Study of Lysozyme Activity in Bird Egg Whites by Fluorescence Polarization Assay Using Chitooligosaccharide Tracer
Abstract
1. Introduction
2. Materials and Methods
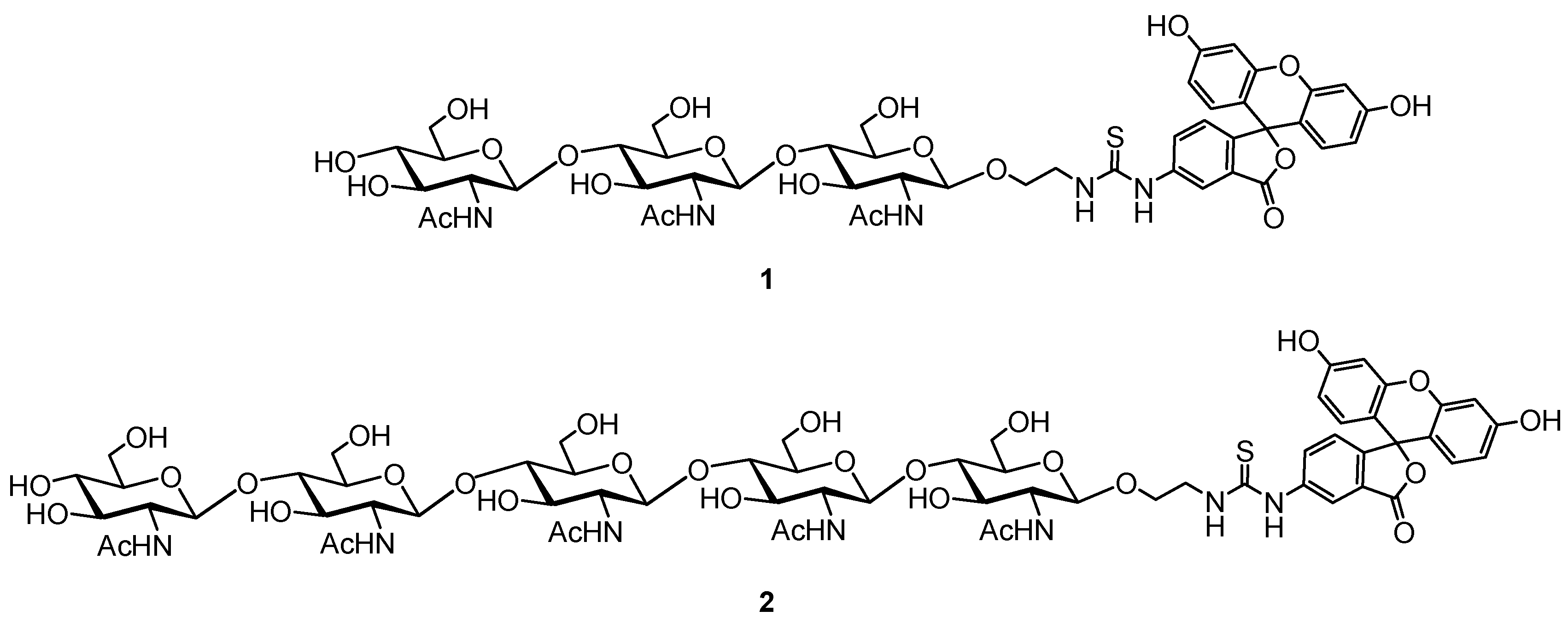
2.1. Reagents and Materials
2.2. Polarization Fluorescence Analysis
3. Results
4. Discussion
5. Conclusions
Author Contributions
Funding
Institutional Review Board Statement
Informed Consent Statement
Data Availability Statement
Conflicts of Interest
References
- de Paz, J.L.; Nieto, P.M. Fluorescence Polarization Assays to Study Carbohydrate-Protein Interactions. Org. Biomol. Chem. 2025, 23, 2041–2058. [Google Scholar] [CrossRef] [PubMed]
- Jolley, M.E. Fluorescence Polarization Assays for the Detection of Proteases and Their Inhibitors. SLAS Discov. 1996, 1, 33–38. [Google Scholar] [CrossRef]
- Liu, L.; Zhao, Q. A Simple Fluorescence Anisotropy Assay for Detection of Bisphenol A Using Fluorescently Labeled Aptamer. J. Environ. Sci. China 2020, 97, 19–24. [Google Scholar] [CrossRef] [PubMed]
- Nishiyama, K.; Fukuyama, M.; Maeki, M.; Ishida, A.; Tani, H.; Hibara, A.; Tokeshi, M. One-Step Non-Competitive Fluorescence Polarization Immunoassay Based on a Fab Fragment for C-Reactive Protein Quantification. Sens. Actuators B Chem. 2021, 326, 128982. [Google Scholar] [CrossRef]
- Simon, L.; Szakács, Z.; Gyurcsányi, R.E. Star-Shaped Flexible Arm Multivalent Aptamers for Largely Improved Virus Binding Affinity. Sens. Actuators B Chem. 2025, 422, 136520. [Google Scholar] [CrossRef]
- Eremin, S.A.; Mukhametova, L.I.; Krylov, V.B.; Nifantiev, N.E. Fluorescence Polarization Assay for Infection Diagnostics: A Review. Molecules 2024, 29, 4712. [Google Scholar] [CrossRef]
- Qi, J.; Oppenheimer, M.; Sobrado, P. Fluorescence Polarization Binding Assay for Aspergillus Fumigatus Virulence Factor UDP-Galactopyranose Mutase. Enzyme Res. 2011, 2011, 513905. [Google Scholar] [CrossRef]
- Tsuji, K.; Tamamura, H.; Burke, T.R. Fine-Tuning Probes for Fluorescence Polarization Binding Assays of Bivalent Ligands against Polo-like Kinase 1 Using Full-Length Protein. Bioorg. Med. Chem. 2025, 119, 118055. [Google Scholar] [CrossRef]
- James, N.G.; Jameson, D.M. Steady-State Fluorescence Polarization/Anisotropy for the Study of Protein Interactions. In Fluorescence Spectroscopy and Microscopy; Methods in Molecular Biology; Engelborghs, Y., Visser, A.J.W.G., Eds.; Humana Press: Totowa, NJ, USA, 2014; Volume 1076, pp. 29–42. ISBN 978-1-62703-648-1. [Google Scholar]
- Voronov, S.V.; Binevski, P.V.; Zueva, N.A.; Palyulin, V.A.; Baskin, I.I.; Orlova, M.A.; Kost, O.A. Structure-Functional Features of Homologous Domains of Angiotensin-Converting Enzyme. Russ. J. Bioorganic Chem. 2003, 29, 426–433. [Google Scholar] [CrossRef]
- Lesnierowski, G.; Stangierski, J. What’s New in Chicken Egg Research and Technology for Human Health Promotion?—A Review. Trends Food Sci. Technol. 2018, 71, 46–51. [Google Scholar] [CrossRef]
- Gálvez-Iriqui, A.C.; Plascencia-Jatomea, M.; Bautista-Baños, S. Lysozymes: Characteristics, Mechanism of Action and Technological Applications on the Control of Pathogenic Microorganisms. Rev. Mex. De Fitopatol. 2020, 38, 3. [Google Scholar] [CrossRef]
- Tanaka, I.; Nishinomiya, R.; Goto, R.; Shimazaki, S.; Chatake, T. Recent Structural Insights into the Mechanism of Lysozyme Hydrolysis. Acta Crystallogr. Sect. Struct. Biol. 2021, 77, 288–292. [Google Scholar] [CrossRef] [PubMed]
- Nawaz, N.; Wen, S.; Wang, F.; Nawaz, S.; Raza, J.; Iftikhar, M.; Usman, M. Lysozyme and Its Application as Antibacterial Agent in Food Industry. Molecules 2022, 27, 6305. [Google Scholar] [CrossRef] [PubMed]
- Bergamo, A.; Sava, G. Lysozyme: A Natural Product with Multiple and Useful Antiviral Properties. Molecules 2024, 29, 652. [Google Scholar] [CrossRef]
- Jolles, P.; Jolles, J. What’s New in Lysozyme Research?: Always a Model System, Today as Yesterday. Mol. Cell. Biochem. 1984, 63, 165–189. [Google Scholar] [CrossRef]
- Callewaert, L.; Michiels, C.W. Lysozymes in the Animal Kingdom. J. Biosci. 2010, 35, 127–160. [Google Scholar] [CrossRef]
- Ferraboschi, P.; Ciceri, S.; Grisenti, P. Applications of Lysozyme, an Innate Immune Defense Factor, as an Alternative Antibiotic. Antibiotics 2021, 10, 1534. [Google Scholar] [CrossRef]
- Maier, F.I.; Klinger, D.; Grieshober, M.; Noschka, R.; Rodriguez, A.; Wiese, S.; Forssmann, W.-G.; Ständker, L.; Stenger, S. Lysozyme: An Endogenous Antimicrobial Protein with Potent Activity against Extracellular, but Not Intracellular Mycobacterium Tuberculosis. Med. Microbiol. Immunol. 2024, 213, 9. [Google Scholar] [CrossRef]
- Martinez-Castillo, M.; Ramírez-Rico, G.; Shibayama, M.; de la Garza, M.; Serrano-Luna, J. Lactoferrin and Lysozyme Inhibit the Proteolytic Activity and Cytopathic Effect of Naegleria Fowleri Enzymes. Pathogens 2024, 13, 44. [Google Scholar] [CrossRef]
- Osuna-Gómez, R.; Mulet, M.; Barril, S.; Cantó, E.; Millan-Billi, P.; Pardessus, A.; de la Rosa-Carrillo, D.; Castillo, D.; Vidal, S. Levels of Lysozyme and SLPI in Bronchoalveolar Lavage: Exploring Their Role in Interstitial Lung Disease. Int. J. Mol. Sci. 2024, 25, 4297. [Google Scholar] [CrossRef]
- Kar, R.K.; Gazova, Z.; Bednarikova, Z.; Mroue, K.H.; Ghosh, A.; Zhang, R.; Ulicna, K.; Siebert, H.-C.; Nifantiev, N.E.; Bhunia, A. Evidence for Inhibition of Lysozyme Amyloid Fibrillization by Peptide Fragments from Human Lysozyme: A Combined Spectroscopy, Microscopy, and Docking Study. Biomacromolecules 2016, 17, 1998–2009. [Google Scholar] [CrossRef] [PubMed]
- Zhang, R.; Wu, L.; Eckert, T.; Burg-Roderfeld, M.; Rojas-Macias, M.A.; Lütteke, T.; Krylov, V.B.; Argunov, D.A.; Datta, A.; Markart, P.; et al. Lysozyme’s Lectin-like Characteristics Facilitates Its Immune Defense Function. Q. Rev. Biophys. 2017, 50, e9. [Google Scholar] [CrossRef] [PubMed]
- Maeda, H. A New Lysozyme Assay Based on Fluorescence Polarization or Fluorescence Intensity Utilizing a Fluorescent Peptidoglycan Substrate 1. J. Biochem. 1980, 88, 1185–1191. [Google Scholar] [CrossRef]
- Okamoto, T.; Ueda, K.; Maeda, H.; Kambara, T. Determination of Lysozyme Activity by Fluorescence Polarization in Rheumatoid Synovial Fluids and Release of Lysozyme from Polymorphonuclear Leukocytes by Chemotactic Factors. J. Immunol. Methods 1987, 103, 221–227. [Google Scholar] [CrossRef] [PubMed]
- Mukhametova, L.I.; Zherdev, D.O.; Kuznetsov, A.N.; Yudina, O.N.; Tsvetkov, Y.E.; Eremin, S.A.; Krylov, V.B.; Nifantiev, N.E. Fluorescence-Polarization-Based Assaying of Lysozyme with Chitooligosaccharide Tracers. Biomolecules 2024, 14, 170. [Google Scholar] [CrossRef]
- Mukhametova, L.I.; Zherdev, D.O.; Eremin, S.A.; Levashov, P.A.; Siebert, H.-C.; Tsvetkov, Y.E.; Yudina, O.N.; Krylov, V.B.; Nifantiev, N.E. Application of the Chitooligosaccharides and Fluorescence Polarization Technique for the Assay of Active Lysozyme in Hen Egg White. Biomolecules 2024, 14, 1589. [Google Scholar] [CrossRef]
- Bachali, S.; Jager, M.; Hassanin, A.; Schoentgen, F.; Jollès, P.; Fiala-Medioni, A.; Deutsch, J.S. Phylogenetic analysis of invertebrate lysozymes and the evolution of lysozyme function. J. Mol. Evol. 2002, 54, 652. [Google Scholar] [CrossRef]
- Yu, L.; Sun, B.; Li, J.; Sun, L. Characterization of a C-Type Lysozyme of Scophthalmus Maximus: Expression, Activity, and Antibacterial Effect. Fish Shellfish Immunol. 2013, 34, 46–54. [Google Scholar] [CrossRef]
- Prager, E.M.; Wilson, A.C.; Arnheim, N. Widespread Distribution of Lysozyme g in Egg White of Birds. J. Biol. Chem. 1974, 249, 7295–7297. [Google Scholar] [CrossRef]
- Seppola, M.; Bakkemo, K.R.; Mikkelsen, H.; Myrnes, B.; Helland, R.; Irwin, D.M.; Nilsen, I.W. Multiple Specialised Goose-Type Lysozymes Potentially Compensate for an Exceptional Lack of Chicken-Type Lysozymes in Atlantic Cod. Sci. Rep. 2016, 6, 28318. [Google Scholar] [CrossRef]
- Hindenburg, A.; Spitznagel, J.; Arnheim, N. Isozymes of Lysozyme in Leukocytes and Egg White: Evidence for the Species-Specific Control of Egg-White Lysozyme Synthesis. Proc. Natl. Acad. Sci. USA 1974, 71, 1653–1657. [Google Scholar] [CrossRef] [PubMed]
- Aggreza, S.P.; Budiman, C.; Wulandari, Z. Characterization of Egg White Lysozyme from Local Duck Mojosari and Alabio. J. Ilmu Produksi Dan Teknol. Has. Peternak. 2024, 12, 82–93. [Google Scholar] [CrossRef]
- Linares Violante, B.; Minami, A.; Koyanagi, T.; Yano, T.; Ebihara, M.; Honda, Y. Characterization of Lysozyme from Brown Eared Pheasant Egg White. J. Appl. Glycosci. 2015, 62, 15–19. [Google Scholar] [CrossRef] [PubMed]
- Fukamizo, T.; Torikata, T.; Nagayama, T.; Minematsu, T.; Hayashi, K. Enzymatic Activity of Avian Egg-White Lysozymes. J. Biochem. 1983, 94, 115–122. [Google Scholar] [CrossRef]
- Arnheim, N.; Steller, R. Multiple Genes for Lysozyme in Birds. Arch. Biochem. Biophys. 1970, 141, 656–661. [Google Scholar] [CrossRef]
- Jollès, J.; Périn, J.-P.; Jollès, P. The Ostrich (Struthio Camelus) Egg-White Lysozyme. Mol. Cell. Biochem. 1977, 17, 39–44. [Google Scholar] [CrossRef]
- Leśnierowski, G.; Yang, T. Lysozyme and Its Modified Forms: A Critical Appraisal of Selected Properties and Potential. Trends Food Sci. Technol. 2021, 107, 333–342. [Google Scholar] [CrossRef]
- Jolles, J.; Ibrahimi, I.M.; Prager, E.M.; Schoentgen, F.; Jolles, P.; Wilson, A.C. Lysozymes. III. Amino Acid Sequence of Pheasant Lysozyme. Evolutionary Change Affecting Processing of Prelysozyme. Biochemistry 1979, 18, 2744–2752. [Google Scholar] [CrossRef]
- Weth, F.; Schroeder, T.; Buxtorf, U.P. Determination of Lysozyme Content in Eggs and Egg Products Using SDS-Gel Electrophoresis. Z. Lebensm.-Unters. Forsch. 1988, 187, 541–545. [Google Scholar] [CrossRef]
- Turner, M.A.; Howell, P.L. Structures of Partridge Egg-white Lysozyme with and without Tri-N-acetylchitotriose Inhibitor at 1.9 Å Resolution. Protein Sci. 1995, 4, 442–449. [Google Scholar] [CrossRef]
- Howell, P.L.; Almo, S.C.; Parsons, M.R.; Hajdu, J.; Petsko, G.A. Structure Determination of Turkey Egg-White Lysozyme Using Laue Diffraction Data. Acta Crystallogr. B 1992, 48, 200–207. [Google Scholar] [CrossRef] [PubMed]
- Kaneda, M.; Kato, I.; Tominaga, N.; Titani, K.; Narita, K. The Amino Acid Sequence of Quail Lysozyme. J. Biochem. 1969, 66, 747–749. [Google Scholar] [PubMed]
- Thammasirirak, S.; Preecharram, S.; Ponkham, P.; Daduang, S.; Araki, T.; Svasti, J. New Variant of Quail Egg White Lysozyme Identified by Peptide Mapping. Comp. Biochem. Physiol. B Biochem. Mol. Biol. 2007, 147, 314–324. [Google Scholar] [CrossRef] [PubMed]
- Javůrková, V.; Krkavcová, E.; Kreisinger, J.; Hyršl, P.; Hyánková, L. Effects of Experimentally Increased in Ovo Lysozyme on Egg Hatchability, Chicks Complement Activity, and Phenotype in a Precocial Bird. J. Exp. Zool. Part A Ecol. Genet. Physiol. 2015, 323, 497–505. [Google Scholar] [CrossRef]
- Biesek, J.; Wlaźlak, S.; Adamski, M. Pheasant Hatchability and Physicochemical Features of Egg and Extra-Embryonic Structures Depending on Eggshell Color. Poult. Sci. 2024, 103, 103338. [Google Scholar] [CrossRef]
- Chatzidimitriou, E.; Davis, H.; Baranski, M.; Jakobsen, J.; Seal, C.; Leifert, C.; Butler, G. Variation in Nutritional Quality in UK Retail Eggs. Food Chem. 2024, 454, 139783. [Google Scholar] [CrossRef]
- Wilcox, F.H. Evidence for an Association Between the Lysozyme Level and the Quality of Egg White. Poult. Sci. 1955, 34, 1170–1172. [Google Scholar] [CrossRef]
- Hu, J.; Wu, A.; Liu, L.; Qu, A.; Xu, C.; Kuang, H. Rapid and Sensitive Quantitation of Hen Egg-White Lysozyme in Foods Using Paper Sensor. Food Chem. 2025, 469, 142541. [Google Scholar] [CrossRef]
- Berezin, I.V.; Klesov, A.A.; Rabinovich, M.L. Kinetics of Enzymatic Reactions in Heterogeneous Systems. I. The Kinetic Regularities for the Bacterial Cell Micrococcus Lysodeikticus. Bioorganicheskaya Khimiya 1976, 2, 680–688. [Google Scholar]
- Pisarzhevsky, S.A.; Globa, A.G.; Shirshov, O.N.; Marchuk, A.I.; Svetukhin, A.M.; Karelin, A.A. Method for Determining Lysozyme Activity in Blood Serum Using Chitinazur as a Substrate. Issues Med. Chem. 1977, 43, 185–190. [Google Scholar]
- Helal, R.; Melzig, M.F. Determination of Lysozyme Activity by a Fluorescence Technique in Comparison with the Classical Turbidity Assay. Pharm. 2008, 63, 415–419. [Google Scholar]
- Malcolm, B.A.; Rosenberg, S.; Corey, M.J.; Allen, J.S.; De Baetselier, A.; Kirsch, J.F. Site-Directed Mutagenesis of the Catalytic Residues Asp-52 and Glu-35 of Chicken Egg White Lysozyme. Proc. Natl. Acad. Sci. 1989, 86, 133–137. [Google Scholar] [CrossRef] [PubMed]
- Araki, T.; Kudo, K.; Kuramoto, M.; Torikata, T. The Amino Acid Sequence of Indian Peafowl (Pavo Cristatus) Lysozyme and Its Comparison with Lysozymes from Phasianoid Birds. Agric. Biol. Chem. 1989, 53, 2955–2962. [Google Scholar] [CrossRef]
- Langley, D.B.; Crossett, B.; Schofield, P.; Jackson, J.; Zeraati, M.; Maltby, D.; Christie, M.; Burnett, D.; Brink, R.; Goodnow, C.; et al. Structural Basis of Antigen Recognition: Crystal Structure of Duck Egg Lysozyme. Acta Crystallogr. Sect. Struct. Biol. 2017, 73, 910–920. [Google Scholar] [CrossRef]
- Ohmura, T.; Ueda, T.; Motoshima, H.; Tamura, T.; Imoto, T. Analysis of the Stability of Mutant Lysozymes at Position 15 Using X-Ray Crystallography. J. Biochem. 1997, 122, 512–517. [Google Scholar] [CrossRef]
- Weaver, L.H.; Grütter, M.G.; Remington, S.J.; Gray, T.M.; Isaacs, N.W.; Matthews, B.W. Comparison of Goose-Type, Chicken-Type, and Phage-Type Lysozymes Illustrates the Changes That Occur in Both Amino Acid Sequence and Three-Dimensional Structure during Evolution. J. Mol. Evol. 1984, 21, 97–111. [Google Scholar] [CrossRef]






| Lysozymes | ||
|---|---|---|
| C Type (Hen) | G Type (Goose) | |
| Molecular Weight, Da | 14,500 | 20,500 |
| Cys Content (residues/mole) | 8 | 4 |
| Trp Content (residues/mole) | 6 | 3 |
| Specific Activity | 1 | 6 ± 0.5 |
| Inhibition by GlcNAc | high | almost none |
| Source of Lysozyme | Type | Amino Acid | Amount of Lysozymein Egg Whites | References |
|---|---|---|---|---|
| Chicken egg white | c | 129 | 2500–3500 µg/mL | [38] |
| Duck egg white | c | 130 | 1000–1300 µg/mL | [38] |
| Pheasant egg white | c | 129 | ND * | [39,40] |
| Partridge egg white | c | 129 | ND * | [41] |
| Turkey egg white | c | 129 | ND * | [42] |
| Peacock egg white | c | 129 | ND * | [32] |
| Quail egg white | c | 129,130 | ND * | [43,44] |
| Goose egg white | g | 181 | 500–700 µg/mL | [38] |
| Ostrich egg white | g | 178 | 180 mg–530 mg/kg | [38] |
Disclaimer/Publisher’s Note: The statements, opinions and data contained in all publications are solely those of the individual author(s) and contributor(s) and not of MDPI and/or the editor(s). MDPI and/or the editor(s) disclaim responsibility for any injury to people or property resulting from any ideas, methods, instructions or products referred to in the content. |
© 2025 by the authors. Licensee MDPI, Basel, Switzerland. This article is an open access article distributed under the terms and conditions of the Creative Commons Attribution (CC BY) license (https://creativecommons.org/licenses/by/4.0/).
Share and Cite
Mukhametova, L.I.; Zherdev, D.O.; Kuznetsov, A.N.; Yudina, O.N.; Eremin, S.A.; Krylov, V.B.; Nifantiev, N.E. Study of Lysozyme Activity in Bird Egg Whites by Fluorescence Polarization Assay Using Chitooligosaccharide Tracer. Foods 2025, 14, 1365. https://doi.org/10.3390/foods14081365
Mukhametova LI, Zherdev DO, Kuznetsov AN, Yudina ON, Eremin SA, Krylov VB, Nifantiev NE. Study of Lysozyme Activity in Bird Egg Whites by Fluorescence Polarization Assay Using Chitooligosaccharide Tracer. Foods. 2025; 14(8):1365. https://doi.org/10.3390/foods14081365
Chicago/Turabian StyleMukhametova, Liliya I., Dmitry O. Zherdev, Anton N. Kuznetsov, Olga N. Yudina, Sergei A. Eremin, Vadim B. Krylov, and Nikolay E. Nifantiev. 2025. "Study of Lysozyme Activity in Bird Egg Whites by Fluorescence Polarization Assay Using Chitooligosaccharide Tracer" Foods 14, no. 8: 1365. https://doi.org/10.3390/foods14081365
APA StyleMukhametova, L. I., Zherdev, D. O., Kuznetsov, A. N., Yudina, O. N., Eremin, S. A., Krylov, V. B., & Nifantiev, N. E. (2025). Study of Lysozyme Activity in Bird Egg Whites by Fluorescence Polarization Assay Using Chitooligosaccharide Tracer. Foods, 14(8), 1365. https://doi.org/10.3390/foods14081365

