Sign in to use this feature.

Years

Between: -

Subjects

remove_circle_outline
remove_circle_outline
remove_circle_outline
remove_circle_outline
remove_circle_outline

Journals

Article Types

Countries / Regions

Search Results (27)

Search Parameters:
Keywords = sour meat

Order results
Result details
Results per page
Select all
Export citation of selected articles as:
19 pages, 4897 KB  
Article
Analysis of Changes in Flavor Profile and Bacterial Succession During Pork Fermentation Using Multi-Omics-Based Analysis
by Yuyan Ma, Qiuyu Lan, Chenshuo Wang, Luca Laghi, Chenglin Zhu and Gianfranco Picone
Foods 2025, 14(21), 3804; https://doi.org/10.3390/foods14213804 - 6 Nov 2025
Viewed by 208
Abstract
Sour meat, a traditional fermented meat product, derives its unique attributes from the flavors developed during the fermentation process. This study systematically investigated the dynamic changes in volatile compounds and bacterial succession in pork sour meat during fermentation (0, 15, 30, and 45 [...] Read more.
Sour meat, a traditional fermented meat product, derives its unique attributes from the flavors developed during the fermentation process. This study systematically investigated the dynamic changes in volatile compounds and bacterial succession in pork sour meat during fermentation (0, 15, 30, and 45 days) using a combination of an electric nose (E-nose), an electric tongue (E-tongue), gas chromatography–ion mobility spectrometry (GC-IMS), gas chromatography–mass spectrometry (GC-MS), and 16S rRNA amplicon sequencing. The results showed that the E-nose and E-tongue effectively distinguished samples across fermentation stages. The pork sour meat was analyzed using GC-IMS and GC-MS, which identified 39 and 81 volatile compounds (VOCs), respectively, primarily esters, alcohols, and aldehydes, with esters being most abundant after 45 days of fermentation. A total of 18 and 25 volatile compounds, respectively, were identified by GC-IMS and GC-MS as differential VOCs (p < 0.05, VIP > 1) of the pork sour meat. α-diversity increased in both species’ richness and diversity over the course of fermentation, while β-diversity analysis further differentiated samples across stages. Firmicutes dominated the bacterial community, with Staphylococcus, Lactobacillus, and Weissella as the main genera. Pearson correlation analysis revealed distinct associations between bacteria and volatiles: Staphylococcus was positively associated with butyl acetate-D, ethyl acetate, isoamyl acetate, dihydroactinidiolide, and (E)-2-heptenal, while Lactobacillus and Weissella were positively associated with acetic acid. Additionally, Weissella showed positive correlations with eight volatile compounds: acetic acid, nonanal, benzyl alcohol, ethyl crotonate, isoamyl acetate, dihydroactinidiolide, octanal, and ethyl acetate. This study provides a comprehensive understanding of volatile compound evolution and bacterial succession in pork sour meat, thereby offering a scientific basis for understanding and regulating its flavor quality. Full article
(This article belongs to the Special Issue Flavor, Palatability, and Consumer Acceptance of Foods)
Show Figures

Figure 1

17 pages, 2777 KB  
Article
Long-Term Saline Water Adaptation Alters the Meat Quality of Micropterus salmoides from a New Salt-Tolerant Population
by Caixia Lei, Hanru Song, Peng Wang, Hongmei Song, Jingxin Du, Tao Zhu, Jing Tian and Shengjie Li
Foods 2025, 14(18), 3180; https://doi.org/10.3390/foods14183180 - 12 Sep 2025
Viewed by 555
Abstract
Meat quality critically influences product value and consumer preferences. Here, the effect of long-term saline adaptation on flesh nutritional quality, sensory value, texture, and flavor was evaluated in a new Micropterus salmoides salt-tolerant population. The results showed that the salt-tolerant population exhibited decreased [...] Read more.
Meat quality critically influences product value and consumer preferences. Here, the effect of long-term saline adaptation on flesh nutritional quality, sensory value, texture, and flavor was evaluated in a new Micropterus salmoides salt-tolerant population. The results showed that the salt-tolerant population exhibited decreased lipid, saturated fatty acid, and long-chain polyunsaturated fatty acid contents but increased monounsaturated fatty acid content, accompanied by upregulated elongase 5 and fatty acid desaturase 6 mRNA levels. The meat color of the new population was brighter and fresher, with a slightly less red tint, and the increased 2,3-butanedione content resulted in a desirable creamy aroma. 3-Pentanone was the most abundant volatile substance in both populations. Regarding taste parameters, the salt-tolerant population had improved hardness, stickiness, chewiness, resilience, cooking loss, myocyte space, and collagen content. Alanine, proline, and histidine were the main amino acids responsible for flavor presentation. The salt-tolerant population was found to have lower bitter and higher sweet amino acid contents. Higher umami nucleotides and lower pH intensified umami and sourness in salt-tolerant meat. The saltiness of the new-population meat was enhanced. This study comprehensively evaluated the flesh quality of a salt-tolerant M. salmoides population with the potential for cultivation, thereby providing a reference for its potential development as an alternative aquaculture strain. Full article
(This article belongs to the Section Meat)
Show Figures

Figure 1

30 pages, 4276 KB  
Article
Effect of Fruit Powders as Natural Alternatives to Sodium Nitrite on Lipid Oxidation in Clean-Label Salami
by Adriana-Ioana Moraru Manea, Ileana Cocan, Delia-Gabriela Dumbrava and Mariana-Atena Poiana
Foods 2025, 14(13), 2262; https://doi.org/10.3390/foods14132262 - 26 Jun 2025
Cited by 2 | Viewed by 684
Abstract
Public concerns about the health risks of synthetic antioxidants have prompted the meat industry to look for natural alternatives rich in phenols with strong antioxidant properties. This study investigates the use of blackcurrant (BCP), lingonberry (LP), and sour cherry (SCP) powders as natural [...] Read more.
Public concerns about the health risks of synthetic antioxidants have prompted the meat industry to look for natural alternatives rich in phenols with strong antioxidant properties. This study investigates the use of blackcurrant (BCP), lingonberry (LP), and sour cherry (SCP) powders as natural substitutes for synthetic nitrites in reformulating two clean-label salami types, smoked and cooked and smoked and scalded, with a focus on their effects on oxidative stability during processing and refrigerated storage (4 °C). Nitrite-free formulations were prepared with each fruit powder at three inclusion levels to provide total phenolic contents of 90, 200, and 300 mg gallic acid equivalents (GAE)/kg of processed meat. A nitrite-containing control (90 mg/kg) and an additive-free control were included for comparison. The phytochemical profiles of powders were characterized by total phenolic, flavonoid, monomeric anthocyanin contents, and L-ascorbic acid levels. Antioxidant activity was assessed via 1,1-diphenyl-2-picrylhydrazyl (DPPH) radical scavenging and ferric reducing antioxidant power (FRAP) assays. Salami samples were analyzed for proximate composition, and lipid oxidation was monitored at 0, 15, and 30 days of storage using peroxide value, inhibition of oxidation, p-anisidine value, TOTOX, and thiobarbituric acid value. Fruit powders demonstrated dose- and type-dependent inhibition of primary and secondary lipid oxidation, enhancing oxidative stability during processing and storage. After 30 days of storage, oxidation markers in fruit-enriched salami remained below recommended thresholds, confirming effective control of lipid oxidation. The inhibitory potential followed the order BCP > LP > SCP, consistent with antioxidant profiles as reflected by DPPH and FRAP values. BCP at 300 mg GAE/kg showed a stronger lipid oxidation inhibition than sodium nitrite. Promising improvements in lipid oxidation resistance were also observed with LP at 300 mg GAE/kg and BCP at 200 mg GAE/kg. These findings highlight the potential of fruit-derived antioxidants to support the development of more sustainable, value-added meat products without compromising quality. Full article
(This article belongs to the Special Issue Feeding and Processing Affect Meat Quality and Sensory Evaluation)
Show Figures

Graphical abstract

19 pages, 1406 KB  
Article
Soy Protein Isolate Supplementation Favorably Regulates the Fermentation Characteristics of Debaryomyces hansenii and Flavor Profile in a Sausage Model
by Wenwen Duan, Qiujin Zhu and Jing Wan
Foods 2025, 14(11), 1840; https://doi.org/10.3390/foods14111840 - 22 May 2025
Cited by 1 | Viewed by 1452
Abstract
The metabolic activity of fermentative microorganisms plays a critical role in determining the flavor profile of fermented meat products. Modulating carbon and nitrogen sources represents a promising strategy for enhancing product quality. In this study, Debaryomyces hansenii strains isolated from dry-cured ham were [...] Read more.
The metabolic activity of fermentative microorganisms plays a critical role in determining the flavor profile of fermented meat products. Modulating carbon and nitrogen sources represents a promising strategy for enhancing product quality. In this study, Debaryomyces hansenii strains isolated from dry-cured ham were assessed in a sterile sausage model to evaluate the effects of different carbon sources (sucrose, corn starch) and nitrogen sources (leucine, soy protein isolate) on colony growth, enzyme activity, and physicochemical properties. These nutritional factors significantly affected the fermentation performance of D. hansenii. Corn starch and soy protein isolate increased colony count by 14.94% and 90%, respectively, and enhanced protease activity by 2-fold and 4.5-fold. Both treatments maintained high lipase activity (>50 U/g). Both supplements improved the water-holding capacity and decreased the water activity. Carbon sources reduced the medium pH, whereas nitrogen sources contributed to the maintenance of pH stability. A further analysis indicated that corn starch promoted the accumulation of aldehydes and ketones, which intensified the sourness and suppressed the saltiness. In contrast, soy protein isolate increased the abundance of free amino acids associated with umami and sweetness, and stimulated the formation of esters, ketones, and pyrazines, thereby enhancing flavor richness and umami intensity. Both ingredients also reduced saturated fatty acid levels and increased the unsaturated to saturated fatty acid ratio. Soy protein isolate exhibited a more pronounced effect on D. hansenii fermentation. This study provides a technical reference for enhancing the flavor characteristics of fermented meat products via the adjustment of carbon and nitrogen sources to regulate D. hansenii fermentation. Full article
(This article belongs to the Special Issue Food Microorganism Contribution to Fermented Foods)
Show Figures

Graphical abstract

12 pages, 1069 KB  
Article
Portable Smoking Ovens: What Are the PAH Levels in Grilled and Smoked Rainbow Trout?
by Paul Uiuiu, Daniel Cocan, Călin Lațiu, Radu Constantinescu, Vioara Mireșan, Tudor Papuc, Raul-Lucian Savin, Andrada Ihuț, Camelia Răducu, Anca Becze, Cristina Craioveanu and Bogdan Alin Vlaic
Fishes 2025, 10(2), 82; https://doi.org/10.3390/fishes10020082 - 18 Feb 2025
Viewed by 1551
Abstract
Fish smoking is one of the oldest preservation methods and has traditional forms in most parts of the world, each with distinct variables. The presence of PAHs in smoked fish is of great concern for producers and consumers alike, as PAHs have great [...] Read more.
Fish smoking is one of the oldest preservation methods and has traditional forms in most parts of the world, each with distinct variables. The presence of PAHs in smoked fish is of great concern for producers and consumers alike, as PAHs have great negative effects on human health. This study aimed to determine the physicochemical characteristics and polycyclic aromatic hydrocarbons (PAHs) content level in smoked rainbow trout Oncorhynchus mykiss (Walbaum, 1792) processed using a commercial portable grilling and smoking oven. Sawdust of hardwood (beech, cherry, sour cherry, walnut, and plum) and softwood (fir, willow) were used to produce aromatic essences. The principal component analysis (PCA) revealed that different tree species tend to accumulate different PAHs in different concentrations. In the case of the generalized additive model (GAM) analyzing fish meat, fir tree reduced the concentration of PAHs in fish meat. When GAM analyzed fish skin, cherry, sour cherry, and willow trees significantly reduced the concentrations of PAHs in fish skin compared to beech trees. Furthermore, the results regarding the skin of the fish suggest that it acts as a protective barrier, trapping smoke particulates and reducing the penetration of PAHs into the meat. The present method clearly shows that, at least in the case of Benzo[a]pyrene, it is safer than traditional methods of smoking. This highlights the need for further research into the physicochemical properties of fish tissue and their impact on PAH accumulation. Full article
Show Figures

Graphical abstract

29 pages, 3513 KB  
Article
From Liking to Following: The Role of Food Preferences, Taste Perception, and Lifestyle Factors in Adherence to the Mediterranean Diet Among Young Individuals
by José V. Sorlí, Edurne de la Cámara, José I. González, Olga Portolés, Ignacio M. Giménez-Alba, Rebeca Fernández-Carrión, Oscar Coltell, Inmaculada González-Monje, Carmen Saiz, Eva C. Pascual, Laura V. Villamil, Dolores Corella, Eva M. Asensio and Carolina Ortega-Azorín
Nutrients 2025, 17(3), 600; https://doi.org/10.3390/nu17030600 - 6 Feb 2025
Cited by 2 | Viewed by 3447
Abstract
Background and aims: The Mediterranean diet (MedDiet) is a healthy dietary pattern associated with reduced risk of chronic diseases. However, adherence is declining, particularly among younger populations. Therefore, it is crucial to identify the main aspects that affect its adherence, particularly food preferences [...] Read more.
Background and aims: The Mediterranean diet (MedDiet) is a healthy dietary pattern associated with reduced risk of chronic diseases. However, adherence is declining, particularly among younger populations. Therefore, it is crucial to identify the main aspects that affect its adherence, particularly food preferences and sensory function, which have received insufficient attention. Our aims were to investigate the impact of socio-demographic and lifestyle factors on adherence to the MedDiet among young individuals; to assess the association of taste preferences and food liking with MedDiet adherence; and to evaluate the associations between taste perception modalities, taste and food preferences, and adherence. Methods: A cross-sectional study on young adults (aged 20.5 ± 4.7 years) in a Mediterranean country (n = 879) was carried out. Demographic characteristics, clinical characteristics, anthropometric characteristics, lifestyle characteristics, MedDiet adherence, taste preferences, and food preferences were assessed. Taste perception for bitter, salty, sweet, sour, and umami was determined by rating different concentrations of prototypical tastants. We computed a total taste perception score and three scores to combine food preferences. Results: We identified several socio-demographic and lifestyle factors associated with adherence to the MedDiet, as well as food preferences, taste preferences, and taste perception determinants. Food preferences were significantly associated with total adherence to the MedDiet. Higher preference for olive oil, oranges, broccoli, fish, and legumes was associated with higher MedDiet adherence (p < 0.05 for all). Conversely, higher preference for sweet foods, red meat, and butter was associated with lower adherence (p < 0.05 for all). The combined positive score for food preference was strongly associated with higher MedDiet adherence (p = 1.4 × 10−23) in the multivariate adjusted model. The combined negative food preference score was inversely associated (p = 1.9 × 10−8). Likewise, taste preferences were significantly associated with adherence to the MedDiet (strong inverse association for sweet taste preference and direct association for bitter taste preference; both p < 0.001). Moreover, bitter taste perception was inversely associated with adherence to the MedDiet and with bitter foods (p < 0.05). In conclusion, future precision nutrition studies should measure food liking and taste preferences, which are crucial determinants of MedDiet adherence, especially in young people. Full article
Show Figures

Figure 1

16 pages, 3080 KB  
Article
Evaluation of Meat Quality in Duhu Hybrid Lambs Reared in Different Conditions
by Wanhang Jia, Jiaxin Yang, Binglei Zhang, Saiyi Sun, Xueru Dou, Guoyan Ren and Yuqin Wang
Foods 2024, 13(23), 3969; https://doi.org/10.3390/foods13233969 - 9 Dec 2024
Cited by 2 | Viewed by 1736
Abstract
In the western Henan agricultural area, Duhu (Dupo♂ × Hu sheep♀) hybrid lambs are the primary breed of local meat sheep, predominantly raised in large-scale indoor feeding systems, although many farmers still rely on grazing. However, limited research exists on the meat quality [...] Read more.
In the western Henan agricultural area, Duhu (Dupo♂ × Hu sheep♀) hybrid lambs are the primary breed of local meat sheep, predominantly raised in large-scale indoor feeding systems, although many farmers still rely on grazing. However, limited research exists on the meat quality of Duhu lambs under both grazing and indoor feeding systems. This study examined how grazing and indoor feeding affect the nutritional quality, flavor, amino acid profile, and fatty acid composition of 7-month-old Duhu lamb meat. Grazed lamb meat exhibited significantly (p < 0.05) higher moisture, protein content, hardness, adhesiveness, springiness, rubberiness, chewiness, and resilience than indoor-fed lamb. Regarding aroma, ammonia, oxidized compounds, and inorganic sulfides were more pronounced and stable in grazed lamb meat. Flavor analysis showed stronger bitter, salty, and sweet profiles in grazed lamb meat, whereas the sour flavor was more pronounced in indoor-fed meat. Among the volatile flavor compounds, 26 organic compounds were identified in grazed lamb meat compared with 12 in indoor-fed meat, with 1 compound common. Additionally, 16 amino acids were found in both feeding systems, with amino acid levels significantly higher (p < 0.01) in indoor-fed lamb. In total, 25 fatty acids were detected in grazed lamb meat, whereas 15 were found in indoor-fed meat, with 11 showing significantly different levels (p < 0.05). Indoor-fed lamb meat exhibited a considerably higher saturated fatty acid content (p < 0.05) compared to grazed lamb meat, while the n-3 polyunsaturated fatty acid content was significantly lower (p < 0.05). Full article
(This article belongs to the Section Meat)
Show Figures

Figure 1

16 pages, 645 KB  
Review
The Contribution of Microorganisms to the Quality and Flavor Formation of Chinese Traditional Fermented Meat and Fish Products
by Jingjing Mao, Xinyi Wang, Hongfan Chen, Zhiping Zhao, Dayu Liu, Yin Zhang and Xin Nie
Foods 2024, 13(4), 608; https://doi.org/10.3390/foods13040608 - 17 Feb 2024
Cited by 18 | Viewed by 4498
Abstract
Guizhou sour meat and sour fish, Chaoshan fish sauce, Sichuan sausage and bacon, Cantonese sausage, Jinhua ham, and Xinjiang air-dried beef are eight representatives of Chinese traditional fermented meat and fish products (FMFPs), which are favored by Chinese consumers due to their high [...] Read more.
Guizhou sour meat and sour fish, Chaoshan fish sauce, Sichuan sausage and bacon, Cantonese sausage, Jinhua ham, and Xinjiang air-dried beef are eight representatives of Chinese traditional fermented meat and fish products (FMFPs), which are favored by Chinese consumers due to their high nutritional value and quality. The quality of the spontaneously fermented Chinese traditional FMFP is closely correlated with microorganisms. Moreover, the dominant microorganisms are significantly different due to regional differences. The effects of microorganisms on the texture, color, flavor, nutrition, functional properties, and safety of Chinese traditional FMFPs have not been not fully described. Additionally, metabolic pathways for flavor formation of Chinese traditional FMFPs have not well been summarized. This article describes the seven characteristic Chinese traditional FMFPs and correlated dominant microorganisms in different regions of China. The effects of microorganisms on the texture, color, and flavor of Chinese traditional FMFPs are discussed. Furthermore, the metabolic pathways of microbial regulation of flavor formation in Chinese traditional FMFPs are proposed. This work provides a theoretical basis for improvement of Chinese traditional FMFPs by inoculating functional microorganisms isolated from Chinese traditional fermented foods. Full article
Show Figures

Figure 1

15 pages, 1183 KB  
Review
Flavour Characteristics of Fermented Meat Products in China: A Review
by Mai Hao, Wei Wang, Jiamin Zhang and Lin Chen
Fermentation 2023, 9(9), 830; https://doi.org/10.3390/fermentation9090830 - 12 Sep 2023
Cited by 18 | Viewed by 5494
Abstract
Fermentation of meat products refers to a series of physical, biological or chemical changes in raw meat that occurs under the actions of enzymes or via microbial fermentation and results in the formation of meat products with special flavours, colours and textures that [...] Read more.
Fermentation of meat products refers to a series of physical, biological or chemical changes in raw meat that occurs under the actions of enzymes or via microbial fermentation and results in the formation of meat products with special flavours, colours and textures that have a long history in China. These products have a unique fermented flavour, bright colour and longer shelf life than ordinary meat products, and some have proteins that are more easily absorbed by the body due to the fermentation of beneficial bacteria. Flavour development in meat products is a dynamic process. During the processing and storage of fermented meat products, the breakdown of proteins and fats is accelerated due to the addition of different fermenting agents. Moreover, the physicochemical reactions that occur within the meat products and the actions of microorganisms during the fermentation process result in the production of flavour compounds, which will determine the final flavour characteristics of the fermented meat product. This paper reviews the flavour characteristics of Chinese dry-cured hams, sausages, bacon, cured fish and sour meat and analyses the flavour substance composition of various products. Due to the differences in the raw materials, processes, auxiliary materials and fermentation processes of various types of fermented meat products in China (ham, sausage, bacon, etc.), the flavour substances contained in the various types of fermented meat products in China are different from each other. However, most fermented meat products in China are cured and fermented, and therefore, they share similarities in terms of their flavour substance composition. The flavour substances in fermented meat products mainly include alcohols, ketones, aldehydes, acids, phenols and aromatic hydrocarbons. The study of such flavour characteristics is of great significance in fermented meat product quality, and provides certain theoretical references for the study of domestic fermented meat products. Full article
(This article belongs to the Special Issue Assessment of the Quality and Safety of Fermented Foods 2.0)
Show Figures

Figure 1

12 pages, 1949 KB  
Article
Characterization of the Key Aroma Compounds in Different Yeast Proteins by GC-MS/O, Sensory Evaluation, and E-Nose
by Jiahui Chen, Dandan Pu, Yige Shi, Baoguo Sun, Hui Guo, Ku Li and Yuyu Zhang
Foods 2023, 12(16), 3136; https://doi.org/10.3390/foods12163136 - 21 Aug 2023
Cited by 10 | Viewed by 3124
Abstract
The unique odors of yeast proteins (YPs) are decisive for their application in meat substitutes. Sensory evaluation, electronic nose, and gas chromatography–mass spectrometry/olfactory (GC-MS/O) were combined to characterize the aroma profiles and aroma-active compounds of YPs. The sensory evaluation results indicate that the [...] Read more.
The unique odors of yeast proteins (YPs) are decisive for their application in meat substitutes. Sensory evaluation, electronic nose, and gas chromatography–mass spectrometry/olfactory (GC-MS/O) were combined to characterize the aroma profiles and aroma-active compounds of YPs. The sensory evaluation results indicate that the sweaty aroma had the strongest intensity in YP #10, followed by rice bran, sour, and plastic. The electronic nose could effectively distinguish the aroma differences among five YPs. A total of 27 aroma-active compounds in the five YPs were identified by GC-MS/O. The concentration of 2-methyl-propanoic acid (6.37 μg/kg), butanoic acid (47.46 μg/kg), 3-methyl-butanoic acid (22.50 μg/kg), and indole (943.40 μg/kg) in YP #10’s aroma was higher than that of the other YPs. The partial least squares regression method results show that o-cresol, (3S)-3,7-dimethyloct-7-en-1-ol, benzyl alcohol, octanal, 2-methyl-propanoic acid, butanoic acid, 3-methyl-butanoic acid, hexanal, heptanal, and indole were predicted as the potential aroma-active compounds significantly contributing to the aroma profiles of the five YPs. Addition experiments confirmed that the overall aroma profile intensities of the five YP samples were extended with the addition of these ten compounds, verifying their significant contributions. Full article
(This article belongs to the Section Meat)
Show Figures

Figure 1

17 pages, 2646 KB  
Article
Characterization of Flavor Profile of “Nanx Wudl” Sour Meat Fermented from Goose and Pork Using Gas Chromatography–Ion Mobility Spectrometry (GC–IMS) Combined with Electronic Nose and Tongue
by Xin Zhao, Jianying Feng, Luca Laghi, Jing Deng, Xiaofang Dao, Junni Tang, Lili Ji, Chenglin Zhu and Gianfranco Picone
Foods 2023, 12(11), 2194; https://doi.org/10.3390/foods12112194 - 30 May 2023
Cited by 27 | Viewed by 3917
Abstract
Sour meat is a highly appreciated traditional fermented product, mainly from the Guizhou, Yunnan, and Hunan provinces. The flavor profiles of sour meat from goose and pork were evaluated using gas chromatography–ion mobility spectrometry (GC–IMS) combined with an electronic nose (E-nose) and tongue [...] Read more.
Sour meat is a highly appreciated traditional fermented product, mainly from the Guizhou, Yunnan, and Hunan provinces. The flavor profiles of sour meat from goose and pork were evaluated using gas chromatography–ion mobility spectrometry (GC–IMS) combined with an electronic nose (E-nose) and tongue (E-tongue). A total of 94 volatile compounds were characterized in fermented sour meat from both pork and goose using GC–IMS. A data-mining protocol based on univariate and multivariate analyses revealed that the source of the raw meat plays a crucial role in the formation of flavor compounds during the fermentation process. In detail, sour meat from pork contained higher levels of hexyl acetate, sotolon, heptyl acetate, butyl propanoate, hexanal, and 2-acetylpyrrole than sour goose meat. In parallel, sour meat from goose showed higher levels of 4-methyl-3-penten-2-one, n-butyl lactate, 2-butanol, (E)-2-nonenal, and decalin than sour pork. In terms of the odor and taste response values obtained by the E-nose and E-tongue, a robust principal component model (RPCA) could effectively differentiate sour meat from the two sources. The present work could provide references to investigate the flavor profiles of traditional sour meat products fermented from different raw meats and offer opportunities for a rapid identification method based on flavor profiles. Full article
(This article belongs to the Special Issue Development of Analytical Methods in the Field of Food Analysis)
Show Figures

Figure 1

16 pages, 1995 KB  
Article
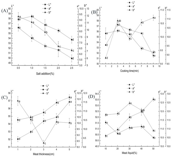
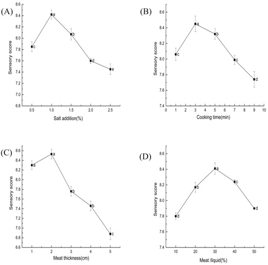
Effects of Process Parameters on the Quality of Suantang Beef
by Fangrui Liu, Chan Wang, Cuiqin Li, Laping He, Xiao Wang, Xuefeng Zeng and Yifeng Dai
Foods 2022, 11(22), 3585; https://doi.org/10.3390/foods11223585 - 11 Nov 2022
Cited by 5 | Viewed by 2553
Abstract
Suantang beef is a traditional delicious Chinese food cooked in Suantang (ST, a sour soup fermented by microorganisms). However, the impact of ST on beef quality is unclear, and the process of ST beef lacks unified technical standards. In the presented study, we [...] Read more.
Suantang beef is a traditional delicious Chinese food cooked in Suantang (ST, a sour soup fermented by microorganisms). However, the impact of ST on beef quality is unclear, and the process of ST beef lacks unified technical standards. In the presented study, we found that the additional amount of salt, cooking time, meat thickness, and beef–ST ratio significantly affect the quality of ST beef. After optimization, it was found that when salt addition was 1%, cooking time was 3 min, meat thickness was 2 cm, and beef–ST ratio was 40%, the color determined by colorimeter, texture determined by texture analyzer, and sensory scores of beef cooked by ST were improved compared with boiled beef. ST decreased the pH value and cathepsin L activity of beef, increased the content of organic acid, and changed the protein composition of beef. ST made the beef have higher hardness, and have better chewiness and cohesion. At the same time, ST reduced the disagreeable odors of beef and improved beef flavor. In addition, 88 volatile compounds were detected in ST beef by HS-SPME/GC-MS. According to odor, threshold, and odor activity value (OAV), 24 critical aroma-active compounds were confirmed in ST beef. This study provides a basis for the potential industrialized production of ST beef. Full article
(This article belongs to the Section Meat)
Show Figures

Figure 1

11 pages, 1170 KB  
Article
Optimization of Jinhua Ham Classification Method Based on Volatile Flavor Substances and Determination of Key Odor Biomarkers
by Ying Xu, Mengzhu Shui, Da Chen, Xiaozhong Ma and Tao Feng
Molecules 2022, 27(20), 7087; https://doi.org/10.3390/molecules27207087 - 20 Oct 2022
Cited by 15 | Viewed by 2779
Abstract
Jinhua ham is a traditional cured meat food in China. For a long time, its grade has mainly been evaluated by the human nose through the three-sticks method, which is highly subjective and is not conducive to establishing evaluation standards through odor markers. [...] Read more.
Jinhua ham is a traditional cured meat food in China. For a long time, its grade has mainly been evaluated by the human nose through the three-sticks method, which is highly subjective and is not conducive to establishing evaluation standards through odor markers. In this paper, we analyzed the well-graded Grade I–III hams provided by Jinzi Ham Co., Ltd. (Jinhua, China). Firstly, we used different extraction fibers, extraction temperatures, and extraction time to determine the optimal conditions for headspace solid-phase microextraction (HS-SPME). Then, the aroma components of Jinhua ham were analyzed by headspace solid-phase microextraction combined with gas chromatography–mass spectrometry (GC–MS), and OAV was calculated to screen the key aroma volatiles of three kinds of Jinhua ham. It was found that a total of 56 components were detected in the three types of ham. Among them, there are 21 kinds of key aroma volatiles. Aldehydes, alcohols, and acids are the three main components of Jinhua ham, and the content of aldehydes gradually decreases from Grade I to Grade III ham. The content of acids gradually increased, and we speculated that the increase in acid content was caused by the proliferation of microorganisms in Grade III ham. The key flavor volatiles in Grade I hams was hexanal and 2-methylbutanal. Grade I hams had a strong meat aroma, pleasant fatty, and roasted aroma without any off-flavors. In Grade II ham, the characteristic volatiles (E,E)-2,4-decadienal and ethyl isovalerate were detected. These two volatiles contribute greatly to the flavor of Grade II ham, which makes the flavor of Grade II ham have a special fruity aroma. They also may be prone to sourness and affect the flavor of the ham. Volatiles with low threshold values, such as pyrazines, furans, and sulfur-containing compounds, were relatively high in Grade III hams. This may also contribute to the poorer flavor quality of Grade III hams. This experiment provided a reliable test method and evaluation basis for the rating of Jinhua ham. These results have positive implications for the establishment of odor markers-based grading criteria. Full article
Show Figures

Figure 1

15 pages, 1568 KB  
Article
A Comparison of Fresh and Frozen Lamb Meat—Differences in Technological Meat Quality and Sensory Attributes
by Elin Stenberg, Katarina Arvidsson-Segerkvist, Anders H. Karlsson, Aðalheiður Ólafsdóttir, Óli Þór Hilmarsson, María Gudjónsdóttir and Guðjón Thorkelsson
Animals 2022, 12(20), 2830; https://doi.org/10.3390/ani12202830 - 18 Oct 2022
Cited by 7 | Viewed by 3796
Abstract
Technological meat quality and sensory attributes of fresh and frozen lamb meat were compared. Samples were collected from two abattoirs (one small-scale, one large-scale) that use different slaughter methods in terms of chilling regime and electrical stimulation. The fresh and frozen meat samples [...] Read more.
Technological meat quality and sensory attributes of fresh and frozen lamb meat were compared. Samples were collected from two abattoirs (one small-scale, one large-scale) that use different slaughter methods in terms of chilling regime and electrical stimulation. The fresh and frozen meat samples included products from both slaughter systems. Ten twin pairs of ram lambs were used in the study, with one of each twin slaughtered at each abattoir. Fresh meat was analysed after chilling and frozen meat was stored frozen for three months and analysed after thawing. The Musculus longissimus thoracis et lumborum was analysed for colour, cooking loss, sensory attributes, Warner-Bratzler shear force (WBSF) and distribution of water and lipid within each meat sample. Meat samples analysed after frozen storage were darker, less red and more yellow than the fresh meat. Freezing and frozen storage increased fluid loss and WBSF compared with the fresh meat, due to protein denaturation. Frozen storage affected sensory attributes by increasing fatty odour, frying flavour, sour flavour, fatty flavour and liver flavour, and by reducing juicy texture and mushy texture. Full article
(This article belongs to the Collection Carcass Composition and Meat Quality of Small Ruminants)
Show Figures

Figure 1

15 pages, 9070 KB  
Article
Combination of Chitosan, Tea Polyphenols, and Nisin on the Bacterial Inhibition and Quality Maintenance of Plant-Based Meat
by Zenghui Dai, Linna Han, Zhe Li, Mengqing Gu, Zhigang Xiao and Fei Lu
Foods 2022, 11(10), 1524; https://doi.org/10.3390/foods11101524 - 23 May 2022
Cited by 36 | Viewed by 4701
Abstract
Plant-based meat products have gained attention in the food industry and with consumers. Plant-based meat products primarily comprise plant proteins and are rich in nutrients. However, the products are highly susceptible to bacterial contamination during storage. Biological preservatives are easily degradable alternatives to [...] Read more.
Plant-based meat products have gained attention in the food industry and with consumers. Plant-based meat products primarily comprise plant proteins and are rich in nutrients. However, the products are highly susceptible to bacterial contamination during storage. Biological preservatives are easily degradable alternatives to chemical preservatives and can preserve different kinds of food. In order to investigate the preservation properties of chitosan (CS), tea polyphenols (TPs), and nisin treatments on plant-based meats, the sensory evaluation, color difference, pH, TBARS, and the total plate count of E. coli, S. aureus, and Salmonella, indicators of the biological preservative-treated plant-based meat, were determined in this study. The experiment involved blank control- and biological preservative-treated samples. We found that the total microbial count exceeded the national standard provisions in the control samples stored for 14 days. The colors, tissue structures, and flavors of plant-based meat have gradually deteriorated, with the sensory score dropping from 90 to 52. The sample had a loose tissue structure and an obvious sour taste. However, the shelf life of the plant-based meat samples treated with different combinations of the biological preservatives increased compared to the shelf life of the control samples. After 56 d of storage, 1% chitosan, 2.5% tea polyphenols, and 0.04% nisin sensory reduction to 56, the total number of colonies and S. aureus were 4.91 and 2.95 lg CFU/g, approaching the national standard threshold; E. coli was 2 lg CFU/g, reaching the national standard threshold. Thus, the samples treated with 1% chitosan, 2.5% tea polyphenols, and 0.04% nisin had the longest shelf life (56 days) among all experimental groups. Hence, this study reveals that a combination of biological preservatives may be a non-toxic alternative for the efficient preservation of plant-based meat products. Full article
(This article belongs to the Special Issue Meat Quality and Microbial Analysis)
Show Figures

Graphical abstract

Back to TopTop