Germination: A Powerful Way to Improve the Nutritional, Functional, and Molecular Properties of White- and Red-Colored Sorghum Grains
Abstract
1. Introduction
2. Materials and Methods
2.1. Materials and Reagents
2.2. Germination Process
2.3. Proximate Composition
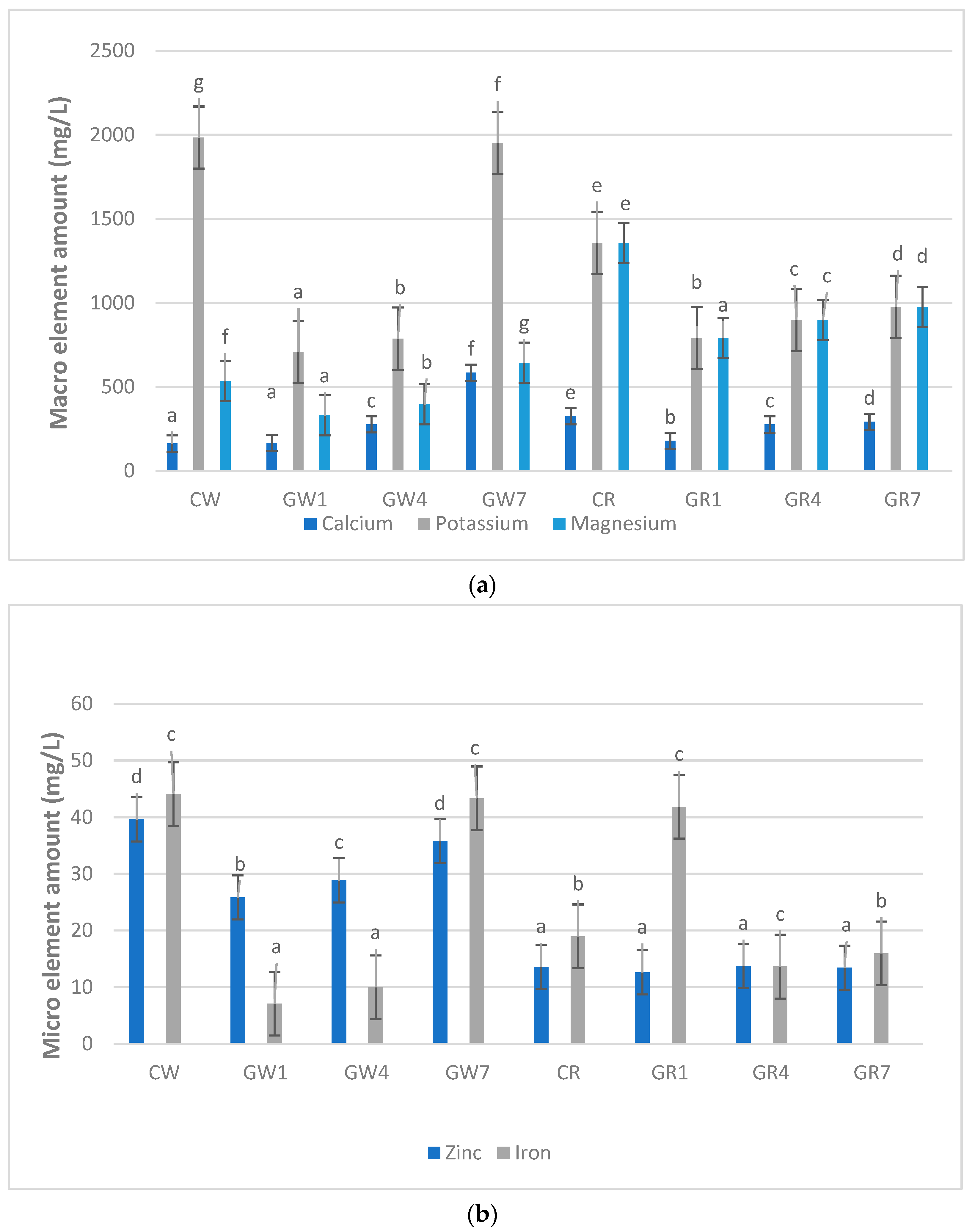
2.4. Determination of Mineral Element Composition Using Inductively Coupled Plasma Emission Spectrometry (ICP-OES)
2.5. Crude Fiber Content
2.6. Fourier Transform Infrared (FT-IR) Spectroscopy Characterization
2.7. Scanning Electron Microscopy (SEM)
2.8. Color Measurement
2.9. Determination of Total Phenolic Content
2.10. Determination of Radical Scavenging Activity
2.11. Statistical Analysis
3. Results and Discussion
3.1. Germination Process and Proximate Composition
3.2. Mineral Substance Composition with ICP-OES
3.3. Crude Fiber Composition
3.4. Effect of Germination on Molecular Characterization of Sorghum Samples
3.5. SEM Images of Sorghum Samples during Germination
3.6. Color Values of Sorghum Samples
3.7. Total Phenolic Content
3.8. Radical Scavenging Activity
4. Conclusions
Author Contributions
Funding
Institutional Review Board Statement
Informed Consent Statement
Data Availability Statement
Acknowledgments
Conflicts of Interest
References
- Anaemene, D.; Fadupin, G. Anti-Nutrient Reduction and Nutrient Retention Capacity of Fermentation, Germination and Combined Germination-Fermentation in Legume Processing. Appl. Food Res. 2022, 2, 100059. [Google Scholar] [CrossRef]
- Hossain, M.S.; Islam, M.N.; Rahman, M.M.; Mostofa, M.G.; Khan, M.A.R. Sorghum: A Prospective Crop for Climatic Vulnerability, Food and Nutritional Security. J. Agric. Food Res. 2022, 8, 100300. [Google Scholar] [CrossRef]
- Paiva, C.L.; Netto, D.A.M.; Queiroz, V.A.V.; Gloria, M.B.A. Germinated Sorghum (Sorghum bicolor L.) and Seedlings Show Expressive Contents of Putrescine. LWT 2022, 161, 113367. [Google Scholar] [CrossRef]
- Rodríguez-España, M.; Figueroa-Hernández, C.Y.; de Dios Figueroa-Cárdenas, J.; Rayas-Duarte, P.; Hernández-Estrada, Z.J. Effects of Germination and Lactic Acid Fermentation on Nutritional and Rheological Properties of Sorghum: A Graphical Review. Curr. Res. Food Sci. 2022, 5, 807–812. [Google Scholar] [CrossRef] [PubMed]
- Lin, H.; Bean, S.R.; Tilley, M.; Peiris, K.H.S.; Brabec, D. Qualitative and Quantitative Analysis of Sorghum Grain Composition Including Protein and Tannins Using ATR-FTIR Spectroscopy. Food Anal. Methods 2021, 14, 268–279. [Google Scholar] [CrossRef]
- Toledo Oseguera, M.E.; Contreras-Jiménez, B.; Hernández-Becerra, E.; Rodriguez-Garcia, M.E. Physicochemical Changes of Starch during Malting Process of Sorghum Grain. J. Cereal Sci. 2020, 95, 103069. [Google Scholar] [CrossRef]
- Li, C.; Oh, S.-G.; Lee, D.-H.; Baik, H.-W.; Chung, H.-J. Effect of Germination on the Structures and Physicochemical Properties of Starches from Brown Rice, Oat, Sorghum, and Millet. Int. J. Biol. Macromol. 2017, 105, 931–939. [Google Scholar] [CrossRef]
- Meena, K.; Visarada, K.; Meena, D.K. Sorghum bicolor (L.) Moench a Multifarious Crop -Fodder to Therapeutic Potential and Biotechnological Applications: A Future Food for the Millennium. Future Foods 2022, 6, 100188. [Google Scholar] [CrossRef]
- Rodriguez, D.A.; Lee, S.A.; Jones, C.K.; Htoo, J.K.; Stein, H.H. Digestibility of Amino Acids, Fiber, and Energy by Growing Pigs, and Concentrations of Digestible and Metabolizable Energy in Yellow Dent Corn, Hard Red Winter Wheat, and Sorghum May Be Influenced by Extrusion. Anim. Feed Sci. Technol. 2020, 268, 114602. [Google Scholar] [CrossRef]
- Afify, A.E.-M.M.R.; El-Beltagi, H.S.; Abd El-Salam, S.M.; Omran, A.A. Protein Solubility, Digestibility and Fractionation after Germination of Sorghum Varieties. PLoS ONE 2012, 7, e31154. [Google Scholar] [CrossRef]
- Balogun, R.O.; Bird, S.H.; Rowe, J.B. Germination Temperature and Time Affect in Vitro Fermentability of Sorghum Grain. Anim. Feed Sci. Technol. 2006, 127, 125–132. [Google Scholar] [CrossRef]
- Liu, S.; Wang, W.; Lu, H.; Shu, Q.; Zhang, Y.; Chen, Q. New Perspectives on Physiological, Biochemical and Bioactive Components during Germination of Edible Seeds: A Review. Trends Food Sci. Technol. 2022, 123, 187–197. [Google Scholar] [CrossRef]
- Gerrano, A.S.; Labuschagne, M.T.; van Biljon, A.; Shargie, N.G. Quantification of Mineral Composition and Total Protein Content in Sorghum [ Sorghum bicolor (L.) Moench] Genotypes. Cereal Res. Commun. 2016, 44, 272–285. [Google Scholar] [CrossRef]
- Van Soest, P.J.; Robertson, J.B.; Lewis, B.A. Methods for Dietary Fiber, Neutral Detergent Fiber, and Nonstarch Polysaccharides in Relation to Animal Nutrition. J. Dairy Sci. 1991, 74, 3583–3597. [Google Scholar] [CrossRef]
- Turksoy, S.; Erturk, M.Y.; Kokini, J. Behavior of Semolina, Hard, Soft Wheat Flour Dough at Different Aging Times and Temperatures through LAOS Properties and Molecular Interactions of Proteins. J. Food Eng. 2021, 301, 110549. [Google Scholar] [CrossRef]
- Güzel, N. Morphometric and Physico-Chemical Properties of Cornelian Cherry (Cornus mas L.) Grown in Çorum, Turkey. Akad. Gıda 2021, 19, 373–380. [Google Scholar] [CrossRef]
- Singleton, V.L.; Rossi, J.A. Colorimetry of Total Phenolics with Phosphomolybdic-Phosphotungstic Acid Reagents. Am J Enol Vitic. 1965, 16, 144–158. [Google Scholar] [CrossRef]
- Dicko, M.H.; Hilhorst, R.; Gruppen, H.; Traore, A.S.; Laane, C.; Van Berkel, W.J.H.; Voragen, A.G.J. Comparison of Content in Phenolic Compounds, Polyphenol Oxidase, and Peroxidase in Grains of Fifty Sorghum Varieties from Burkina Faso. J. Agric. Food Chem. 2002, 50, 3780–3788. [Google Scholar] [CrossRef]
- Brand-Williams, W.; Cuvelier, M.E.; Berset, C. Use of a Free Radical Method to Evaluate Antioxidant Activity. LWT-Food Sci. Technol. 1995, 28, 25–30. [Google Scholar] [CrossRef]
- Xu, M.; Jin, Z.; Simsek, S.; Hall, C.; Rao, J.; Chen, B. Effect of Germination on the Chemical Composition, Thermal, Pasting, and Moisture Sorption Properties of Flours from Chickpea, Lentil, and Yellow Pea. Food Chem. 2019, 295, 579–587. [Google Scholar] [CrossRef]
- Thakur, P.; Kumar, K.; Ahmed, N.; Chauhan, D.; Eain Hyder Rizvi, Q.U.; Jan, S.; Singh, T.P.; Dhaliwal, H.S. Effect of Soaking and Germination Treatments on Nutritional, Anti-Nutritional, and Bioactive Properties of Amaranth (Amaranthus hypochondriacus L.), Quinoa (Chenopodium quinoa L.), and Buckwheat (Fagopyrum esculentum L.). Curr. Res. Food Sci. 2021, 4, 917–925. [Google Scholar] [CrossRef]
- Oskaybaş-Emlek, B.; Özbey, A.; Kahraman, K. Effects of Germination on the Physicochemical and Nutritional Characteristics of Lentil and Its Utilization Potential in Cookie-Making. Food Meas. 2021, 15, 4245–4255. [Google Scholar] [CrossRef]
- Salman Al-Kharkhi, M.H.; Ali Mousa, M. The effect of wheat germination processes on the nutritional parameters of wheat flour. Plant Arch. 2021, 21, 789–797. [Google Scholar] [CrossRef]
- Kaur, N.; Singh, B.; Kaur, A.; Yadav, M.P.; Singh, N.; Ahlawat, A.K.; Singh, A.M. Effect of Growing Conditions on Proximate, Mineral, Amino Acid, Phenolic Composition and Antioxidant Properties of Wheatgrass from Different Wheat (Triticum aestivum L.) Varieties. Food Chem. 2021, 341, 128201. [Google Scholar] [CrossRef]
- Chung, S.I.; Kang, M.Y. Comparative Studies on Physicochemical Properties of Rice with Germinated Dark Purple Giant Embryo Rice and Normal Embryo Rice. Cereal Chem. 2022, 99, 295–302. [Google Scholar] [CrossRef]
- El-Beltagi, H.S.; Abd El-Salam, S.M.; Omran, A.A. Effect of Soaking, Cooking, Germination and Fermentation Processing on Proximate Analysis and Mineral Content of Three White Sorghum Varieties (Sorghum bicolor L. Moench). Not. Bot. Horti Agrobot. Cluj-Napoca 2012, 40, 92. [Google Scholar] [CrossRef]
- Tizazu, S.; Urga, K.; Belay, A.; Abuye, C.; Retta, N. Effect of Germination on Mineral Bioavailability of Sorghum-Based Complementary Foods. Afr. J. Food Agric. Nutr. Dev. 2011, 11, 5083–5095. [Google Scholar] [CrossRef]
- Nkhata, S.G.; Ayua, E.; Kamau, E.H.; Shingiro, J. Fermentation and Germination Improve Nutritional Value of Cereals and Legumes through Activation of Endogenous Enzymes. Food Sci. Nutr. 2018, 6, 2446–2458. [Google Scholar] [CrossRef] [PubMed]
- Vidal-Valverde, C.; Frias, J. Changes in Carbohydrates during Germination of Lentils. Z. Leb. Unters Forch. 1992, 194, 461–464. [Google Scholar] [CrossRef]
- Ologhobo, A.D.; Fetuga, B.L. Changes in Carbohydrate Contents of Germinating Cowpea Seeds. Food Chem. 1986, 20, 117–125. [Google Scholar] [CrossRef]
- Rani, M.; Bandral, J.D.; Sood, M.; Sharma, S.; Gupta, S.; Chand, G. Effect of Germination on Physico-Chemical and Antinutritional Factors of Oats Flour. Pharma Innov. J. 2022, 11, 1424–1428. [Google Scholar]
- Olamiti, G.; Takalani, T.K.; Beswa, D.; Jideani, A.I.O. Effect of Malting and Fermentation on Colour, Thermal Properties, Functional Groups and Crystallinity Level of Flours from Pearl Millet (Pennisetum glaucum) and Sorghum (Sorghum bicolor). Heliyon 2020, 6, e05467. [Google Scholar] [CrossRef] [PubMed]
- Gutiérrez-Osnaya, L.J.; Hernández-Uribe, J.P.; Castro-Rosas, J.; Román-Gutiérrez, A.D.; Camacho-Díaz, B.H.; Palma-Rodríguez, H.M.; Rodríguez-Marín, M.L.; Hernández-Ávila, J.; Guzmán-Ortiz, F.A. Influence of Germination Time on the Morphological, Morphometric, Structural, and Physicochemical Characteristics of Esmeralda and Perla Barley Starch. Int. J. Biol. Macromol. 2020, 149, 262–270. [Google Scholar] [CrossRef] [PubMed]
- Liu, Y.; Su, C.; Saleh, A.S.M.; Wu, H.; Zhao, K.; Zhang, G.; Jiang, H.; Yan, W.; Li, W. Effect of Germination Duration on Structural and Physicochemical Properties of Mung Bean Starch. Int. J. Biol. Macromol. 2020, 154, 706–713. [Google Scholar] [CrossRef] [PubMed]
- Lekjing, S.; Venkatachalam, K. Effects of Germination Time and Kilning Temperature on the Malting Characteristics, Biochemical and Structural Properties of HomChaiya Rice. RSC Adv. 2020, 10, 16254–16265. [Google Scholar] [CrossRef] [PubMed]
- Su, C.; Saleh, A.S.M.; Zhang, B.; Feng, D.; Zhao, J.; Guo, Y.; Zhao, J.; Li, W.; Yan, W. Effects of Germination Followed by Hot Air and Infrared Drying on Properties of Naked Barley Flour and Starch. Int. J. Biol. Macromol. 2020, 165, 2060–2070. [Google Scholar] [CrossRef] [PubMed]
- Thilakarathna, R.C.N.; Madhusankha, G.D.M.P.; Navaratne, S.B. Potential Food Applications of Sorghum ( Sorghum Bicolor ) and Rapid Screening Methods of Nutritional Traits by Spectroscopic Platforms. J. Food Sci. 2022, 87, 36–51. [Google Scholar] [CrossRef]
- Wulandari, E.; Sukarminah, E.; Rahayu, G.G. Effect of Time and Temperature Sorghum Germination on the Fineness and Color of Sorghum Sprout Flour. IOP Conf. Ser. Earth Environ. Sci. 2020, 443, 012083. [Google Scholar] [CrossRef]
- Sharma, P.; Gujral, H.S. Antioxidant and Polyphenol Oxidase Activity of Germinated Barley and Its Milling Fractions. Food Chem. 2010, 120, 673–678. [Google Scholar] [CrossRef]
- Patil, S.P.; Arya, S.S. Nutritional, Functional, Phytochemical and Structural Characterization of Gluten-Free Flours. Food Meas. 2017, 11, 1284–1294. [Google Scholar] [CrossRef]
- Olojede, A.O.; Sanni, A.I.; Banwo, K. Effect of Legume Addition on the Physiochemical and Sensorial Attributes of Sorghum-Based Sourdough Bread. LWT 2020, 118, 108769. [Google Scholar] [CrossRef]
- Rao, S.; Santhakumar, A.B.; Chinkwo, K.A.; Wu, G.; Johnson, S.K.; Blanchard, C.L. Characterization of Phenolic Compounds and Antioxidant Activity in Sorghum Grains. J. Cereal Sci. 2018, 84, 103–111. [Google Scholar] [CrossRef]
- Li, R.; Wang, Q.; Zhao, G.; Peng, H.; Zhang, D.; Li, Z. Effects of Germination Time on Phenolics, Antioxidant Capacity, in Vitro Phenolic Bioaccessibility and Starch Digestibility in Sorghum. Int. J. Food Sci. Tech. 2022, 57, 5175–5185. [Google Scholar] [CrossRef]
- Kumar, S.; Bamboriya, S.D.; Rani, K.; Meena, R.S.; Sheoran, S.; Loyal, A.; Kumawat, A.; Jhariya, M.K. Grain Legumes: A Diversified Diet for Sustainable Livelihood, Food, and Nutritional Security. In Advances in Legumes for Sustainable Intensification; Elsevier: Amsterdam, The Netherlands, 2022; pp. 157–178. ISBN 978-0-323-85797-0. [Google Scholar]
- Altıkardes, E.; Guzel, N. Impact of Germination Pre-Treatments on Buckwheat and Quinoa: Mitigation of Anti-Nutrient Content and Enhancement of Antioxidant Properties. Food Chem. 2024, 21, 101182. [Google Scholar] [CrossRef]
- Cáceres, P.J.; Martínez-Villaluenga, C.; Amigo, L.; Frias, J. Maximising the Phytochemical Content and Antioxidant Activity of Ecuadorian Brown Rice Sprouts through Optimal Germination Conditions. Food Chem. 2014, 152, 407–414. [Google Scholar] [CrossRef]
- Singh, A.; Sharma, S.; Singh, B.; Kaur, G. In Vitro Nutrient Digestibility and Antioxidative Properties of Flour Prepared from Sorghum Germinated at Different Conditions. J. Food Sci. Technol. 2019, 56, 3077–3089. [Google Scholar] [CrossRef]
- Kaur, H.; Gill, B.S. Changes in Physicochemical, Nutritional Characteristics and ATR–FTIR Molecular Interactions of Cereal Grains during Germination. J. Food Sci. Technol. 2021, 58, 2313–2324. [Google Scholar] [CrossRef]





| Operating Conditions | |
|---|---|
| Power | 1150 W |
| Auxiliary Gas Flow | 0.5 L/min |
| Coolant gas | 12 L/min |
| Nebulizer gas | 0.70 L/min |
| Sample | Moisture | Ash | Protein | Lipid | Starch |
|---|---|---|---|---|---|
| CW | 11.31 ± 0.06 m | 2.05 ± 0.05 b | 12.58 ± 0.59 g | 3.49 ± 0.05 b | 53.71 ± 3.42 j |
| SCW | 2.95 ± 0.20 cd | 2.43 ± 0.18 c | 13.49 ± 0.12 h | 4.52 ± 0.42 ef | 46.76 ± 0.23 h |
| GW1 | 2.34 ± 0.11 b | 2.88 ± 0.05 de | 12.14 ± 0.16 fg | 4.49 ± 0.64 ef | 44.9 ± 0.43 g |
| GW2 | 3.49 ± 0.34 ef | 3.15 ± 0.19 ef | 11.88 ± 0.67 f | 4.85 ± 0.17 fg | 41.41 ± 1.49 f |
| GW3 | 4.24 ± 0.31 g | 3.23 ± 0.12 f | 12.20 ± 0.32 fg | 5.28 ± 0.15 h | 40.59 ± 1.59 f |
| GW4 | 6.37 ± 0.49 i | 3.60 ± 0.14 g | 10.82 ± 0.65 e | 5.41 ± 0.21 hi | 35.19 ± 0.38 d |
| GW5 | 8.04 ± 0.33 j | 4.43 ± 0.09 i | 11.73 ± 0.61 f | 5.79 ± 0.08 ij | 27.80 ± 1.84 b |
| GW6 | 8.04 ± 0.33 j | 4.75 ± 0.1 j | 14.35 ± 0.04 i | 6.08 ± 0.28 j | 26.65 ± 0.62 b |
| GW7 | 8.85 ± 0.54 k | 5.20 ± 0.08 k | 15.02 ± 0.05 j | 6.12 ± 0.25 j | 22.59 ± 0.66 a |
| CR | 11.35 ± 0.057 m | 1.25 ± 0.06 a | 9.91 ± 0.57 abcd | 2.26 ± 0.14 a | 61.87 ± 0.04 k |
| SCR | 2.44 ± 0.31 m | 3.10 ± 0.69 ef | 10.13 ± 0.52 bcd | 3.74 ± 0.56bc | 49.06 ± 0.46 i |
| GR1 | 1.90 ± 0.063 a | 2.78 ± 0.09 d | 10.30 ± 0.07 cde | 3.42 ± 0.06 b | 43.44 ± 0.57 g |
| GR2 | 2.62 ± 0.075 bc | 2.70 ± 0.18 cd | 9.45 ± 0.28 a | 3.64 ± 0.23 bc | 45.04 ± 1.49 g |
| GR3 | 3.11 ± 0.13 de | 3.00 ± 0.08 def | 9.87 ± 0.06 abcd | 4.04 ± 0.31 cd | 40.97 ± 0.32 f |
| GR4 | 3.83 ± 0.11 fg | 3.23 ± 0.05 f | 9.74 ± 0.05 abc | 4.3 ± 0.13 de | 38.8 ± 0.30 e |
| GR5 | 4.19 ± 0.29 g | 3.28 ± 0.05 f | 9.61 ± 0.22 ab | 4.61 ± 0.07 ef | 37.79 ± 0.24 e |
| GR6 | 5.54 ± 0.12 h | 3.30 ± 0.00 f | 10.39 ± 0.24 de | 5.14 ± 0.12 gh | 35.42 ± 0.50 d |
| GR7 | 5.97 ± 0.56 i | 4.13 ± 0.09 h | 12.28 ± 0.04 fg | 5.33 ± 0.22 h | 31.59 ± 0.35 c |
| Sample | Neutral Detergent Fiber (NDF, %) | Acid Detergent Fiber (ADF, %) | Acid Detergent Lignin (ADL, %) |
|---|---|---|---|
| CW | 25.08 ± 1.23 d | 2.73 ± 0.40 bc | 0.43 ± 0.07 abcd |
| SCW | 25.51 ± 0.69 d | 0.97 ± 0.58 ab | 0.26 ± 0.10 a |
| GW1 | 15.98 ± 0.95 bc | 0.74 ± 0.54 a | 0.40 ± 0.08 abcd |
| GW2 | 11.10 ± 0.91 ab | 1.20 ± 0.32 ab | 0.33 ± 0.13 ab |
| GW3 | 11.30 ± 2.07 ab | 0.98 ± 0.33 ab | 0.35 ± 0.12 abc |
| GW4 | 24.02 ± 5.28 d | 3.09 ± 0.70 c | 0.67 ± 0.01 abcdef |
| GW5 | 30.69 ± 6.57 e | 5.82 ± 0.50 d | 1.02 ± 0.31 ef |
| GW6 | 28.62 ± 0.35 de | 6.06 ± 0.34 de | 0.93 ± 0.21 ef |
| GW7 | 29.05 ± 0.61 de | 8.81 ± 1.93 fg | 1.33 ± 0.43 f |
| CR | 9.30 ± 0.14 a | 9.30 ± 0.14 fg | 1.06 ± 0.05 ef |
| SCR | 7.72 ± 1.09 a | 7.72 ± 1.08 efg | 0.94 ± 0.00 ef |
| GR1 | 7.84 ± 1.02 a | 7.83 ± 1.02 fg | 0.95 ± 0.08 ef |
| GR2 | 7.17 ± 0.19 a | 7.16 ± 0.19 def | 0.61 ± 0.41 abcde |
| GR3 | 11.46 ± 0.29 ab | 11.46 ± 0.29 h | 0.80 ± 0.05 cdef |
| GR4 | 12.04 ± 1.56 abc | 12.04 ± 1.55 h | 0.75 ± 0.28 bcdef |
| GR5 | 11.41 ± 0.60 ab | 11.40 ± 0.60 g | 0.95 ± 0.09 ef |
| GR6 | 14.95 ± 0.05 bc | 14.95 ± 0.05 h | 0.85 ± 0.01 def |
| GR7 | 16.91 ± 0.36 c | 16.91 ± 0.36 i | 1.13 ± 0.01 ef |
| L* | a* | b* | C* | hº | |
|---|---|---|---|---|---|
| CW | 80.27 ± 2.25 ab | 2.30 ± 0.46 c | 13.74 ± 0.74 a | 13.93 ± 0.81 a | 80.57 ± 1.36 a |
| SCW | 80.58 ± 1.58 ab | 2.03 ± 0.30 c | 14.09 ± 0.28 a | 14.24 ± 0.30 a | 81.81 ± 1.12 a |
| GW1 | 82.28 ± 1.22 a | 1.78 ± 0.17 c | 14.15 ± 0.60 a | 14.26 ± 0.62 a | 82.83 ± 0.37 a |
| GW2 | 82.25 ± 1.09 a | 1.94 ± 0.14 c | 13.63 ± 0.41 a | 13.76 ± 0.42 a | 81.93 ± 0.43 a |
| GW3 | 80.61 ± 0.70 ab | 2.28 ± 0.14 c | 13.82 ± 0.19 a | 14.01 ± 0.20 a | 80.65 ± 0.50 a |
| GW4 | 78.00 ± 1.34 bc | 2.40 ± 0.22 c | 13.85 ± 0.84 a | 14.06 ± 0.81 a | 80.11 ± 1.31 a |
| GW5 | 75.44 ± 0.94 cd | 3.39 ± 0.45 b | 13.03 ± 0.22 a | 13.47 ± 0.28 a | 75.44 ± 1.76 b |
| GW6 | 73.68 ± 0.33 d | 3.76 ± 0.18 ab | 12.97 ± 0.72 a | 13.50 ± 0.66 a | 73.80 ± 1.43 bc |
| GW7 | 69.55 ± 1.36 e | 4.47 ± 0.71 a | 13.40 ± 0.92 a | 14.15 ± 0.77 a | 71.47 ± 3.50 c |
| CR | 73.50 ± 1.41 abc | 5.10 ± 0.54 b | 11.47 ± 0.68 b | 12.55 ± 0.85 b | 66.07 ± 1.02 ab |
| SCR | 71.35 ± 1.07 bcd | 5.24 ± 0.20 b | 12.36 ± 0.70 ab | 13.42 ± 0.71 ab | 67.02 ± 0.53 a |
| GR1 | 70.34 ± 0.93 cd | 5.74 ± 0.21 b | 13.36 ± 0.30 a | 14.54 ± 0.32 a | 66.73 ± 0.63 a |
| GR2 | 72.97 ± 1.14 abc | 5.55 ± 0.19 b | 12.23 ± 0.59 ab | 13.43 ± 0.58 ab | 65.57 ± 0.92 ab |
| GR3 | 73.59 ± 1.05 ab | 5.58 ± 0.45 b | 12.52 ± 0.40 ab | 13.71 ± 0.48 ab | 66.01 ± 1.57 ab |
| GR4 | 74.11 ± 0.68 a | 5.47 ± 0.14 b | 11.91 ± 0.54 b | 13.10 ± 0.53 b | 65.33 ± 0.81 ab |
| GR5 | 73.73 ± 1.52 ab | 5.97 ± 0.58 b | 11.69 ± 0.43 b | 13.13 ± 0.65 b | 63.02 ± 1.46 bc |
| GR6 | 70.66 ± 1.39 cd | 6.95 ± 0.20 ab | 11.95 ± 0.28 b | 13.82 ± 0.21 ab | 59.82 ± 1.14 cd |
| GR7 | 69.54 ± 0.63 d | 7.22 ± 0.70 a | 12.03 ± 0.52 b | 14.04 ± 0.39 ab | 59.03 ± 3.20 d |
Disclaimer/Publisher’s Note: The statements, opinions and data contained in all publications are solely those of the individual author(s) and contributor(s) and not of MDPI and/or the editor(s). MDPI and/or the editor(s) disclaim responsibility for any injury to people or property resulting from any ideas, methods, instructions or products referred to in the content. |
© 2024 by the authors. Licensee MDPI, Basel, Switzerland. This article is an open access article distributed under the terms and conditions of the Creative Commons Attribution (CC BY) license (https://creativecommons.org/licenses/by/4.0/).
Share and Cite
Kayisoglu, C.; Altikardes, E.; Guzel, N.; Uzel, S. Germination: A Powerful Way to Improve the Nutritional, Functional, and Molecular Properties of White- and Red-Colored Sorghum Grains. Foods 2024, 13, 662. https://doi.org/10.3390/foods13050662
Kayisoglu C, Altikardes E, Guzel N, Uzel S. Germination: A Powerful Way to Improve the Nutritional, Functional, and Molecular Properties of White- and Red-Colored Sorghum Grains. Foods. 2024; 13(5):662. https://doi.org/10.3390/foods13050662
Chicago/Turabian StyleKayisoglu, Cagla, Ebrar Altikardes, Nihal Guzel, and Secil Uzel. 2024. "Germination: A Powerful Way to Improve the Nutritional, Functional, and Molecular Properties of White- and Red-Colored Sorghum Grains" Foods 13, no. 5: 662. https://doi.org/10.3390/foods13050662
APA StyleKayisoglu, C., Altikardes, E., Guzel, N., & Uzel, S. (2024). Germination: A Powerful Way to Improve the Nutritional, Functional, and Molecular Properties of White- and Red-Colored Sorghum Grains. Foods, 13(5), 662. https://doi.org/10.3390/foods13050662

