Shelf Life Extension and Improvement of the Nutritional Value of Fish Fillets through Osmotic Treatment Based on the Sustainable Use of Rosa damascena Distillation By-Products
Abstract
1. Introduction
2. Materials and Methods
2.1. Fish Raw Material
2.2. By-Products of Rose Distillation–Infusion Raw Material
2.3. Determination of Total Phenolic Content (TPC)
2.4. Antioxidant Impregnation and Osmotic Treatment
2.5. Shelf Life Kinetic Study
2.5.1. Microbiological Analysis
2.5.2. Total Lipid Extraction and Evaluation of Lipid Oxidation
2.6. Statistical Analysis
3. Results and Discussion
3.1. Characterization of the Antioxidant Capacity of Rosa Damascena By-Products
3.2. Antioxidant Impregnation and Osmotic Treatment
3.3. Lightness Change
3.4. Shelf Life Study
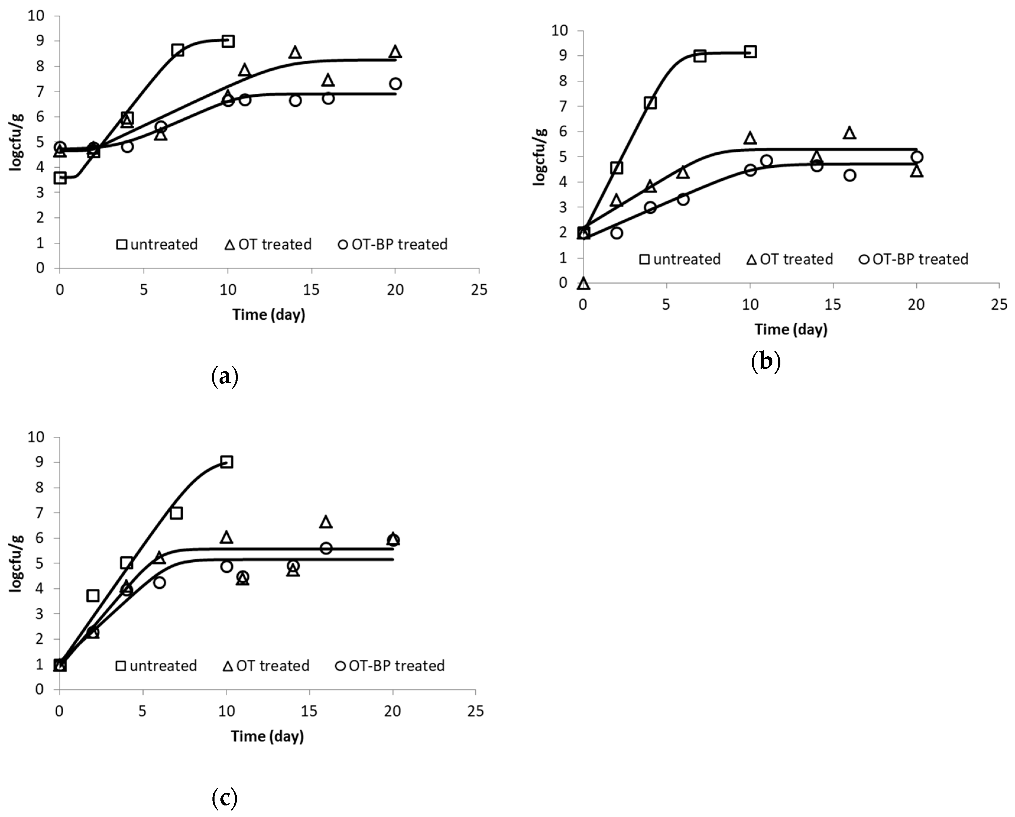
3.4.1. Growth of Spoilage Bacteria
3.4.2. Chemical Indices
3.4.3. Shelf Life Determination
4. Conclusions
Author Contributions
Funding
Acknowledgments
Conflicts of Interest
References
- FAO. The State of World Fisheries and Aquaculture; Contributing to Food Security and Nutrition for All; Food and Agriculture Organization of the United Nations: Rome, Italy, 2016. [Google Scholar]
- Loukas, V.; Dimizas, C.; Sinanoglou, V.J.; Miniadis-Meimaroglou, S. EPA, DHA, cholesterol and phospholipid content in Pagrus pagrus (cultured and wild), Trachinus draco and Trigla lyra from Mediterranean Sea. Chem. Phys. Lipids 2010, 163, 292–299. [Google Scholar] [CrossRef] [PubMed]
- Mascolo, C.; Marrone, R.; Palma, A.; Palma, G. Nutritional Value of Fish Species. J. Nutr. Ecol. Food Res. 2013, 11, 219–225. [Google Scholar] [CrossRef]
- Masniyom, P.; Benjakul, S.; Visessanguan, W. Combination effect of phosphate and modified atmosphere on quality and shelf-life extension of refrigerated seabass slices. Food Sci. Technol. LEB 2005, 38, 745–756. [Google Scholar] [CrossRef]
- Lougovois, V.P.; Kyrana, V.R. Freshness Quality and Spoilage of Chill-Stored Fish. In Food Policy, Control and Research; Riley, A.P., Ed.; Nova Science Publishers Inc.: New York, NY, USA, 2005; pp. 35–86. [Google Scholar]
- Aponte, M.; Anastasio, A.; Marrone, R.; Mercogliano, R.; Peruzy, M.; Murru, N. Impact of gaseous ozone coupled to passive refrigeration system to maximize shelf-life and quality of four different fresh fish products. LWT Food Sci. Technol. 2018, 93, 412–419. [Google Scholar] [CrossRef]
- Austin, B. The bacterial microflora of fish, revised. Sci. World J. 2006, 6, 931–945. [Google Scholar] [CrossRef] [PubMed]
- Giannakourou, M.C.; Koutsoumanis, K.; Nychas, G.J.E.; Taoukis, P.S. Field evaluation of the application of time temperature integrators for monitoring fish quality in the chill chain. Int. J. Food Microbiol. 2005, 102, 323–336. [Google Scholar] [CrossRef]
- Ciurzynska, A.; Kowalska, H.; Czajkowska, K.; Lenart, A. Osmotic dehydration in production of sustainable and healthy food. Trends Food Sci. Technol. 2016, 50, 186–192. [Google Scholar] [CrossRef]
- Rastogi, N.K.; Raghavarao, K.S.M.S.; Niranjan, K. Recent Developments in Osmotic Dehydration. In Emerging Technologies for Food Processing; Sun, D.W., Ed.; Academic Press: San Diego, CA, USA, 2014; pp. 181–212. [Google Scholar]
- Chiralt, A.; Fito, P.; Barat, J.M.; Andrés, A.; González-Martínez, C.; Escriche, I.; Camacho, M.M. Use of vacuum impregnation in food salting process. J. Food Eng. 2001, 49, 141–151. [Google Scholar] [CrossRef]
- Tsironi, T.N.; Taoukis, P.S. Modeling Microbial Spoilage and Quality of Gilthead Seabream Fillets: Combined Effect of Osmotic Pretreatment, Modified Atmosphere Packaging, and Nisin on Shelf Life. J. Food Sci. 2010, 75, M243–M251. [Google Scholar] [CrossRef]
- Tsironi, T.N.; Taoukis, P.S. Effect of processing parameters on water activity and shelf life of osmotically dehydrated fish filets. J. Food Eng. 2014, 123, 188–192. [Google Scholar] [CrossRef]
- Sofra, C.; Tsironi, T.; Taoukis, P.S. Modeling the effect of pre-treatment with nisin enriched osmotic solution on the shelf life of chilled vacuum packed tuna. J. Food Eng. 2018, 216, 125–131. [Google Scholar] [CrossRef]
- Slavov, A.; Denev, P.; Panchev, I.; Shikov, V.; Nenov, N.; Yantcheva, N.; Vasileva, I. Combined recovery of polysaccharides and polyphenols from Rosa damascena wastes. Ind. Crop. Prod. 2017, 100, 85–94. [Google Scholar] [CrossRef]
- Tsanaktsidis, C.G.; Tamoutsidis, E.; Kasapidis, G.; Itziou, A.; Ntina, E. Preliminary Results on Attributes of Distillation Products of the Rose Rosa damascene as a Dynamic and Friendly to the Environment Rural Crop. APCBEE Procedia 2012, 1, 66–73. [Google Scholar] [CrossRef][Green Version]
- Ahsan, M.; Younis, A.; Riaz, A.; Jaskani, M.J.; Qasim, M.; Hameed, M.; Tufail, A.; Nafee, M.; Abbas, H.; Tariq, U. Treated and untreated wastewater imparts morphological changes to scented Rosa species in Peri-urban area. Pak. J. Agric. Sci. 2018, 55, 111–117. [Google Scholar] [CrossRef]
- Tsironi, T.N.; Taoukis, P.S. Effect of storage temperature and osmotic pre-treatment with alternative solutes on the shelf-life of gilthead seabream (Sparus aurata) fillets. Aquac. Fish. 2017, 2, 39–47. [Google Scholar] [CrossRef]
- Andreou, V.; Strati, I.F.; Fotakis, C.; Liouni, M.; Zoumpoulakis, P.; Sinanoglou, V.J. Herbal distillates: A new era of grape marc distillates with enriched antioxidant profile. Food Chem. 2018, 253, 171–178. [Google Scholar] [CrossRef] [PubMed]
- Tsironi, T.; Salapa, I.; Taoukis, P. Shelf life modelling of osmotically treated chilled gilthead seabream fillets. Innov. Food Sci. Emerg. 2009, 10, 23–31. [Google Scholar] [CrossRef]
- Baranyi, J.; Roberts, T.A. Mathematics of predictive food microbiology. Int. J. Food Microbiol. 1995, 26, 199–218. [Google Scholar] [CrossRef]
- Bligh, E.G.; Dyer, W.J. A rapid method of total lipid extraction and purification. Can. J. Biochem. Phys. 1959, 37, 911–917. [Google Scholar] [CrossRef]
- Witte, V.C.; Krause, G.F.; Bailey, M.E. A new extraction method for determining 2-thiobarbituric acid values of pork and beef during storage. J. Food Sci. 1970, 35, 582–585. [Google Scholar] [CrossRef]
- Baydar, N.G.; Baydar, H. Phenolic compounds, antiradical activity and antioxidant capacity of oil-bearing rose (Rosa damascena Mill.) extracts. Ind. Crop. Prod. 2013, 41, 375–380. [Google Scholar] [CrossRef]
- Ulusoy, S.; Boşgelmez-Tınaz, G.; Seçilmiş-Canbay, H. Tocopherol, Carotene, Phenolic Contents and Antibacterial Properties of Rose Essential Oil, Hydrosol and Absolute. Curr. Microbiol. 2009, 59, 554. [Google Scholar] [CrossRef] [PubMed]
- Collignan, A.; Raoult-Wack, A.L. Dewatering and salting of cod by immersion in concentrated sugar/salt solutions. Food Sci. Technol. LEB 1994, 27, 259–264. [Google Scholar] [CrossRef]
- Bellary, A.N.; Rastogi, N.K. Effect of hypotonic and hypertonic solutions on impregnation of curcuminoids in coconut slices. Innov. Food Sci. Emerg. 2012, 16, 33–40. [Google Scholar] [CrossRef]
- Tsironi, T.; Taoukis, P. Shelf-life extension of gilthead seabream fillets by osmotic treatment and antimicrobial agents. J. Appl. Microbiol. 2012, 112, 213–328. [Google Scholar] [CrossRef]
- Oucif, H.; Miranda, J.M.; Mehidi, S.A.; Abi-Ayad, S.M.E.A.; Barros-Velázquez, J.; Aubourg, S.P. Effectiveness of a combined ethanol–aqueous extract of alga Cystoseira compressa for the quality enhancement of a chilled fatty fish species. Eur. Food Res. Technol. 2018, 244, 291–299. [Google Scholar] [CrossRef]
- de Camargo, A.C.; Regitano-d’Arce, M.A.B.; Rasera, G.B.; Canniatti-Brazaca, S.G.; do Prado-Silva, L.; Alvarenga, V.O.; Sant’Ana, A.S.; Shahidi, F. Phenolic acids and flavonoids of peanut by-products: Antioxidant capacity and antimicrobial effects. Food Chem. 2017, 237, 538–544. [Google Scholar] [CrossRef]
- Miranda, J.M.; Carrera, M.; Barros-Velázquez, J.; Aubourg, S.P. Impact of previous active dipping in Fucus spiralis extract on the quality enhancement of chilled lean fish. Food Control 2018, 90, 407–414. [Google Scholar] [CrossRef]
- Ortiz-Viedma, J.; Romero, N.; Puente, L.; Burgos, K.; Toro, M.; Ramirez, L.; Rodriguez, A.; Barros-Velazquez, J.; Aubourg, S.P. Antioxidant and antimicrobial effects of stevia (Stevia rebaudiana Bert.) extracts during preservation of refrigerated salmon paste. Eur. J. Lipid Sci. Technol. 2017, 119, 1600467. [Google Scholar] [CrossRef]
- Mahmoud, B.S.M.; Yamazaki, K.; Miyashita, K.; Shin, I.S.; Dong-Suk, C.; Suzuki, T. Bacterial microflora of carp (Cyprinus carpio) and its shelf-life extension by essential oil compounds. Food Microbiol. 2004, 21, 657–666. [Google Scholar] [CrossRef]
- Karel, M. Lipid Oxidation, Secondary Reactions, and Water Activity of Foods. In Autoxidation in Food and Biological Systems; Simic, M.G., Karel, M., Eds.; Springer Science & Business Media: New York, NY, USA, 1980. [Google Scholar]
- Sang, W.; Jin, Z.T. Lipid oxidation of fish liver oil as affected by light, antioxidants and temperature. J. Food Process. Preserv. 2004, 28, 1–10. [Google Scholar] [CrossRef]
- Ragnarsson, J.O.; Labuza, T.P. Accelerated shelf-life testing for oxidative rancidity in foods—A review. Food Chem. 1977, 2, 291–308. [Google Scholar] [CrossRef]
- Sriket, P.; Benjakul, S.; Visessanguan, W.; Kijroongrojana, K. Comparative studies on chemical composition and thermal properties of black tiger shrimp (Penaeus monodon) and white shrimp (Penaeus vannamei) meats. Food Chem. 2007, 103, 1199–1207. [Google Scholar] [CrossRef]
- Sae-leaw, T.; Benjakul, S. Fatty acid composition, lipid oxidation, and fishy odour development in seabass (Lates calcarifer) skin during iced storage. Eur. J. Lipid Sci. Technol. 2014, 116, 885–894. [Google Scholar] [CrossRef]
- Guan, W.; Ren, X.; Li, Y.; Mao, L. The beneficial effects of grape seed, sage and oregano extracts on the quality and volatile flavor component of hairtail fish balls during cold storage at 4 °C. Food Sci. Technol. LEB 2019, 101, 25–31. [Google Scholar] [CrossRef]
- Ali, M.; Imran, M.; Nadeem, M.; Khan, M.K.; Sohaib, M.; Suleria, H.A.R.; Bashir, R. Oxidative stability and Sensoric acceptability of functional fish meat product supplemented with plant−based polyphenolic optimal extracts. Lipids Health Dis. 2019, 18, 35. [Google Scholar] [CrossRef] [PubMed]
- Yu, H.; Yang, G.; Sato, M.; Yamaguchi, T.; Nakano, T.; Xi, Y. Antioxidant activities of aqueous extract from Stevia rebaudiana stem waste to inhibit fish oil oxidation and identification of its phenolic compounds. Food Chem. 2017, 232, 379–386. [Google Scholar] [CrossRef] [PubMed]
- Qiu, X.; Jacobsen, C.; Sørensen, A.D.M. The effect of rosemary (Rosmarinus officinalis L.) extract on the oxidative stability of lipids in cow and soy milk enriched with fish oil. Food Chem. 2018, 263, 119–126. [Google Scholar] [CrossRef] [PubMed]
- Viji, P.; Binsi, P.K.; Visnuvinayagam, S.; Mohan, C.O.; Venkateshwarlu, G.; Srinivasa Gopal, T.K. Lipid Oxidation and Biochemical Quality of Indian Mackerel during Frozen Storage: Effect of Previous Treatment with Plant Extracts. J. Food Biochem. 2017, 41, e12308. [Google Scholar] [CrossRef]
- Alparslan, Y.; Baygar, T.; Yapıcı, H.; Metin, C. Effects of scale and skin on chemical and sensory quality of marinated sea bass filets (Dicentrarchus labrax, L. 1758) in sunflower oil during storage at 4 °C. Emir. J. Food Agric. 2013, 25, 516–523. [Google Scholar] [CrossRef]
- Choulitoudi, E.; Ganiari, S.; Tsironi, T.; Ntimani, A.; Tsimogiannis, D.; Taoukis, P.; Oreopoulou, V. Edible coating enriched with rosemary extracts to enhance oxidative and microbial stability if smoked eel fillets. Food Packag. Shelf Life 2017, 12, 107–113. [Google Scholar] [CrossRef]
- Choulitoudi, E.; Bravou, K.; Bimpilas, A.; Tsironi, T.; Tsimogiannis, D.; Taoukis, P.; Oreopoulou, V. Antimicrobial and antioxidant activity of Satureja thymbra in gilthead seabream fillets edible coating. Food Bioprod. Process. 2016, 100, 570–577. [Google Scholar] [CrossRef]
- Adamo, P.; Marrone, R.; Smaldone, G.; Chirollo, C.; Sadok, S. Swordfish steaks vacuum packed with R. officinalis. Ital. J. Food Sci. 2014, 26, 390–397. [Google Scholar]





| Total Viable Count | Pseudomonas spp. | Enterobacteriaceae spp. | ||||||||||
|---|---|---|---|---|---|---|---|---|---|---|---|---|
| k | No | Nmax | Lag | k | No | Nmax | Lag | k | No | Nmax | Lag | |
| untreated | 0,85 ± 0.083 a | 3.6 ± 0.7 | 9.0 ± 0.2 a | 0.9 ± 0.3 a | 1.30 ± 0.023 a | 2 ± 0.3 | 9.1 ± 0.1 a | - | 0.94 ± 0.23 a | 1 ± 0.2 | 9.1 ± 1.0 a | - |
| OT | 0,31 ± 0.081 b | 4.6 ± 0.8 | 8.3 ± 0.4 b | 1.8 ± 0.5 b | 0.40 ± 0.13 b | 2 ± 0.5 | 5.3 ± 0.3 b | - | 0.78 ± 0.24 a | 1 ± 0.3 | 5.6 ± 0.3 b | - |
| BP/OT | 0,30 ± 0.097 b | 4.7 ± 0.8 | 6.9 ± 0.1 c | 3.4 ± 1.8 b | 0.29 ± 0.049 b | 2 ± 0.4 | 4.7 ± 0.2 c | - | 0.61 ± 0.14 a | 1 ± 0.3 | 5.2 ± 0.2 b | - |
© 2019 by the authors. Licensee MDPI, Basel, Switzerland. This article is an open access article distributed under the terms and conditions of the Creative Commons Attribution (CC BY) license (http://creativecommons.org/licenses/by/4.0/).
Share and Cite
Giannakourou, M.C.; Tsironi, T.; Thanou, I.; Tsagri, A.M.; Katsavou, E.; Lougovois, V.; Kyrana, V.; Kasapidis, G.; Sinanoglou, V.J. Shelf Life Extension and Improvement of the Nutritional Value of Fish Fillets through Osmotic Treatment Based on the Sustainable Use of Rosa damascena Distillation By-Products. Foods 2019, 8, 421. https://doi.org/10.3390/foods8090421
Giannakourou MC, Tsironi T, Thanou I, Tsagri AM, Katsavou E, Lougovois V, Kyrana V, Kasapidis G, Sinanoglou VJ. Shelf Life Extension and Improvement of the Nutritional Value of Fish Fillets through Osmotic Treatment Based on the Sustainable Use of Rosa damascena Distillation By-Products. Foods. 2019; 8(9):421. https://doi.org/10.3390/foods8090421
Chicago/Turabian StyleGiannakourou, Maria C., Theofania Tsironi, Ioanna Thanou, Anna Maria Tsagri, Elena Katsavou, Vladimiros Lougovois, Vasiliki Kyrana, Georgios Kasapidis, and Vassilia J. Sinanoglou. 2019. "Shelf Life Extension and Improvement of the Nutritional Value of Fish Fillets through Osmotic Treatment Based on the Sustainable Use of Rosa damascena Distillation By-Products" Foods 8, no. 9: 421. https://doi.org/10.3390/foods8090421
APA StyleGiannakourou, M. C., Tsironi, T., Thanou, I., Tsagri, A. M., Katsavou, E., Lougovois, V., Kyrana, V., Kasapidis, G., & Sinanoglou, V. J. (2019). Shelf Life Extension and Improvement of the Nutritional Value of Fish Fillets through Osmotic Treatment Based on the Sustainable Use of Rosa damascena Distillation By-Products. Foods, 8(9), 421. https://doi.org/10.3390/foods8090421

