Bleaching of Idesia polycarpa Maxim. Oil Using a Metal-Organic Framework-Based Adsorbent: Kinetics and Adsorption Isotherms
Abstract
1. Introduction
2. Materials and Methods
2.1. Materials
2.2. Synthesis and Characterization of MOF Adsorbents
2.3. Bleaching Experiments
2.4. Determination of Carotenoids, Lutein, and β-Carotene
2.5. Determination of Bleaching Efficiency
2.6. Determination of Phytosterols and Squalene Content
2.7. Determination of Free Fatty Acid (FFA) Content
2.8. Kinetic Experiments
2.9. Adsorption Equilibrium Experiments
2.10. Thermodynamic Experiments and Determination of Parameters
2.11. Determination of Reusability of MIL-88B(Fe)
2.12. Determination of Fe Content in Bleached Oil
2.13. Statistical Analysis
3. Results and Discussion
3.1. Synthesis and Characterization of MIL-88B(Fe)
3.2. Evaluation of the Bleaching Effect of MIL-88B(Fe)
3.3. Adsorption Kinetics of MIL-88B(Fe)
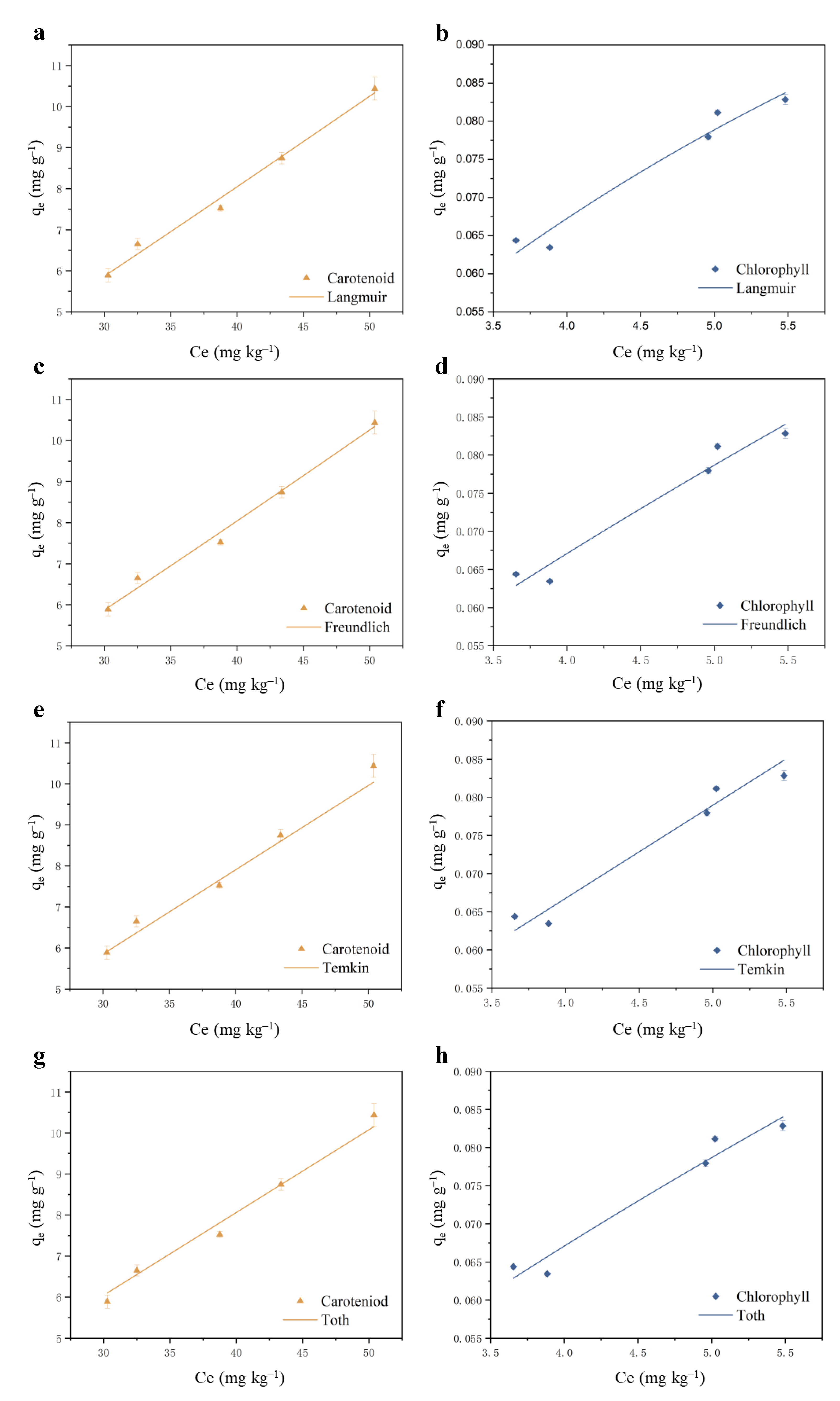
3.4. Adsorption Isotherms for MIL-88B(Fe)
3.5. Adsorption Thermodynamics of MIL-88B(Fe)
3.6. Reusability and Safety of MIL-88B(Fe)
4. Conclusions
Supplementary Materials
Author Contributions
Funding
Institutional Review Board Statement
Informed Consent Statement
Data Availability Statement
Conflicts of Interest
References
- Yang, H.; Fan, F.; Wang, C.; Xi, Z.; Wang, J.; Liu, L. Cloning and analysis of LTR-type retrotransposon RT sequence of Idesia polycarpa Maxim. Gene Rep. 2023, 33, 101842. [Google Scholar] [CrossRef]
- Huang, L.; Zeng, Y.; Li, F.; Zheng, X.; Rao, Q.; Gajendran, B.; Varier, K.M.; Peng, T.; Tang, L. Polyphenolic compounds from Idesia polycarpa Maxim. fruits ameliorate non-alcoholic fatty liver disease by modulating lipid metabolism in oleic acid-induced HepG2 cells and high-fat diet-induced mice. J. Funct. Foods 2023, 108, 105715. [Google Scholar] [CrossRef]
- Ye, Y.; Jia, R.-R.; Tang, L.; Chen, F. In Vivo Antioxidant and Anti-Skin-Aging Activities of Ethyl Acetate Extraction from Idesia polycarpa Defatted Fruit Residue in Aging Mice Induced by D-Galactose. Evid.-Based Complement. Altern. Med. 2014, 2014, 185716. [Google Scholar] [CrossRef] [PubMed]
- Dou, L.; Zhang, Z.; Yang, W.; Chen, Y.; Luo, K.; Kan, J. Separation and purification of antioxidant peptides from Idesia polycarpa Maxim. cake meal and study of conformational relationship between them. Food Sci. Nutr. 2024, 12, 6206–6225. [Google Scholar] [CrossRef]
- Bunthan, M. Laysreng Pov, Sela Kong, Manit Say, Yukleav Nat, Chin Ping Tan, Reasmey Tan. Study of Kinetic Model for the Adsorption of β-carotene on Activated Bleaching Earth in the Bleaching of Cambodian Soybean Oil. J. Food Sci. Nutr. Res. 2024, 7, 37–43. [Google Scholar] [CrossRef]
- Pohndorf, R.S.; Cadaval, T.R.S.; Pinto, L.A.A. Kinetics and thermodynamics adsorption of carotenoids and chlorophylls in rice bran oil bleaching. J. Food Eng. 2016, 185, 9–16. [Google Scholar] [CrossRef]
- Monte, M.L.; Monte, M.L.; Pohndorf, R.S.; Crexi, V.T.; Pinto, L.A.A. Bleaching with blends of bleaching earth and activated carbon reduces color and oxidation products of carp oil. Eur. J. Lipid Sci. Technol. 2015, 117, 829–836. [Google Scholar] [CrossRef]
- Almeida, E.S.; Carvalho, A.C.B.; Soares, I.O.d.S.; Valadares, L.F.; Mendonça, A.R.V.; Silva, I.J., Jr.; Monteiro, S. Elucidating how two different types of bleaching earths widely used in vegetable oils industry remove carotenes from palm oil: Equilibrium, kinetics and thermodynamic parameters. Food Res. Int. 2019, 121, 785–797. [Google Scholar] [CrossRef]
- Annamalai, J.; Murugan, P.; Ganapathy, D.; Nallaswamy, D.; Atchudan, R.; Arya, S.; Khosla, A.; Barathi, S.; Sundramoorthy, A.K. Synthesis of various dimensional metal organic frameworks (MOFs) and their hybrid composites for emerging applications—A review. Chemosphere 2022, 298, 134184. [Google Scholar] [CrossRef]
- Jiao, L.; Seow, J.Y.R.; Skinner, W.S.; Wang, Z.U.; Jiang, H.-L. Metal–organic frameworks: Structures and functional applications. Mater. Today 2019, 27, 43–68. [Google Scholar] [CrossRef]
- Yusuf, V.F.; Malek, N.I.; Kailasa, S.K. Correction to “Review on Metal–Organic Framework Classification, Synthetic Approaches, and Influencing Factors: Applications in Energy, Drug Delivery, and Wastewater Treatment”. ACS Omega 2024, 9, 29947–29950. [Google Scholar] [CrossRef] [PubMed]
- Jiang, X.; Cheng, J.; Yang, Z.; Wang, P. A stable and reusable aluminum-based metal-organic framework for the effective extraction of four aflatoxins from vegetable oils. Food Chem. 2025, 472, 142964. [Google Scholar] [CrossRef] [PubMed]
- Vlasova, E.A.; Yakimov, S.A.; Naidenko, E.V.; Kudrik, E.V.; Makarov, S.V. Application of metal–organic frameworks for purification of vegetable oils. Food Chem. 2016, 190, 103–109. [Google Scholar] [CrossRef] [PubMed]
- Du, Q.; Zhang, W.; Xu, N.; Jiang, X.; Cheng, J.; Wang, R.; Wang, P. Efficient and simultaneous removal of aflatoxin B1, B2, G1, G2, and zearalenone from vegetable oil by use of a metal–organic framework absorbent. Food Chem. 2023, 418, 135881. [Google Scholar] [CrossRef]
- Yılmaz, E.; Erden, A.K. Purification of degummed crude sunflower oil with selected metal-organic frameworks as adsorbents. Grasas Aceites 2019, 70, e323. [Google Scholar] [CrossRef]
- Jia, X.-Z.; Yao, Q.-B.; Zhang, B.; Tan, C.-P.; Zeng, X.-A.; Huang, Y.-Y.; Huang, Q. Design of Recyclable Carboxylic Metal-Organic Framework/Chitosan Aerogels for Oil Bleaching. Foods 2023, 12, 4151. [Google Scholar] [CrossRef]
- Joseph, J.; Iftekhar, S.; Srivastava, V.; Fallah, Z.; Zare, E.N.; Sillanpää, M. Iron-based metal-organic framework: Synthesis, structure and current technologies for water reclamation with deep insight into framework integrity. Chemosphere 2021, 284, 131171. [Google Scholar] [CrossRef]
- Pan, Y.; Abazari, R.; Tahir, B.; Sanati, S.; Zheng, Y.; Tahir, M.; Gao, J. Iron-based metal–organic frameworks and their derived materials for photocatalytic and photoelectrocatalytic reactions. Coord. Chem. Rev. 2024, 499, 215538. [Google Scholar] [CrossRef]
- Lin, Z.; Liao, D.; Jiang, C.; Nezamzadeh-Ejhieh, A.; Zheng, M.; Yuan, H.; Liu, J.; Song, H.; Lu, C. Current status and prospects of MIL-based MOF materials for biomedicine applications. RSC Med. Chem. 2023, 14, 1914–1933. [Google Scholar] [CrossRef]
- Verma, P.; J. Stewart, D.; Raja, R. Recent Advances in Photocatalytic CO2 Utilisation over Multifunctional Metal–Organic Frameworks. Catalysts 2020, 10, 1176. [Google Scholar] [CrossRef]
- Nurani, D.A.; Anisa, N.; Khatrin, I.; Yasmine; Kadja, G.T.M.; Krisnandi, Y.K. Breathable Iron-Based MIL-88 Framework as Dye Adsorbent in Aqueous Solution. Chemistry 2024, 6, 283–298. [Google Scholar] [CrossRef]
- Wu, Y.-N.; Fang, Y.; Fu, J.; He, L.; Kabtamu, D.M.; Matović, L.; Li, F.; Li, J. Optimized scalable synthesis and granulation of MIL-88B(Fe) for efficient arsenate removal. J. Environ. Chem. Eng. 2022, 10, 108556. [Google Scholar] [CrossRef]
- Luo, Y.; Shi, G.; Yu, S.; Liu, Z.; Yin, J.; Xue, M.; Sun, Q.; Shen, F.-F.; Li, X.; Yin, Z.; et al. Novel MIL-88B(Fe)/ZnTi-LDH high-low junctions for adsorption and photodegradation of tetracycline: Characteristics, performance, and mechanisms. Chem. Eng. J. 2023, 473, 145198. [Google Scholar] [CrossRef]
- Zhang, H.; Gong, X.; Song, Z.; Zhang, S.; Du, W.; Nguyen, T.T.; Guo, M.; Gao, X. Wood-based carbon quantum dots for enhanced photocatalysis of MIL-88B(Fe). Opt. Mater. 2021, 113, 110865. [Google Scholar] [CrossRef]
- Strieder, M.M.; Pinheiro, C.P.; Borba, V.S.; Pohndorf, R.S.; Cadaval, T.R.S.; Pinto, L.A.A. Bleaching optimization and winterization step evaluation in the refinement of rice bran oil. Sep. Purif. Technol. 2017, 175, 72–78. [Google Scholar] [CrossRef]
- Wang, G.; Chen, S.; Gu, G.; Qiu, J.; Chen, Y.; Jia, Z.; Tang, H. Comparison of the content of flavonoids, total phenols, and carotenoids and antioxidant activity in guang Citri reticulatae pericarpium during the aging time. Pharmacogn. Mag. 2020, 16, 375–381. [Google Scholar]
- Sabah, E. Decolorization of vegetable oils: Chlorophyll-a adsorption by acid-activated sepiolite. J. Colloid Interface Sci. 2007, 310, 1–7. [Google Scholar] [CrossRef]
- Breck, D.W.; Eversole, W.G.; Milton, R.M.; Reed, T.B.; Thomas, T.L. Crystalline Zeolites. I. The Properties of a New Synthetic Zeolite, Type A. J. Am. Chem. Soc. 1956, 78, 5963–5972. [Google Scholar] [CrossRef]
- Dabrowski, A.; Tertykh, V.A. Adsorption on New and Modified Inorganic Sorbents; Elsevier Science: Amsterdam, The Netherlands, 1996. [Google Scholar]
- Abedi, E.; Amiri, M.J.; Sahari, M.A. Kinetic, isotherm and thermodynamic investigations on adsorption of trace elements and pigments from soybean oil using high voltage electric field-assisted bleaching: A comparative study. Process Biochem. 2020, 91, 208–222. [Google Scholar] [CrossRef]
- Din, M.I.; Hussain, Z.; Mirza, M.L.; Shah, A.T.; Athar, M.M. Adsorption Optimization of Lead (II) Using Saccharum Bengalense as a Non-Conventional Low Cost Biosorbent: Isotherm and Thermodynamics Modeling. Int. J. Phytoremediat. 2014, 16, 889–908. [Google Scholar] [CrossRef]
- Szydłowska-Czerniak, A.; Łaszewska, A. Effect of refining process on antioxidant capacity, total phenolics and prooxidants contents in rapeseed oils. LWT—Food Sci. Technol. 2015, 64, 853–859. [Google Scholar] [CrossRef]
- Pang, Y.; Li, Z.; Jiao, X.; Chen, D.; Li, C. Metal-Organic Framework Derived Porous α-Fe2O3/C Nano-shuttles for Enhanced Visible-light Photocatalysis. ChemistrySelect 2020, 5, 1047–1053. [Google Scholar] [CrossRef]
- Xu, B.; Yang, H.; Cai, Y.; Yang, H.; Li, C. Preparation and photocatalytic property of spindle-like MIL-88B(Fe) nanoparticles. Inorg. Chem. Commun. 2016, 67, 29–31. [Google Scholar] [CrossRef]
- Nguyen, H.P.; Matsuoka, M.; Kim, T.H.; Lee, S.W. Iron(III)-based metal-organic frameworks as potential visible light-driven catalysts for the removal of NOx: A solution for urban air purification. J. Photochem. Photobiol. A Chem. 2018, 367, 429–437. [Google Scholar] [CrossRef]
- Pandi, K.; Prabhu, S.M.; Ahn, Y.; Park, C.M.; Choi, J. Design and synthesis of biopolymer-derived porous graphitic carbon covered iron-organic frameworks for depollution of arsenic from waters. Chemosphere 2020, 254, 126769. [Google Scholar] [CrossRef] [PubMed]
- Prime, R.B.; Bair, H.E.; Vyazovkin, S.; Gallagher, P.K.; Riga, A. Thermogravimetric Analysis (TGA). In Thermal Analysis of Polymers; Wiley: Hoboken, NJ, USA, 2009; pp. 241–317. [Google Scholar]
- Pandi, K.; Choi, J. Selective removal of anionic ions from aqueous environment using iron-based metal-organic frameworks and their mechanistic investigations. J. Mol. Liq. 2021, 329, 115367. [Google Scholar] [CrossRef]
- Zango, Z.U.; Jumbri, K.; Sambudi, N.S.; Hanif Abu Bakar, N.H.; Fathihah Abdullah, N.A.; Basheer, C.; Saad, B. Removal of anthracene in water by MIL-88(Fe), NH2-MIL-88(Fe), and mixed-MIL-88(Fe) metal–organic frameworks. RSC Adv. 2019, 9, 41490–41501. [Google Scholar] [CrossRef]
- Blasi, F.; Tringaniello, C.; Verducci, G.; Cossignani, L. Bioactive minor components of Italian and Extra-European hemp seed oils. LWT 2022, 158, 113167. [Google Scholar] [CrossRef]
- Seçilmiş, Ş.S.; Koçak Yanık, D.; Fadiloğlu, S.; Göğüş, F. A comparative study on performance of industrial and microwave techniques for sunflower oil bleaching process. Food Chem. 2021, 365, 130488. [Google Scholar] [CrossRef]
- Huda, M.S.; Wilson, P.; Sarker, N.C.; Monono, E. Optimizing Bleaching Process Parameters of Distillers Corn Oil for edible applications using a response surface methodology. LWT 2024, 212, 116991. [Google Scholar] [CrossRef]
- Ferfuia, C.; Zuliani, F.; Piani, B.; Costa, L.D.; Corazzin, M.; Turi, M.; Baldini, M. Bleaching techniques impact on some quality parameters in two different cold-pressed oils obtained at farm scale. J. Food Process Eng. 2023, 46, e14357. [Google Scholar] [CrossRef]
- Cai, Z.; Li, K.; Lee, W.J.; Reaney, M.T.J.; Zhang, N.; Wang, Y. Recent progress in the thermal treatment of oilseeds and oil oxidative stability: A review. Fundam. Res. 2021, 1, 767–784. [Google Scholar] [CrossRef]
- Drira, M.; Jabeur, H.; Marrakchi, F.; Bouaziz, M. Delta-7-stigmastenol: Quantification and isomeric formation during chemical refining of olive pomace oil and optimization of the neutralization step. Eur. Food Res. Technol. 2018, 244, 2231–2241. [Google Scholar] [CrossRef]
- Silva, S.M.; Sampaio, K.A.; Ceriani, R.; Verhé, R.; Stevens, C.; De Greyt, W.; Meirelles, A.J.A. Effect of type of bleaching earth on the final color of refined palm oil. LWT—Food Sci. Technol. 2014, 59, 1258–1264. [Google Scholar] [CrossRef]
- Sağlam, S.; Türk, F.N.; Arslanoğlu, H. Use and applications of metal-organic frameworks (MOF) in dye adsorption: Review. J. Environ. Chem. Eng. 2023, 11, 110568. [Google Scholar] [CrossRef]
- Mi, X.; Huang, G.; Xie, W.; Wang, W.; Liu, Y.; Gao, J. Preparation of graphene oxide aerogel and its adsorption for Cu2+ ions. Carbon 2012, 50, 4856–4864. [Google Scholar] [CrossRef]
- Robati, D. Pseudo-second-order kinetic equations for modeling adsorption systems for removal of lead ions using multi-walled carbon nanotube. J. Nanostruct. Chem. 2013, 3, 55. [Google Scholar] [CrossRef]
- Jiang, S.; Yu, T.; Xia, R.; Wang, X.; Gao, M. Realization of super high adsorption capability of 2D δ-MnO2/GO through intra-particle diffusion. Mater. Chem. Phys. 2019, 232, 374–381. [Google Scholar] [CrossRef]
- Wang, J.; Guo, X. Adsorption isotherm models: Classification, physical meaning, application and solving method. Chemosphere 2020, 258, 127279. [Google Scholar] [CrossRef]
- Siddiqui, M.N.; Chanbasha, B.; Al-Arfaj, A.A.; Kon’kova, T.; Ali, I. Super-fast removal of cobalt metal ions in water using inexpensive mesoporous carbon obtained from industrial waste material. Environ. Technol. Innov. 2021, 21, 101257. [Google Scholar] [CrossRef]
- Senthil Kumar, P.; Ramalingam, S.; Senthamarai, C.; Niranjanaa, M.; Vijayalakshmi, P.; Sivanesan, S. Adsorption of dye from aqueous solution by cashew nut shell: Studies on equilibrium isotherm, kinetics and thermodynamics of interactions. Desalination 2010, 261, 52–60. [Google Scholar] [CrossRef]
- Araújo, C.S.T.; Almeida, I.L.S.; Rezende, H.C.; Marcionilio, S.M.L.O.; Léon, J.J.L.; de Matos, T.N. Elucidation of mechanism involved in adsorption of Pb(II) onto lobeira fruit (Solanum lycocarpum) using Langmuir, Freundlich and Temkin isotherms. Microchem. J. 2018, 137, 348–354. [Google Scholar] [CrossRef]
- Hanbali, G.; Jodeh, S.; Hamed, O.; Bol, R.; Khalaf, B.; Qdemat, A.; Samhan, S. Enhanced Ibuprofen Adsorption and Desorption on Synthesized Functionalized Magnetic Multiwall Carbon Nanotubes from Aqueous Solution. Materials 2020, 13, 3329. [Google Scholar] [CrossRef] [PubMed]
- Du, X.; Cheng, Y.; Liu, Z.; Yin, H.; Wu, T.; Huo, L.; Shu, C. CO2 and CH4 adsorption on different rank coals: A thermodynamics study of surface potential, Gibbs free energy change and entropy loss. Fuel 2021, 283, 118886. [Google Scholar] [CrossRef]
- Fakhri, A. Adsorption characteristics of graphene oxide as a solid adsorbent for aniline removal from aqueous solutions: Kinetics, thermodynamics and mechanism studies. J. Saudi Chem. Soc. 2017, 21, S52–S57. [Google Scholar] [CrossRef]
- de Carvalho Costa, L.R.; Jurado-Davila, I.V.; Oliveira, J.T.; Nunes, K.G.; Estumano, D.C.; de Oliveira, R.A.; Carissimi, E.; Féris, L.A. Exploring Key Parameters in Adsorption for Effective Fluoride Removal: A Comprehensive Review and Engineering Implications. Appl. Sci. 2024, 14, 2161. [Google Scholar] [CrossRef]
- Hu, C.; Yoshida, M.; Huang, P.-H.; Tsunekawa, S.; Hou, L.-B.; Chen, C.-H.; Tung, K.-L. MIL-88B(Fe)-coated photocatalytic membrane reactor with highly stable flux and phenol removal efficiency. Chem. Eng. J. 2021, 418, 129469. [Google Scholar] [CrossRef]
- Hassan, N.; Shahat, A.; El-Deen, I.M.; El-Afify, M.A.M.; El-Bindary, M.A. Synthesis and characterization of NH2-MIL-88(Fe) for efficient adsorption of dyes. J. Mol. Struct. 2022, 1258, 132662. [Google Scholar] [CrossRef]
- Li, Y.; Zhao, Y.; Zhang, H.; Ding, Z.; Han, J. The Application of Natural Carotenoids in Multiple Fields and Their Encapsulation Technology: A Review. Molecules 2024, 29, 967. [Google Scholar] [CrossRef]
- Channab, B.-E.; El Ouardi, M.; Ait Layachi, O.; Marrane, S.E.; El Idrissi, A.; BaQais, A.; Ait Ahsaine, H. Recent trends on MIL-Fe metal–organic frameworks: Synthesis approaches, structural insights, and applications in organic pollutant adsorption and photocatalytic degradation. Environ. Sci. Nano 2023, 10, 2957–2988. [Google Scholar] [CrossRef]
- Magri, A.; Petriccione, M.; Gutiérrez, T.J. Metal-organic frameworks for food applications: A review. Food Chem. 2021, 354, 129533. [Google Scholar] [CrossRef]



| Bleaching Time (min) | Bleaching Temperature (℃) | MIL-88B(Fe) Addition (w/v%) | Bleaching Efficiency (%) | Lutein (mg/kg) | β-Carotene (mg/kg) | Chlorophyll (mg/kg) | Squalene (mg/100g) | Phytosterol (mg/100g) | FFA (mg/100g) | |||||
|---|---|---|---|---|---|---|---|---|---|---|---|---|---|---|
| Stigmasterol | β-Sitosterol | Δ5-Avenasterol | C18:0 | C18:1 | C18:2 | C18:3 | ||||||||
| Unbleached oil | / | 118.27 ± 1.38 a | 1.32 ± 0.05 a | 9.92 ± 0.17 a | 58.44 ± 1.65 abc | 15.66 ± 0.12 bc | 249.21 ± 0.80 a | 60.85 ± 9.35 a | 0.08 ± 0.02 h | 0.39 ± 0.05 cd | 0.10 ± 0.03 h | 0.09 ± 0.00 cde | ||
| 35 | 100 | 5 | 88.81 ± 0.49 de | 5.76 ± 1.46 efg | 0.04 ± 0.01 ef | 6.57 ± 0.20 cd | 53.63± 0.69 efg | 21.63 ± 4.79 a | 246.58 ± 11.86 ab | 57.05 ± 13.50 a | 0.19 ± 0.03 cd | 0.60 ± 0.04 b | 0.56 ± 0.02 b | 0.16 ± 0.02 a |
| 45 | 95.49 ± 1.99 abc | 2.35 ± 1.39 ghi | 0.02 ± 0.00 efg | 5.37 ± 0.31 efg | 55.16 ± 2.34 cdefg | 21.23 ± 4.53 a | 244.76 ± 10.57 abc | 52.93 ± 1.81 a | 0.33 ± 0.02 b | 0.58 ± 0.09 b | 0.45 ± 0.01 bcde | 0.19 ± 0.00 a | ||
| 55 | 95.43 ± 0.41 abc | 0.59 ± 0.01 hi | 0.02 ± 0.00 fg | 3.11 ± 0.26 ij | 61.16 ± 0.81 a | 14.82 ± 0.20 bc | 236.28 ± 2.80 abcd | 51.34 ± 2.70 a | 0.43 ± 0.02 a | 0.55 ± 0.09 b | 0.51 ± 0.04 bcd | 0.17 ± 0.05 a | ||
| 65 | 97.67 ± 0.56 a | 0.01 ± 0.01 i | n.d. | 1.47 ± 0.58 k | 56.56 ± 4.69 abcdef | 14.83 ± 2.92 bc | 228.46 ± 7.29 cdef | 55.36 ± 1.64 a | 0.11 ± 0.03 fgh | 0.40 ± 0.08 cd | 0.40 ± 0.04 bcdef | 0.06 ± 0.00 de | ||
| 75 | 96.59 ± 0.43 ab | 0.07 ± 0.03 i | n.d. | 2.90 ± 0.62 j | 59.16 ± 4.30 abcd | 15.80 ± 0.77 bc | 235.22 ± 1.60 abcd | 54.24 ± 6.81 a | 0.11 ± 0.02 efgh | 0.32 ± 0.04 d | 0.36 ± 0.02 defg | 0.08 ± 0.00 cde | ||
| 35 | 80 | 5 | 49.99 ± 0.01 g | 91.26 ± 0.74 b | 0.80 ± 0.01 b | 7.65 ± 0.13 b | 60.51 ± 1.89 ab | 14.62 ± 0.31 ab | 219.35 ± 2.53 abcde | 58.68 ± 4.42 c | 0.20 ± 0.03 c | 0.48 ± 0.09 bc | 0.28 ± 0.06 fg | 0.17 ± 0.01 a |
| 90 | 59.12 ± 2.61 f | 52.09 ± 3.05 c | 0.41 ± 0.02 c | 7.34 ± 0.09 bc | 59.34 ± 1.00 abc | 14.67 ± 0.81 bc | 212.01 ± 2.68 f | 54.85 ± 3.32 c | 0.13 ± 0.02 efgh | 0.48 ± 0.05 bc | 0.30 ± 0.08 efg | 0.15 ± 0.01 ab | ||
| 100 | 91.89 ± 1.14 cd | 4.68 ± 1.85 fg | 0.03 ± 0.01 efg | 6.14 ± 0.40 de | 52.69 ± 1.81 fg | 13.56 ± 0.93 bc | 211.89 ± 2.02 f | 56.00 ± 3.69 c | 0.09 ± 0.00 gh | 0.48 ± 0.00 bc | 0.23 ± 0.06 gh | 0.12 ± 0.03 bc | ||
| 110 | 86.66 ± 5.18 e | 13.16 ± 3.14 d | 0.09 ± 0.03 d | 7.30 ± 0.13 bc | 54.46 ± 0.69 defg | 14.59 ± 0.83 bc | 216.67 ± 7.94 ef | 58.06 ± 6.81 bc | 0.11 ± 0.00 fgh | 0.46 ± 0.01 bc | 0.30 ± 0.03 efg | 0.09 ± 0.00 cde | ||
| 120 | 91.59 ± 1.20 cd | 6.09 ± 0.38 ef | 0.04 ± 0.00 ef | 7.33 ± 0.01 bc | 50.97 ± 0.99 g | 14.18 ± 0.41 bc | 216.26 ± 3.87 ef | 57.23 ± 4.82 c | 0.14 ± 0.01 defg | 0.48 ± 0.02 a | 0.27 ± 0.01 fg | 0.10 ± 0.02 cd | ||
| 35 | 100 | 5 | 92.21 ± 2.48 bcd | 8.96 ± 0.90 e | 0.06 ± 0.01 e | 5.49 ± 0.02 ef | 55.94 ± 1.16 bcdef | 13.58 ± 2.18 bc | 231.21 ± 3.07 bcde | 57.03 ± 2.32 a | 0.17 ± 0.02 cde | 0.60 ± 0.03 b | 0.47 ± 0.04 bcd | 0.08 ± 0.08 cde |
| 6 | 92.68 ± 1.21 bcd | 4.79 ± 1.72 fg | 0.04 ± 0.00 ef | 4.77 ± 0.27 fgh | 55.51 ± 1.29 cdefg | 14.00 ± 3.45 bc | 240.28 ± 1.20 abc | 55.02 ± 0.50 a | 0.19 ± 0.04 cd | 0.84 ± 0.10 a | 0.75 ± 0.16 a | 0.09 ± 0.02 cde | ||
| 7 | 93.79 ± 0.43 abc | 3.80 ± 0.91 fgh | 0.02 ± 0.00 efg | 5.12 ± 0.14 fg | 54.34 ± 0.79 defg | 11.49 ± 0.57 c | 221.84 ± 1.80 def | 55.49 ± 5.36 a | 0.14 ± 0.01 efg | 0.51 ± 0.00 bc | 0.39 ± 0.04 cdef | 0.08 ± 0.02 cde | ||
| 8 | 93.10 ± 0.71 bcd | 3.86 ± 0.58 fgh | 0.03 ± 0.01 efg | 4.49 ± 1.17 gh | 57.88 ± 1.09 abcde | 12.51 ± 1.01 bc | 219.62 ± 3.82 def | 49.83 ± 1.40 ab | 0.16 ± 0.02 cdef | 0.57 ± 0.05 b | 0.45 ± 0.12 bcde | 0.07 ± 0.00 de | ||
| 9 | 93.70 ± 0.56 abc | 3.36 ± 2.02 fghi | 0.03 ± 0.00 efg | 3.93 ± 0.06 hi | 56.95 ± 1.70 abcdef | 15.33 ± 0.46 bc | 228.76 ± 9.47 cdef | 56.99 ± 2.15 a | 0.14 ± 0.01 defg | 0.59 ± 0.05 b | 0.53 ± 0.10 bc | 0.05 ± 0.00 e | ||
| Washing Method | First Use | Second Use | Third Use | Fourth Use | Fifth Use | Sixth Use |
|---|---|---|---|---|---|---|
| Soxhlet extraction | 96.46 ± 0.00 a | 96.21 ± 0.07 a | 58.89 ± 0.12 b | / | ||
| 60 °C ethanol | 96.46 ± 0.00 a | 97.55 ± 0.43 a | 96.90 ± 2.45 a | 97.37 ± 0.23 a | 33.83 ± 0.16 b | 3.87 ± 1.34 c |
Disclaimer/Publisher’s Note: The statements, opinions and data contained in all publications are solely those of the individual author(s) and contributor(s) and not of MDPI and/or the editor(s). MDPI and/or the editor(s) disclaim responsibility for any injury to people or property resulting from any ideas, methods, instructions or products referred to in the content. |
© 2025 by the authors. Licensee MDPI, Basel, Switzerland. This article is an open access article distributed under the terms and conditions of the Creative Commons Attribution (CC BY) license (https://creativecommons.org/licenses/by/4.0/).
Share and Cite
Dong, Y.; Wang, C.; Gao, Y.; Xu, J.; Ping, H.; Liu, F.; Niu, A. Bleaching of Idesia polycarpa Maxim. Oil Using a Metal-Organic Framework-Based Adsorbent: Kinetics and Adsorption Isotherms. Foods 2025, 14, 787. https://doi.org/10.3390/foods14050787
Dong Y, Wang C, Gao Y, Xu J, Ping H, Liu F, Niu A. Bleaching of Idesia polycarpa Maxim. Oil Using a Metal-Organic Framework-Based Adsorbent: Kinetics and Adsorption Isotherms. Foods. 2025; 14(5):787. https://doi.org/10.3390/foods14050787
Chicago/Turabian StyleDong, Yiyang, Chengming Wang, Yu Gao, Jing Xu, Hongzheng Ping, Fangrong Liu, and Aifeng Niu. 2025. "Bleaching of Idesia polycarpa Maxim. Oil Using a Metal-Organic Framework-Based Adsorbent: Kinetics and Adsorption Isotherms" Foods 14, no. 5: 787. https://doi.org/10.3390/foods14050787
APA StyleDong, Y., Wang, C., Gao, Y., Xu, J., Ping, H., Liu, F., & Niu, A. (2025). Bleaching of Idesia polycarpa Maxim. Oil Using a Metal-Organic Framework-Based Adsorbent: Kinetics and Adsorption Isotherms. Foods, 14(5), 787. https://doi.org/10.3390/foods14050787
