The Effect of Calcium, Citrate, and Urea on the Stability of Ultra-High Temperature Treated Milk: A Full Factorial Designed Study
Abstract
1. Introduction
2. Materials and Methods
2.1. Design, Sample Preparation, Handling, and Storage
2.2. Fat Separation, Fat Adhesion, Sediment Formation, and Color
2.3. pH, Ethanol Stability, and Heat Coagulation Time
2.4. Statistical Analysis
3. Results and Discussion
3.1. Partial Least Squares Regression
3.2. Effect of Calcium
3.3. Effect of Citrate
3.4. Effect of Urea
3.5. Effect of Interaction Terms
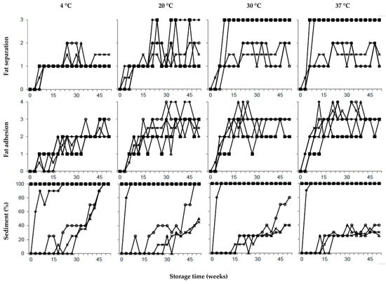
3.6. Effect of Storage Temperature and Storage Time
4. Conclusions
Author Contributions
Funding
Acknowledgments
Conflicts of Interest
References
- Ramsey, J.A.; Swartzel, K.R. Effect of ultra high temperature processing and storage conditions on rates of sedimentation and fat separation of aseptically packaged milk. J. Food Sci. 1984, 49, 257–262. [Google Scholar] [CrossRef]
- Deeth, H.C.; Lewis, M.J. Protein stability in sterilised milk and milk products. In Advanced Dairy Chemistry; McSweeney, P.L.H., O’Mahony, J.A., Eds.; Springer: New York, NY, USA, 2016; pp. 247–286. ISBN 978-1-4939-2799-9. [Google Scholar]
- Tsioulpas, A.; Lewis, M.J.; Grandison, A.S. Effect of minerals on casein micelle stability of cows’ milk. J. Dairy Res. 2007, 74, 167–173. [Google Scholar] [CrossRef] [PubMed]
- Gaucheron, F. The minerals of milk. Reprod. Nutr. Dev. 2005, 45, 473–483. [Google Scholar] [CrossRef] [PubMed]
- Walstra, P.; Wouster, J.T.M.; Geurts, T.J. Dairy Science and Technology, 2nd ed.; Taylor & Francis: Boca Raton, FL, USA, 2006; ISBN 0-8247-2763-0. [Google Scholar]
- Lewis, M.J.; Grandison, A.S.; Lin, M.-J.; Tsioulpas, A. Ion calcium and pH as predictors of stability of milk to UHT processing. Milchwissenschaft 2011, 66, 197–200. [Google Scholar]
- Tessier, H.; Rose, D. Heat stability of casein in the presence of calcium and other salts. J. Dairy Sci. 1961, 44, 1238–1246. [Google Scholar] [CrossRef]
- Singh, G.; Arora, S.; Sharma, G.S.; Sindhu, J.S.; Kansal, V.K.; Sangwan, R.B. Heat stability and calcium bioavailability of calcium-fortified milk. LWT-Food Sci. Technol. 2007, 40, 625–631. [Google Scholar] [CrossRef]
- Omoarukhe, E.D.; On-Nom, N.; Grandinson, A.S.; Lewis, M.J. Effects of different calcium salts on properties of milk related to heat stability. Int. J. Dairy Technol. 2010, 63, 504–511. [Google Scholar] [CrossRef]
- Whittier, E.O. The solubility of calcium phosphate in fresh milk. J. Dairy Sci. 1929, 12, 405–409. [Google Scholar] [CrossRef]
- Garnsworthy, P.C.; Masson, L.L.; Lock, A.L.; Mottram, T.T. Variation of milk citrate with stage of lactation and de novo fatty acid synthesis in dairy cows. J. Dairy Sci. 2006, 89, 1604–1612. [Google Scholar] [CrossRef]
- Faulkner, A.; Peaker, M. Reviews of the progress of dairy science-secretion of citrate into milk. J. Dairy Res. 1982, 49, 159–169. [Google Scholar] [CrossRef]
- Carlsson, J.; Bergström, J.; Pehrson, B. Variations with breed, age, season, yield, stage of lactation and herd in the concentration of urea in bulk milk and individual cow’s milk. Acta Vet. Scand. 1995, 36, 245–254. [Google Scholar] [PubMed]
- Auldist, M.J.; Walsh, B.J.; Thomson, N.A. Seasonal and lactational influences on bovine milk composition in New Zealand. J. Dairy Res. 1998, 65, 401–411. [Google Scholar] [CrossRef] [PubMed]
- Reid, M.; O’Donovan, M.; Elliott, C.T.; Bailey, J.S.; Watson, C.J.; Lalor, S.T.J.; Corrigan, B.; Fenelon, M.A.; Lewis, E. The effect of dietary crude protein and phosphorus on grass-fed dairy cow production, nutrient status, and milk heat stability. J. Dairy Sci. 2015, 98, 517–531. [Google Scholar] [CrossRef] [PubMed]
- Williams, R.P.W. The relationship between the composition of milk and the properties of bulk milk products. Aust. J. Dairy Technol. 2002, 57, 30–44. [Google Scholar]
- Crowley, S.V.; Megemont, M.; Gazi, I.; Kelly, A.L.; Huppertz, T.; O’Mahony, J.A. Heat stability of reconstituted milk protein concentrate powders. Int. Dairy J. 2014, 37, 104–110. [Google Scholar] [CrossRef]
- Lindmark-Månsson, H. Den Svenska Mejerimjölkens Sammansättning 2009; The Swedish Dairy Association: Stockholm, Sweden, 2012. [Google Scholar]
- Karlsson, M.A.; Langton, M.; Innings, F.; Malmgren, B.; Höjer, A.; Wikström, M.; Lundh, Å. Changes in stability and shelf-life of ultra-high temperature treated milk during long term storage at different temperatures. Heliyon 2019, 5, e02431. [Google Scholar] [CrossRef]
- Hardham, J.F.; Imison, B.W.; French, H.M. Effect of homogenisation and microfluidisation on the extent of fat separation during storage of UHT milk. Aust. J. Dairy Technol. 2000, 55, 16–22. [Google Scholar]
- Lu, C.; Wang, G.; Li, Y.; Zhang, L. Effects of homogenisation pressures on physicochemical changes in different layers of ultra-high temperature whole milk during storage. Int. J. Dairy Technol. 2013, 66, 325–332. [Google Scholar] [CrossRef]
- Malmgren, B.; Ardö, Y.; Langton, M.; Altskär, A.; Bremer, M.G.E.G.; Dejmek, P.; Paulsson, M. Changes in proteins, physical stability and structure in directly heated UHT milk during storage at different temperatures. Int. Dairy J. 2017, 71, 60–75. [Google Scholar] [CrossRef]
- Dalgleish, D.G. Sedimentation of casein micelles during the storage of ultra-high temperature milk products-a calculation. J. Dairy Sci. 1992, 75, 371–379. [Google Scholar] [CrossRef]
- Van Boekel, M.a.J.S. Effect of heating on Maillard reaction in milk. Food Chem. 1998, 62, 403–414. [Google Scholar] [CrossRef]
- Day, L.; Raynes, J.K.; Leis, A.; Liu, L.H.; Williams, R.P.W. Probing the internal and external micelle structures of differently sized casein micelles from individual cows milk by dynamic light and small-angle X-ray scattering. Food Hydrocoll. 2017, 69, 150–163. [Google Scholar] [CrossRef]
- Malmgren, B. Long-life milk. In Dairy Processing Handbook; Tetra Pak Processing Systems AB: Lund, Sweden, 2018. [Google Scholar]
- Horne, D.S. Ethanol stability and milk composition. In Advanced Dairy Chemistry; McSweeney, P.L.H., O’Mahony, J.A., Eds.; Springer New York: New York, NY, USA, 2016; pp. 225–246. [Google Scholar]
- Shew, D.I. New Monograph on UHT Milk; International Dairy Federation: Brussels, Belgium, 1981. [Google Scholar]
- Davies, D.T.; White, J.C.D. The stability of milk protein to heat. I. Subjective measurements of heat stability of milk. J. Dairy Res. 1966, 33, 67–81. [Google Scholar] [CrossRef]
- Lindmark-Månsson, H.; Fondén, R.; Pettersson, H.-E. Composition of Swedish dairy milk. Int. Dairy J. 2003, 13, 409–425. [Google Scholar] [CrossRef]
- New Zealand Dairy Industry. Fat rise-visual-for long-life milks. In New Zealand Technical Manual. NZTM 4: Physical Methods Manual; Fonterra Cooperative Group Ltd.: Hamilton, New Zealand, 2000; pp. 15.2.1–15.2.2. [Google Scholar]
- New Zealand Dairy Industry. Sediment-visual “bottom cover area” for long-life milks and creams. In New Zealand Technical Manual. NZTM 4: Physical Methods Manual; Fonterra Cooperative Group Ltd.: Hamilton, New Zealand, 2000; pp. 15.5.1–15.5.4. [Google Scholar]
- Karlsson, M.A.; Langton, M.; Innings, F.; Wikström, M.; Lundh, Å.S. Short communication: Variation in the composition and properties of Swedish raw milk for ultra-high-temperature processing. J. Dairy Sci. 2017, 100, 2582–2590. [Google Scholar] [CrossRef] [PubMed]
- Zadow, J.G. The influence of pH and heat treatment on the colour and stability of ultra-high-temperature sterilized milk. J. Dairy Res. 1971, 38, 393–401. [Google Scholar] [CrossRef]
- Zadow, J.G. The stability on milk of low pH towards UHT processing. In Proceedings of the Proceedings of the 20th International Dairy; International Dairy Federation: Brussels, Belgium, 1978; p. 711. [Google Scholar]
- Gaur, V.; Schalk, J.; Anema, S.G. Sedimentation in UHT milk. Int. Dairy J. 2018, 78, 92–102. [Google Scholar] [CrossRef]
- Wilson, H.K.; Herreid, E.O.; Whitney, R.M. Ultra centrifugation studies of milk heated to sterilization temperatures. J. Dairy Sci. 1960, 43, 165–174. [Google Scholar] [CrossRef]
- Grewal, M.K.; Chandrapala, J.; Donkor, O.; Apostolopoulos, V.; Stojanovska, L.; Vasiljevic, T. Fourier transform infrared spectroscopy analysis of physicochemical changes in UHT milk during accelerated storage. Int. Dairy J. 2017, 66, 99–107. [Google Scholar] [CrossRef]
- Boumpa, T.; Tsioulpas, A.; Grandison, A.S.; Lewis, M.J. Effects of phosphates and citrates on sediment formation in UHT goats’ milk. J. Dairy Res. 2008, 75, 160–166. [Google Scholar] [CrossRef]
- Jeurnink, T.J.M.; de Kruif, K.G. Calcium concentration in milk in relation to heat-stability and fouling. Netherlands Milk Dairy J. 1995, 49, 151–165. [Google Scholar]
- Van Boekel, M.a.J.S.; Nieuwenhuijse, J.A.; Walstra, P. The heat coagulation of milk. 1. Mechanisms. Netherlands Milk Dairy J. 1989, 43, 97–127. [Google Scholar]
- Udabage, P.; McKinnon, I.R.; Augustin, M.A. Effects of mineral salts and calcium chelating agents on the gelation of renneted skim milk. J. Dairy Sci. 2001, 84, 1569–1575. [Google Scholar] [CrossRef]
- Miller, P.G.; Sommer, H.H. The coagulation temperature of milk as affected by pH, salts, evaporation and previous heat treatment. J. Dairy Sci. 1940, 23, 405–421. [Google Scholar] [CrossRef]
- Muir, D.D.; Sweetsur, A.W.M. Effect of urea on the heat coagulation of the caseinate complex of skim milk. J. Dairy Res. 1977, 4, 249–257. [Google Scholar] [CrossRef]
- Al-Saadi, M.S.J.; Deeth, C.H. Cross-linking of proteins in UHT milk during storage at different temperatures. Aust. J. Dairy Technol. 2008, 63, 93–99. [Google Scholar]
- Gaucher, I.; Mollé, D.; Gagnaire, V.; Gaucheron, F. Effects of storage temperature on physico-chemical characteristics of semi-skimmed UHT milk. Food Hydrocoll. 2008, 22, 130–143. [Google Scholar] [CrossRef]





| Sample | Calcium | Citrate | Urea |
|---|---|---|---|
| 1 | +20% | - | - |
| 2 | - | +20% | - |
| 3 | - | - | +20% |
| 4 | +20% | +20% | +20% |
| 5 | - | - | - |
| 6 | - | - | - |
| 7 | +20% | +20% | - |
| 8 | +20% | - | +20% |
| 9 | - | +20% | +20% |
| Constant | Factors | Interaction Terms | ||||||
|---|---|---|---|---|---|---|---|---|
| Calcium | Citrate | Urea | Cal*Cit | Cal*Urea | Cit*Urea | Cal*Cit*Urea | ||
| Fat separation | 1.71 *** | 0.39 *** | ||||||
| Fat adhesion | 2.16 *** | −0.18 *** | 0.13 *** | |||||
| Sediment | 1.38 *** | 0.88 *** | −0.05 *** | |||||
| L* | 5.90 *** | −0.61 *** | 0.40 *** | 0.47 *** | ||||
| a* | −1.12 *** | −0.49 *** | 0.23 *** | 0.20 *** | ||||
| b* | 1.41 *** | −0.59 *** | 0.37 *** | 0.34 *** | ||||
| pH | 36.53 *** | −0.61 *** | 0.14 *** | |||||
| Ethanol stability | 4.81 *** | −0.77 *** | 0.23 *** | −0.07 ** | ||||
| Heat coagulation time | 0.66 *** | −0.44 *** | ||||||
© 2019 by the authors. Licensee MDPI, Basel, Switzerland. This article is an open access article distributed under the terms and conditions of the Creative Commons Attribution (CC BY) license (http://creativecommons.org/licenses/by/4.0/).
Share and Cite
Karlsson, M.A.; Lundh, Å.; Innings, F.; Höjer, A.; Wikström, M.; Langton, M. The Effect of Calcium, Citrate, and Urea on the Stability of Ultra-High Temperature Treated Milk: A Full Factorial Designed Study. Foods 2019, 8, 418. https://doi.org/10.3390/foods8090418
Karlsson MA, Lundh Å, Innings F, Höjer A, Wikström M, Langton M. The Effect of Calcium, Citrate, and Urea on the Stability of Ultra-High Temperature Treated Milk: A Full Factorial Designed Study. Foods. 2019; 8(9):418. https://doi.org/10.3390/foods8090418
Chicago/Turabian StyleKarlsson, Maria A., Åse Lundh, Fredrik Innings, Annika Höjer, Malin Wikström, and Maud Langton. 2019. "The Effect of Calcium, Citrate, and Urea on the Stability of Ultra-High Temperature Treated Milk: A Full Factorial Designed Study" Foods 8, no. 9: 418. https://doi.org/10.3390/foods8090418
APA StyleKarlsson, M. A., Lundh, Å., Innings, F., Höjer, A., Wikström, M., & Langton, M. (2019). The Effect of Calcium, Citrate, and Urea on the Stability of Ultra-High Temperature Treated Milk: A Full Factorial Designed Study. Foods, 8(9), 418. https://doi.org/10.3390/foods8090418

