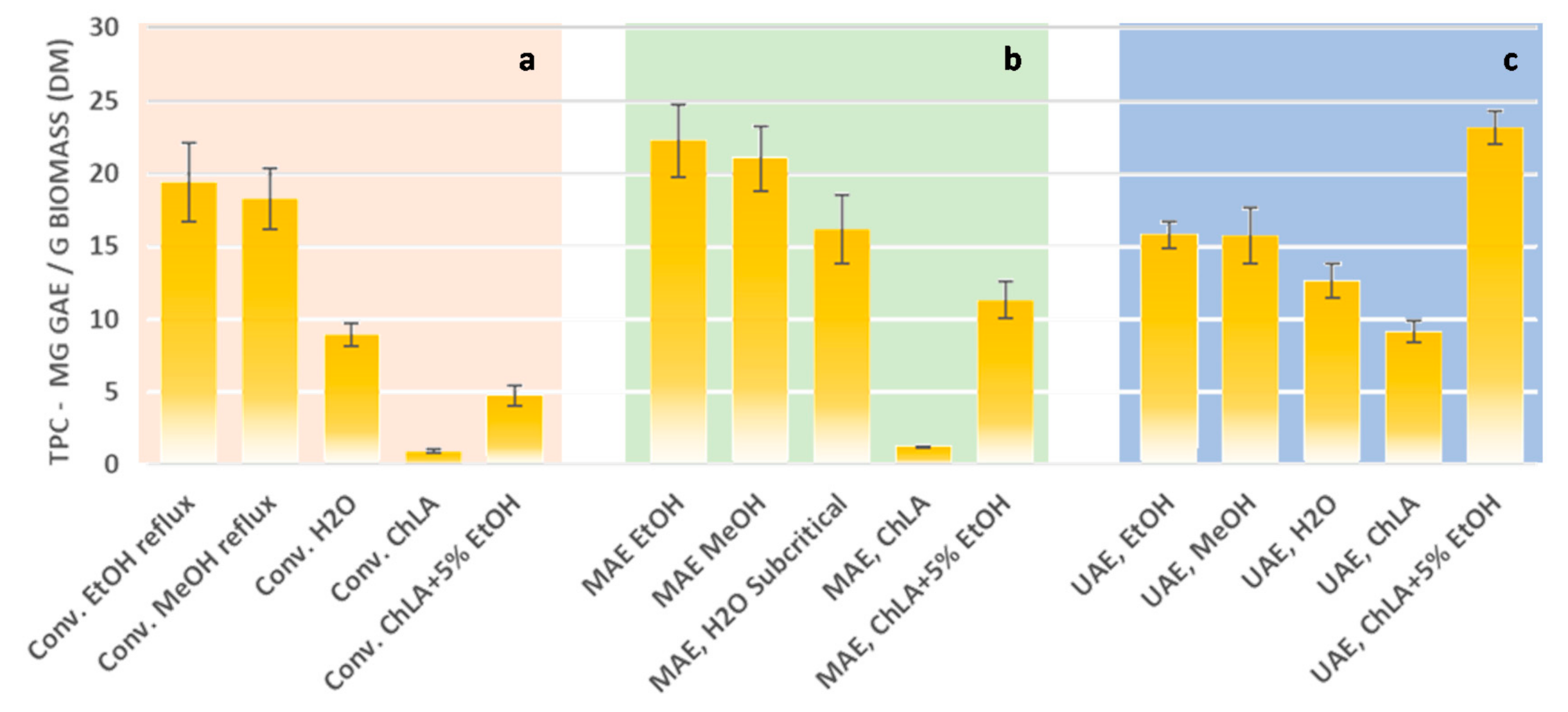
4. Comparative Potato-Peel (PP) Extraction under Non-Conventional Technologies Using Bio-Based Solvents: A Case Study
5. Conclusions
Author Contributions
Funding
Conflicts of Interest
Appendix A
Appendix A.1. Materials and Methods of Comparative Potato-Peel (PP) Extraction under Non-Conventional Technologies Using Bio-Based Solvents
Appendix A.1.1. Biomass Material
Appendix A.1.2. Chemicals
Appendix A.2. General Procedures of Comparative Potato-Peel (PP) Extraction under Non-Conventional Technologies Using Bio-Based Solvents
Appendix A.2.1. Conventional Extraction
Appendix A.2.2. Microwave-Assisted Extraction (MAE)
Appendix A.2.3. Ultrasound-Assisted Extraction (UAE)
Appendix A.3. Antioxidant Activity of Comparative Potato-Peel (PP) Extracts Produced under Non-Conventional Technologies Using Bio-Based Solvents
Total Phenolic Contents (TPC)
References
- Burlingame, B.; Mouillé, B.; Charrondière, R. Nutrients, bioactive non-nutrients and anti-nutrients in potatoes. J. Food Comp. Anal. 2009, 22, 494–502. [Google Scholar] [CrossRef]
- Oreopoulou, V.; Russ, W. Utilization of By-Products and Treatment of Waste in the Food Industry; Springer: New York, NY, USA, 2007. [Google Scholar]
- Javed, A.; Ahmad, A.; Tahir, A.; Shabbir, U.; Nouman, M.; Hameed, A. Potato peel waste its nutraceutical, industrial and biotechnological applications. Aims Agric. Food 2019, 4, 3807–3823. [Google Scholar] [CrossRef]
- Jeddou, K.B.; Chaari, F.; Maktouf, S.; Nouri-Ellouz, O.; Helbert, C.B.; Ghorbel, R.E. Structural, functional, and antioxidant properties of water-soluble polysaccharides from potatoes peels. Food Chem. 2016, 205, 97–105. [Google Scholar] [CrossRef] [PubMed]
- Liang, S.; McDonald, A.G. Chemical and thermal characterization of potato peel waste and its fermentation residue as potential resources for biofuel and bioproducts production. J. Agric. Food Chem. 2014, 62, 33–8421. [Google Scholar] [CrossRef] [PubMed]
- Liang, S.; McDonald, A.G. Anaerobic digestion of pre-fermented potato peel wastes for methane production. Waste Manag. 2015, 46, 197–200. [Google Scholar] [CrossRef] [PubMed]
- Al-Weshahy, A.; Venket Rao, A. Isolation and characterization of functional components from peel samples of six potatoes varieties growing in Ontario. Food Res. Int. 2009, 42, 1062–1066. [Google Scholar] [CrossRef]
- Al-Weshahy, A.; El-Nokety, M.; Bakhete, M.; Rao, V. Effect of storage on antioxidant activity of freeze-dried potato peels. Food Res. Int. 2013, 50, 507–512. [Google Scholar] [CrossRef]
- Mohdaly, A.; Sarhan, M.; Smetanska, I.; Mahmoud, A. Antioxidant properties of various solvent extracts of potato peel, sugar beet pulp and sesame cake. J. Sci. Food Agric. 2010, 90, 218–226. [Google Scholar] [CrossRef]
- Amado, I.; Franco, D.; Sánchez, M.; Zapata, C.; Vázquez, J. Optimisation of antioxidant extraction from Solanum tuberosum potato peel waste by surface response methodology. Food Chem. 2014, 165, 290–299. [Google Scholar] [CrossRef]
- Koduvayur Habeebullah, S.; Nielsen, N.; Jacobsen, C. Antioxidant activity of potato peel extracts in a fish-rapeseed oil mixture and in oil-in-water emulsions. J. Am. Oil Chem. Soc. 2010, 87, 1319–1332. [Google Scholar] [CrossRef]
- Naveed, M.; Hejazi, V.; Abbas, M.; Kamboh, A.A.; Khan, G.J.; Shumzaid, M. Chlorogenic acid: A pharmacological review and call for further research. Biomed. Pharmacother. 2018, 97, 67–74. [Google Scholar] [CrossRef] [PubMed]
- Andre, C.; Ghislain, M.; Bertin, P.; Oufir, M.; del Rosario Herrera, M.; Hoffmann, L.; Hausman, J.; Larondelle, Y.; Evers, D. Andean potato cultivars (Solanum tuberosum L.) as a source of antioxidant and mineral micronutrients. J. Agric. Food Chem. 2007, 55, 366–378. [Google Scholar] [CrossRef]
- Ezekiel, R.; Singh, N.; Sharma, S.; Kaur, A. Beneficial phytochemicals in potato—A review. Food Res. Int. 2013, 50, 487–496. [Google Scholar] [CrossRef]
- Akyol, H.; Riciputi, Y.; Capanoglu, E.; Caboni, M.F.; Verardo, V. Phenolic Compounds in the Potato and Its Byproducts: An Overview. Int. J. Mol. Sci. 2016, 17, 6835. [Google Scholar] [CrossRef]
- Mestdagh, F.; Maertens, J.; De Wilde, T.; Cucu, T.; Delporte, K.; Van Peteghem, C.; De Meulenaer, B. Chemical pre-treatments of potato products: Mechanisms of acrylamide mitigation and effects on the sensorial quality. Commun. Agric. Appl. Biol. Sci. 2007, 72, 9–12. [Google Scholar]
- Gunathilake, K.D.P.P.; Ranaweera, K.K.D.S.; Rupasinghe, H.P.V. Effect of Different Cooking Methods on Polyphenols, Carotenoids and Antioxidant Activities of Selected Edible Leaves. Antioxidants 2018, 7, 117. [Google Scholar] [CrossRef]
- Singh, P.P.; Saldaña, M.D.A. Subcritical water extraction of phenolic compounds from potato peel. Food Res. Int. 2011, 44, 82452–82458. [Google Scholar] [CrossRef]
- Kozukue, N.; Yoon, K.S.; Byun, G.I.; Misoo, S.; Levin, C.F.; Friedman, M. Distribution of glycoalkaloids in potato tubers of 59 accessions of two wild and five cultivated Solanum species. J. Agric. Food Chem. 2008, 56, 11920–11928. [Google Scholar] [CrossRef] [PubMed]
- Friedman, M.; Lee, K.; Kim, H.; Lee, I.; Kozukue, N. Anticarcinogenic effects of glycoalkaloids from potatoes against human cervical, liver, lymphoma, and stomach cancer cells. J. Agric. Food Chem. 2005, 53, 6162–6169. [Google Scholar] [CrossRef]
- Knuthsen, P.; Jensen, U.; Schmidt, B.; Larse, K. Glycoalkaloids in potatoes: Content of glycoalkaloids in potatoes for consumption. J. Food Compos. Anal. 2009, 22, 577–581. [Google Scholar] [CrossRef]
- Benkeblia, N. Potato Glycoalkaloids: Occurrence, biological activities and extraction for biovalorisation—A review. Int. J. Food Sci. Technol. 2020, 55, 2305–2313. [Google Scholar] [CrossRef]
- Ding, X.; Zhu, F.; Yang, Y.; Li, M. Purification, antitumor activity in vitro of steroidal glycoalkaloids from black nightshade (Solanum nigrum L.). Food Chem. 2013, 141, 1181–1186. [Google Scholar] [CrossRef]
- Camire, M.E.; Zhao, J.; Violette, D.A. In vitro binding of bile acids by extruded potato peels. J. Agric. Food Chem. 1993, 41, 2391–2394. [Google Scholar] [CrossRef]
- Scharf, R.; Wang, W.; Maycock, J.; Ho, P.; Chen, S.; Orfila, C. Valorisation of Potato (Solanum tuberosum) Peel Waste: Extraction of Fibre, Monosaccharides and Uronic Acids. Waste Biomass Valor. 2020, 11, 2123–2128. [Google Scholar] [CrossRef]
- Liang, S.; McDonald, A.G.; Coats, E.R. Lactic acid production with undefined mixed culture fermentation of potato peel waste. Waste Manag. 2014, 34, 2022–2027. [Google Scholar] [CrossRef] [PubMed]
- Chang, H.N.; Kim, N.J.; Kang, J.; Jeong, C.M. Biomass-derived volatile fatty acid platform for fuels and chemicals. Biotechnol. Bioprocess. 2010, 15, 1–10. [Google Scholar] [CrossRef]
- Lovegrove, A.; Edwards, C.H.; De Noni, I.; Patel, H.; El, S.N.; Grassby, T.; Zielke, C.; Ulmius, M.; Nilsson, L.; Butterworth, P.J.; et al. Role of polysaccharides in food, digestion, and health. Crit. Rev. Food Sci. Nutr. 2017, 57, 2237–2253. [Google Scholar] [CrossRef]
- Camire, M.E.; Violette, D.; Dougherty, M.P.; McLaughlin, M.A. Potato peel dietary fiber composition: Effects of peeling and extrusion cooking processes. J. Agric. Food Chem. 1997, 45, 1404–1408. [Google Scholar] [CrossRef]
- Mahmood, A.; Greenman, J.; Scragg, A. Orange and potato peel extracts: Analysis and use as Bacillus substrates for the production of extracellular enzymes in continuous culture. Enzyme Microb. Technol. 1998, 22, 130–137. [Google Scholar] [CrossRef]
- Ballesteros, M.N.; Cabrera, R.M.; Saucedo, M.S.; Yepiz-Plascencia, G.M.; Ortega, M.I.; Valencia, M.E. Dietary fiber and lifestyle influence serum lipids in free living adult men. J. Am. Coll. Nutr. 2001, 20, 649–655. [Google Scholar] [CrossRef]
- Alonso, A.; Beunza, J.J.; Bes-Rastrollo, M.; Pajares, R.M.; Martìnez Gonzàlez, M.A. Vegetable protein and fiber from cereal are inversely associated with the risk of hypertension in a Spanish cohort. Arch. Med. Res. 2006, 37, 778–786. [Google Scholar] [CrossRef]
- Zhao, G.; Kan, J.; Li, Z.; Chen, Z. Structural features and immunological activity of polysaccharide from Dioscorea opposita Thunb roots. Carbohydr. Polym. 2005, 61, 125–131. [Google Scholar] [CrossRef]
- Samarin, A.M.; Poorazarang, H.; Hematyar, N.; Elhamirad, A. Phenolics in Potato Peels: Extraction and Utilization as Natural Antioxidants. World Appl. Sci. J. 2012, 18, 191–195. [Google Scholar] [CrossRef]
- Fritsch, C.; Staebler, A.; Happel, A.; Cubero Márquez, M.A.; Aguiló-Aguayo, I.; Abadias, M.; Gallur, M.; Cicognini, I.M.; Montanari, A.; Lòpez, M.J.; et al. Processing, Valorization and Application of Bio-Waste Derived Compounds from Potato, Tomato, Olive and Cereals: A Review. Sustainability 2017, 9, 1492. [Google Scholar] [CrossRef]
- Riciputi, Y.; Diaz-de-Cerio, E.; Akyol, H.; Capanoglu, E.; Cerretani, L.; Caboni, M.F.; Verardo, V. Establishment of ultrasound-assisted extraction of phenolic compounds from industrial potato by-products using response surface methodology. Food Chem. 2018, 269, 258–263. [Google Scholar] [CrossRef]
- Xie, Y.; Yan, M.; Yuan, S.; Sun, S.; Huo, Q. Effect of microwave treatment on the physicochemical properties of potato starch granules. Chem. Cent. J. 2013, 7, 113. [Google Scholar] [CrossRef] [PubMed]
- Samaram, S.; Mirhosseini, H.; Tan, C.P.; Ghazali, H.M.; Bordbar, S.; Serjouie, A. Optimisation of ultrasound-assisted extraction of oil from papaya seed by response surface methodology: Oil recovery, radical scavenging antioxidant activity, and oxidation stability. Food Chem. 2015, 172, 7–17. [Google Scholar] [CrossRef]
- Fu, C.; Tian, H.; Li, Q.; Cai, T.; Du, W. Ultrasoundassisted extraction of xyloglucan from apple pomace. Ultrason. Sonochemistry 2006, 13, 511–516. [Google Scholar] [CrossRef] [PubMed]
- Patist, A.; Bates, D. Ultrasonic innovations in the food industry: From the laboratory to commercial production. Innov. Food Sci. Emerg. Technol. 2018, 9, 147–154. [Google Scholar] [CrossRef]
- Kumari, B.; Tiwari, B.K.; Hossain, M.B.; Rai, D.K.; Brunton, N.P. Ultrasound-assisted extraction of polyphenols from potato peels: Profiling and kinetic modelling. Int. J. Food Sci. Technol. 2017, 52, 1432–1439. [Google Scholar] [CrossRef]
- Karakashov, B.; Grigorakis, S.; Loupassaki, S.; Mourtzinos, I.; Makris, D.P. Optimisation of organic solvent-free polyphenol extraction from Hypericum triquetrifolium Turra using Box-Behnken experimental design and kinetics. Int. J. Ind. Chem. 2015, 6, 285–292. [Google Scholar] [CrossRef]
- Apostolakis, A.; Grigorakis, S.; Makris, D.P. Optimisation and comparative kinetics study of polyphenol extraction from olive leaves (Olea europaea) using heated water/glycerol mixtures. Separ. Purif. Technol. 2014, 128, 89–95. [Google Scholar] [CrossRef]
- Paleologou, I.; Vasiliou, A.; Grigorakis, S.; Makris, D.P. Optimisation of a green ultrasound-assisted extraction process for potato peel (Solanum tuberosum) polyphenols using bio-solvents and response surface methodology. Biomass Conv. Biorefinery 2016, 6, 289–299. [Google Scholar] [CrossRef]
- Wang, H.F.; Shao, S.J.; Xin, X.R.; Wang, M.; Wei, J.L. Research on extraction and antibacterial activity of flavonoids in potato peel. J. North Univ. China 2017, 38, 6660–6665. [Google Scholar]
- Alves Filho, E.G.; Sousa, V.M.; Rodrigues, S.; de Brito, E.S.; Fernandes, A.N.F. Green ultrasound-assisted extraction of CGAs from sweet potato peels and sonochemical hydrolysis of caffeoylquinic acids derivatives. Ultrason. Sonochem. 2020, 63, 104911. [Google Scholar] [CrossRef] [PubMed]
- Hossain, M.B.; Tiwari, B.K.; Gangopadhyay, N.; O’Donnell, C.P.; Brunton, N.P.; Rai, D. Ultrasonic extraction of steroidal alkaloids from potato peel waste. Ultrason. Sonochem. 2014, 21, 1470–1476. [Google Scholar] [CrossRef]
- Alves-Filho, A.G.; Sousa, V.M.; Ribeiro, P.R.V.; Rodrigues, S.; de Brito, E.S.; Tiwari, B.K.; Fernandes, F.A.N. Single-stage ultrasound-assisted process to extract and convert a-solanine and a-chaconine from potato peels into b-solanine and b-chaconine. Biomass Convers. Biorefinery 2018, 8, 689–697. [Google Scholar] [CrossRef]
- Dai, J.; Yaylayan, V.A.; Raghavan, G.S.V.; Paré, J.R. Extraction and colorimetric determination of azadirachtin-related limonoids in neem seed kernel. J. Agric. Food Chem. 1999, 47, 3738–3742. [Google Scholar] [CrossRef]
- Dai, J.; Yaylayan, V.A.; Raghavan, G.S.V.; Paré, J.R.; Liu, Z.; Bélanger, J.M.R. Influence of operating parameters on the use of the Microwave-Assisted Process (MAP) for the extraction of azadirachtin-related limonoids from neem (Azadirachta indica) under atmospheric pressure conditions. J. Agric. Food Chem. 2001, 49, 4584–4588. [Google Scholar] [CrossRef]
- Singh, A.; Sabally, K.; Kubow, S.; Donnelly, D.J.; Gariepy, Y.; Orsat, V.; Raghavan, G.S.V. Microwave-assisted extraction of phenolic antioxidants from potato peels. Molecules 2011, 16, 32218–32232. [Google Scholar] [CrossRef]
- Singh, A.; Nair, G.P.; Liplap, P.; Gariepy, Y.; Orsat, V.; Raghavan, G.S.V. Effect of Dielectric Properties of a Solvent-Water Mixture Used in Microwave-Assisted Extraction of Antioxidants from Potato Peels. Antioxidants 2014, 3, 99–113. [Google Scholar] [CrossRef]
- Martinez-Fernandez, J.S.; Seker, A.; Davaritouchaee, M.; Gu, X.; Chen, S. Recovering Valuable Bioactive Compounds from Potato Peels with Sequential Hydrothermal Extraction. Waste Biomass Valor. Springer Nat. B.V. 2020. [Google Scholar] [CrossRef]
- Frontuto, D.; Carullo, D.; Harrison, S.M.; Brunton, N.P.; Ferrari, G.; Lyng, J.G.; Pataro, G. Optimization of Pulsed Electric Fields-Assisted Extraction of Polyphenols from Potato Peels Using Response Surface Methodology. Food Bioprocess. Technol. 2019, 12, 1708–1720. [Google Scholar] [CrossRef]
- Puértolas, E.; Cregenzán, O.; Luengo, E.; Álvarez, I.; Raso, J. Pulsed-electric-field-assisted extraction of anthocyanins from purple-fleshed potato. Food Chem. 2013, 136, 1330–1336. [Google Scholar] [CrossRef] [PubMed]
- Pereira, R.N.; Rodrigues, R.M.; Genisheva, Z.; Oliveira, H.; de Freitas, V.; Teixeira, J.A.; Vicente, A.A. Effects of ohmic heating on extraction of food-grade phytochemicals from colored potato. LWT Food Sci. Technol. 2016, 74, 493–503. [Google Scholar] [CrossRef]
- Wijngaard, H.; Ballay, M.; Brunton, N. The optimisation of extraction of antioxidants from potato peel by pressurised liquids. Food Chem. 2012, 133, 41123–41130. [Google Scholar] [CrossRef]
- Hossain, M.B.; Rawson, A.; Aguilo-Aguayo, I.; Brunton, N.P.; Rai, D.K. Recovery of steroidal alkaloids from potato peels using pressurized liquid extraction. Molecules 2015, 20, 8560–8573. [Google Scholar] [CrossRef]
- Kanatt, S.; Chander, R.; Radhakrishna, P.; Sharma, A. Potato peel extracta natural antioxidant for retarding lipid peroxidation in radiation processed lamb meat. J. Agric. Food Chem. 2005, 53, 1499–1504. [Google Scholar] [CrossRef]
- Finotti, E.; Bertone, A.; Vivanti, V. Balance between nutrients and anti-nutrients in nine Italian potato cultivars. Food Chem. 2006, 99, 698–701. [Google Scholar] [CrossRef]
- Shakya, R.; Navarre, D. Rapid screening of ascorbic acid, glycoalkaloids, and phenolics in potato using high-performance liquid chromatography. J. Agric. Food Chem. 2006, 54, 5253–5260. [Google Scholar] [CrossRef]
- Andre, C.; Oufir, M.; Guignard, C.; Hoffmann, L.; Hausman, J.; Evers, D.; Larondelle, Y. Antioxidant profiling of native andean potato tubers (Solanum tuberosum L.) reveals cultivars with high levels of β-carotene, α-tocopherol, CGA, and petanin. J. Agric. Food Chem. 2007, 55, 10839–10849. [Google Scholar] [CrossRef]
- Külen, O.; Stushnoff, C.; Holm, D. Effect of cold storage on total phenolics content, antioxidant activity and vitamin C level of selected potato clones. J. Sci. Food Agric. 2013, 93, 2437–2444. [Google Scholar] [CrossRef] [PubMed]
- Yang, W.; Bernards, M. Metabolite profiling of potato (Solanum tuberosum L.) tubers during wound-induced suberization. Metabolomics 2007, 3, 147–159. [Google Scholar] [CrossRef]
- Im, H.; Suh, B.; Lee, S.; Kozukue, N.; Ohnisi-Kameyama, M.; Levin, C.; Friedman, M. Analysis of phenolic compounds by high-performance liquid chromatography and liquid chromatography/mass spectrometry in potato plant flowers, leaves, stems, and tubers and in home-processed potatoes. J. Agric. Food Chem. 2008, 56, 3341–3349. [Google Scholar] [CrossRef]
- Leo, L.; Leone, A.; Longo, C.; Lombardi, D.; Raimo, F.; Zacheo, G. Antioxidant compounds and antioxidant activity in “early potatoes”. J. Agric. Food Chem. 2008, 56, 4154–4163. [Google Scholar] [CrossRef]
- Singh, N.; Rajini, P. Antioxidant-Mediated Protective effect of potato peel extract in erythrocytes against oxidative damage. Chem. Biol. Interact. 2008, 173, 97–104. [Google Scholar] [CrossRef] [PubMed]
- Andre, C.; Oufir, M.; Hoffmann, L.; Hausman, J.; Rogez, H.; Larondelle, Y.; Evers, D. Influence of environment and genotype on polyphenol compounds and in vitro antioxidant capacity of native andean potatoes (Solanum tuberosum L.). J. Food Comp. Anal. 2009, 22, 517–524. [Google Scholar] [CrossRef]
- Mäder, J.; Rawel, H.; Kroh, L. Composition of phenolic compounds and glycoalkaloids α-solanine and α-chaconine during commercial potato processing. J. Agric. Food Chem. 2009, 57, 6292–6297. [Google Scholar] [CrossRef]
- Xu, X.; Li, W.; Lu, Z.; Beta, T.; Hydamaka, A. Phenolic content, composition, antioxidant activity, and their changes during domestic cooking of potatoes. J. Agric. Food Chem. 2009, 57, 10231–10238. [Google Scholar] [CrossRef]
- Blessington, T.; Nzaramba, M.; Scheuring, D.; Hale, A.; Reddivari, L.; Miller, J. Cooking methods and storage treatments of potato: Effects on carotenoids, antioxidant activity, and phenolics. Am. J. Potato Res. 2010, 87, 479–491. [Google Scholar] [CrossRef]
- Navarre, D.; Shakya, R.; Holden, J.; Kumar, S. The effect of different cooking methods on phenolics and vitamin C in developmentally young potato tubers. Am. J. Potato Res. 2010, 87, 350–359. [Google Scholar] [CrossRef]
- Garcia-Salas, P.; Morales-Soto, A.; Segura-Carretero, A.; Fernández-Gutiérrez, A. Phenolic-compound extraction systems for fruit and vegetable samples. Molecules 2010, 15, 8813–8826. [Google Scholar] [CrossRef] [PubMed]
- Ieri, F.; Innocenti, M.; Andrenelli, L.; Vecchio, V.; Mulinacci, N. Rapid HPLC/DAD/MS method to determine phenolic acids, glycoalkaloids and anthocyanins in pigmented potatoes (Solanum tuberosum L.) and correlations with variety and geographical origin. Food Chem. 2011, 125, 750–759. [Google Scholar] [CrossRef]
- Madiwale, G.; Reddivari, L.; Holm, D.; Vanamala, J. Storage elevates phenolic content and antioxidant activity but suppresses antiproliferative and pro-apoptotic properties of colored-flesh potatoes against human colon cancer cell lines. J. Agric. Food Chem. 2011, 59, 8155–8166. [Google Scholar] [CrossRef]
- Navarre, D.; Pillai, S.; Shakya, R.; Holden, M. HPLC Profiling of phenolics in diverse potato genotypes. Food Chem. 2011, 127, 34–41. [Google Scholar] [CrossRef]
- Deußer, H.; Guignard, C.; Hoffmann, L.; Evers, D. Polyphenol and glycoalkaloid contents in potato cultivars grown in Luxembourg. Food Chem. 2012, 135, 2814–2824. [Google Scholar] [CrossRef]
- Habeebullah, S.F.K.; Grejsen, H.D.; Jacobsen, C. Potato peel extract as a natural antioxidant in chilled storage of minced horse mackerel (Trachurus trachurus): Effect on lipid and protein oxidation. Food Chem. 2012, 131, 843–851. [Google Scholar]
- Wallis, C.; Chen, J.; Civerolo, E. Zebra chip-diseased potato tubers are characterized by increased levels of host phenolics, amino acids, and defense-related proteins. Physiol. Mol. Plant. Path 2012, 78, 66–72. [Google Scholar] [CrossRef]
- Wu, Z.; Xu, H.; Ma, Q.; Cao, Y.; Ma, J.; Ma, C. Isolation, identification and quantification of unsaturated fatty acids, amides, phenolic compounds and glycoalkaloids from potato peel. Food Chem. 2012, 135, 2425–2429. [Google Scholar] [CrossRef]
- Mulinacci, N.; Ieri, F.; Giaccherini, C.; Innocenti, M.; Andrenelli, L.; Canova, G.; Saracchi, M.; Casiraghi, M. Effect of cooking on the anthocyanins, phenolic acids, glycoalkaloids, and resistant starch content in two pigmented cultivars of Solanum tuberosum L. J. Agric. Food Chem. 2008, 56, 11830–11837. [Google Scholar] [CrossRef]
- Rytel, E.; Tajner-Czopek, A.; Kita, A.; Aniołowska, M.; Kucharska, A.; Sokół-Łetowska, A.; Hamouz, K. Content of polyphenols in coloured and yellow fleshed potatoes during dices processing. Food Chem. 2014, 161, 224–229. [Google Scholar] [CrossRef]
- Mattila, P.; Hellström, J. Phenolic acids in potatoes, vegetables, and some of their products. J. Food Comp. Anal. 2007, 20, 152–160. [Google Scholar] [CrossRef]
- Ji, X.; Rivers, L.; Zielinski, Z.; Xu, M.; MacDougall, E.; Stephen, J.; Zhang, S.; Wang, Y.; Chapman, R.; Keddy, P. Quantitative analysis of phenolic components and glycoalkaloids from 20 potato clones and in vitro evaluation of antioxidant, cholesterol uptake, and neuroprotective activities. Food Chem. 2012, 133, 1177–1187. [Google Scholar] [CrossRef]
- Albishi, T.; John, J.; Al-Khalifa, A.; Shahidi, F. Phenolic content and antioxidant activities of selected potato varieties and their processing by-products. J. Funct. Foods 2013, 5, 590–600. [Google Scholar] [CrossRef]
- Mohdaly, A.; Hassanien, M.; Mahmoud, A.; Sarhan, M.; Smetanska, I. Phenolics extracted from potato, sugar beet, and sesame processing by-products. Int. J. Food Prop. 2013, 16, 1148–1168. [Google Scholar] [CrossRef]
- Sánchez Maldonado, A.; Mudge, E.; Gänzle, M.; Schieber, A. Extraction and fractionation of phenolic acids and glycoalkaloids from potato peels using acidified water/ethanol-based solvents. Food Res. Int. 2014, 65, 27–34. [Google Scholar] [CrossRef]
- Ngadze, E.; Coutinho, T.; Icishahayo, D.; van der Waals, J. Effect of calcium soil amendments on phenolic compounds and soft rot resistance in potato tubers. Crop. Prot. 2014, 62, 40–45. [Google Scholar] [CrossRef]
- Wang, Q.; Cao, Y.; Zhou, L.; Jiang, C.; Feng, Y.; Wei, S. Effects of postharvest curing treatment on flesh colour and phenolic metabolism in fresh-cut potato products. Food Chem. 2015, 169, 246–254. [Google Scholar] [CrossRef]
- Wu, T.; Yan, J.; Liu, R.; Marcone, M.; Aisa, H.; Tsao, R. Optimization of microwave-assisted extraction of phenolics from potato and its downstream waste using orthogonal array design. Food Chem. 2012, 133, 1292–1298. [Google Scholar] [CrossRef]
- Barba, A.; Calabretti, A.; d’Amore, M.; Piccinelli, A.; Rastrelli, L. Phenolic constituents levels in cv. Agria potato under microwave processing. LWT Food Sci. Technol. 2008, 41, 1919–1926. [Google Scholar] [CrossRef]
- Alvarez, V.; Cahyadi, J.; Xu, D.; Saldaña, M. Optimization of phytochemicals production from potato peel using subcritical water: Experimental and dynamic modeling. J. Supercrit. Fluids 2014, 90, 8–17. [Google Scholar] [CrossRef]
- Wu, D. Recycle technology for potato peel waste processing: A review. Procedia Environ. Sci. 2016, 31, 103–107. [Google Scholar] [CrossRef]
- Tawila, M.A.; Omer, H.A.A.; Gad, S.M. Partial replacing of concentrate feed mixture by potato processing waste in sheep rations. Am. Eurasia J. Agric. Environ. Sci. 2008, 4, 156–164. [Google Scholar]
- Maske, N.S.; Satyanarayan, S. Effect of special fish feed prepared using potato peels on fresh water fish labeorohita. J. Indus. Pollut. Control. 2012, 29, 33–38. [Google Scholar]
- Chemat, F.; Vian, M.A.; Cravotto, G. Green extraction of natural products: Concept and principles. Int. J. Mol. Sci. 2012, 13, 8615–8627. [Google Scholar] [CrossRef] [PubMed]
- Stanley, M.E. Fundamentals of Environmental Chemistry; CRC Press: Boca Raton, FL, USA, 2001; pp. 705–707. [Google Scholar]
- Serrano-Ruiz, J.C.; Luque, R.; Sepúlveda-Escribano, A. Transformations of biomass-derived platform molecules: From high added-value chemicals to fuels via aqueous-phase processing. Chem. Soc. Rev. 2011, 40, 115266–115281. [Google Scholar] [CrossRef]
- Roselló-Soto, E.; Barba, F.J.; Putnik, P.; Bursać Kovačević, D.; Lorenzo, J.M.; Cantavella-Ferrero, Y. Enhancing Bioactive Antioxidants’ Extraction from “Horchata de Chufa” By-Products. Foods 2018, 1, 161. [Google Scholar] [CrossRef]
- Duana, D.; Ruana, R.; Wanga, Y.; Liua, Y.; Daia, L.; Zhao, Y.; Zhou, Y.; Wu, Q. Microwave-assisted acid pretreatment of alkali lignin: Effect on characteristics and pyrolysis behavior. Bioresour. Technol. 2018, 251, 57. [Google Scholar]
- Xing, W.; Xu, G.; Dong, J.; Han, R.; Ni, Y. Novel dihydrogen-bonding deep eutectic solvents: Pretreatment of rice straw for butanol fermentation featuring enzyme recycling and high solvent yield. Chem. Eng. J. 2018, 333, 712. [Google Scholar] [CrossRef]
- Farra, A.; Cai, C.; Sandoval, M.; Xu, Y.; Liu, J.; Hernaiz, M.J.; Linhardt, R.J. Green Solvents in Carbohydrate Chemistry: From Raw Materials to Fine Chemicals. Chem. Rev. 2015, 115, 6811. [Google Scholar] [CrossRef]
- Ruesgas-Ramon, M.; Figueroa-Espinoza, M.C.; Durand, E. Application of Deep Eutectic Solvents (DES) for Phenolic Compounds Extraction: Overview, Challenges, and Opportunities. J. Agric. Food Chem. 2017, 65, 3591. [Google Scholar] [CrossRef] [PubMed]
- Vanda, H.; Verpoorte, R.; Klinkhamer, P.G.L.; Choi, Y.H. Natural Deep Eutectic Solvents: From Their Discovery to Their Applications. In Deep Eutectic Solvents: Synthesis, Properties, and Applications, 1st ed.; Wiley-VCH: Weinheim, Germany, 2020. [Google Scholar]
- Lévêque, J.M.; Cravotto, G.; Delattre, F.; Cintas, P. Organic Sonochemistry, Challenges and Perspectives for the 21st Century; Springer Nature: Cham, Switzerland, 2018. [Google Scholar] [CrossRef]
- Cicco, N.; Lanorte, M.T.; Paraggio, M.; Viggiano, M.; Lattanzio, V. A reproducible, rapid and inexpensive Folin-Ciocalteu micro-method in determining phenolics of plant methanol extracts. Microchem. J. 2009, 91, 107–110. [Google Scholar] [CrossRef]

| Compound | Values Range |
|---|---|
| Water | 83.3–85.1 |
| Protein | 1.2–2.3 |
| Total lipids | 0.1–0.4 |
| Total carbohydrate | 8.7–12.4 |
| Starch | 7.8 |
| Total dietary fibre | 2.5 |
| Total phenolic content | 1.02–2.92 |
| Total flavonoids | 0.51–0.96 |
| Ash | 0.9–1.6 |
| Hydroxycinnamic acids |
|
| Hydroxybenzoic acids |
|
| Non-anthocyanin flavonoids |
|
| Anthocyanins |
|
| Dihydrocaffeoyl polyamines |
|
| Potato Cultivar | Extract Analysis | Target Class of Compound | Ref. |
|---|---|---|---|
| Cufri chandromukhi | HPLC–DAD | CGA, CA, GA | [59] |
| 9 Italian cultivars | HPLC–UV–Vis | CGA | [60] |
| Ranger Russet, Norkotah Russet | HPLC–MS | Neo-CGA, CGA, CA, quercetin-3-o-glu-rut, rutin, kaempferol-3-o-rutinoside, cryptoCGA, quinic acid | [61] |
| 23 native Andean cultivars | HPLC–DAD, HPLC–MS, HPLC–FLD | CGA, neo-CGA, crypto-CGA, CA, PCA, vanillic acid, FA, petanin, rutin, kaempferol-3-O-rutinoside | [62] |
| 320 specialty potato genotypes | HPLC–DAD | CGA, CA, GA, CAT | [63] |
| Russet Burbank | Not cited | CGA, FA, vanillic acid, CA, benzoic acid | [64] |
| Jasim, Atlantic, Jawan, Superior, Jopung | HPLC–MS | CGA, CA, FA, p-CUA, trans-cinnamic acid | [65] |
| Nicola, Sieglinde F, Isci 4052, Isci 67 | HPLC–DAD | CGA, CA, FA, CAT | [66] |
| Not cited (Indian cultivar) | HPLC | GA, CA, CGA, PCA | [67] |
| 13 native Andean genotypes | HPLC–DAD | Neo-CGA, crypto-CGA, CGA, kaempferol-3-o-rutinoside, quercetin | [68] |
| Karlena | HPLC | GA, neo-CGA, PCA, CAT, crypto-CGA, CGA, vanillic acid, CA, FA, p-CUA | [69] |
| Siecle, Purple Majesty, Dakota pearl, FL 1533, Vivaldi, Yukon gold | HPLC–UV–Vis | CGA, CA | [7] |
| Goldrosh, Nordonna, Dakota pearl, Norkotah, Red Nordland, Sangre, Viking, Dark Red Nordland | HPLC–DAD, HPLC–MS | CGA, CA, GA, FA, CAT, p-CUA, o-CUA | [70] |
| 8 cultivars | HPLC–DAD | CGA, CA, epiCAT, p-CUA, vanillic acid, quercetin | [71] |
| Sava, Bintje | HPLC–DAD | PCA, gentisic acid, GA, CGA, salicylic acid, CA, FA, p-CUA | [11] |
| Bintje, Piccolo, Purple Majesty | HPLC–DAD–MS | CGA, neo-CGA, crypto-CGA, kaempferol rutinose, rutin | [72] |
| 16 cultivars | HPLC–DAD/APCI–MS | CGA, CA, 3-o-CQA, 1-o-CQA | [73] |
| 13 Italian cultivars | HPLC–DAD–MS | 5-o-CQA, 4-o-CQA, 3-o-CQA, FA, anthocyanins | [74] |
| Purple majesty, Yukon gold, Atlantic | UPLC–MS | CGA, CA, FA, sinapic acid | [75] |
| 50 cultivars | HPLC–DAD–MS | CGA, rutin, kaempferol-3-rutinose | [76] |
| Vitelotte, Luminella, Charlotte, Bintje | UPLC–DAD | CGA, neo-CGA, crypto-CGA, CA, FA, p-CUA, syringic acid, vanillic acid, CAT, rutin, kaempferol-3-o-rutinoside | [77] |
| Sava | HPLC–DAD | GA, PCA, gentisic acid, CGA, vanillic acid, syringic acid, CA, salicylic acid, p-CUA, FA | [78] |
| Not cited | HPLC–DAD | CGA, neo-CGA, crypto-CGA, CUA, genistin, quercetin-3-β-d-galactoside, naringin, naringenin, luteolin, genistein, kaempferol, flavan-3-ol | [79] |
| Not cited | UPLC–MS | CGA, quinic acid, CA, methyl caffeate | [80] |
| 15 Colombian cultivars | HPLC–DAD–MS | CGA, neo-CGA, crypto-CGA, CA | [81] |
| Agria | HPLC–UV | CGA, FA, GA | [10] |
| Valfi, Blaue Elise, Bore Valley, Blue Cango | HPLC–UV | CGA, CA, FA, CUA, crypto-CGA, neo-CGA, p-CUA | [82] |
| Potato Cultivar | Extraction System | Experimental Conditions | Target Class of Compound | Ref. |
|---|---|---|---|---|
| Nicola, Timo, Siikli, Rosamund, Van Gogh | UAE | MeOH and 10% acetic acid (85:15), 30 min | CGA, CA, FA, sinapic acid, vanillic acid, syringic acid | [83] |
| 20 potato cultivars | MeOH (80%), acetic acid (1%), 20 min | CGA, petunidin-3-glucoside chloride, pelargonidin-3-glucopyranoside | [84] | |
| Purple, Innovator, Russet, Yellow | MeOH–acetone–water (7:7:6, v/v/v), 20 min, 30 °C | CGA, CA, p-CUA, FA | [85] | |
| Penta, Marcy | MeOH and 10% acetic acid (85:15), 30 min | CGA, CA, GA, p-CUA, FA | [8] | |
| Diamond | MeOH (70%), ultrasonic water bath with ice, 15 min | CGA, caffeic, 4-hydroxybenzoic, p-coumaric, and trans-o-hydroxycinnamic acids | [86] | |
| Russet | Solvents used for extraction: solvent A (25% water, 70% MeOH, 5% acetic acid) solvent B (24% water, 67% EtOH, 9% acetic acid), solvent C (46% water, 51% EtOH, 3% acetic acid), 20min | CGA, CA, neo-CGA | [87] | |
| BP1 | MeOH: acetone: ultra-pure water (7:7:1; v:v:v), 5 min | CGA, CA, FA | [88] | |
| Netherlands #7 | MeOH (80%) and formic acid (1%), 30 °C, 30 min | GA, PCA, CGA | [89] | |
| Ramus | Continuous air stream ultrasonic bath, 15 min | Total phenolics content | [45] | |
| Calwhite | MAE | EtOH (60%), 80 °C, 2 min, solid-to-solvent ratio 1:40 (g/mL) | CGA, CA, neo-CGA, crypto-CGA, FA, p-CUA | [90] |
| Russt Burbank | MeOH (67.33%), 15 min and a MP of 14.67% | Total phenolics content | [51] | |
| Agria | 150–1000 W, 1–7 min | PCA, CGA, neo-CGA, crypto-CGA | [91] | |
| Lady Claire | Pressurized liquid extraction (PLE) + solid–liquid extraction | 10.3 MPa, 125 °C, EtOH (70%) | CA | [57] |
| Red | 40 bar, 190 °C, 9 min of static holding time using a flow rate of 3 mL min−1 | GA, GCA and syringic acid | [92] | |
| Red | Subcritical water extraction | 180 °C, 30 min | GA, CGA, CA, PCA, syringic acid, p-hydroxyl benzoic acid, FA, CUA | [18] |
| Vitelotte | PEF aided extraction | 3.4 kV/m and 105 µs (35 pulses of 3 µs), water | Anthocyanins | [55] |
| Vitelotte | Ohmic heating assisted | 100 °C for 1 s 200 V/cm, water | Anthocyanins, CGA, FA, ellagic acid, catechin, rutin | [56] |
| Russet Burbank (dark brown skins) | SeqHTE sequential hydrothermal 3xtraction | Stage 1: 150 or 170 °C; Stage 2: 200 or 220 °C for variable residence times from 10 to 20 min | Total phenolics content (CGA, CA, p-CUA, FA, GA, salicylic acid, catechin, epicatechin, naringenin, syringic acid, and ellagic acid) | [53] |
Publisher’s Note: MDPI stays neutral with regard to jurisdictional claims in published maps and institutional affiliations. |
© 2020 by the authors. Licensee MDPI, Basel, Switzerland. This article is an open access article distributed under the terms and conditions of the Creative Commons Attribution (CC BY) license (http://creativecommons.org/licenses/by/4.0/).
Share and Cite
Calcio Gaudino, E.; Colletti, A.; Grillo, G.; Tabasso, S.; Cravotto, G. Emerging Processing Technologies for the Recovery of Valuable Bioactive Compounds from Potato Peels. Foods 2020, 9, 1598. https://doi.org/10.3390/foods9111598
Calcio Gaudino E, Colletti A, Grillo G, Tabasso S, Cravotto G. Emerging Processing Technologies for the Recovery of Valuable Bioactive Compounds from Potato Peels. Foods. 2020; 9(11):1598. https://doi.org/10.3390/foods9111598
Chicago/Turabian StyleCalcio Gaudino, Emanuela, Alessandro Colletti, Giorgio Grillo, Silvia Tabasso, and Giancarlo Cravotto. 2020. "Emerging Processing Technologies for the Recovery of Valuable Bioactive Compounds from Potato Peels" Foods 9, no. 11: 1598. https://doi.org/10.3390/foods9111598
APA StyleCalcio Gaudino, E., Colletti, A., Grillo, G., Tabasso, S., & Cravotto, G. (2020). Emerging Processing Technologies for the Recovery of Valuable Bioactive Compounds from Potato Peels. Foods, 9(11), 1598. https://doi.org/10.3390/foods9111598

