Analysis of Changes in Flavor Profile and Bacterial Succession During Pork Fermentation Using Multi-Omics-Based Analysis
Abstract
1. Introduction
2. Materials and Methods
2.1. Sample Preparation
2.2. E-Nose Analysis
2.3. E-Tongue Analysis
2.4. GC-IMS Analysis
2.5. GC-MS Analysis
2.6. Determination of Bacterial Community
2.7. Statistical Analysis
3. Results
3.1. Intelligent Senses
3.1.1. E-Nose Analysis
3.1.2. E-Tongue Analysis
3.2. Flavor Profiles
3.2.1. Flavor Characterization
3.2.2. GC-IMS Analysis
3.2.3. GC-MS Analysis
3.3. Bacterial Community Analysis
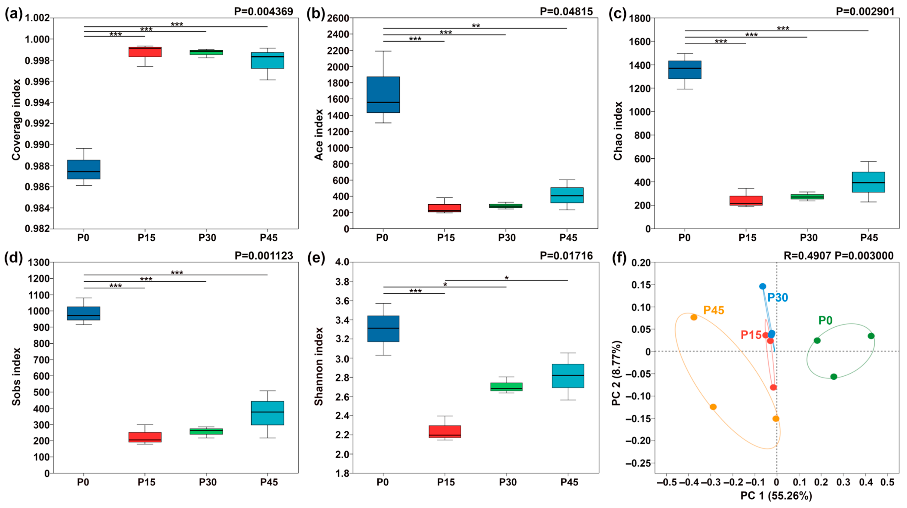
3.3.1. Bacterial Diversity Analysis
3.3.2. Bacterial Taxonomic Composition Analysis
3.3.3. Bacterial Differential Analysis
3.4. Correlation Analysis of Bacterial Genera, Key Volatile Compounds, and E-Nose Sensors
4. Discussion
5. Conclusions
Supplementary Materials
Author Contributions
Funding
Institutional Review Board Statement
Informed Consent Statement
Data Availability Statement
Conflicts of Interest
References
- Wang, Q.; Li, X.; Xue, B.; Wu, Y.; Song, H.; Luo, Z.; Shang, P.; Liu, Z.; Huang, Q. Low-Salt Fermentation Improves Flavor and Quality of Sour Meat: Microbiology and Metabolomics. LWT 2022, 171, 114157. [Google Scholar] [CrossRef]
- Mao, J.; Wang, X.; Chen, H.; Zhao, Z.; Liu, D.; Zhang, Y.; Nie, X. The Contribution of Microorganisms to the Quality and Flavor Formation of Chinese Traditional Fermented Meat and Fish Products. Foods 2024, 13, 608. [Google Scholar] [CrossRef]
- Guo, T.; Zhou, X.; Zhao, S.; Yao, Y.; Dong, B.; Zhao, G. Microbiota Interactions as Critical Determinants of Flavor Development in Fermented Foods. Trends Food Sci. Technol. 2025, 164, 105218. [Google Scholar] [CrossRef]
- Zhang, Q.; Ma, J.; Yang, Y.; Deng, J.; Zhu, K.; Yi, Y.; Tang, J.; Jiang, X.; Zhu, C.; Laghi, L. Effects of S. cerevisiae Strains on the Sensory Characteristics and Flavor Profile of Kiwi Wine Based on E-Tongue, GC-IMS and 1H-NMR. LWT 2023, 185, 115193. [Google Scholar] [CrossRef]
- Zhang, L.; Hu, Y.; Wang, Y.; Kong, B.; Chen, Q. Evaluation of the Flavour Properties of Cooked Chicken Drumsticks as Affected by Sugar Smoking Times Using an Electronic Nose, Electronic Tongue, and HS-SPME/GC-MS. LWT 2021, 140, 110764. [Google Scholar] [CrossRef]
- Sun, X.; Yu, Y.; Saleh, A.S.M.; Yang, X.; Ma, J.; Zhang, D.; Li, W.; Wang, Z. Comprehensive Characterisation of Taste and Aroma Profiles of Daokou Red-Cooked Chicken by GC-IMS and GC–MS Combined with Chemometrics. Int. J. Food Sci. Technol. 2023, 58, 4288–4300. [Google Scholar] [CrossRef]
- Chen, Q.; Hu, Y.; Wen, R.; Wang, Y.; Qin, L.; Kong, B. Characterisation of the Flavour Profile of Dry Fermented Sausages with Different NaCl Substitutes Using HS-SPME-GC-MS Combined with Electronic Nose and Electronic Tongue. Meat Sci. 2021, 172, 108338. [Google Scholar] [CrossRef] [PubMed]
- Zhu, D.; Ren, X.; Wei, L.; Cao, X.; Ge, Y.; Liu, H.; Li, J. Collaborative Analysis on Difference of Apple Fruits Flavour Using Electronic Nose and Electronic Tongue. Sci. Hortic. 2020, 260, 108879. [Google Scholar] [CrossRef]
- Wang, Z.; Wang, Z.; Ji, L.; Zhang, J.; Zhao, Z.; Zhang, R.; Bai, T.; Hou, B.; Zhang, Y.; Liu, D.; et al. A Review: Microbial Diversity and Function of Fermented Meat Products in China. Front. Microbiol. 2021, 12, 645435. [Google Scholar] [CrossRef]
- Gao, X.; Liu, E.; Zhang, J.; Yang, L.; Huang, Q.; Chen, S.; Ma, H.; Ho, C.T.; Liao, L. Accelerating Aroma Formation of Raw Soy Sauce Using Low Intensity Sonication. Food Chem. 2020, 329, 127118. [Google Scholar] [CrossRef]
- Hu, Y.; Wang, H.; Kong, B.; Wang, Y.; Chen, Q. The Succession and Correlation of the Bacterial Community and Flavour Characteristics of Harbin Dry Sausages during Fermentation. LWT 2021, 138, 110689. [Google Scholar] [CrossRef]
- Zhao, S.; Yue, J.; Wang, Y.; Shao, J.; Li, Z.; Li, M. The Regulation of Volatile Flavor Compounds in Fermented Meat Products Mediated by Microorganisms: A Review. Food Biosci. 2024, 62, 105180. [Google Scholar] [CrossRef]
- Luo, L.J.; Song, L.; Han, Y.; Zhen, P.; Han, D.Y.; Zhao, X.; Zhou, X.; Wei, Y.H.; Yu, H.X.; Han, P.J.; et al. Microbial Communities and Their Correlation with Flavor Compound Formation during the Mechanized Production of Light-Flavor Baijiu. Food Res. Int. 2023, 172, 113139. [Google Scholar] [CrossRef]
- Xing, Y.; Qiu, Y.; Yue, T.; Yi, R.; Xu, Q.; Rao, Y.; Huang, J.; Pan, H. Correlation between Microbial Communities and Volatile Flavor Compounds in the Fermentation of New Pickle Fermentation Broth. Food Biosci. 2023, 56, 103167. [Google Scholar] [CrossRef]
- Ji, L.; Zhou, Y.; Nie, Q.; Luo, Y.; Yang, R.; Kang, J.; Zhao, Y.; Zeng, M.; Jia, Y.; Dong, S.; et al. The Potential Correlation between Bacterial Diversity and the Characteristic Volatile Flavor Compounds of Sichuan Sauce-Flavored Sausage. Foods 2024, 13, 2350. [Google Scholar] [CrossRef]
- Huang, Y.; Wang, Z.; Gan, L.; Zhang, J.; Wang, W.; Ji, L.; Chen, L. Study on the Changes and Correlation of Microorganisms and Flavor in Different Processing Stages of Mianning Ham. Foods 2024, 13, 2587. [Google Scholar] [CrossRef] [PubMed]
- Long, Z.; Zhao, S.; Xu, X.; Du, W.; Chen, Q.; Hu, S. Dynamic Changes in Flavor and Microbiota in Traditionally Fermented Bamboo Shoots (Chimonobambusa szechuanensis (Rendle) Keng f.). Foods 2023, 12, 3035. [Google Scholar] [CrossRef] [PubMed]
- Zhong, A.; Chen, W.; Duan, Y.; Li, K.; Tang, X.; Tian, X.; Wu, Z.; Li, Z.; Wang, Y.; Wang, C. The Potential Correlation between Microbial Communities and Flavors in Traditional Fermented Sour Meat. LWT 2021, 149, 111873. [Google Scholar] [CrossRef]
- Zang, J.; Li, T.; Liu, K.; Wu, J.; Zhang, Z.; Liu, X.; Zhao, J.; Peng, C.; Li, Z. Correlations between Microbiota Succession and Volatile Profiles Development and Biogenic Amine Formation Involved in the Ripening of Chinese Sour Meat. LWT 2025, 215, 117238. [Google Scholar] [CrossRef]
- Zhao, X.; Feng, J.; Laghi, L.; Deng, J.; Dao, X.; Tang, J.; Ji, L.; Zhu, C.; Picone, G. Characterization of Flavor Profile of “Nanx Wudl” Sour Meat Fermented from Goose and Pork Using Gas Chromatography–Ion Mobility Spectrometry (GC–IMS) Combined with Electronic Nose and Tongue. Foods 2023, 12, 2194. [Google Scholar] [CrossRef]
- Wang, L.; Xie, J.; Wang, Q.; Hu, J.; Jiang, Y.; Wang, J.; Tong, H.; Yuan, H.; Yang, Y. Evaluation of the Quality Grade of Congou Black Tea by the Fusion of GC-E-Nose, E-Tongue, and E-Eye. Food Chem. X 2024, 23, 101519. [Google Scholar] [CrossRef]
- Callahan, B.J.; McMurdie, P.J.; Rosen, M.J.; Han, A.W.; Johnson, A.J.A.; Holmes, S.P. DADA2: High-Resolution Sample Inference from Illumina Amplicon Data. Nat. Methods 2016, 13, 581–583. [Google Scholar] [CrossRef]
- Box, G.E.P.; Cox, D.R. An Analysis of Transformations. J. R. Stat. Soc. Ser. B Stat. Methodol. 1964, 26, 211–243. [Google Scholar] [CrossRef]
- Zhu, C.; Yang, Z.; He, L.; Lu, X.; Tang, J.; Laghi, L. The Longer the Storage Time, the Higher the Price, the Better the Quality? A 1H-NMR Based Metabolomic Investigation of Aged Ya’an Tibetan Tea (Camellia sinensis). Foods 2022, 11, 2986. [Google Scholar] [CrossRef]
- Guan, H.; Yang, C.; Tian, Y.; Feng, C.; Gai, S.; Liu, D.; Diao, X. Changes in Stability and Volatile Flavor Compounds of Self-Emulsifying Chicken Soup Formed during the Stewing Process. LWT 2023, 175, 114520. [Google Scholar] [CrossRef]
- Zhao, Z.; Hao, Y.; Liu, Y.; Shi, Y.; Lin, X.; Wang, L.; Wen, P.; Hu, X.; Li, J. Comprehensive Evaluation of Aroma and Taste Properties of Different Parts from the Wampee Fruit. Food Chem. X 2023, 19, 100835. [Google Scholar] [CrossRef]
- Chen, Q.; Kong, B.; Sun, Q.; Dong, F.; Liu, Q. Antioxidant Potential of a Unique LAB Culture Isolated from Harbin Dry Sausage: In Vitro and in a Sausage Model. Meat Sci. 2015, 110, 180–188. [Google Scholar] [CrossRef]
- Wang, H.; Su, W.; Mu, Y.; Zhao, C. Correlation Between Microbial Diversity and Volatile Flavor Compounds of Suan Zuo Rou, a Fermented Meat Product From Guizhou, China. Front. Microbiol. 2021, 12, 736525. [Google Scholar] [CrossRef] [PubMed]
- Li, Y.; Cao, Z.; Yu, Z.; Zhu, Y.; Zhao, K. Effect of Inoculating Mixed Starter Cultures of Lactobacillus and Staphylococcus on Bacterial Communities and Volatile Flavor in Fermented Sausages. Food Sci. Hum. Wellness 2023, 12, 200–211. [Google Scholar] [CrossRef]
- Hu, Y.; Zhang, L.; Wen, R.; Chen, Q.; Kong, B. Role of Lactic Acid Bacteria in Flavor Development in Traditional Chinese Fermented Foods: A Review. Crit. Rev. Food Sci. Nutr. 2022, 62, 2741–2755. [Google Scholar] [CrossRef] [PubMed]
- Sidira, M.; Kandylis, P.; Kanellaki, M.; Kourkoutas, Y. Effect of Immobilized Lactobacillus casei on the Evolution of Flavor Compounds in Probiotic Dry-Fermented Sausages during Ripening. Meat Sci. 2015, 100, 41–51. [Google Scholar] [CrossRef] [PubMed]
- Xiao, Y.; Liu, Y.; Chen, C.; Xie, T.; Li, P. Effect of Lactobacillus plantarum and Staphylococcus xylosus on Flavour Development and Bacterial Communities in Chinese Dry Fermented Sausages. Food Res. Int. 2020, 135, 109247. [Google Scholar] [CrossRef]
- Sallan, S.; Kaban, G.; Kaya, M. The Effects of Nitrite, Sodium Ascorbate and Starter Culture on Volatile Compounds of a Semi-Dry Fermented Sausage. LWT 2022, 153, 112540. [Google Scholar] [CrossRef]
- Hu, Y.; Tian, Y.; Zhu, J.; Wen, R.; Chen, Q.; Kong, B. Technological Characterization and Flavor-Producing Potential of Lactic Acid Bacteria Isolated from Traditional Dry Fermented Sausages in Northeast China. Food Microbiol. 2022, 106, 104059. [Google Scholar] [CrossRef]
- Chen, C.; Li, J.; Cheng, G.; Liu, Y.; Yi, Y.; Chen, D.; Wang, X.; Cao, J. Flavor Changes and Microbial Evolution in Fermentation Liquid of Sour Bamboo Shoots. J. Food Compos. Anal. 2023, 120, 105273. [Google Scholar] [CrossRef]
- Fusco, V.; Quero, G.M.; Cho, G.-S.; Kabisch, J.; Meske, D.; Neve, H.; Bockelmann, W.; Franz, C.M.A.P. The Genus Weissella: Taxonomy, Ecology and Biotechnological Potential. Front. Microbiol. 2015, 6, 155. [Google Scholar] [CrossRef]
- Casaburi, A.; Villani, F.; Toldrá, F.; Sanz, Y. Protease and Esterase Activity of Staphylococci. Int. J. Food Microbiol. 2006, 112, 223–229. [Google Scholar] [CrossRef]
- de Mesquita, A.R.C.; Silveira, L.P.d.M.; Da Cruz Filho, I.J.; de Lima, V.F.; Silveira Filho, V.D.M.; Araujo, A.A.; Da Silva, T.L.; Araújo, K.D.F.; Macedo, L.D.S. Metabolism and Physiology of Lactobacilli: A Review. J. Environ. Anal. Prog. 2017, 2, 115–136. [Google Scholar] [CrossRef]
- Lv, J.; Xu, W.; Ji, C.; Liang, H.; Li, S.; Yang, Z.; Zhang, S.; Lin, X. Relationships between the Bacterial Diversity and Metabolites of a Chinese Fermented Pork Product, Sour Meat. Int. J. Food Sci. Technol. 2021, 56, 2742–2750. [Google Scholar] [CrossRef]
- Bakhshayesh, R.V.; Panahi, B.; Hejazi, M.A.; Nami, Y. Metabolite Profiling of Different Iranian Traditional Yogurts Using an Untargeted Metabolomics Approach. Heliyon 2024, 10, e34760. [Google Scholar] [CrossRef]
- García-González, D.; Aparicio, R.; Aparicio-Ruiz, R. Volatile and Amino Acid Profiling of Dry Cured Hams from Different Swine Breeds and Processing Methods. Molecules 2013, 18, 3927–3947. [Google Scholar] [CrossRef] [PubMed]
- Zhang, Y.; Zhang, Z.H.; He, R.; Xu, R.; Zhang, L.; Gao, X. Improving Soy Sauce Aroma Using High Hydrostatic Pressure and the Preliminary Mechanism. Foods 2022, 11, 2190. [Google Scholar] [CrossRef]
- Marušić, N.; Vidaček, S.; Janči, T.; Petrak, T.; Medić, H. Determination of Volatile Compounds and Quality Parameters of Traditional Istrian Dry-Cured Ham. Meat Sci. 2014, 96, 1409–1416. [Google Scholar] [CrossRef] [PubMed]
- Bosse (née Danz), R.; Wirth, M.; Konstanz, A.; Becker, T.; Weiss, J.; Gibis, M. Determination of Volatile Marker Compounds in Raw Ham Using Headspace-Trap Gas Chromatography. Food Chem. 2017, 219, 249–259. [Google Scholar] [CrossRef]
- Flores, M.; Piornos, J.A. Fermented Meat Sausages and the Challenge of Their Plant-Based Alternatives: A Comparative Review on Aroma-Related Aspects. Meat Sci. 2021, 182, 108636. [Google Scholar] [CrossRef] [PubMed]
- Pham, A.J.; Schilling, M.W.; Mikel, W.B.; Williams, J.B.; Martin, J.M.; Coggins, P.C. Relationships between Sensory Descriptors, Consumer Acceptability and Volatile Flavor Compounds of American Dry-Cured Ham. Meat Sci. 2008, 80, 728–737. [Google Scholar] [CrossRef]
- Sionek, B.; Tambor, K.; Okoń, A.; Szymański, P.; Zielińska, D.; Neffe-Skocińska, K.; Kołożyn-Krajewska, D. Effects of Lacticaseibacillus rhamnosus LOCK900 on Development of Volatile Compounds and Sensory Quality of Dry Fermented Sausages. Molecules 2021, 26, 6454. [Google Scholar] [CrossRef]
- Li, W.; Chen, Y.P.; Blank, I.; Li, F.; Li, C.; Liu, Y. GC × GC-ToF-MS and GC-IMS Based Volatile Profile Characterization of the Chinese Dry-Cured Hams from Different Regions. Food Res. Int. 2021, 142, 110222. [Google Scholar] [CrossRef]
- Yu, H.; Zhang, R.; Yang, F.; Xie, Y.; Guo, Y.; Yao, W.; Zhou, W. Control Strategies of Pyrazines Generation from Maillard Reaction. Trends Food Sci. Technol. 2021, 112, 795–807. [Google Scholar] [CrossRef]
- Lan, Q.; Zhao, X.; Qin, J.; Tang, J.; Zeng, R.; Liu, Y.; Du, X.; Zhu, C.; Laghi, L. Dynamic Changes and Correlations of Physicochemical, Volatile Metabolites, and Bacterial Communities during Fermentation of Sour Meat Fermented from Goose Meat. LWT 2025, 224, 117864. [Google Scholar] [CrossRef]
- Ma, Y.; Gao, Y.; Xu, Y.; Zhou, H.; Zhou, K.; Li, C.; Xu, B. Microbiota Dynamics and Volatile Metabolite Generation during Sausage Fermentation. Food Chem. 2023, 423, 136297. [Google Scholar] [CrossRef] [PubMed]
- Lv, J.; Yang, Z.; Xu, W.; Li, S.; Liang, H.; Ji, C.; Yu, C.; Zhu, B.; Lin, X. Relationships between Bacterial Community and Metabolites of Sour Meat at Different Temperature during the Fermentation. Int. J. Food Microbiol. 2019, 307, 108286. [Google Scholar] [CrossRef] [PubMed]
- Liu, M.; Lin, X.; Yang, J.; Yan, X.; Ji, C.; Liang, H.; Zhang, S.; Dong, L. Effects of Salt and Rice Flour Concentration on Microbial Diversity and the Quality of Sour Meat, a Chinese Traditional Meat. Food Sci. Hum. Wellness 2024, 13, 2790–2798. [Google Scholar] [CrossRef]
- Yang, X.; Hu, W.; Xiu, Z.; Jiang, A.; Yang, X.; Sarengaowa; Ji, Y.; Guan, Y.; Feng, K. Microbial Dynamics and Volatilome Profiles during the Fermentation of Chinese Northeast Sauerkraut by Leuconostoc mesenteroides ORC 2 and Lactobacillus plantarum HBUAS 51041 under Different Salt Concentrations. Food Res. Int. 2020, 130, 108926. [Google Scholar] [CrossRef] [PubMed]











Disclaimer/Publisher’s Note: The statements, opinions and data contained in all publications are solely those of the individual author(s) and contributor(s) and not of MDPI and/or the editor(s). MDPI and/or the editor(s) disclaim responsibility for any injury to people or property resulting from any ideas, methods, instructions or products referred to in the content. |
© 2025 by the authors. Licensee MDPI, Basel, Switzerland. This article is an open access article distributed under the terms and conditions of the Creative Commons Attribution (CC BY) license (https://creativecommons.org/licenses/by/4.0/).
Share and Cite
Ma, Y.; Lan, Q.; Wang, C.; Laghi, L.; Zhu, C.; Picone, G. Analysis of Changes in Flavor Profile and Bacterial Succession During Pork Fermentation Using Multi-Omics-Based Analysis. Foods 2025, 14, 3804. https://doi.org/10.3390/foods14213804
Ma Y, Lan Q, Wang C, Laghi L, Zhu C, Picone G. Analysis of Changes in Flavor Profile and Bacterial Succession During Pork Fermentation Using Multi-Omics-Based Analysis. Foods. 2025; 14(21):3804. https://doi.org/10.3390/foods14213804
Chicago/Turabian StyleMa, Yuyan, Qiuyu Lan, Chenshuo Wang, Luca Laghi, Chenglin Zhu, and Gianfranco Picone. 2025. "Analysis of Changes in Flavor Profile and Bacterial Succession During Pork Fermentation Using Multi-Omics-Based Analysis" Foods 14, no. 21: 3804. https://doi.org/10.3390/foods14213804
APA StyleMa, Y., Lan, Q., Wang, C., Laghi, L., Zhu, C., & Picone, G. (2025). Analysis of Changes in Flavor Profile and Bacterial Succession During Pork Fermentation Using Multi-Omics-Based Analysis. Foods, 14(21), 3804. https://doi.org/10.3390/foods14213804

