From Emulsions to Films: The Role of Polysaccharide Matrices in Essential Oil Retention Within Active Packaging Films
Abstract
1. Introduction
2. Material and Methods
2.1. Materials
2.2. Obtaining Essential Oil from Orange Peel
2.3. Preparation of Film-Forming Emulsions and Edible Film Samples
2.4. Characterization of Film-Forming Emulsions
2.4.1. Microstructure
2.4.2. Droplet Size Distribution
2.4.3. Rheological Properties
2.5. Characterization of Edible Films
2.5.1. Morphology
2.5.2. Functional Groups
2.5.3. Physical Properties
2.5.4. Thermal Stability
2.6. Essential Oil Retention
2.7. Statistical Analysis
3. Results and Discussion
3.1. Effects of Biopolymeric Matrix on Film-Forming Emulsions
3.2. Film Properties
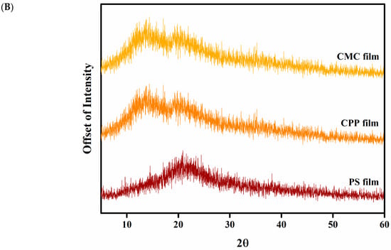
3.2.1. Morphology
3.2.2. Functional Groups
3.2.3. Physical Properties
3.2.4. Thermal Stability
3.3. Limonene Retention
4. Conclusions
Author Contributions
Funding
Institutional Review Board Statement
Informed Consent Statement
Data Availability Statement
Conflicts of Interest
References
- Masyita, A.; Mustika Sari, R.; Dwi Astuti, A.; Yasir, B.; Rahma Rumata, N.; Emran, T.B.; Nainu, F.; Simal-Gandara, J. Terpenes and terpenoids as main bioactive compounds of essential oils, their roles in human health and potential application as natural food preservatives. Food Chem. X 2022, 13, 100217. [Google Scholar] [CrossRef] [PubMed]
- Rout, S.; Tambe, S.; Deshmukh, R.K.; Mali, S.; Cruz, J.; Srivastav, P.P.; Amin, P.D.; Gaikwad, K.K.; Andrade, E.H.d.A.; Oliveira, M.S.d. Recent trends in the application of essential oils: The next generation of food preservation and food packaging. Trends Food Sci. Technol. 2022, 129, 421–439. [Google Scholar] [CrossRef]
- Cai, J.; Xiao, J.; Chen, X.; Liu, H. Essential oil loaded edible films prepared by continuous casting method: Effects of casting cycle and loading position on the release properties. Food Packag. Shelf Life 2020, 26, 100555. [Google Scholar] [CrossRef]
- Marzlan, A.A.; Muhialdin, B.J.; Zainal Abedin, N.H.; Manshoor, N.; Ranjith, F.H.; Anzian, A.; Meor Hussin, A.S. Incorporating torch ginger (Etlingera elatior Jack) inflorescence essential oil onto starch-based edible film towards sustainable active packaging for chicken meat. Ind. Crops Prod. 2022, 184, 115058. [Google Scholar] [CrossRef]
- Zhang, J.; Zhang, J.; Huang, X.; Shi, J.; Muhammad, A.; Zhai, X.; Xiao, J.; Li, Z.; Povey, M.; Zou, X. Study on cinnamon essential oil release performance based on pH-triggered dynamic mechanism of active packaging for meat preservation. Food Chem. 2023, 400, 134030. [Google Scholar] [CrossRef]
- Christaki, S.; Moschakis, T.; Kyriakoudi, A.; Biliaderis, C.G.; Mourtzinos, I. Recent advances in plant essential oils and extracts: Delivery systems and potential uses as preservatives and antioxidants in cheese. Trends Food Sci. Technol. 2021, 116, 264–278. [Google Scholar] [CrossRef]
- Mendes, J.F.; Norcino, L.B.; Martins, H.H.A.; Manrich, A.; Otoni, C.G.; Carvalho, E.E.N.; Piccoli, R.H.; Oliveira, J.E.; Pinheiro, A.C.M.; Mattoso, L.H.C. Correlating emulsion characteristics with the properties of active starch films loaded with lemongrass essential oil. Food Hydrocoll. 2020, 100, 105428. [Google Scholar] [CrossRef]
- Fernandes, R.V.d.B.; Silva, E.K.; Borges, S.V.; de Oliveira, C.R.; Yoshida, M.I.; da Silva, Y.F.; do Carmo, E.L.; Azevedo, V.M.; Botrel, D.A. Proposing Novel Encapsulating Matrices for Spray-Dried Ginger Essential Oil from the Whey Protein Isolate-Inulin/Maltodextrin Blends. Food Bioprocess Technol. 2017, 10, 115–130. [Google Scholar] [CrossRef]
- Fernandes, R.V.d.B.; Borges, S.V.; Botrel, D.A. Gum arabic/starch/maltodextrin/inulin as wall materials on the microencapsulation of rosemary essential oil. Carbohydr. Polym. 2014, 101, 524–532. [Google Scholar] [CrossRef]
- Strieder, M.M.; Neves, M.I.L.; Silva, E.K.; Meireles, M.A.A. Low-frequency and high-power ultrasound-assisted production of natural blue colorant from the milk and unripe Genipa americana L. Ultrason. SonoChem. 2020, 66, 105068. [Google Scholar] [CrossRef]
- Toledo Hijo, A.A.C.; Guinosa, R.E.; Silva, E.K. Ultrasound emulsification energy strategies impact the encapsulation efficiency of essential oils in colloidal systems. J. Mol. Liq. 2022, 358, 119179. [Google Scholar] [CrossRef]
- Bocker, R.; Silva, E.K. Sustainable pectin-based film for carrying phenolic compounds and essential oil from Citrus sinensis peel waste. Food Biosci. 2024, 61, 104526. [Google Scholar] [CrossRef]
- Shektaei, Z.A.; Pourehsan, M.M.; Bagheri, V.; Ghasempour, Z.; Mahmoudzadeh, M.; Ehsani, A. Physico-chemical and antimicrobial characteristics of novel biodegradable films based on gellan and carboxymethyl cellulose containing rosemary essential oil. Int. J. Biol. Macromol. 2023, 234, 122944. [Google Scholar] [CrossRef]
- Liu, Z.; Zhao, M.; Zhang, Z.; Li, C.; Xia, G.; Shi, H.; Liu, Z. Chitosan-based edible film incorporated with wampee (Clausena lansium) seed essential oil: Preparation, characterization and biological activities. Int. J. Biol. Macromol. 2023, 253, 127683. [Google Scholar] [CrossRef]
- Akhter, R.; Masoodi, F.A.; Wani, T.A. Chitosan, gelatin and pectin based bionanocomposite films with rosemary essential oil as an active ingredient for future foods. Int. J. Biol. Macromol. 2024, 272, 132813. [Google Scholar] [CrossRef]
- Bhatia, S.; Shah, Y.A.; Al-Harrasi, A.; Alhadhrami, A.S.; ALHashmi, D.S.H.; Jawad, M.; Dıblan, S.; Al Dawery, S.K.H.; Esatbeyoglu, T.; Anwer, M.K. Characterization of biodegradable films based on guar gum and calcium caseinate incorporated with clary sage oil: Rheological, physicochemical, antioxidant, and antimicrobial properties. J. Agric. Food Res. 2024, 15, 100948. [Google Scholar] [CrossRef]
- Tarique, J.; Sapuan, S.M.; Khalina, A. Effect of glycerol plasticizer loading on the physical, mechanical, thermal, and barrier properties of arrowroot (Maranta arundinacea) starch biopolymers. Sci. Rep. 2021, 11, 13900. [Google Scholar] [CrossRef]
- Seyedzadeh-Hashemi, S.; Mofid, V.; Hosseini, S.M.; Gharibzahedi, S.M.T.; Mortazavian, A.M.; Shojaee-Aliabadi, S. Characterization of synbiotic films based on carboxymethyl cellulose/β-glucan and development of a shelf life prediction model. Food Biosci. 2023, 51, 102228. [Google Scholar] [CrossRef]
- Liu, M.; He, C.; Chen, W.; Li, Y.; Yang, N.; Chen, X.; Xue, J.; Wang, X.; Lu, A.; Xu, Z.; et al. Carboxymethyl chitosan/peach gum polysaccharide packaging film incorporating Citrus sinensis essential oil effectively enhances the quality preservation of strawberries. Food Packag. Shelf Life 2024, 46, 101409. [Google Scholar] [CrossRef]
- Hillgren, A.; Lindgren, J.; Alden, M. Protection mechanism of Tween 80 during freeze-thawing of a model protein, LDH. Int. J. Pharm. 2002, 237, 57–69. [Google Scholar] [CrossRef]
- Khan, Y.; Durrani, S.K.; Siddique, M.; Mehmood, M. Hydrothermal synthesis of alpha Fe2O3 nanoparticles capped by Tween-80. Mater. Lett. 2011, 65, 2224–2227. [Google Scholar] [CrossRef]
- Santos, F.N.D.; Souza, E.J.D.; Pires, J.B.; Crizel, R.L.; Cruz, E.P.D.; Kroning, I.S.; Fonseca, L.M.; Assis, L.M.; Lopes, G.V.; Dias, A.R.G.; et al. Orange peel essential oil in rice starch encapsulating material for antimicrobial application against Escherichia coli. Int. J. Biol. Macromol. 2024, 289, 138955. [Google Scholar] [CrossRef]
- Scarcella, J.V.; Lopes, M.S.; Silva, E.K.; Andrade, G.S.S. Valorization of okara by-product for obtaining soluble dietary fibers and their use in biodegradable carboxymethyl cellulose-based film. Int. J. Biol. Macromol. 2024, 280, 136032. [Google Scholar] [CrossRef] [PubMed]
- Tabassum; Babu, A.; Ahmed, H.S.; Naik, T.; K. P., B.; Jeevan Prasad Reddy, D.; Prabhakar, P.R.; C. S., V.B.; Varaprasad, K.; Keshava Murthy, P.S. Development of antibacterial edible films for food packaging using tragacanth gum, carrageenan, and clove essential oil. J. Appl. Polym. Sci. 2024, 141, e55495. [Google Scholar] [CrossRef]
- Qi, W.; Tong, X.; Wang, M.; Liu, S.; Cheng, J.; Wang, H. Impact of soybean protein isolate concentration on chitosan-cellulose nanofiber edible films: Focus on structure and properties. Int. J. Biol. Macromol. 2024, 255, 128185. [Google Scholar] [CrossRef] [PubMed]
- Iqbal, S.Z.; Haider, A.; Rehman, F.U.; Cui, G.; Waseem, M.; Iqbal, M.; Mousavi Khaneghah, A. Application of carboxymethylcellulose in combination with essential oils nano-emulsions edible coating for the preservation of kiwifruit. Int. J. Biol. Macromol. 2024, 261, 129947. [Google Scholar] [CrossRef]
- Azevedo, V.M.; Dias, M.V.; Borges, S.V.; Costa, A.L.R.; Silva, E.K.; Medeiros, É.A.A.; Soares, N.d.F.F. Development of whey protein isolate bio-nanocomposites: Effect of montmorillonite and citric acid on structural, thermal, morphological and mechanical properties. Food Hydrocoll. 2015, 48, 179–188. [Google Scholar] [CrossRef]
- Baghi, F.; Gharsallaoui, A.; Dumas, E.; Agusti, G.; Ghnimi, S. Characterization of antimicrobial multilayer film based on ethylcellulose-pectin incorporated with nanoemulsions of trans-cinnamaldehyde essential oil. Food Chem. X 2024, 22, 101261. [Google Scholar] [CrossRef]
- Zhou, Y.; Wu, X.; Chen, J.; He, J. Effects of cinnamon essential oil on the physical, mechanical, structural and thermal properties of cassava starch-based edible films. Int. J. Biol. Macromol. 2021, 184, 574–583. [Google Scholar] [CrossRef]
- Mei, L.; Shi, L.; Song, X.; Liu, S.; Cheng, Q.; Zhu, K.; Zhuge, R. Characterization of Carboxymethyl Cellulose Films Incorporated with Chinese Fir Essential Oil and Their Application to Quality Improvement of Shine Muscat Grape. Coatings 2021, 11, 97. [Google Scholar] [CrossRef]
- Atta, O.M.; Manan, S.; Ul-Islam, M.; Ahmed, A.A.Q.; Ullah, M.W.; Yang, G. Development and characterization of plant oil-incorporated carboxymethyl cellulose/bacterial cellulose/glycerol-based antimicrobial edible films for food packaging applications. Adv. Compos. Hybrid Mater. 2022, 5, 973–990. [Google Scholar] [CrossRef]








| Film-Forming Emulsion | D3,2 (µm) | D4,3 (µm) | Apparent Viscosity at 101 s−1 (Pa.s) | k (Pa.sn) | n | R2 |
|---|---|---|---|---|---|---|
| CMC | 1.57 ± 0.01 b | 1.71 ± 0.02 b | 0.15 ± 0.01 a | 0.274 ± 0.004 a | 0.87 ± 0.01 b | 0.999 |
| CPP | 1.0 ± 0.1 c | 1.2 ± 0.1 b | 0.093 ± 0.005 b | 0.12 ± 0.01 b | 0.952 ± 0.002 a | 0.999 |
| PS | 7.01 ± 0.05 a | 35 ± 5 a | 0.019 ± 0.002 c | 0.082 ± 0.004 c | 0.69 ± 0.01 c | 0.998 |
Disclaimer/Publisher’s Note: The statements, opinions and data contained in all publications are solely those of the individual author(s) and contributor(s) and not of MDPI and/or the editor(s). MDPI and/or the editor(s) disclaim responsibility for any injury to people or property resulting from any ideas, methods, instructions or products referred to in the content. |
© 2025 by the authors. Licensee MDPI, Basel, Switzerland. This article is an open access article distributed under the terms and conditions of the Creative Commons Attribution (CC BY) license (https://creativecommons.org/licenses/by/4.0/).
Share and Cite
Nahas, E.O.; Furtado, G.F.; Lopes, M.S.; Silva, E.K. From Emulsions to Films: The Role of Polysaccharide Matrices in Essential Oil Retention Within Active Packaging Films. Foods 2025, 14, 1501. https://doi.org/10.3390/foods14091501
Nahas EO, Furtado GF, Lopes MS, Silva EK. From Emulsions to Films: The Role of Polysaccharide Matrices in Essential Oil Retention Within Active Packaging Films. Foods. 2025; 14(9):1501. https://doi.org/10.3390/foods14091501
Chicago/Turabian StyleNahas, Elisa Othero, Guilherme F. Furtado, Melina S. Lopes, and Eric Keven Silva. 2025. "From Emulsions to Films: The Role of Polysaccharide Matrices in Essential Oil Retention Within Active Packaging Films" Foods 14, no. 9: 1501. https://doi.org/10.3390/foods14091501
APA StyleNahas, E. O., Furtado, G. F., Lopes, M. S., & Silva, E. K. (2025). From Emulsions to Films: The Role of Polysaccharide Matrices in Essential Oil Retention Within Active Packaging Films. Foods, 14(9), 1501. https://doi.org/10.3390/foods14091501

