Ultrasonic-Assisted Extraction of Polysaccharides from Schizochytrium limacinum Meal Using Eutectic Solvents: Structural Characterization and Antioxidant Activity
Abstract
1. Introduction
2. Materials and Methods
2.1. Materials
2.2. Low Eutectic Solvents and Ultrasonic-Assisted Extraction Method
2.3. Single-Factor Experiment
2.4. Response-Surface Experimental Design
2.5. Separation and Purification
2.6. Determination of Antioxidant Activity
2.7. Analysis of SLMPs
2.7.1. Measurement of Molecular Weight
2.7.2. Measurement of Monosaccharide Composition
2.7.3. Fourier-Transform Infrared (FT-IR) Spectroscopy
2.7.4. 1H NMR Spectroscopy
2.7.5. Scanning Electron Microscopy Analysis
2.8. Statistical Analysis
3. Results and Discussion
3.1. Selecting the Optimal DES
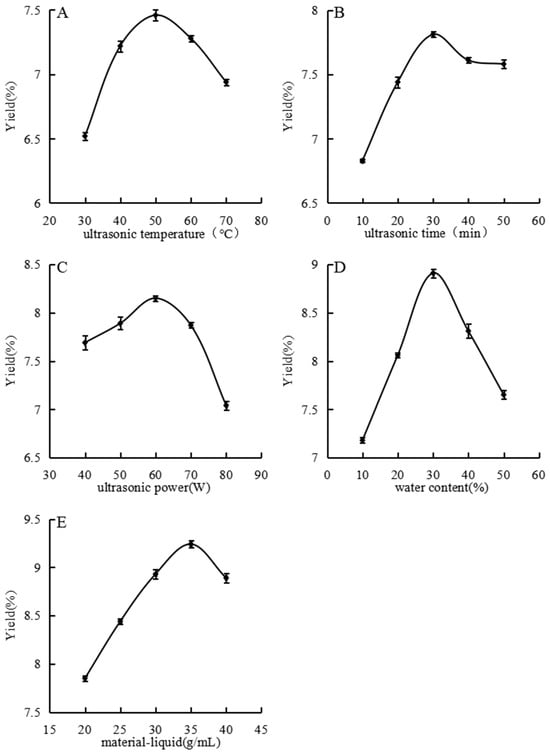
3.2. Analysis of Single-Factor Experiment
3.2.1. Effect of Ultrasonic Temperature on Polysaccharide Extraction Yield
3.2.2. Effect of Ultrasonic Time on the Polysaccharide Extraction Yield
3.2.3. Effect of Ultrasonic Power on Polysaccharide Extraction Yield
3.2.4. Effect of Water Content on the Polysaccharide Extraction Yield
3.2.5. Effect of Material–Liquid Ratio on Polysaccharide Extraction Yield
3.3. Response-Surface Experimental Design Analysis
0.085BC + 0.3275BD + 0.0925BE − 0.43CE − 0.12DE − 0.5183A2 − 1.22B2 − 0.87C2 − 1.19D2 − 1.12E2
3.4. Purification of SLMPs
3.5. Analysis of Antioxidant Activity of Polysaccharides
3.5.1. DPPH Radical-Scavenging Activity
3.5.2. ABTS Radical-Scavenging Activity
3.5.3. Hydroxyl Radical-Scavenging Activity
3.5.4. Total Reducing Antioxidant Power
3.6. Composition and Structure Analysis
3.6.1. Molecular Weight
3.6.2. Monosaccharide Composition
3.6.3. Infrared (FT-IR) Spectroscopy Analysis
3.6.4. 1H NMR Spectroscopy Analysis
3.6.5. SEM Analysis
4. Conclusions
Author Contributions
Funding
Institutional Review Board Statement
Informed Consent Statement
Data Availability Statement
Conflicts of Interest
References
- Ji, X.L.; Guo, J.H.; Tian, J.Y.; Ma, K.; Liu, Y.Q. Research progress on degradation methods and product properties of plant polysaccharides. J. Light Ind. 2023, 38, 55–62. [Google Scholar]
- El-Dakar, M.A.; Ramzy, R.R.; Ji, H.; Plath, M. Bioaccumulation of residual omega-3 fatty acids from industrial Schizochytrium microalgal waste using black soldier fly (Hermetia illucens) larvae. J. Clean. Prod. 2022, 268, 122288. [Google Scholar] [CrossRef]
- Hou, C.Y.; Chen, L.L.; Yang, L.Z.; Ji, X.L. An insight into anti-inflammatory effects of natural polysaccharides. Int. J. Biol. Macromol. 2020, 153, 248–255. [Google Scholar] [CrossRef]
- Li, D.M.; Zhang, K.; Chen, L.M.; Ding, M.X.; Zhao, M.L.; Chen, S.L. Selection of Schizochytrium limacinum mutants based on butanol tolerance. Electron. J. Biotechnol. 2017, 30, 58–63. [Google Scholar] [CrossRef]
- Wang, W.L.; Tan, J.Q.; Nima, L.M.; Sang, Y.M.; Cai, X.; Xue, H.K. Polysaccharides from fungi: A review on their extraction, purification, structural features. Food Chem.-X 2022, 15, 100414. [Google Scholar] [CrossRef]
- Wei, H.; Shi, Y.Q.; Yuan, Z.X.; Huang, Z.N.; Cai, F.H.; Zhu, J.F.; Zhang, W.W.; Li, J.; Xiong, Q.P.; Wang, Y.P.; et al. Isolation, Identification, and Anti-Inflammatory Activity of Polysaccharides of Typha angustifolia. Biomacromolecules 2021, 22, 2451–2459. [Google Scholar] [CrossRef]
- Sun, R.; Chen, Y.L.; Yang, Q.; Zhang, W.J.; Guo, L.; Feng, M. Polysaccharide hydrogels regulate macrophage polarization and enhance the anti-tumor efficacy of melanoma. Int. J. Pharm. 2021, 613, 121390. [Google Scholar] [CrossRef] [PubMed]
- Premarathna, A.D.; Ahmed, T.A.E.; Rjabovs, V.; Hammami, R.; Critchley, A.T.; Tuvikene, R.; Hincke, M.T. Immunomodulation by xylan and carrageenan-type polysaccharides from red seaweeds: Anti-inflammatory, wound healing, cytoprotective, and anticoagulant activities. Int. J. Biol. Macromol. 2024, 260, 129433. [Google Scholar] [CrossRef]
- Geng, X.R.; Guo, D.D.; Wu, B.; Wang, W.X.; Zhang, D.F.; Hou, S.T.; Bau, T.; Lei, J.Y.; Xu, L.J.; Cheng, Y.F.; et al. Effects of different extraction methods on the physico-chemical characteristics and biological activities of polysaccharides from Clitocybe squamulosa. Int. J. Biol. Macromol. 2024, 259, 129234. [Google Scholar] [CrossRef]
- Kang, Y.R.; Chang, Y.H. Structural characterization and prebiotic activity of rhamnogalacturonan-I rich pumpkin pectic polysaccharide extracted by alkaline solution. Int. J. Biol. Macromol. 2024, 270, 132311. [Google Scholar] [CrossRef]
- Song, Y.; Min, Y.; Tao, J.; Ma, Q. Extraction of seaweed polysaccharide by ethanol and inhibitory activity of α-amylase. Food Sci. Technol. 2014, 39, 232–234. [Google Scholar]
- Yuan, Y.; Macquarrie, D. Microwave assisted extraction of sulfated polysaccharides (fucoidan) from Ascophyllum nodosum and its antioxidant activity. Carbohydr. Polym. 2015, 129, 101–107. [Google Scholar] [CrossRef] [PubMed]
- Tang, Z.J.; Huang, G.L.; Huang, H.L. Ultrasonic-assisted extraction, analysis and properties of purple mangosteen scarfskin polysaccharide and its acetylated derivative. Ultrason. Sonochem. 2024, 109, 107010. [Google Scholar] [CrossRef]
- Kumagai, M.; Ogasawara, K.; Ide, M.; Kurihara, H.; Kato, S. Acid extraction enzymatic method to measure laminaran in edible brown algae. Fish. Sci. 2023, 89, 409–414. [Google Scholar] [CrossRef]
- Li, R.J.; Shi, G.Y.; Chen, L.C.; Liu, Y. Polysaccharides extraction from Ganoderma lucidum using a ternary deep eutectic solvents of choline chloride/guaiacol/lactic acid. Int. J. Biol. Macromol. 2024, 263, 130263. [Google Scholar] [CrossRef] [PubMed]
- Lin, B.B.; Wang, S.S.; Zhou, A.Q.; Hu, Q.R.; Huang, G.L. Ultrasound-assisted enzyme extraction and properties of Shatian pomelo peel polysaccharide. Ultrason. Sonochem. 2023, 98, 106507. [Google Scholar] [CrossRef]
- Cui, Y.F.; Fan, H.T.; Sun, M.; He, X.Y.; Li, J.; Tu, G.Z.; Jiang, Y.Y.; Liu, B. Chemical structure and immunomodulatory activity of a polysaccharide from Saposhnikoviae Radix. Int. J. Biol. Macromol. 2024, 276, 133459. [Google Scholar]
- Liu, B.F.; Tan, Z.J. Separation and Purification of Astragalus membranaceus Polysaccharides by Deep Eutectic Solvents-Based Aqueous Two-Phase System. Molecules 2022, 27, 5288. [Google Scholar] [CrossRef]
- Ji, X.L.; Hou, C.Y.; Yan, Y.Z.; Shi, M.M.; Liu, Y.Q. Comparison of structural characterization and antioxidant activity of polysaccharides from jujube (Ziziphus jujuba Mill.) fruit. Int. J. Biol. Macromol. 2020, 149, 1008–1018. [Google Scholar] [CrossRef]
- Wang, L.Q.; Guo, R.; Liang, X.R.; Ji, Y.T.; Zhang, J.J.; Gai, G.W.; Guo, Z.Y. Preparation and Antioxidant Activity of New Carboxymethyl Chitosan Derivatives Bearing Quinoline Groups. Mar. Drugs 2023, 21, 606. [Google Scholar] [CrossRef]
- Kim, E.Y.; Kwon, C.W.; Chang, P.S. Purification and characterization of a novel acid-tolerant and heterodimeric β-glucosidase from pumpkin (Cucurbita moschata) seed. J. Biosci. Bioeng. 2021, 132, 125–131. [Google Scholar] [CrossRef] [PubMed]
- Zhang, N.H.; Chen, W.W.; Li, X.Y.; Chen, X.M.; Wang, Y.C.; Huang, G.R.; Wang, J.X.; Jia, Z.B. Enzyme-Assisted Ultrasonic Extraction and Antioxidant Activities of Polysaccharides from Schizochytrium limacinum Meal. Foods 2024, 13, 880. [Google Scholar] [CrossRef] [PubMed]
- Hong, T.; Yin, J.Y.; Nie, S.P.; Xie, M.Y. Applications of infrared spectroscopy in polysaccharide structural analysis: Progress, challenge and perspective. Food Chem.-X 2021, 12, 100168. [Google Scholar] [CrossRef] [PubMed]
- Shi, X.D.; Li, O.Y.; Yin, J.Y.; Nie, S.P. Structure identification of α-glucans from Dictyophora echinovolvata by methylation and 1D/2D NMR spectroscopy. Food Chem. 2019, 271, 338–344. [Google Scholar] [CrossRef]
- Funami, T. Atomic Force Microscopy Imaging of Food Polysaccharides. At. Force Microsc. Imaging Food Polysacch. 2010, 16, 1–12. [Google Scholar] [CrossRef]
- Xia, B.; Liu, Q.; Sun, D.; Wang, Y.; Wang, W.J.; Liu, D.H. Ultrasound-Assisted Deep Eutectic Solvent Extraction of Polysaccharides from Anji White Tea: Characterization and Comparison with the Conventional Method. Foods 2023, 12, 588. [Google Scholar] [CrossRef]
- Qin, H.; Hu, X.T.; Wang, J.W.; Cheng, H.Y.; Chen, L.F.; Qi, Z.W. Overview of acidic deep eutectic solvents on synthesis, properties and applications. Green Energy Environ. 2020, 5, 8–21. [Google Scholar] [CrossRef]
- Pan, Y.; Liu, C.J.; Jiang, S.; Guan, L.L.; Liu, X.Y.; Wen, L.K. Ultrasonic-assisted extraction of a low molecular weight polysaccharide from Nostoc commune Vaucher and its structural characterization and immunomodulatory activity. Ultrason. Sonochem. 2024, 108, 106961. [Google Scholar] [CrossRef] [PubMed]
- Jia, X.J.; Liu, G.H.; Huang, Y.; Li, Z.P.; Liu, X.F.; Wang, Z.; Li, R.; Song, B.B.; Zhong, S.Y. Ultrasonic-Assisted Extraction, Structural Characteristics, and Antioxidant Activities of Polysaccharides from Alpinia officinarum Hance. Foods 2024, 13, 333. [Google Scholar] [CrossRef]
- Zhang, J.X.; Ye, Z.Q.; Liu, G.Y.; Liang, L.; Wen, C.T.; Liu, X.F.; Li, Y.D.; Ji, T.; Liu, D.M.; Ren, J.Y.; et al. Subcritical Water Enhanced with Deep Eutectic Solvent for Extracting Polysaccharides from Lentinus edodes and Their Antioxidant Activities. Molecules 2022, 27, 3612. [Google Scholar] [CrossRef]
- Wang, T.C.; Ti, M.C.; Yang, C.C. Free radical-scavenging activity of aqueous extract of Pteris multifida Poiret. Fitoterapia 2007, 78, 248–249. [Google Scholar] [CrossRef]
- Norouzi, A.; Mehrgan, M.S.; Roomiani, L.; Islami, H.R.; Raissy, M. Ultrasound-assisted extraction of polysaccharides from brown alga (Sargassum angustifolium): Structural characterization, antioxidant, and antitumor activities. Food Meas. Charact. 2023, 17, 6330–6340. [Google Scholar] [CrossRef]
- Bhuyar, P.; Sundararaju, S.; Rahim, M.H.A.; Unpaprom, Y.; Maniam, G.P.; Govindan, N. Antioxidative study of polysaccharides extracted from red (Kappaphycus alvarezii), green (Kappaphycus striatus) and brown (Padina gymnospora) marine macroalgae/seaweed. SN Appl. Sci. 2021, 3, 485. [Google Scholar] [CrossRef]
- Cheng, Z.Y.; Zhang, Y.W.; Song, H.Y.; Zhou, H.L.; Zhong, F.L.; Hu, H.B.; Feng, Y. Extraction optimization, characterization and antioxidant activity of polysaccharide from Gentiana Scabra bge. Int. J. Biol. Macromol. 2016, 93, 369–380. [Google Scholar] [CrossRef]
- Shao, P.; Chen, X.X.; Sun, P.L. Chemical characterization, antioxidant and antitumor activity of sulfated polysaccharide from Sargassum horneri. Carbohydr. Polym. 2014, 105, 260–269. [Google Scholar] [CrossRef]
- Wang, J.Q.; Hu, S.Z.; Nie, S.P.; Yu, Q.; Xie, M.Y. Reviews on Mechanisms of In Vitro Antioxidant Activity of Polysaccharides. Oxidative Med. Cell. Longev. 2016, 2016, 5692852. [Google Scholar] [CrossRef]
- Chen, N.; Jiang, T.Y.; Xu, J.X.; Xi, W.J.; Shang, E.; Xiao, P.; Duan, J.A. The relationship between polysaccharide structure and its antioxidant, activity needs to be systematically elucidated. Int. J. Biol. Macromol. 2024, 270, 132391. [Google Scholar] [CrossRef]
- Ji, X.L.; Cheng, Y.Q.; Tian, J.Y.; Zhang, S.Q.; Jing, Y.S.; Shi, M.M. Structural characterization of polysaccharide from jujube (Ziziphus jujuba Mill.) fruit. Chem. Biol. Technol. Agric. 2021, 8, 54. [Google Scholar] [CrossRef]
- Ji, X.L.; Yan, Y.Z.; Hou, C.Y.; Shi, M.M.; Liu, Y.Q. Structural characterization of a galacturonic acid-rich polysaccharide from Ziziphus jujuba cv. Muzao. Int. J. Biol. Macromol. 2020, 147, 844–852. [Google Scholar] [CrossRef]
- Liu, H.F.; Zhuang, S.S.; Liang, C.R.; He, J.J.; Brennan, C.S.; Brennan, M.A.; Ma, L.K.; Xiao, G.S.; Chen, H.; Wan, S. Effects of a polysaccharide extract from Amomum villosum Lour. on gastric mucosal injury and its potential underlying mechanism. Carbohydr. Polym. 2022, 294, 119822. [Google Scholar] [CrossRef]
- Yao, H.Y.Y.; Wang, J.Q.; Yin, J.Y.; Nie, S.P.; Xie, M.Y. A review of NMR analysis in polysaccharide structure and conformation: Progress, challenge and perspective. Food Res. Int. 2021, 143, 110290. [Google Scholar] [CrossRef] [PubMed]
- Zhang, H.; Li, C.C.; Ding, J.; Lai, P.F.H.; Xia, Y.J.; Ai, L.Z. Structural features and emulsifying stability of a highly branched arabinogalactan from immature peach (Prunus persica) exudates. Food Hydrocoll. 2020, 104, 105721. [Google Scholar] [CrossRef]
- Mohammed, J.K.; Mahdi, A.A.; Ma, C.Y.; Elkhedir, A.E.; Al-Maqtari, Q.A.; Al-Ansi, W.; Mahmud, A.; Wang, H.X. Application of argun fruit polysaccharide in microencapsulation of Citrus aurantium L. essential oil: Preparation, characterization, and evaluating the storage stability and antioxidant activity. Int. J. Biol. Macromol. 2020, 15, 155–169. [Google Scholar] [CrossRef]
- Ji, X.L.; Guo, J.H.; Ding, D.Q.; Gao, J.; Hao, L.R.; Guo, X.D.; Liu, Y.Q. Structural characterization and antioxidant activity of a novel high-molecular-weight polysaccharide from Ziziphus Jujuba cv. Muzao. J. Food Meas. Charact. 2022, 16, 2191–2200. [Google Scholar] [CrossRef]








| Number | Makeup | Molar Ratio |
|---|---|---|
| DES1 | Choline chloride/ethylene glycol | 1:2 |
| DES2 | Choline chloride/urea | 1:1 |
| DES3 | Choline chloride/glycerol | 1:2 |
| DES4 | Choline chloride/DL-malic acid | 1:1 |
| DES5 | Choline chloride/citric acid | 1:1 |
| Encodings | A (Ultrasonic Temperature, °C) | B (Ultrasonic Time, min) | C (Ultrasonic Power, W) | D (Water Content, %) | E (Material–Liquid Ratio, g/mL) |
|---|---|---|---|---|---|
| −1 | 40 | 20 | 50 | 20 | 30 |
| 0 | 50 | 30 | 60 | 30 | 35 |
| 1 | 60 | 40 | 70 | 40 | 40 |
| Number | A (Ultrasonic Temperature, °C) | B (Ultrasonic Time, min) | C (Ultrasonic Power, W) | D (Water Content, %) | E (Material–Liquid Ratio, g/mL) | Yield (%) |
|---|---|---|---|---|---|---|
| 1 | −1 | −1 | 0 | 0 | 0 | 7.59 |
| 2 | 1 | −1 | 0 | 0 | 0 | 7.25 |
| 3 | −1 | 1 | 0 | 0 | 0 | 7.85 |
| 4 | 1 | 1 | 0 | 0 | 0 | 8.05 |
| 5 | 0 | 0 | −1 | −1 | 0 | 7.81 |
| 6 | 0 | 0 | 1 | −1 | 0 | 6.94 |
| 7 | 0 | 0 | −1 | 1 | 0 | 7.89 |
| 8 | 0 | 0 | 1 | 1 | 0 | 7.56 |
| 9 | 0 | −1 | 0 | 0 | −1 | 6.51 |
| 10 | 0 | 1 | 0 | 0 | −1 | 6.93 |
| 11 | 0 | −1 | 0 | 0 | 1 | 6.62 |
| 12 | 0 | 1 | 0 | 0 | 1 | 7.41 |
| 13 | −1 | 0 | −1 | 0 | 0 | 7.74 |
| 14 | 1 | 0 | −1 | 0 | 0 | 7.91 |
| 15 | −1 | 0 | 1 | 0 | 0 | 8.09 |
| 16 | 1 | 0 | 1 | 0 | 0 | 7.36 |
| 17 | 0 | 0 | 0 | −1 | −1 | 7.23 |
| 18 | 0 | 0 | 0 | 1 | −1 | 8.31 |
| 19 | 0 | 0 | 0 | −1 | 1 | 7.57 |
| 20 | 0 | 0 | 0 | 1 | 1 | 6.56 |
| 21 | 0 | −1 | −1 | 0 | 0 | 7.44 |
| 22 | 0 | 1 | −1 | 0 | 0 | 7.64 |
| 23 | 0 | −1 | 1 | 0 | 0 | 6.97 |
| 24 | 0 | 1 | 1 | 0 | 0 | 7.13 |
| 25 | −1 | 0 | 0 | −1 | 0 | 7.89 |
| 26 | 1 | 0 | 0 | −1 | 0 | 7.97 |
| 27 | −1 | 0 | 0 | 1 | 0 | 7.55 |
| 28 | 1 | 0 | 0 | 1 | 0 | 6.87 |
| 29 | 0 | 0 | −1 | 0 | −1 | 7.02 |
| 30 | 0 | 0 | 1 | 0 | −1 | 6.95 |
| 31 | 0 | 0 | −1 | 0 | 1 | 8.61 |
| 32 | 0 | 0 | 1 | 0 | 1 | 6.82 |
| 33 | −1 | 0 | 0 | 0 | −1 | 8.67 |
| 34 | 1 | 0 | 0 | 0 | −1 | 6.86 |
| 35 | −1 | 0 | 0 | 0 | 1 | 7.97 |
| 36 | 1 | 0 | 0 | 0 | 1 | 8.24 |
| 37 | 0 | −1 | 0 | −1 | 0 | 7.15 |
| 38 | 0 | 1 | 0 | −1 | 0 | 6.89 |
| 39 | 0 | −1 | 0 | 1 | 0 | 6.35 |
| 40 | 0 | 1 | 0 | 1 | 0 | 7.40 |
| 41 | 0 | 0 | 0 | 0 | 0 | 9.48 |
| 42 | 0 | 0 | 0 | 0 | 0 | 9.21 |
| 43 | 0 | 0 | 0 | 0 | 0 | 9.49 |
| 44 | 0 | 0 | 0 | 0 | 0 | 9.23 |
| 45 | 0 | 0 | 0 | 0 | 0 | 9.56 |
| 46 | 0 | 0 | 0 | 0 | 0 | 9.18 |
| Source | Sum of Squares | Degrees of Freedom | Variance | F-Value | p-Value |
|---|---|---|---|---|---|
| Model | 31.20 | 20 | 1.56 | 17.76 | <0.0001 |
| A | 0.5041 | 1 | 0.5041 | 5.74 | 0.0244 |
| B | 0.8649 | 1 | 0.8649 | 9.85 | 0.0043 |
| C | 1.61 | 1 | 1.61 | 18.37 | 0.0002 |
| D | 0.6045 | 1 | 0.6045 | 6.88 | 0.0146 |
| E | 0.5366 | 1 | 0.5366 | 6.11 | 0.0206 |
| AB | 0.0729 | 1 | 0.0729 | 0.8301 | 0.3710 |
| AC | 0.2025 | 1 | 0.2025 | 2.31 | 0.1414 |
| AD | 0.1444 | 1 | 0.1444 | 1.64 | 0.2115 |
| AE | 1.08 | 1 | 1.08 | 12.32 | 0.0017 |
| BC | 0.0289 | 1 | 0.0289 | 0.3291 | 0.5713 |
| BD | 0.4290 | 1 | 0.4290 | 4.89 | 0.0365 |
| BE | 0.0342 | 1 | 0.0342 | 0.3897 | 0.5381 |
| CD | 0.0000 | 1 | 0.0000 | 0.0000 | 1.0000 |
| CE | 0.7396 | 1 | 0.7396 | 8.42 | 0.0076 |
| DE | 0.0576 | 1 | 0.0576 | 0.6559 | 0.4257 |
| A2 | 2.34 | 1 | 2.34 | 26.70 | <0.0001 |
| B2 | 12.92 | 1 | 12.92 | 147.10 | <0.0001 |
| C2 | 6.61 | 1 | 6.61 | 75.22 | <0.0001 |
| D2 | 12.38 | 1 | 12.38 | 140.92 | <0.0001 |
| E2 | 10.90 | 1 | 10.90 | 124.10 | <0.0001 |
| Residual | 2.20 | 25 | 0.0878 | ||
| Lack of Fit | 2.05 | 20 | 0.1026 | 3.59 | 0.0807 |
| Pure Error | 0.1431 | 5 | 0.0286 | ||
| Total | 33.40 | 45 | |||
| Std. Dev. | 0.2964 | ||||
| Mean | 7.65 | ||||
| C.V.% R2 Adj-R2 | 3.87 0.9343 0.8817 |
Disclaimer/Publisher’s Note: The statements, opinions and data contained in all publications are solely those of the individual author(s) and contributor(s) and not of MDPI and/or the editor(s). MDPI and/or the editor(s) disclaim responsibility for any injury to people or property resulting from any ideas, methods, instructions or products referred to in the content. |
© 2025 by the authors. Licensee MDPI, Basel, Switzerland. This article is an open access article distributed under the terms and conditions of the Creative Commons Attribution (CC BY) license (https://creativecommons.org/licenses/by/4.0/).
Share and Cite
Li, X.; Wang, J.; Huang, G.; Jia, Z.; Xu, M.; Chen, W. Ultrasonic-Assisted Extraction of Polysaccharides from Schizochytrium limacinum Meal Using Eutectic Solvents: Structural Characterization and Antioxidant Activity. Foods 2025, 14, 1901. https://doi.org/10.3390/foods14111901
Li X, Wang J, Huang G, Jia Z, Xu M, Chen W. Ultrasonic-Assisted Extraction of Polysaccharides from Schizochytrium limacinum Meal Using Eutectic Solvents: Structural Characterization and Antioxidant Activity. Foods. 2025; 14(11):1901. https://doi.org/10.3390/foods14111901
Chicago/Turabian StyleLi, Xinyu, Jiaxian Wang, Guangrong Huang, Zhenbao Jia, Manjun Xu, and Wenwei Chen. 2025. "Ultrasonic-Assisted Extraction of Polysaccharides from Schizochytrium limacinum Meal Using Eutectic Solvents: Structural Characterization and Antioxidant Activity" Foods 14, no. 11: 1901. https://doi.org/10.3390/foods14111901
APA StyleLi, X., Wang, J., Huang, G., Jia, Z., Xu, M., & Chen, W. (2025). Ultrasonic-Assisted Extraction of Polysaccharides from Schizochytrium limacinum Meal Using Eutectic Solvents: Structural Characterization and Antioxidant Activity. Foods, 14(11), 1901. https://doi.org/10.3390/foods14111901

