From Food Waste to Edible Packaging: Development and Characterization of Biodegradable Gelatin Films with Microfibrillated Cellulose from Cowpea Pod Skin (Vigna unguiculata) and Corn Straw (Zea mays)
Abstract
1. Introduction
2. Materials and Methods
2.1. Preparation of Microcelluloses
2.2. Experimental Design and Film Preparation
2.3. Film Characterization
2.3.1. Thickness and Mechanical Properties: Tensile Strength (TS) and Elongation at Break (EB)
2.3.2. Water Vapor Permeability (WVP)
2.3.3. Color and Opacity
2.3.4. Solubility
2.3.5. Fourier Transform Infrared Spectroscopy (FTIR)
2.3.6. Degradability
2.3.7. Thermogravimetric Analysis (TGA/DTG)
2.3.8. X-Ray Diffraction (XRD)
2.3.9. Scanning Electron Microscopy (SEM)
2.3.10. Statistical Analysis
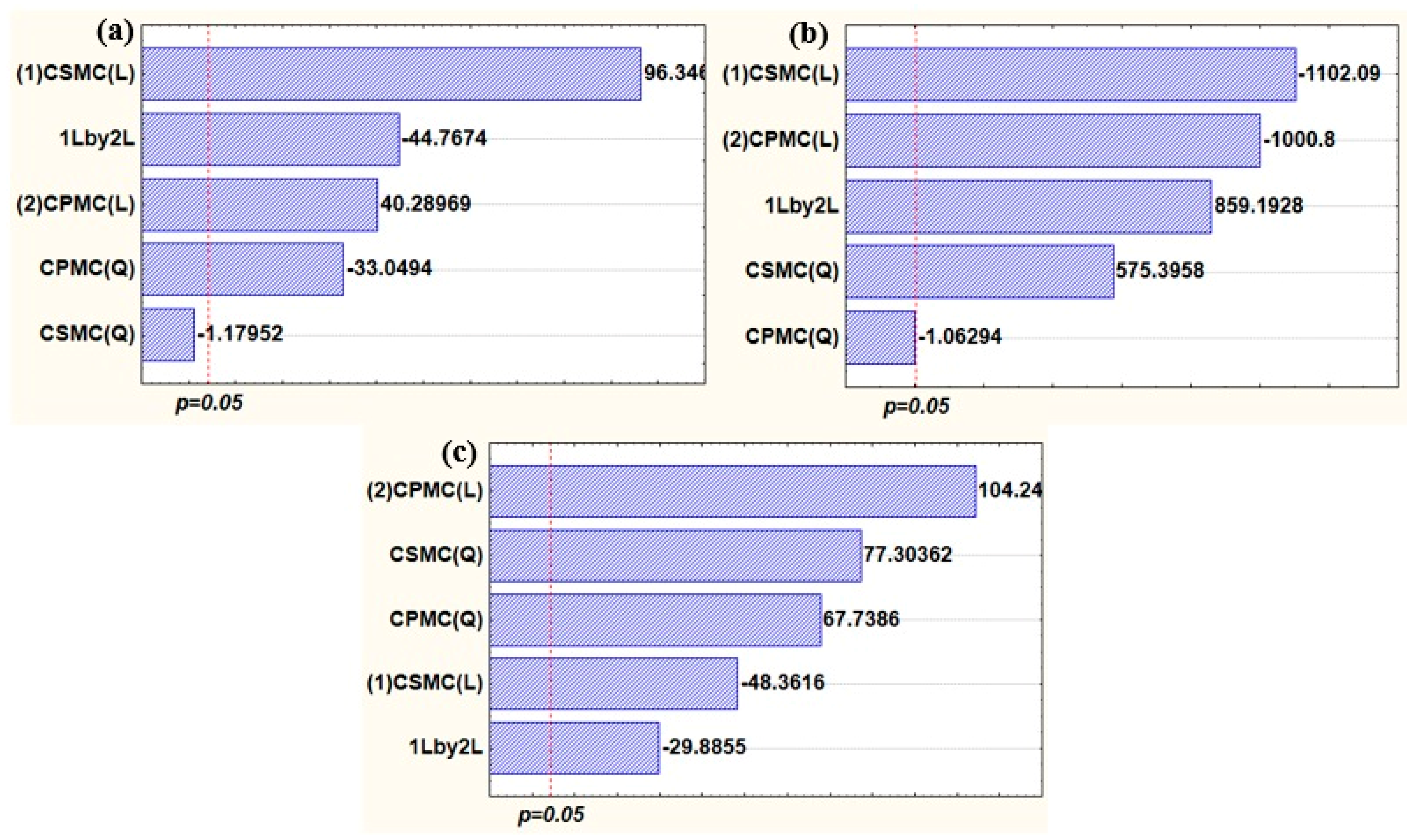
3. Results and Discussion
3.1. Film Production Conditions
3.2. Characterization of the Films
3.3. FTIR Spectrophotometry of the Films
3.4. Soil Degradation
3.5. Thermal Properties
3.6. Structural Characterization by X-Ray Diffraction (XRD)
3.7. Morphological Characterization by Scanning Electron Microscopy (SEM)
4. Conclusions
Author Contributions
Funding
Data Availability Statement
Acknowledgments
Conflicts of Interest
References
- United Nations Environment Programme (UNEP). Food Waste Index Report 2024|UNEP—UN Environment Programme. Available online: https://www.unep.org/news-and-stories/press-release/world-squanders-over-1-billion-meals-day-un-report (accessed on 25 July 2025).
- Nova-Institute. Bio-Based Building Blocks and Polymers—Global Capacities, Production and Trends 2023–2028|Nova-Institute. Available online: https://renewable-carbon.eu/publications/product/bio-based-building-blocks-and-polymers-global-capacities-production-and-trends-2023-2028/ (accessed on 25 July 2025).
- Muralidharan, V.; Gochhayat, S.; Palanivel, S.; Madhan, B. Influence of Preparation Techniques of Cellulose II Nanocrystals as Reinforcement for Tannery Solid Waste–Based Gelatin Composite Films. Environ. Sci. Pollut. Res. 2023, 30, 14284–14303. [Google Scholar] [CrossRef]
- Marotta, A.; Borriello, A.; Khan, M.R.; Cavella, S.; Ambrogi, V.; Torrieri, E. Boosting Food Packaging Sustainability Through the Valorization of Agri-Food Wasteand By-Products. Polymers 2025, 17, 735. [Google Scholar] [CrossRef]
- Schick, S.; Heindel, J.; Groten, R.; Seide, G.H. Overcoming Challenges in the Commercialization of Biopolymers: From Research to Applications—A Review. Polymers 2024, 16, 3498. [Google Scholar] [CrossRef]
- Sharma, R.; Nath, P.C.; Mohanta, Y.K.; Bhunia, B.; Mishra, B.; Sharma, M.; Suri, S.; Bhaswant, M.; Nayak, P.K.; Sridhar, K. Recent Advances in Cellulose-Based Sustainable Materials for Wastewater Treatment: An Overview. Int. J. Biol. Macromol. 2024, 256, 128517. [Google Scholar] [CrossRef]
- Periyasamy, T.; Asrafali, S.P.; Lee, J. Recent Advances in Functional Biopolymer Films with Antimicrobial and Antioxidant Properties for Enhanced Food Packaging. Polymers 2025, 17, 1257. [Google Scholar] [CrossRef]
- Souza, P.S.; Grisi, C.V.B.; Monção, É.C.; Da Silva, M.V.S.; Souza, A.L. Obtaining Microcellulose from Solid Agro-Waste by Ball Mill Assisted by Light Acid Hydrolysis Process. ACS Omega 2025, 10, 588–598. [Google Scholar] [CrossRef] [PubMed]
- Mathew, M.; Paroly, S.; Athiyanathil, S. Biopolymer-Based Electrospun Nanofiber Membranes for Smart Food Packaging Applications: A Review. RSC Adv. 2025, 15, 21742–21779. [Google Scholar] [CrossRef]
- Resendiz-Vázquez, J.A.; Verdín-García, M. Cellulose-Based Eco-Friendly Films: Microcellulose and Nanocellulose as Reinforcement Agents. In Cellulose-Based Eco-Friendly Films and Coatings; Taylor & Francis: Oxfordshire, UK, 2025. [Google Scholar]
- Hussain, S.A.; Yadav, M.P.; Sharma, B.K.; Qi, P.X.; Jin, T.Z. Biodegradable Food Packaging Films Using a Combination of Hemicellulose and Cellulose Derivatives. Polymers 2024, 16, 3171. [Google Scholar] [CrossRef]
- Tabassum, Z.; Girdhar, M.; Malik, T.; Kumar, A.; Mohan, A. Advancing Sustainability: A Novel Biopolymer-Based Degradable Nanoclay Composite Film for Next-Generation Packaging. Mater. Adv. 2024, 5, 8060–8073. [Google Scholar] [CrossRef]
- Cheng, J.; Gao, R.; Zhu, Y.; Lin, Q. Applications of biodegradable materials in food packaging: A review. Alex. Eng. J. 2024, 91, 70–83. [Google Scholar] [CrossRef]
- Chen, J.; Zhao, L.; Ling, J.; Yang, L.; Ouyang, X. A Quaternized Chitosan and Carboxylated Cellulose Nanofiber-Based Sponge with a Microchannel Structure for Rapid Hemostasis and Wound Healing. Int. J. Biol. Macromol. 2023, 233, 123631. [Google Scholar] [CrossRef]
- Sharma, A.; Thakur, M.; Bhattacharya, M.; Mandal, T.; Goswami, S. Commercial Application of Cellulose Nano-Composites—A Review. Biotechnol. Rep. 2019, 21, e00316. [Google Scholar] [CrossRef]
- Chin, K.; Ting, S.S.; Ong, H.L.; Omar, M. Surface Functionalized Nanocellulose as a Veritable Inclusionary Material in Contemporary Bioinspired Applications: A Review. J. Appl. Polym. Sci. 2018, 135, 46065. [Google Scholar] [CrossRef]
- Santos, R.; Bispo, D.; Granja, H.; Sussuchi, E.; Ramos, A.; Freitas, L. Pyrolysis of the Caupi Bean Pod (Vigna unguiculata): Characterization of Biomass and Bio-Oil. J. Braz. Chem. Soc. 2020, 31, 1125–1136. [Google Scholar] [CrossRef]
- Hao, Z.; Hamad, W.Y.; Yaseneva, P. Understanding the Environmental Impacts of Large-Scale Cellulose Nanocrystals Production: Case Studies in Regions Dependent on Renewable and Fossil Fuel Energy Sources. Chem. Eng. J. 2023, 478, 147160. [Google Scholar] [CrossRef]
- Souza, A.G.; Ferreira, R.R.; Paula, L.C.; Mitra, S.K.; Rosa, D.S. Starch-Based Films Enriched with Nanocellulose-Stabilized Pickering Emulsions Containing Different Essential Oils for Possible Applications in Food Packaging. Food Packag. Shelf Life 2021, 27, 100615. [Google Scholar] [CrossRef]
- Mellinas, C.; Ramos, M.; Jiménez, A.; Garrigós, M.C. Recent Trends in the Use of Pectin from Agro-Waste Residues as a Natural-Based Biopolymer for Food Packaging Applications. Materials 2020, 13, 673. [Google Scholar] [CrossRef]
- Feng, X.; Liu, T.; Ma, L.; Dai, H.; Fu, Y.; Yu, Y.; Yu, Y.; Zhu, H.; Wang, H.; Tan, H.; et al. A Green Extraction Method for Gelatin and Its Molecular Mechanism. Food Hydrocoll. 2022, 124, 107344. [Google Scholar] [CrossRef]
- Peng, L.; Wang, H.; Dai, H.; Fu, Y.; Ma, L.; Zhu, H.; Yu, Y.; Li, L.; Wang, Q.; Zhang, Y. Preparation and Characterization of Gelatin Films by Transglutaminase Cross-Linking Combined with Ethanol Precipitation or Hofmeister Effect. Food Hydrocoll. 2021, 113, 106421. [Google Scholar] [CrossRef]
- Dai, H.; Ou, S.; Huang, Y.; Huang, H. Utilization of Pineapple Peel for Production of Nanocellulose and Film Application. Cellulose 2018, 25, 1743–1756. [Google Scholar] [CrossRef]
- Sharma, N.; Allardyce, B.J.; Rajkhowa, R.; Agrawal, R. Biodegradable Cellulose and Cellulose Nanofibres-Based Coating Materials as a Postharvest Preservative for Horticultural Products. J. Polym. Environ. 2024, 32, 1500–1512. [Google Scholar] [CrossRef]
- Onyeaka, P.O.; Dai, H.; Feng, X.; Wang, H.; Fu, Y.; Yu, Y.; Zhu, H.; Chen, H.; Ma, L.; Zhang, Y. Effect of Different Types of Nanocellulose on the Structure and Properties of Gelatin Films. Food Hydrocoll. 2023, 144, 108972. [Google Scholar] [CrossRef]
- Valdés, A.; Martínez, C.; Garrigos, M.C.; Jimenez, A. Multilayer Films Based on Poly(Lactic Acid)/Gelatin Supplemented with Cellulose Nanocrystals and Antioxidant Extract from Almond Shell By-Product and Its Application on Hass Avocado Preservation. Polymers 2021, 13, 3615. [Google Scholar] [CrossRef] [PubMed]
- Leite, L.S.F.; Moreira, F.K.V.; Mattoso, L.H.C.; Bras, J. Electrostatic Interactions Regulate the Physical Properties of Gelatin–Cellulose Nanocrystals Nanocomposite Films Intended for Biodegradable Packaging. Food Hydrocoll. 2021, 113, 106424. [Google Scholar] [CrossRef]
- Leite, L.S.; Ferreira, C.M.; Corrêa, A.C.; Moreira, F.K.; Mattoso, L.H. Scaled-Up Production of Gelatin–Cellulose Nanocrystal Bionanocomposite Films by Continuous Casting. Carbohydr. Polym. 2020, 238, 116198. [Google Scholar] [CrossRef]
- Aranha, A.C.R.; Ferrari, A.L.; Nascimento, F.M.; Jorge, L.M.M.; Defendi, R.O. Assessment of Drying Temperature and Initial Moisture on Beans and Corn Seeds Drying Kinetics and Transport Properties. Sci. Plena 2023, 19, 044201. [Google Scholar] [CrossRef]
- Costa, G.F.; Grisi, C.V.B.; Meireles, B.R.L.A.; Sousa, S.; Cordeiro, A.M.T.M. Collagen Films, Cassava Starch and Their Blends: Physical–Chemical, Thermal, and Microstructure Properties. Packag. Technol. Sci. 2021, 35, 229–240. [Google Scholar] [CrossRef]
- ASTM D882-12; Standard Test Method for Tensile Properties of Thin Plastic Sheeting. ASTM International: West Conshohocken, PA, USA, 2012.
- ASTM E96-95; Standard Test Methods for Water Vapor Transmission of Materials. ASTM International: Philadelphia, PA, USA, 2016.
- Lee, J.H.; Lee, J.; Song, K.B. Development of a Chicken Feet Protein Film Containing Essential Oils. Food Hydrocoll. 2015, 46, 208–215. [Google Scholar] [CrossRef]
- Nor Amalini, A.; Norziah, M.H.; Khan, I.; Haafiz, M.K.M. Exploring the Properties of Modified Fish Gelatin Films Incorporated with Different Fatty Acid Sucrose Esters. Food Packag. Shelf Life 2018, 15, 105–112. [Google Scholar] [CrossRef]
- Kumar, U.S.U.; Paridah, M.T.; Owolabi, F.A.T.; Gopakumar, D.A.; Rizal, S.; Amirul, A.A.; Abdul Khalil, H.P.S. Neem Leaves Extract Based Seaweed Biodegradable Composite Films with Excellent Antimicrobial Activity for Sustainable Packaging Material. BioResources 2019, 14, 700–713. [Google Scholar] [CrossRef]
- Carli, C.D.; Aylanc, V.; Mouffok, K.M.; Santamaria-Echart, A.; Pereira, C.; Rodrigues, P.; Tom, A. Production of Chitosan-Based Biodegradable Active Films Using Bio-Waste Enriched with Polyphenol Propolis Extract Envisaging Food Packaging Applications. Int. J. Biol. Macromol. 2022, 213, 486–497. [Google Scholar] [CrossRef] [PubMed]
- Spagnol, C.; Fragal, E.; Witt, M.A.; Follman, H.D.M.; Silva, R.; Rubira, A.F. Mechanically Improved Polyvinyl Alcohol-Composite Films Using Modified Cellulose Nanowhiskers as Nano-Reinforcement. Carbohydr. Polym. 2018, 191, 25–34. [Google Scholar] [CrossRef]
- Florentino, G.I.B.; Lima, D.A.S.; Santos, M.M.F.; Ferreira, V.C.S.; Grisi, C.V.B.; Madruga, M.S.; da Silva, F.A.P. Characterization of a New Food Packaging Material Based on Fish By-Product Proteins and Passion Fruit Pectin. Food Packag. Shelf Life 2022, 33, 100920. [Google Scholar] [CrossRef]
- Elfaleh, I.; Abbassi, F.; Habibi, M.; Ahmad, F.; Guedri, M.; Nasri, M.; Garnier, C.A. A Comprehensive Review of Natural Fibers and Their Composites: An Eco-Friendly Alternative to Conventional Materials. Results Eng. 2023, 19, 101271. [Google Scholar] [CrossRef]
- Mehmood, Z.; Sadiq, M.B.; Khan, M.R. Gelatin Nanocomposite Films Incorporated with Magnetic Iron Oxide Nanoparticles for Shelf Life Extension of Grapes. J. Food Saf. 2020, 40, e12814. [Google Scholar] [CrossRef]
- Drobota, M.; Vlad, S.; Gradinaru, L.M.; Bargan, A.; Radu, I.; Butnaru, M.; Rîmbu, C.M.; Ciobanu, R.C.; Aflori, M. Composite Materials Based on Gelatin and Iron Oxide Nanoparticles for MRI Accuracy. Materials 2022, 15, 3479. [Google Scholar] [CrossRef] [PubMed]
- Shankar, S.; Wang, L.-F.; Rhim, J. Effect of Melanin Nanoparticles on the Mechanical, Water Vapor Barrier, and Antioxidant Properties of Gelatin-Based Films for Food Packaging Application. Food Packag. Shelf Life 2019, 21, 100363. [Google Scholar] [CrossRef]
- Azevedo, E.S.; Noreña, C.P.Z. Upcycling of Non-Pomace Residue of Grape Juice in the Functionalization of Polyelectrolyte Complexes for Biodegradable Freshness Indicators Development. Food Hydrocoll. 2023, 143, 108869. [Google Scholar] [CrossRef]
- Tessaro, L.; Lourenço, R.V.; Martelli-Tosi, M.; Sobral, P.J.A. Gelatin/Chitosan-Based Films Loaded with Nanocellulose from Soybean Straw and Activated with “Pitanga” (Eugenia uniflora L.) Leaf Hydroethanolic Extract in W/O/W Emulsion. Int. J. Biol. Macromol. 2021, 186, 328–340. [Google Scholar] [CrossRef]
- Rigotti, D.; Pegoretti, A. Recycling of LDPE-PVC Blends from Cable Waste: Mechanical Characterization and Performance Optimization. Results Mater. 2024, 23, 100608. [Google Scholar] [CrossRef]
- Yuan, Y.Y.; Xue, Q.Q.; Guo, Q.Q.; Wang, G.G.; Yan, S.S.; Wu, Y.Y.; Li, L.L.; Zhang, X.X.; Li, B.B. The Covalent Crosslinking of Dialdehyde Glucomannan and the Inclusion of Tannic Acid Synergistically Improved Physicochemical and Functional Properties of Gelatin Films. Food Packag. Shelf Life 2021, 30, 100747. [Google Scholar] [CrossRef]
- Klinmalai, P.; Srisa, A.; Laorenza, Y.; Katekhong, W. Antifungal and Plasticization Effects of Carvacrol in Biodegradable Poly(Lactic Acid) and Poly(Butylene Adipate Terephthalate) Blend Films for Bakery Packaging. LWT 2021, 152, 112356. [Google Scholar] [CrossRef]
- Psomiadou, E.; Arvanitoyannis, I.; Biliaderis, C.G.; Ogawa, H.; Kawasaki, N. Biodegradable Films Made from Low Density Polyethylene (LDPE), Wheat Starch and Soluble Starch for Food Packaging Applications. Carbohydr. Polym. 1997, 33, 227–242. [Google Scholar] [CrossRef]
- Salazar, A.S.S.; Cavazos, P.A.S.; Paz, H.M.; Fragoso, A.V. External Factors and Nanoparticles Effect on Water Vapor Permeability of Pectin-Based Films. J. Food Eng. 2019, 245, 73–79. [Google Scholar] [CrossRef]
- Dakhili, S.; Yekta, R.; Zade, S.V.; Mohammadi, A.; Hosseini, S.M.; Shojaee-Aliabadi, S. Release Kinetic Modeling of Satureja Khuzestanica Jamzad Essential Oil from Fish Gelatin/Succinic Anhydride Starch Nanocomposite Films: The Effects of Temperature and Nanocellulose Concentration. Food Chem. 2024, 439, 138152. [Google Scholar] [CrossRef]
- Coles, R.; Kirwan, M. Food and Beverage Packaging Technology, 2nd ed.; Wiley-Blackwell: Oxford, UK, 2011. [Google Scholar] [CrossRef]
- Abdullah, J.A.A.; Jiménez-Rosado, M.; Guerrero, A.; Romero, A. Biopolymer-Based Films Reinforced with Green Synthesized Zinc Oxide Nanoparticles. Polymers 2022, 14, 5202. [Google Scholar] [CrossRef]
- Liu, Y.; Chen, Q.; Liu, G.; Tao, T.; Sun, H.; Lin, Z.; Chen, L.; Miao, Q.; Li, J. Molecularly Engineered CMC-Caged PNIPAM for Broadband Light Management in Energy-Saving Window. Carbohydr. Polym. 2022, 281, 119056. [Google Scholar] [CrossRef]
- Guzman-Puyol, S.; Benítez, J.J.; Heredia-Guerrero, J.A. Transparency of Polymeric Food Packaging Materials. Food Res. Int. 2022, 161, 111792. [Google Scholar] [CrossRef] [PubMed]
- Vázquez, M.; Flórez, M.; Cazón, P. A Strategy to Prolong Cheese Shelf-Life: Laminated Films of Bacterial Cellulose and Chitosan Loaded with Grape Bagasse Antioxidant Extract for Effective Lipid Oxidation Delay. Food Hydrocoll. 2024, 156, 110232. [Google Scholar] [CrossRef]
- Romano, R.C.O.; Bernardo, H.M.; Dantas, S.R.A.; Cincotto, M.A.; Pileggi, R.G. Influência da Utilização de Diferentes Teores de Lama Vermelha nas Propriedades de Ladrilhos Hidráulicos. Ambiente Construído 2020, 20, 647–659. [Google Scholar] [CrossRef]
- Roy, S.; Rhim, J.W. Gelatin/Agar-Based Functional Film Integrated with Pickering Emulsion of Clove Essential Oil Stabilized with Nanocellulose for Active Packaging Applications. Colloids Surf. A Physicochem. Eng. Asp. 2021, 627, 127220. [Google Scholar] [CrossRef]
- Voon, H.C.; Bhat, R.; Easa, A.M.; Liong, M.T.; Karim, A.A. Effect of Addition of Halloysite Nanoclay and SiO2; Nanoparticles on Barrier and Mechanical Properties of Bovine Gelatin Films. Food Bioprocess. Technol. 2012, 5, 1766–1774. [Google Scholar] [CrossRef]
- Wongphan, P.; Khowthong, M.; Supatrawiporn, T.; Harnkarnsujarit, N. Novel Edible Starch Films Incorporating Papain for Meat Tenderization. Food Packag. Shelf Life 2022, 31, 100787. [Google Scholar] [CrossRef]
- Dogaru, B.I.; Stoleru, V.; Mihalache, G.; Yonsel, S.; Popescu, M.C. Gelatin Reinforced with CNCs as Nanocomposite Matrix for Trichoderma harzianum KUEN 1585 Spores in Seed Coatings. Molecules 2021, 26, 5755. [Google Scholar] [CrossRef]
- Łupina, K.; Kowalczyk, D.; Zięba, E.; Kazimierczak, W.; Mężyńska, M.; Basiura-Cembala, M.; Ewa, A. Edible Films Made from Blends of Gelatin and Polysaccharide-Based Emulsifiers—A Comparative Study. Food Hydrocoll. 2019, 96, 555–567. [Google Scholar] [CrossRef]
- Baranwal, J.; Barse, B.; Fais, A.; Delogu, G.L.; Kumar, A. Biopolymer: A Sustainable Material for Food and Medical Applications. Polymers 2022, 14, 983. [Google Scholar] [CrossRef]
- Yabannavar, A.; Bartha, R. Biodegradability of Some Food Packaging Materials in Soil. Environ. Pollut. 1993, 25, 1469–1475. [Google Scholar] [CrossRef]
- Norgren, M.; Costa, C.; Alves, L.; Eivazi, A.; Dahlström, C.; Svanedal, I.; Medronho, B. Perspectives on the Lindman Hypothesis and Cellulose Interactions. Molecules 2023, 28, 4216. [Google Scholar] [CrossRef]
- Liu, Y.; Xie, J.; Wu, N.; Ma, Y.; Menon, C.; Tong, J. Characterization of Natural Cellulose Fiber from Corn Stalk Waste Subjected to Different Surface Treatments. Cellulose 2019, 26, 4707–4719. [Google Scholar] [CrossRef]
- Rojas-Lema, S.; Nilsson, K.; Trifol, J.; Langton, M.; Gomez-Caturla, J.; Balart, R.; Garcia, D.G.; Mariana, R. Faba Bean Protein Films Reinforced with Cellulose Nanocrystals as Edible Food Packaging Material. Food Hydrocoll. 2021, 121, 107019. [Google Scholar] [CrossRef]
- Zhao, K.; Tian, X.; Xing, J.; Huang, N.; Zhang, H.; Zhao, H.; Wang, W. Tunable Mechanical Behavior of Collagen-Based Films: A Comparison of Celluloses in Different Geometries. Int. J. Biol. Macromol. 2022, 214, 120–127. [Google Scholar] [CrossRef]
- Leite, L.S.F.; Bilatto, S.; Paschoalin, R.T.; Soares, A.C.; Moreira, F.K.V.; Oliveira, O.N.; Matosso, L.H.C.; Bras, J. Eco-Friendly Gelatin Films with Rosin-Grafted Cellulose Nanocrystals for Antimicrobial Packaging. Int. J. Biol. Macromol. 2020, 165, 2974–2983. [Google Scholar] [CrossRef] [PubMed]
- Yekta, R.; Mirmoghtadaie, L.; Hosseini, H.; Norouzbeigi, S.; Hosseini, S.M.; Shojaee-Aliabadi, S. Development and Characterization of a Novel Edible Film Based on Althaea rosea Flower Gum: Investigating the Reinforcing Effects of Bacterial Nanocrystalline Cellulose. Int. J. Biol. Macromol. 2020, 158, 327–337. [Google Scholar] [CrossRef]
- Nikoukheslat, H.D.; Alizadeh, A.; Roufegarinejad, L.; Hanifian, S. Characterization of Physicochemical and Antibacterial Properties of Gelatin and Inulin Nanobiocomposite Films Containing Crystalline Nanocellulose and Malva sylvestris Extract. J. Polym. Environ. 2022, 30, 3078–3090. [Google Scholar] [CrossRef]
- Quero, F.; Padilla, C.; Campos, V.; Luengo, J.; Caballero, L.; Melo, F.; Li, Q.; Eichhorn, S.J.; Enrione, J. Stress Transfer and Matrix-Cohesive Fracture Mechanism in Microfibrillated Cellulose-Gelatin Nanocomposite Films. Carbohydr. Polym. 2018, 195, 89–98. [Google Scholar] [CrossRef]
- Badii, F.; MacNaughtan, W.; Mitchell, J.R.; Farhat, I.A. The Effect of Drying Temperature on Physical Properties of Thin Gelatin Films. Dry. Technol. 2014, 32, 30–38. [Google Scholar] [CrossRef]
- Kwak, H.W.; Lee, H.; Park, S.; Lee, M.E.; Jin, H.J. Chemical and Physical Reinforcement of Hydrophilic Gelatin Film with Di-Aldehyde Nanocellulose. Int. J. Biol. Macromol. 2020, 146, 332–342. [Google Scholar] [CrossRef]
- Lima, D.A.S.; Grisi, C.V.B.; Florentino, G.I.B.; Santos, M.M.F.; Madruga, M.S.; Silva, F.A.P. Preparation and Characterization of Sustainable Active Packaging Based on Myofibrillar Proteins and Protein Hydrolysates from the Cutting By-Product of Scomberomorus brasiliensis Filleting on the Band Saw Machine. Food Chem. 2024, 460, 140490. [Google Scholar] [CrossRef]
- Soltanzadeh, M.; Peighambardoust, S.H.; Ghanbarzadeh, B.; Amjadi, S.; Mohammadi, M.; Lorenzo, J.M.; Hamishehkar, H. Active Gelatin/Cress Seed Gum-Based Films Reinforced with Chitosan Nanoparticles Encapsulating Pomegranate Peel Extract: Preparation and Characterization. Food Hydrocoll. 2022, 129, 107620. [Google Scholar] [CrossRef]
- Wang, X.; Pang, Z.; Chen, C.; Xia, Q.; Zhou, Y.; Jing, S.; Wang, R.; Ray, U.; Gan, W.; Li, C.; et al. All-Natural, Degradable, Rolled-Up Straws Based on Cellulose Micro- and Nano-Hybrid Fibers. Adv. Funct. Mater. 2020, 30, 1910417. [Google Scholar] [CrossRef]







| Formulations | Independent Variables | Response Variables | |||
|---|---|---|---|---|---|
| X1 (%) | X2 (%) | TS (MPa) | EB (%) | WVP (× 10−4 gH2O.mm/m2.h.mmHg) | |
| 1 | 0.29 | 0.29 | 0.84 | 66.27 | 4.11 |
| 2 | 0.29 | 1.71 | 2.50 | 23.81 | 5.85 |
| 3 | 1.71 | 0.29 | 3.10 | 32.17 | 3.17 |
| 4 | 1.71 | 1.71 | 2.51 | 24.13 | 4.00 |
| 5 | 0.00 | 1.00 | 1.17 | 49.43 | 3.03 |
| 6 | 2.00 | 1.00 | 4.42 | 29.12 | 3.52 |
| 7 | 1.00 | 0.00 | 1.48 | 31.78 | 2.47 |
| 8 | 1.00 | 2.00 | 2.76 | 27.43 | 3.83 |
| 9 | 1.00 | 1.00 | 2.71 | 30.66 | 2.82 |
| 10 | 1.00 | 1.00 | 2.73 | 30.70 | 2.83 |
| 11 | 1.00 | 1.00 | 2.68 | 30.68 | 2.80 |
| Parameters | Results | |
|---|---|---|
| FO | FC | |
| TS (MPa) | 2.71 ± 0.02 | 0.68 ± 0.02 |
| EB (%) | 30.68 ± 0.16 | 143.52 ± 2.10 |
| WVP (×10−4 gH2O.mm/m2 h. mmHg) | 2.82 ± 0.01 | 6.33 ± 0.09 |
| Thickness (mm) | 0.16 ± 1.12 | 0.11 ± 1.27 |
| L* | 81.33 ± 0.24 | 85.34 ± 0.42 |
| a* | 0.03 ± 0.02 | −0.51 ± 0.02 |
| b* | 13.51 ± 0.33 | 2.63 ± 0.02 |
| ΔE | 11.61 | -- |
| Opacity | 5.69 ± 0.37 | 1.05 ± 0.35 |
| Solubility (%) | 75.82 ± 0.97 | 89.64 ± 1.80 |
| Degradability (%) | ||
| Day 1 | 64.43 ± 0.27 | 100 ± 0.00 |
| Day 2 | 68.43 ± 0.27 | -- |
| Day 3 | 73.06 ± 0.04 | -- |
Disclaimer/Publisher’s Note: The statements, opinions and data contained in all publications are solely those of the individual author(s) and contributor(s) and not of MDPI and/or the editor(s). MDPI and/or the editor(s) disclaim responsibility for any injury to people or property resulting from any ideas, methods, instructions or products referred to in the content. |
© 2025 by the authors. Licensee MDPI, Basel, Switzerland. This article is an open access article distributed under the terms and conditions of the Creative Commons Attribution (CC BY) license (https://creativecommons.org/licenses/by/4.0/).
Share and Cite
Souza, P.S.; Grisi, C.V.B.; Silva, R.d.C.A.; Silva, E.M.d.; Silva, F.A.P.d.; Souza, A.L.d. From Food Waste to Edible Packaging: Development and Characterization of Biodegradable Gelatin Films with Microfibrillated Cellulose from Cowpea Pod Skin (Vigna unguiculata) and Corn Straw (Zea mays). Foods 2025, 14, 3033. https://doi.org/10.3390/foods14173033
Souza PS, Grisi CVB, Silva RdCA, Silva EMd, Silva FAPd, Souza ALd. From Food Waste to Edible Packaging: Development and Characterization of Biodegradable Gelatin Films with Microfibrillated Cellulose from Cowpea Pod Skin (Vigna unguiculata) and Corn Straw (Zea mays). Foods. 2025; 14(17):3033. https://doi.org/10.3390/foods14173033
Chicago/Turabian StyleSouza, Priscila Santos, Cristiani Viegas Brandão Grisi, Rita de Cassia Andrade Silva, Emanuel Marques da Silva, Fábio Anderson Pereira da Silva, and Antonia Lucia de Souza. 2025. "From Food Waste to Edible Packaging: Development and Characterization of Biodegradable Gelatin Films with Microfibrillated Cellulose from Cowpea Pod Skin (Vigna unguiculata) and Corn Straw (Zea mays)" Foods 14, no. 17: 3033. https://doi.org/10.3390/foods14173033
APA StyleSouza, P. S., Grisi, C. V. B., Silva, R. d. C. A., Silva, E. M. d., Silva, F. A. P. d., & Souza, A. L. d. (2025). From Food Waste to Edible Packaging: Development and Characterization of Biodegradable Gelatin Films with Microfibrillated Cellulose from Cowpea Pod Skin (Vigna unguiculata) and Corn Straw (Zea mays). Foods, 14(17), 3033. https://doi.org/10.3390/foods14173033

